Enhanced Hyperspectral Forest Soil Organic Matter Prediction Using a Black-Winged Kite Algorithm-Optimized Convolutional Neural Network and Support Vector Machine
Abstract
1. Introduction
2. Materials and Methods
2.1. Study Area
2.1.1. Overview of the Study Area
2.1.2. Soil Sample Collection
2.2. Experimental Design
2.3. Spectral Preprocessing
2.3.1. Savitzky–Golay Filter
2.3.2. DWT Denoising
2.4. SPXY Algorithm
2.5. Black-Winged Kite Algorithm
2.5.1. Algorithm Overview
| Algorithm 1 Black-winged kite algorithm | |
| Input: The population size p, maximum number of iterations T, and variable dimension d. | |
| Output: The optimal solution to the problem to be solved is obtained through BKA. | |
| 1. | Initialize the position of each bk and select the population leader . |
| 2. | While (t < T)do |
| 3. | if p < r |
| 4. | |
| 5. | else if do |
| 6. | |
| 7. | end if |
| 8. | if do |
| 9. | |
| 10. | else if do |
| 11. | |
| 12. | end if |
| 13. | if |
| 14. | , |
| 15. | else if do |
| 16. | , |
| 17. | end if |
| 18. | end while |
| 19. | Return and |
2.5.2. Population Initialization
2.5.3. Aggressive Behavior
2.5.4. Migration Behavior
2.6. CNN-SVM Network Enhanced by the Black-Winged Kite Algorithm
2.7. Evaluation Metrics
3. Results
3.1. Statistical Characteristics of Soil Organic Matter Content
3.2. Impact of Different Preprocessing Methods on Data and Model Accuracy
3.2.1. Impact of Different Preprocessing Methods on Data
3.2.2. Impact of Different Preprocessing Methods on Model Accuracy
3.3. CNN-SVM Prediction Model Improved by the Black-Winged Kite Algorithm
3.3.1. Training Process
3.3.2. Model Performance Comparison
4. Discussion
5. Conclusions
- Among the 27 preprocessing combinations used in this study, the SG-1DR method effectively extracts data features and reduces noise interference. The heatmaps for the four mathematical transformations—1DR, 2DR, (LogR)’, and (1/R)’—exhibit rich correlation variations and relatively uniform color distributions. Data based on these four transformations effectively present the correlation characteristics between spectral band reflectance and SOM content. Through modeling comparisons, it was found that the first derivative transformation after SG denoising yielded the best results, demonstrating the highest feature expression capability for spectral data.
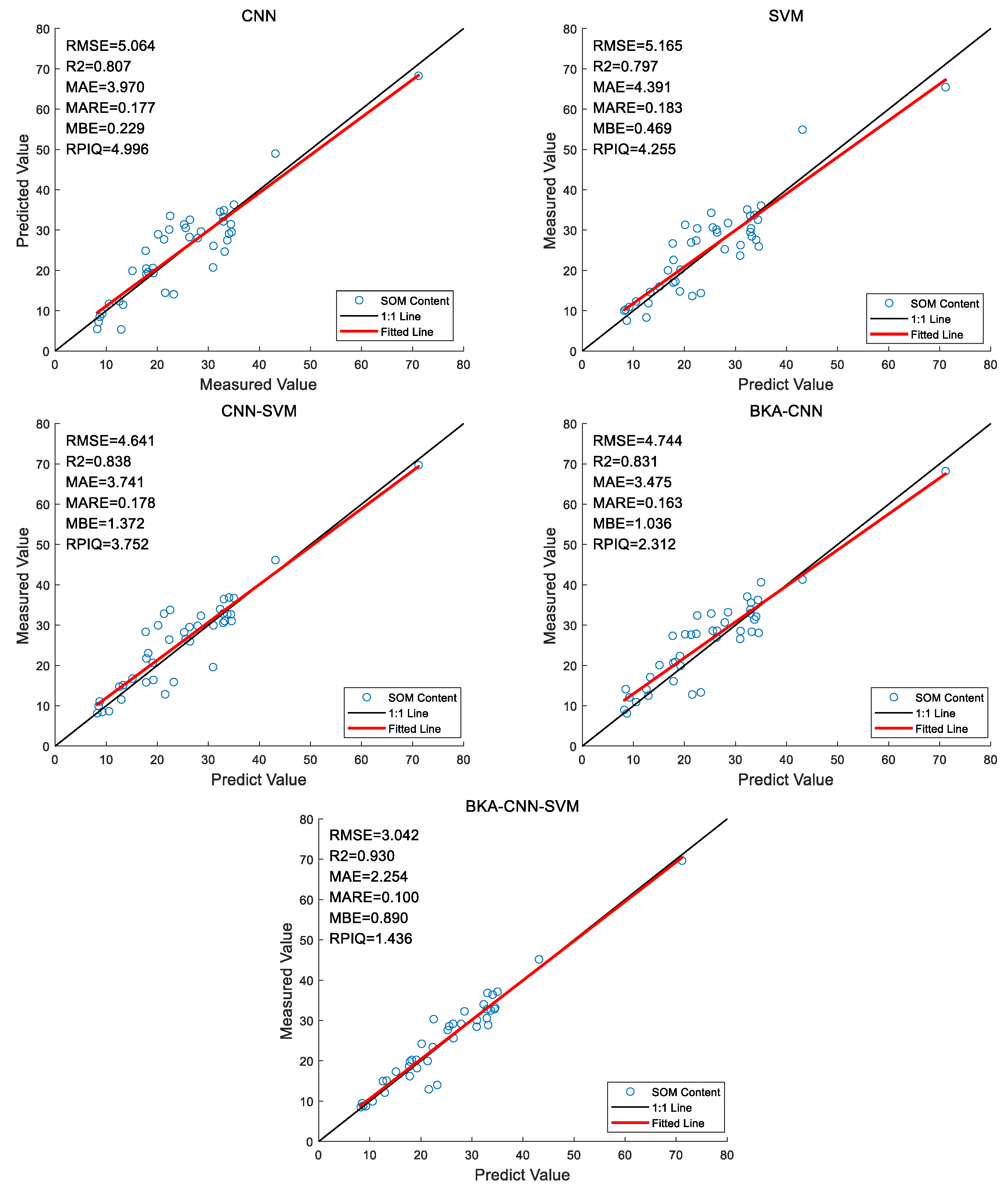
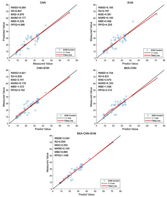
- In the preprocessing and modeling comparison experiments, it was found that deep learning methods have a superior ability to extract spectral data features compared to machine learning methods.
- After combining CNN with SVM, the evaluation metrics improved compared to using CNN alone. Specifically, RMSE decreased by 0.423, R2 increased by 3.1%, MAE decreased by 0.229, MARE differed by only 0.001, and RPIQ decreased by 1.244. This indicates that for predicting SOM, it is feasible to use CNN for feature extraction followed by SVM for classification and regression.
- The CNN-SVM network improved by the Black-winged Kite Algorithm showed significant enhancements compared to the original CNN-SVM network: RMSE decreased by 1.599, R2 increased by 9.2%, MAE decreased by 1.487, MARE decreased by 0.078, MBE decreased by 0.482, and RPIQ decreased by 2.316. This makes it the best among the five compared networks. Therefore, the BKA-CNN-SVM model is highly effective in predicting the SOM content of soil in Guangxi forest farms.
