Training Impulse as a Tool for Linking Exercise Dose to Health Outcomes in Adolescents: Evidence from Interval-Based Interventions
Abstract
1. Introduction
2. Materials and Methods
2.1. Study Design
2.2. Clinical Trial Registration
2.3. Ethics Committee
2.4. Participants
2.5. Data Collection
2.5.1. Procedures
2.5.2. Body Morphology
2.5.3. Blood Pressure
2.5.4. Multistage Fitness Test
2.6. Intervention
2.7. Training Impulse (TRIMP) Calculation
2.8. Statistics
3. Results
4. Discussion
4.1. Limitations
4.2. Future Directions
5. Conclusions
Author Contributions
Funding
Institutional Review Board Statement
Informed Consent Statement
Data Availability Statement
Acknowledgments
Conflicts of Interest
References
- Challenges and Opportunities for Addressing Obesity. 2024. Available online: https://www.europarl.europa.eu/RegData/etudes/STUD/2024/754218/IPOL_STU(2024)754218_EN.pdf (accessed on 4 February 2025).
- National Heart, Lung, and Blood Institute (NHLBI). Managing Overweight and Obesity in Adults: Systematic Evidence Review from the Obesity Expert Panel. In Clinical Guidelines; National Heart, Lung, and Blood Institute (NHLBI): Bethesda, MD, USA, 2013. [Google Scholar]
- Morrison, K.M.; Shin, S.; Tarnopolsky, M.; Taylor, V. Association of depression & health related quality of life with body composition in children and youth with obesity. J. Affect. Disord. 2015, 172, 18–23. [Google Scholar] [CrossRef] [PubMed]
- Halfon, N.; Larson, K.; Slusser, W. Associations between obesity and comorbid mental health, developmental, and physical health conditions in a nationally representative sample of US children aged 10 to 17. Acad. Pediatr. 2013, 13, 6–13. [Google Scholar] [CrossRef]
- Luppino, F.S.; de Wit, L.M.; Bouvy, P.F.; Stijnen, T.; Cuijpers, P.; Penninx, B.W.; Zitman, F.G. Overweight, obesity, and depression: A systematic review and me-ta-analysis of longitudinal studies. Arch. Gen. Psychiatry 2010, 67, 220–229. [Google Scholar] [CrossRef]
- Koolhaas, C.M.; Dhana, K.; Schoufour, J.D.; Ikram, M.A.; Kavousi, M.; Franco, O.H. Impact of physical activity on the association of overweight and obesity with cardiovascular disease: The Rotterdam Study. Eur. J. Prev. Cardiol. 2017, 24, 934–941. [Google Scholar] [CrossRef]
- Graham, M.R.; Baker, J.S.; Davies, B. Causes and consequences of obesity: Epigenetics or hypokinesis? Diabetes Metab. Syndr. Obes. 2015, 8, 455–460. [Google Scholar] [CrossRef]
- Blasco, B.V.; García-Jiménez, J.; Bodoano, I.; Gutiérrez-Rojas, L. Obesity and Depression: Its Prevalence and Influence as a Prognostic Factor: A Systematic Review. Psychiatry Investig. 2020, 17, 715–724. [Google Scholar] [CrossRef]
- Srisuk, S. The effects of high-intensity interval training (HIIT) on physical fitness in adolescents. Hum. Mov. 2025, in press. Available online: https://hummov.awf.wroc.pl/pdf-205885-129122?filename=Effects%20of%20high_intensity.pdf (accessed on 4 February 2025).
- Aouati, O.; Carletti, G.; Moulac, M.; Pelsy, F.; Van den Bos, S. Current Challenges and Opportunities for Addressing Obesity. 2024. Available online: https://policycommons.net/artifacts/17513383/current-challenges-and-opportunities-for-addressing-obesity/18404920/ (accessed on 4 February 2025).