Author Contributions
Funding
Institutional Review Board Statement
Informed Consent Statement
Data Availability Statement
Conflicts of Interest
References
- Kögel-Knabner, I.; Rumpel, C. Chapter One—Advances in Molecular Approaches for Understanding Soil Organic Matter Composition, Origin, and Turnover: A Historical Overview. Adv. Agron. 2018, 149, 1–48. [Google Scholar]
- Pribyl, D.W. A critical review of the conventional SOC to SOM conversion factor. Geoderma 2010, 156, 75–83. [Google Scholar] [CrossRef]
- Zhang, X.; Yao, Y.; Yan, X. Research progress on prediction of soil organic matter content by mid-infrared spectroscopy. Soil Fertil. Sci. China 2021, 4, 327–336. [Google Scholar]
- Zhao, L.; Liu, X.; Wang, Y.; Ren, T. Thermal analysis determining soil organic matter content and thermal stability. Trans. Chin. Soc. Agric. Eng. 2016, 32, 105–114. [Google Scholar]
- ACambule, H.; Rossiter, D.G.; Stoorvogel, J.J.; Smaling, E.M.A. Soil organic carbon stocks in the Limpopo National Park, Mozambique: Amount, spatial distribution and uncertainty. Geoderma 2014, 213, 46–56. [Google Scholar] [CrossRef]
- Sun, J.; Wang, G.; Zhang, H.; Xia, L.; Zhao, W.; Guo, Y.; Sun, X. Detection of fat content in peanut kernels based on chemometrics and hyperspectral imaging technology. Infrared Phys. Technol. 2020, 105, 103226. [Google Scholar] [CrossRef]
- Lu, P.; Wang, L.; Niu, Z.; Li, L.; Zhang, W. Prediction of soil properties using laboratory VIS–NIR spectroscopy and Hyperion imagery. J. Geochem. Explor. 2013, 132, 26–33. [Google Scholar] [CrossRef]
- Conforti, M.; Buttafuoco, G.; Leone, A.P.; Aucelli, P.P.; Robustelli, G.; Scarciglia, F. Studying the relationship between water-induced soil erosion and soil organic matter using Vis–NIR spectroscopy and geomorphological analysis: A case study in southern Italy. Catena 2013, 110, 44–58. [Google Scholar] [CrossRef]
- Caporaso, N.; Whitworth, M.B.; Fisk, I.D. Near-infrared spectroscopy and hyperspectral imaging for non-destructive quality assessment of cereal grains. Appl. Spectrosc. Rev. 2018, 53, 667–687. [Google Scholar] [CrossRef]
- Chen, H.; Chen, A.; Xu, L.; Xie, H.; Qiao, H.; Lin, Q.; Cai, K. A deep learning cnn architecture applied in smart near-infrared analysis of water pollution for agricultural irrigation resources. Agric. Water Manag. 2020, 240, 106303–106310. [Google Scholar] [CrossRef]
- Zeng, J.; Guo, Y.; Han, Y.; Li, Z.; Yang, Z.; Chai, Q.; Wang, W.; Zhang, Y.; Fu, C. A review of the discriminant analysis methods for food quality based on near-infrared spectroscopy and pattern recognition. Molecules 2021, 26, 749. [Google Scholar] [CrossRef] [PubMed]
- Zhao, M.; Gao, Y.; Lu, Y.; Wang, S. Hyperspectral Modeling of Soil Organic Matter Based on Characteristic Wavelength in East China. Sustainability 2022, 14, 8455. [Google Scholar] [CrossRef]
- Gholizadeh, A.; Soom, M.A.; Saberioon, M.; Farming, S. Visible and near infrared reflectance spectroscopy to determine chemical properties of paddy soils. J. Food Agric. Environ. 2013, 11, 859–866. [Google Scholar]
- Hau, N.-X.; Tuan, N.-T.; Trung, L.-Q.; Chi, T.-T. Estimation of soil organic carbon content using visible and near-infrared spectroscopy in the Red River Delta, Vietnam. Chemom. Intell. Lab. Syst. 2024, 255, 105253. [Google Scholar] [CrossRef]
- Cao, L.; Sun, M.; Yang, Z.; Jiang, D.; Yin, D.; Duan, Y. A Novel Transformer-CNN Approach for Predicting Soil Properties from LUCAS Vis-NIR Spectral Data. Agronomy 2024, 14, 1998. [Google Scholar] [CrossRef]
- Choi, J.-Y.; Kim, H.-C.; Moon, K.-D. Geographical origin discriminant analysis of Chia seeds (Salvia hispanica L.) using hyperspectral imaging. J. Food Compos. Anal. 2021, 101, 103916. [Google Scholar] [CrossRef]
- Terra, F.S.; Demattê, J.A.M.; Rossel, R.A.V. Spectral libraries for quantitative analyses of tropical Brazilian soils: Comparing vis–NIR and mid-IR reflectance data. Geodermas 2015, 255–256, 81–93. [Google Scholar] [CrossRef]
- Shen, L.; Gao, M.; Yan, J.; Li, Z.-L.; Leng, P.; Yang, Q.; Duan, S.-B. Hyperspectral Estimation of Soil Organic Matter Content Using Different Spectral Preprocessing Techniques and Plsr Method. Remote Sens. 2020, 12, 1206. [Google Scholar] [CrossRef]
- Mishra, P.; Lohumi, S. Improved prediction of protein content in wheat kernels with a fusion of scatter correction methods in NIR data modelling. Biosyst. Eng. 2021, 203, 93–97. [Google Scholar] [CrossRef]
- Zhang, Y.; Biswas, A.; Ji, W.; Adamchuk, V.I. Depth-Specific Prediction of Soil Properties In Situ using vis-NIR Spectroscopy. Soil Sci. Soc. Am. J. 2017, 81, 993–1004. [Google Scholar] [CrossRef]
- Bao, Q.-l.; Ding, J.-l.; Wang, J.-z.; Cai, L.-h. Hyperspectral detection of soil organic matter content based on random forest algorithm. Arid. Land Geogr. 2019, 42, 1404–1414. [Google Scholar]
- Zhang, J.; Xi, L.; Yang, X.; Xu, X.; Guo, W.; Cheng, T.; Ma, X. Construction of hyperspectral estimation model for organic matter content in Shajiang black soil. Trans. Chin. Soc. Agric. Eng. 2020, 36, 135–141. [Google Scholar]
- Carvalho, J.K.; Moura-Bueno, J.M.; Ramon, R.; Almeida, T.F.; Naibo, G.; Martins, A.P.; Santos, L.S.; Gianello, C.; Tiecher, T. Combining different pre-processing and multivariate methods for prediction of soil organic matter by near infrared spectroscopy (NIRS) in Southern Brazil. Geoderma Reg. 2022, 29, e00530. [Google Scholar] [CrossRef]
- Fidêncio, P.H.; Poppi, R.J.; de Andrade, J.C.; Cantarella, H. Determination of Organic Matter in Soil Using near-Infrared Spectroscopy and Partial Least Squares Regression. Commun. Soil Sci. Plant Anal. 2002, 33, 1607–1615. [Google Scholar] [CrossRef]
- Zhang, S.; Lu, X.; Nie, G.-g.; Li, Y.-r.; Shao, Y.-t.; Tian, Y.-q.; Fan, L.-q.; Zhang, Y.-j. Estimation of Soil Organic Matter in Coastal Wetlands by SVM and BP Based on Hyperspectral Remote Sensing. Spectrosc. Spectr. Anal. 2020, 40, 556–561. [Google Scholar]
- Zhang, L.; Shao, Z.; Liu, J.; Cheng, Q. Deep learning based retrieval of forest aboveground biomass from combined LiDAR and landsat 8 data. Remote Sens. 2019, 11, 1459. [Google Scholar] [CrossRef]
- Shahrayini, E.; Noroozi, A.A.; Eghbal, M.K. Prediction of Soil Properties by Visible and Near-Infrared Reflectance Spectroscopy. Eurasian Soil Sci. 2020, 53, 1760–1772. [Google Scholar] [CrossRef]