- Santos, F.; Sousa, H.; Gouveia, É.R.; Lopes, H.; Peralta, M.; Martins, J.; Murawska-Ciałowicz, E.; Żurek, G.; Marques, A. School-Based Family-Oriented Health Interventions to Promote Physical Activity in Children and Adolescents: A Systematic Review. Am. J. Health Promot. 2023, 37, 243–262. [Google Scholar] [CrossRef] [PubMed]
- Domaradzki, J.; Koźlenia, D.; Popowczak, M. The prevalence of responders and non-responders for body composition, resting blood pressure, musculoskeletal, and cardiorespiratory fitness after ten weeks of school-based high-intensity interval training in adolescents. J. Clin. Med. 2023, 12, 4204. [Google Scholar] [CrossRef]
- Domaradzki, J.; Koźlenia, D.; Popowczak, M. The Mediation Role of Fatness in Associations between Cardiorespiratory Fitness and Blood Pressure after High-Intensity Interval Training in Adolescents. Int. J. Environ. Res. Public Health 2022, 19, 1698. [Google Scholar] [CrossRef] [PubMed]
- Poon, E.T.-C.; Wongpipit, W.; Sun, F.; Tse, A.C.-Y.; Sit, C.H.-P. High-intensity interval training in children and adolescents with special educational needs: A systematic review and narrative synthesis. Int. J. Behav. Nutr. Phys. Act. 2023, 20, 13. [Google Scholar] [CrossRef]
- Kilpatrick, M.W.; Greeley, S.J.; Collins, L.H. The impact of continuous and interval cycle exercise on affect and enjoyment. Res. Q. Exerc. Sport 2015, 86, 244–251. [Google Scholar] [CrossRef]
- Bauer, N.; Sperlich, B.; Holmberg, H.-C.; Engel, F.A. Effects of High-Intensity Interval Training in School on the Physical Performance and Health of Children and Adolescents: A Systematic Review with Meta-Analysis. Sports Med. Open 2022, 8, 50. [Google Scholar] [CrossRef] [PubMed]
- Duncombe, S.L.; Barker, A.R.; Bond, B.; Earle, R.; Varley-Campbell, J.; Vlachopoulos, D.; Walker, J.L.; Weston, K.L.; Stylianou, M. School-based high-intensity interval training programs in children and adolescents: A systematic review and meta-analysis. PLoS ONE 2022, 17, e0266427. [Google Scholar] [CrossRef] [PubMed]
- Delgado-Floody, P.; Latorre-Román, P.; Jerez-Mayorga, D.; Caamaño-Navarrete, F.; García-Pinillos, F. Feasibility of incorporating high-intensity interval training into physical education programs to improve body composition and cardiorespiratory capacity of overweight and obese children: A systematic review. J. Exerc. Sci. Fit. 2019, 17, 35–40. [Google Scholar] [CrossRef]
- Ramos, J.S.; Dalleck, L.C.; Tjonna, A.E.; Beetham, K.S.; Coombes, J.S. The impact of high-intensity interval training versus moderate-intensity continuous training on vascular function: A systematic review and meta-analysis. Sports Med. 2015, 45, 679–692. [Google Scholar] [CrossRef] [PubMed]
- Wewege, M.; Van Den Berg, R.; Ward, R.E.; Keech, A. The effects of high-intensity interval training vs. moderate-intensity continuous training on body composition in overweight and obese adults: A systematic review and meta-analysis. Obes. Rev. 2017, 18, 635–646. [Google Scholar] [CrossRef]
- Buchheit, M.; Laursen, P.B. High-intensity interval training, solutions to the programming puzzle: Part I: Cardiopulmonary emphasis. Sports Med. 2013, 43, 313–338. [Google Scholar] [CrossRef]
- Ramsbottom, R.; Brewer, J.; Williams, C. A progressive shuttle run test to estimate maximal oxygen uptake. Br. J. Sports Med. 1988, 22, 141–144. [Google Scholar] [CrossRef]