- Rossel, R.A.V.; Behrens, T. Using data mining to model and interpret soil diffuse reflectance spectra. Geoderma 2010, 158, 46–54. [Google Scholar] [CrossRef]
- Haghi, R.K.; Pérez-Fernández, E.; Robertson, A.H.J. Prediction of various soil properties for a national spatial dataset of Scottish soils based on four different chemometric approaches: A comparison of near infrared and mid-infrared spectroscopy. Geoderma 2021, 396, 115071. [Google Scholar] [CrossRef]
- Li, H.; Ju, W.; Song, Y.; Cao, Y.; Yang, W.; Li, M. Soil organic matter content prediction based on two-branch convolutional neural network combining image and spectral features. Comput. Electron. Agric. 2024, 217, 108561. [Google Scholar] [CrossRef]
- Hu, W.; Huang, Y.; Wei, L.; Zhang, F.; Li, H. Deep Convolutional Neural Networks for Hyperspectral Image Classification. J. Sens. 2015, 2015, 258619. [Google Scholar] [CrossRef]
- Ladoni, M.; Bahrami, H.A.; Alavipanah, S.K.; Norouzi, A.A. Estimating soil organic carbon from soil reflectance: A review. Precis. Agric. 2010, 11, 82–99. [Google Scholar] [CrossRef]
- Chen, H.; Zhao, G.; Zhang, X.; Wang, R.; Sun, L.; Chen, J. Improving estimation precision of soil organic matter content by removing effect of soil moisture from hyperspectra. Trans. Chin. Soc. Agric. Eng. 2014, 30, 91–100. [Google Scholar]
- Li, T.; Dong, X.; Lin, J.; Peng, Y.; Li, T.; Dong, X.; Lin, J.; Peng, Y.; Li, T.; Dong, X.; et al. A Transformer-Cnn Parallel Network for Image Guided Depth Completion. Pattern Recognit. 2024, 150, 110305. [Google Scholar] [CrossRef]
- Sun, W.; Chang, L.C.; Chang, F.J. Deep Dive into Predictive Excellence: Transformer’s Impact on Groundwater Level Prediction. J. Hydrol. 2024, 636, 131250. [Google Scholar] [CrossRef]
- Omondiagbe, O.P.; Lilburne, L.; Licorish, S.A.; MacDonell, S.G. Soil Texture Prediction with Automated Deep Convolutional Neural Networks and Population-Based Learning. Geoderma 2023, 436, 116521. [Google Scholar] [CrossRef]
- Cao, Y.; Yang, W.; Li, H.; Zhang, H.; Li, M. Development of a vehicle-mounted soil organic matter detection system based on near-infrared spectroscopy and image information fusion. Meas. Sci. Technol. 2024, 35, 045501. [Google Scholar] [CrossRef]
- Romsonthi, C.; Tawornpruek, S.; Watana, S. In situ near-infrared spectroscopy for soil organic matter prediction in paddy soil, Pasak watershed, Thailand. Plant Soil Environ. 2018, 64, 70–75. [Google Scholar] [CrossRef]
- Zhu, H.; Hu, W.; Jing, Y.; Cao, Y.; Bi, R.; Yang, W. Soil organic carbon prediction based on scale-specific relationships with environmental factors by discrete wavelet transform. Geoderma 2018, 330, 9–18. [Google Scholar] [CrossRef]
- Donoho, D.L.; Johnstone, I.M. Ideal spatial adaptation by wavelet shrinkage. Biometrika 1994, 81, 425–455. [Google Scholar] [CrossRef]
- Li, C.; Chen, H.; Zhang, Y.; Hong, S.; Ai, W.; Mo, L. Improvement of NIR prediction ability by dual model optimization in fusion of NSIA and SA methods. Spectrochim. Acta Part A Mol. Biomol. Spectrosc. 2022, 276, 121247. [Google Scholar] [CrossRef] [PubMed]
- Tian, H.; Zhang, L.; Li, M.; Wang, Y.; Sheng, D.; Liu, J.; Wang, C. Weighted SPXY method for calibration set selection for composition analysis based on near-infrared spectroscopy. Infrared Phys. Technol. 2018, 95, 88–92. [Google Scholar] [CrossRef]
- Wang, J.; Wang, W.C.; Hu, X.X.; Qiu, L.; Zang, H.F. Black-winged kite algorithm: A nature-inspired meta-heuristic for solving benchmark functions and engineering problems. Artif. Intell. Rev. 2024, 57, 98. [Google Scholar] [CrossRef]
- Wan, J.X.; Ma, Y. Multi-scale Spectral-Spatial Remote Sensing Classification of Coral Reef Habitats Using CNN-SVM. J. Coast. Res. 2020, 102, 11–20. [Google Scholar] [CrossRef]
- Kazemi, F.; Asgarkhani, N.; Jankowski, R. Optimization-based stacked machine-learning method for seismic probability and risk assessment of reinforced concrete shear walls. Expert Syst. Appl. 2024, 255 Pt D, 124897. [Google Scholar] [CrossRef]
- Lelago, A.; Bibiso, M. Performance of mid infrared spectroscopy to predict nutrients for agricultural soils in selected areas of Ethiopia. Heliyon 2022, 8, e09050. [Google Scholar] [CrossRef]
- Liu, Y.; Wang, C.; Xiao, C.; Shang, K.; Zhang, Y.; Pan, X. Prediction of multiple soil fertility parameters using VisNIR spectroscopy and PXRF spectrometry. Soil Sci. Soc. Am. J. 2021, 85, 591–605. [Google Scholar] [CrossRef]
- Zhang, L.; Yang, X.; Drury, C.; Chantigny, M.; Gregorich, E.; Miller, J.; Bittman, S.; Reynolds, D.; Yang, J. Infrared spectroscopy prediction of organic carbon and total nitrogen in soil and particulate organic matter from diverse Canadian agricultural regions. Can. J. Soil Sci. 2018, 98, 77–90. [Google Scholar] [CrossRef]
- Shi, Z.; Yin, J.; Li, B.; Sun, F.; Miao, T.; Cao, Y.; Shi, Z.; Chen, S.; Hu, B.; Ji, W. Comparison of Depth-Specific Prediction of Soil Properties: MIR vs. Vis-NIR Spectroscopy. Sensors 2023, 23, 5967. [Google Scholar] [CrossRef]
- Bellon-Maurel, V.; Fernandez-Ahumada, E.; Palagos, B.; Roger, J.M.; McBratney, A. Critical review of chemometric indicators commonly used for assessing the quality of the prediction of soil attributes by NIR spectroscopy. Trends Anal. Chem. 2010, 29, 1073–1081. [Google Scholar] [CrossRef]
- He, S.-F.; Zhou, Q.; Wang, F. Local wavelet packet decomposition of soil hyperspectral for SOM estimation. Infrared Phys. Technol. 2022, 125, 104285. [Google Scholar] [CrossRef]
- Guo, L.; Zhang, H.; Shi, T.; Chen, Y.; Jiang, Q.; Linderman, M. Prediction of soil organic carbon stock by laboratory spectral data and airborne hyperspectral images. Geoderma 2019, 337, 32–41. [Google Scholar] [CrossRef]
- Nan, F.; Zhu, H.; Bi, R. Hyperspectral Prediction of Soil Organic Matter Content in the Reclamation Cropland of Coal Mining Areas in the Loess Plateau. Sci. Agric. Sin. 2016, 49, 2126–2135. [Google Scholar]
- Chen, Y.; Wang, J.; Liu, G.; Yang, Y.; Liu, Z.; Deng, H. Hyperspectral Estimation Model of Forest Soil Organic Matter in Northwest Yunnan Province, China. Forests 2019, 10, 217. [Google Scholar] [CrossRef]
- Zhou, P.; Zhou, G.; Zhu, Z.; Tang, C.; He, Z.; Li, W.; Jiang, F. Health Monitoring for Balancing Tail Ropes of a Hoisting System Using a Convolutional Neural Network. Appl. Sci. 2018, 8, 1346. [Google Scholar] [CrossRef]
- Pham, V.; Weindorf, D.C.; Dang, T. Soil profile analysis using interactive visualizations, machine learning, and deep learning, Comput. Electron. Agric. 2021, 191, 106539. [Google Scholar] [CrossRef]