- Murawska-Ciałowicz, E.; de Assis, G.G.; Clemente, F.M.; Feito, Y.; Stastny, P.; Zuwała-Jagiełło, J.; Bibrowicz, B.; Wolański, P. Effect of four different forms of high intensity training on BDNF response to Wingate and Graded Exercise Test. Sci. Rep. 2021, 11, 8599. [Google Scholar] [CrossRef]
- Sultana, R.N.; Sabag, A.; Keating, S.E.; Johnson, N.A. The Effect of Low-Volume High-Intensity Interval Training on Body Composition and Cardiorespiratory Fitness: A Systematic Review and Meta-Analysis. Sports Med. 2019, 49, 1687–1721. [Google Scholar] [CrossRef]
- Atakan, M.M.; Li, Y.; Koşar, Ş.N.; Turnagöl, H.H.; Yan, X. Evidence-Based Effects of High-Intensity Interval Training on Exercise Capacity and Health: A Review with Historical Perspective. Int. J. Environ. Res. Public Health 2021, 18, 7201. [Google Scholar] [CrossRef]
- Murawska-Cialowicz, E.; Wolanski, P.; Zuwala-Jagiello, J.; Feito, Y.; Petr, M.; Kokstejn, J.; Stastny, P.; Goliński, D. Effect of HIIT with Tabata Protocol on Serum Irisin, Physical Performance, and Body Composition in Men. Int. J. Environ. Res. Public Health 2020, 17, 3589. [Google Scholar] [CrossRef]
- Racil, G.; Zouhal, H.; Elmontassar, W.; Ben Abderrahmane, A.; De Sousa, M.V.; Chamari, K.; Amri, M.; Coquart, J.B. Plyometric exercise combined with high-intensity interval training improves metabolic abnormalities in young obese females more so than interval training alone. Appl. Physiol. Nutr. Metab. 2016, 41, 103–109. [Google Scholar] [CrossRef]
- Miller, M.G.; Herniman, J.J.; Ricard, M.D.; Cheatham, C.C.; Michael, T.J. The effects of a 6-week plyometric training program on agility. J. Sports Sci. Med. 2006, 5, 459–465. [Google Scholar] [PubMed]
- Ramirez-Campillo, R.; García-Pinillos, F.; Nikolaidis, P.T.; Clemente, F.; Gentil, P.; García-Hermoso, A. Body composition adaptations to lower-body plyometric training: A systematic review and meta-analysis. Biol. Sport 2022, 39, 273–287. [Google Scholar] [CrossRef] [PubMed]
- Deng, N.; Soh, K.G.; Bin Abdullah, B.; Huang, D.; Xu, F.; Bashir, M.; Zhang, D. Effects of plyometric training on health-related physical fitness in untrained participants: A systematic review and meta-analysis. Sci. Rep. 2024, 14, 11272. [Google Scholar] [CrossRef] [PubMed]
- Váczi, M.; Tollár, J.; Meszler, B.; Juhász, I.; Karsai, I. Short-term high intensity plyometric training program improves strength, power and agility in male soccer players. J. Hum. Kinet. 2013, 36, 17–26. [Google Scholar] [CrossRef]
- Johnson, B.A.; Salzberg, C.L.; Stevenson, D.A. A systematic review: Plyometric training programs for young children. J. Strength Cond. Res. 2011, 25, 2623–2633. [Google Scholar] [CrossRef]
- Martin-Smith, R.; Cox, A.; Buchan, D.S.; Baker, J.S.; Grace, F.; Sculthorpe, N. High Intensity Interval Training (HIIT) Improves Cardiorespiratory Fitness (CRF) in Healthy, Overweight and Obese Adolescents: A Systematic Review and Meta-Analysis of Controlled Studies. Int. J. Environ. Res. Public Health 2020, 17, 2955. [Google Scholar] [CrossRef]
- A Costigan, S.; Eather, N.; Plotnikoff, R.C.; Taaffe, D.R.; Lubans, D.R. High-intensity interval training for improving health-related fitness in adolescents: A systematic review and meta-analysis. Br. J. Sports Med. 2015, 49, 1253–1261. [Google Scholar] [CrossRef]