- Pullanagari, R.R.; Dehghan-Shoar, M.; Yule, I.J.; Bhatia, N. Field spectroscopy of canopy nitrogen concentration in temperate grasslands using a convolutional neural network. Remote Sens. Environ. 2021, 257, 112353. [Google Scholar] [CrossRef]
- Wang, Y.; Chen, S.; Hong, Y.; Hu, B.; Peng, J.; Shi, Z. A comparison of multiple deep learning methods for predicting soil organic carbon in Southern Xinjiang, China. Comput. Electron. Agric. 2023, 212, 108067. [Google Scholar] [CrossRef]
- Wu, J.; Guo, D.; Li, G.; Guo, X.; Zhong, L.; Zhu, Q.; Guo, J.; Ye, Y. Multivariate methods with feature wavebands selection and stratified calibration for soil organic carbon content prediction by Vis-NIR spectroscopy. Soil Sci. Soc. Am. J. 2022, 86, 1153–1166. [Google Scholar] [CrossRef]
- Shekofteh, H.; Ramazani, F.; Shirani, H. Optimal feature selection for predicting soil CEC: Comparing the hybrid of ant colony organization algorithm and adaptive network-based fuzzy system with multiple linear regression. Geoderma 2017, 298, 27–34. [Google Scholar] [CrossRef]
- Wang, X.; Zhang, M.-W.; Guo, Q.; Yang, H.-L.; Wang, H.-L.; Sun, X.-L. Estimation of soil organic matter by in situ Vis-NIR spectroscopy using an automatically optimized hybrid model of convolutional neural network and long short-term memory network. Comput. Electron. Agric. 2023, 214, 108350. [Google Scholar] [CrossRef]
- Meng, X.; Bao, Y.; Wang, Y.; Zhang, X.; Liu, H. An advanced soil organic carbon content prediction model via fused temporal-spatial-spectral (TSS) information based on machine learning and deep learning algorithms. Remote Sens. Environ. 2022, 280, 113166. [Google Scholar] [CrossRef]
- Xiang, H.; Liu, W.; Peng, J. Predicting Organic Matter Content in Paddy Soil Using Meth-od of Continuum Removal in Southern Xinjiang, China. Soils 2016, 48, 389–394. [Google Scholar]
- Odebiri, O.; Mutanga, O.; Odindi, J.; Naicker, R.; Masemola, C.; Sibanda, M. Deep learning approaches in remote sensing of soil organic carbon: A review of utility, challenges, and prospects. Environ. Monit. Assess. 2021, 193, 802. [Google Scholar] [CrossRef]
- Zhai, M. Inversion of organic matter content in wetland soil based on Landsat 8 remote sensing image. J. Vis. Commun. Image Represent. 2019, 64, 102645. [Google Scholar] [CrossRef]
- Wang, S.; Guan, K.; Zhang, C.; Lee, D.; Margenot, A.J.; Ge, Y.; Peng, J.; Zhou, W.; Zhou, Q.; Huang, Y. Using soil library hyperspectral reflectance and machine learning to predict soil organic carbon: Assessing potential of airborne and spaceborne optical soil sensing. Remote Sens. Environ. 2022, 271, 112914. [Google Scholar] [CrossRef]











| Name | Yachang Forest Farm | Huangmian Forest Farm |
|---|---|---|
| Latitude and Longitude | 106°08′–106°26′ E, 24°37′–25°00′ N | 109°43′–109°58′ E, 24°37′–24°52′ N |
| Annual Average Rainfall | 1058 mm | 1750 mm |
| Annual Average Evaporation | 1484.7 mm | 1426 mm |
| Annual Average Temperature | 16.8 °C | 19 °C |
| Sample Classification | Sample Size | Mean (g·kg−1) | Minimum Value (g·kg−1) | Maximum Value (g·kg−1) | Standard Deviation (g·kg−1) | Coefficient of Variation (%) |
|---|---|---|---|---|---|---|
| Total Samples | 206 | 25.72 | 4.26 | 80.04 | 13.57 | 52.75 |
| Training Set | 164 | 26.03 | 4.26 | 80.04 | 14.04 | 53.95 |
| Validation Set | 42 | 24.50 | 8.23 | 71.15 | 11.59 | 47.30 |
| Denoising Methods | N | SG | DWT | |
|---|---|---|---|---|
| Mathematical Transformations | R | N-R | SG-R | DWT-R |
| 1DR | N-1DR | SG-1DR | DWT-1DR | |
| 2DR | N-2DR | SG-2DR | DWT-2DR | |
| MSC | N-MSC | SG-MSC | DWT-MSC | |
| SNV | N-SNV | SG-SNV | DWT-SNV | |
| LogR | N-LogR | SG-LogR | DWT-LogR | |
| N- | SG- | DWT- | ||
| 1/R | N-1/R | SG-1/R | DWT-1/R | |
| N- | SG- | DWT- |
| Preprocessing Methods | Modeling Methods | Validation Set | ||||||
|---|---|---|---|---|---|---|---|---|
| RMSE | R2 | MAE | MARE | MBE | RPIQ | |||
| N- | 1DR | SVM | 5.247 | 0.790 | 4.167 | 0.182 | 1.035 | 3.904 |
| PLSR | 5.768 | 0.746 | 4.938 | 0.215 | 0.247 | 4.035 | ||
| BP | 5.991 | 0.726 | 4.779 | 0.211 | 0.786 | 4.514 | ||
| CNN | 5.736 | 0.749 | 4.633 | 0.221 | 1.103 | 5.338 | ||
| 2DR | SVM | 6.427 | 0.685 | 4.948 | 0.216 | 1.918 | 5.203 | |
| PLSR | 6.670 | 0.661 | 5.541 | 0.263 | 1.412 | 4.069 | ||
| BP | 7.052 | 0.621 | 5.628 | 0.279 | 1.936 | 5.161 | ||
| CNN | 6.286 | 0.699 | 4.983 | 0.236 | 1.181 | 4.647 | ||
| SVM | 4.426 | 0.851 | 3.535 | 0.172 | 1.558 | 3.866 | ||
| PLSR | 4.490 | 0.846 | 3.644 | 0.174 | 1.095 | 3.034 | ||
| BP | 5.575 | 0.747 | 4.637 | 0.205 | 1.678 | 4.318 | ||
| CNN | 5.652 | 0.756 | 4.745 | 0.235 | 2.215 | 3.782 | ||
| SVM | 4.281 | 0.860 | 3.448 | 0.159 | 0.613 | 3.290 | ||
| PLSR | 4.181 | 0.867 | 3.467 | 0.151 | 0.580 | 3.719 | ||
| BP | 5.860 | 0.738 | 4.535 | 0.233 | 1.809 | 3.831 | ||
| CNN | 5.791 | 0.744 | 4.609 | 0.214 | 0.890 | 5.210 | ||
| SG- | 1DR | SVM | 5.165 | 0.797 | 4.161 | 0.183 | 0.469 | 4.255 |
| PLSR | 6.221 | 0.705 | 5.080 | 0.268 | 0.354 | 3.478 | ||
| BP | 4.471 | 0.848 | 3.574 | 0.159 | 0.130 | 2.401 | ||
| CNN | 5.191 | 0.794 | 4.096 | 0.195 | 0.447 | 3.697 | ||
| 2DR | SVM | 4.100 | 0.809 | 4.135 | 0.190 | 0.832 | 4.583 | |
| PLSR | 5.472 | 0.772 | 4.408 | 0.226 | 0.488 | 3.617 | ||
| BP | 5.887 | 0.736 | 4.946 | 0.226 | 0.637 | 4.804 | ||
| CNN | 5.779 | 0.745 | 4.848 | 0.245 | 1.049 | 3.384 | ||
| SVM | 4.800 | 0.825 | 4.000 | 0.192 | 1.149 | 4.284 | ||
| PLSR | 6.485 | 0.679 | 5.316 | 0.271 | 1.259 | 5.709 | ||
| BP | 5.693 | 0.753 | 4.302 | 0.190 | 0.451 | 3.708 | ||
| CNN | 5.482 | 0.771 | 4.449 | 0.202 | 1.540 | 4.598 | ||
| SVM | 4.745 | 0.828 | 3.729 | 0.172 | 0.480 | 4.620 | ||
| PLSR | 5.447 | 0.774 | 4.439 | 0.210 | 0.535 | 3.199 | ||
| BP | 4.887 | 0.818 | 3.826 | 0.183 | 1.154 | 3.790 | ||
| CNN | 5.578 | 0.763 | 4.096 | 0.195 | 1.236 | 4.615 | ||
| DWT- | 1DR | SVM | 5.034 | 0.806 | 3.945 | 0.170 | 0.444 | 4.310 |
| PLSR | 5.834 | 0.740 | 4.445 | 0.242 | 0.565 | 5.071 | ||
| BP | 5.290 | 0.787 | 4.187 | 0.215 | 1.407 | 4.475 | ||
| CNN | 5.396 | 0.778 | 4.468 | 0.222 | 1.595 | 4.246 | ||
| 2DR | SVM | 5.365 | 0.780 | 4.169 | 0.184 | 1.407 | 5.302 | |
| PLSR | 6.618 | 0.666 | 5.371 | 0.293 | 1.379 | 4.121 | ||
| BP | 6.327 | 0.695 | 4.894 | 0.240 | 2.949 | 4.638 | ||
| CNN | 6.197 | 0.707 | 5.158 | 0.241 | 2.960 | 4.690 | ||
| SVM | 4.886 | 0.818 | 4.012 | 0.195 | 1.323 | 3.416 | ||
| PLSR | 5.227 | 0.792 | 4.174 | 0.203 | 1.267 | 4.083 | ||
| BP | 6.164 | 0.710 | 4.757 | 0.206 | 0.311 | 5.208 | ||