- Mitić, P.; Jovanović, R.; Stojanović, N.; Barišić, V.; Trajković, N. Enhancing Adolescent Physical Fitness and Well-Being: A School-Based High-Intensity Interval Training Program. J. Funct. Morphol. Kinesiol. 2024, 9, 279. [Google Scholar] [CrossRef] [PubMed]
- Martland, R.; Mondelli, V.; Gaughran, F.; Stubbs, B. Can high-intensity interval training improve physical and mental health outcomes? A meta-review of 33 systematic reviews across the lifespan. J. Sports Sci. 2020, 38, 430–469. [Google Scholar] [CrossRef]
- Frank, H.R.; Mulder, H.; Sriram, K.; Santanam, T.S.; Skinner, A.C.; Perrin, E.M.; Armstrong, S.C.; Peterson, E.D.; Pencina, M.; Wong, C.A. The Dose–Response Relationship Between Physical Activity and Cardiometabolic Health in Young Adults. J. Adolesc. Health 2020, 67, 201–208. [Google Scholar] [CrossRef]
- Chang, X.; Wang, Z.; Guo, H.; Xu, Y.; Ogihara, A. Effect of Physical Activity/Exercise on Cardiorespiratory Fitness in Children and Adolescents with Type 1 Diabetes: A Scoping Review. Int. J. Environ. Res. Public Health 2023, 20, 1407. [Google Scholar] [CrossRef]
- Wang, K.; Zhu, Y.; Wong, S.H.-S.; Chen, Y.; Siu, P.M.-F.; Baker, J.S.; Sun, F. Effects and dose–response relationship of high-intensity interval training on cardiorespiratory fitness in overweight and obese adults: A systematic review and meta-analysis. J. Sports Sci. 2021, 39, 2829–2846. [Google Scholar] [CrossRef]
- Deng, Y.; Wang, X. Effect of high-intensity interval training on cardiorespiratory in children and adolescents with overweight or obesity: A meta-analysis of randomized controlled trials. Front. Public Health 2024, 12, 1269508. [Google Scholar] [CrossRef]
- Desgorces, F.-D.; Hourcade, J.-C.; Dubois, R.; Toussaint, J.-F.; Noirez, P. Training load quantification of high intensity exercises: Discrepancies between original and alternative methods. PLoS ONE 2020, 15, e0237027. [Google Scholar] [CrossRef]
- Domaradzki, J.; Popowczak, M.; Kochan-Jacheć, K.; Szkudlarek, P.; Murawska-Ciałowicz, E.; Koźlenia, D. Effects of two forms of school-based high-intensity interval training on body fat, blood pressure, and cardiorespiratory fitness in adolescents: Randomized control trial with eight-week follow-up—The PEER-HEART study. Front. Physiol. 2025, 16, 1530195. [Google Scholar] [CrossRef]
- Marfell-Jones, M.; Olds, T.; Stewart, A.; Carter, L. International Standards for Anthropometric Assessment; International Society for the Advancement of Kinanthropometry: Potchefstroom, South Africa, 2006. [Google Scholar]
- Nasir, K.; Ziffer, J.A.; Cainzos-Achirica, M.; Ali, S.S.; Feldman, D.I.; Arias, L.; Saxena, A.; Feldman, T.; Cury, R.; Budoff, M.J.; et al. The Miami Heart Study (MiHeart) at Baptist Health South Florida, A prospective study of subclinical cardiovascular disease and emerging cardiovascular risk factors in asymptomatic young and middle-aged adults: The Miami Heart Study: Rationale and Design. Am. J. Prev. Cardiol. 2021, 7, 100202. [Google Scholar] [CrossRef] [PubMed]
- Navalta, J.W.; Davis, D.W.; Malek, E.M.; Carrier, B.; Bodell, N.G.; Manning, J.W.; Cowley, J.; Funk, M.; Lawrence, M.M.; DeBeliso, M. Heart rate processing algorithms and exercise duration on reliability and validity decisions in biceps-worn Polar Verity Sense and OH1 wearables. Sci. Rep. 2023, 13, 11736. [Google Scholar] [CrossRef] [PubMed]
- BANISTER, E.W. Modeling Elite Athletic Performance. In Physiological Testing of Elite Athletes; Macdougall, J.D., Wenger, H.A., Green, H.J., Eds.; Human Kinetics: Champaign, IL, USA, 1991. [Google Scholar]
- Morton, R.H.; Fitz-Clarke, J.R.; Banister, E.W. Modeling human performance in running. J. Appl. Physiol. 1990, 69, 1171–1177. [Google Scholar] [CrossRef]
- Chatterjee, S. A New Coefficient of Correlation. J. Am. Stat. Assoc. 2020, 116, 2009–2022. [Google Scholar] [CrossRef]
- Andrade, J.M.; Estévez-Pérez, M.G. Statistical comparison of the slopes of two regression lines: A tutorial. Anal. Chim. Acta 2014, 838, 1–12. [Google Scholar] [CrossRef] [PubMed]
- Lu, Y.; Wiltshire, H.D.; Baker, J.S.; Wang, Q.; Ying, S. The effect of Tabata-style functional high-intensity interval training on cardiometabolic health and physical activity in female university students. Front. Physiol. 2023, 14, 1095315. [Google Scholar] [CrossRef] [PubMed]
- MacInnis, M.J.; Gibala, M.J. Physiological adaptations to interval training and the role of exercise intensity. J. Physiol. 2017, 595, 2915–2930. [Google Scholar] [CrossRef] [PubMed]
- Murawska-Cialowicz, E.; Wojna, J.; Zuwala-Jagiello, J. Crossfit training changes brain-derived neurotrophic factor and irisin levels at rest, after Wingate and progressive tests, and improves aerobic capacity and body composition of young physically active men and women. J. Physiol. Pharmacol. 2015, 66, 811–821. [Google Scholar]
- Nicolò, A.; Girardi, M. The physiology of interval training: A new target to HIIT. J. Physiol. 2016, 594, 7169–7170. [Google Scholar] [CrossRef]
- Domaradzki, J.; Koźlenia, D. Cardiovascular and cardiorespiratory effects of high-intensity interval training in body fat responders and non-responders. Sci. Rep. 2024, 14, 14631. [Google Scholar] [CrossRef]
- Li, F.-H.; Sun, L.; Zhu, M.; Li, T.; Gao, H.-E.; Wu, D.-S.; Zhu, L.; Duan, R.; Liu, T.C.-Y. Beneficial alterations in body composition, physical performance, oxidative stress, inflammatory markers, and adipocytokines induced by long-term high-intensity interval training in an aged rat model. Exp. Gerontol. 2018, 113, 150–162. [Google Scholar] [CrossRef]
- Cavalli, N.P.; de Mello, M.B.; Righi, N.C.; Schuch, F.B.; Signori, L.U.; da Silva, A.M.V. Effects of high-intensity interval training and its different protocols on lipid profile and glycaemic control in type 2 diabetes: A meta-analysis. J. Sports Sci. 2024, 42, 333–349. [Google Scholar] [CrossRef]
- Arrieta-Leandro, M.C.; Moncada-Jiménez, J.; Morales-Scholz, M.G.; Hernández-Elizondo, J. The effect of chronic high-intensity interval training programs on glycaemic control, aerobic resistance, and body composition in type 2 diabetic patients: A meta-analysis. J. Endocrinol. Investig. 2023, 46, 2423–2443. [Google Scholar] [CrossRef] [PubMed]
- Francois, M.E.; Little, J.P. Effectiveness and safety of high-intensity interval training in patients with type 2 Diabetes. Diabetes Spectr. 2015, 28, 39–44. [Google Scholar] [CrossRef]
- Hammami, M.; Gaamouri, N.; Ramirez-Campillo, R.; Shephard, R.J.; Bragazzi, N.L.; Chelly, M.S.; Knechtle, B.; Gaied, S. Effects of high-intensity interval training and plyometric exercise on the physical fitness of junior male handball players. Eur. Rev. Med. Pharmacol. Sci. 2021, 25, 7380–7389. [Google Scholar] [CrossRef] [PubMed]
- Li, L.; Liu, X.; Shen, F.B.; Xu, N.B.; Li, Y.B.; Xu, K.; Li, J.; Liu, Y. Effects of high-intensity interval training versus moderate-intensity continuous training on blood pressure in patients with hypertension: A meta-analysis. Medicine 2022, 101, e32246. [Google Scholar] [CrossRef]