| CNN | 5.573 | 0.763 | 4.428 | 0.205 | 1.259 | 3.611 | ||
| SVM | 4.792 | 0.825 | 3.984 | 0.182 | 0.131 | 3.858 | ||
| PLSR | 4.995 | 0.810 | 3.840 | 0.189 | 1.267 | 4.334 | ||
| BP | 5.601 | 0.761 | 4.520 | 0.205 | 2.239 | 3.953 | ||
| CNN | 5.713 | 0.751 | 4.288 | 0.199 | 1.268 | 4.946 | ||
| Definition | Parameters | |
|---|---|---|
| Population Size | 60 | |
| Maximum Iterations | 250 | |
| Dimension | 3 | |
| Upper Bound | best1 | 512 |
| best2 | 5 × 10−2 | |
| best3 | 1 × 10−1 | |
| Lower Bound | best1 | 128 |
| best2 | 1 × 10−3 | |
| best3 | 1 × 10−4 | |
| Definition | Parameters |
|---|---|
| Input | 199, 1 × 1 |
| Conv1 | 16, 3 × 1 |
| BN1 | - |
| Relu1 | - |
| Maxpool1 | 2 × 1 |
| Conv2 | 32, 3 × 1 |
| BN2 | - |
| Relu2 | - |
| Maxpool2 | 2 × 1 |
| Dropout | 0.5 |
| Fc | 1 |
| Modeling Methods | Training Set | Validation Set | ||||||||||
|---|---|---|---|---|---|---|---|---|---|---|---|---|
| RMSE | R2 | MAE | MARE | MBE | RPIQ | RMSE | R2 | MAE | MARE | MBE | RPIQ | |
| CNN | 2.148 | 0.976 | 1.605 | 0.073 | 0.073 | 1.776 | 5.064 | 0.807 | 3.970 | 0.177 | 0.229 | 4.996 |
| SVM | 3.505 | 0.937 | 0.713 | 0.079 | 0.005 | 0.655 | 5.165 | 0.797 | 4.391 | 0.183 | 0.469 | 4.255 |
| CNN-SVM | 2.307 | 0.973 | 1.327 | 0.062 | 0.305 | 0.350 | 4.641 | 0.838 | 3.741 | 0.178 | 1.372 | 3.752 |
| BKA-CNN | 1.756 | 0.984 | 1.279 | 0.069 | 0.347 | 0.366 | 4.744 | 0.831 | 3.475 | 0.163 | 1.036 | 2.312 |
| BKA-CNN-SVM | 1.609 | 0.987 | 1.287 | 0.066 | 0.348 | 0.836 | 3.042 | 0.930 | 2.254 | 0.100 | 0.890 | 1.436 |
Disclaimer/Publisher’s Note: The statements, opinions and data contained in all publications are solely those of the individual author(s) and contributor(s) and not of MDPI and/or the editor(s). MDPI and/or the editor(s) disclaim responsibility for any injury to people or property resulting from any ideas, methods, instructions or products referred to in the content. |
© 2025 by the authors. Licensee MDPI, Basel, Switzerland. This article is an open access article distributed under the terms and conditions of the Creative Commons Attribution (CC BY) license (https://creativecommons.org/licenses/by/4.0/).
Share and Cite
Deng, Y.; Xiao, L.; Shi, Y. Enhanced Hyperspectral Forest Soil Organic Matter Prediction Using a Black-Winged Kite Algorithm-Optimized Convolutional Neural Network and Support Vector Machine. Appl. Sci. 2025, 15, 503. https://doi.org/10.3390/app15020503
Deng Y, Xiao L, Shi Y. Enhanced Hyperspectral Forest Soil Organic Matter Prediction Using a Black-Winged Kite Algorithm-Optimized Convolutional Neural Network and Support Vector Machine. Applied Sciences. 2025; 15(2):503. https://doi.org/10.3390/app15020503
Chicago/Turabian StyleDeng, Yun, Lifan Xiao, and Yuanyuan Shi. 2025. "Enhanced Hyperspectral Forest Soil Organic Matter Prediction Using a Black-Winged Kite Algorithm-Optimized Convolutional Neural Network and Support Vector Machine" Applied Sciences 15, no. 2: 503. https://doi.org/10.3390/app15020503
APA StyleDeng, Y., Xiao, L., & Shi, Y. (2025). Enhanced Hyperspectral Forest Soil Organic Matter Prediction Using a Black-Winged Kite Algorithm-Optimized Convolutional Neural Network and Support Vector Machine. Applied Sciences, 15(2), 503. https://doi.org/10.3390/app15020503