- Viaño-Santasmarinas, J.; Rey, E.; Carballeira, S.; Padrón-Cabo, A. Effects of high-intensity interval training with different interval durations on physical performance in handball players. J. Strength Cond. Res. 2018, 32, 3389–3397. [Google Scholar] [CrossRef]
- Andersen, E.; Bang-Kittilsen, G.; Bigseth, T.T.; Egeland, J.; Holmen, T.L.; Martinsen, E.W.; Stensrud, T.; Engh, J.A. Effect of high-intensity interval training on cardiorespiratory fitness, physical activity and body composition in people with schizophrenia: A randomized trial. BMC Psychiatry 2020, 20, 425. [Google Scholar] [CrossRef]
- Molmen-Hansen, H.E.; Stolen, T.; Tjonna, A.E.; Aamot, I.L.; Ekeberg, I.S.; Tyldum, G.A.; Wisloff, U.; Ingul, C.B.; Stoylen, A. Aerobic interval training reduces blood pressure and improves myocardial function in hypertensive patients. Eur. J. Prev. Cardiol. 2012, 19, 151–160. [Google Scholar] [CrossRef] [PubMed]
- Kaneko, H.; Itoh, H.; Yotsumoto, H.; Kiriyama, H.; Kamon, T.; Fujiu, K.; Morita, K.; Michihata, N.; Jo, T.; Takeda, N.; et al. Association of Isolated Diastolic Hypertension Based on the Cutoff Value in the 2017 American College of Cardiology/American Heart Association Blood Pressure Guidelines With Subsequent Cardiovascular Events in the General Population. J. Am. Heart Assoc. 2020, 9, e017963. [Google Scholar] [CrossRef]
- McEvoy, J.W.; Daya, N.; Rahman, F.; Hoogeveen, R.C.; Blumenthal, R.S.; Shah, A.M.; Ballantyne, C.M.; Coresh, J.; Selvin, E. Association of Isolated Diastolic Hypertension as Defined by the 2017 ACC/AHA Blood Pressure Guideline With Incident Cardiovascular Outcomes. JAMA 2020, 323, 329–338. [Google Scholar] [CrossRef]
- Popowczak, M.; Rokita, A.; Koźlenia, D.; Domaradzki, J. The high-intensity interval training introduced in physical education lessons decrease systole in high blood pressure adolescents. Sci. Rep. 2022, 12, 1974. [Google Scholar] [CrossRef]
- Malina, R.; Sławinska, T.; Ignasiak, Z.; Rożek, K.; Kochan, K.; Domaradzki, J.; Fugiel, J. Sex Differences in Growth and Performance of Track and Field Athletes 11-15 Years. J. Hum. Kinet. 2010, 24, 79–85. [Google Scholar] [CrossRef]


| Week | HIPT | HIIT | ||||
|---|---|---|---|---|---|---|
| Mean ± SD (%HRmax) | 95% CI | Range | Mean ± SD (%HRmax) | 95% CI | Range | |
| 1 | 80.7 ± 6.8 | 79.1–82.3 | 65–97 | 85.7 ± 6.1 | 84.3–87.1 | 66.0–97.0 |
| 2 | 79.7 ± 6.8 | 78.1–81.3 | 61.9–94.8 | 82.4 ± 5.8 | 81.0–83.7 | 66.1–96.2 |
| 3 | 78.4 ± 8.2 | 76.4–80.3 | 52.6–90.1 | 81.3 ± 6.2 | 79.9–82.7 | 65.3–92.5 |
| 4 | 78.7 ± 7.7 | 76.9–80.6 | 53.1–92 | 81.2 ± 6.3 | 79.8–82.7 | 62.7–93.8 |
| 5 | 76.4 ± 8.6 | 74.3–78.4 | 48.7–90.4 | 79.2 ± 8.0 | 77.4–81.1 | 52.9–93.0 |
| 6 | 76.0 ± 9.5 | 73.7–78.3 | 49.1–89.9 | 78.5 ± 8.0 | 76.6–80.3 | 41.3–91.7 |
| 7 | 77.4 ± 6.6 | 75.8–79.0 | 62.4–91.8 | 79.5 ± 6.3 | 78.1–81.0 | 57.9–90.9 |
| 8 | 75.9 ± 8.6 | 73.8–77.9 | 56.5–90.6 | 80.9 ± 8.5 | 79.0–82.9 | 50.7–96.5 |
| Variable | HIPT | HIIT | ||||||
|---|---|---|---|---|---|---|---|---|
| Mean | ±SD | Lower 95%CI | Upper 95% CI | Mean | ±SD | Lower 95%CI | Upper 95% CI | |
| Male | ||||||||
| Δ%BF [%] | −0.67 | 1.55 | −1.32 | −0.01 | −1.31 | 1.66 | −1.81 | −0.81 |
| ΔSBP [mm/Hg] | −5.38 | 4.32 | −7.20 | −3.55 | −2.73 | 5.28 | −4.32 | −1.15 |
| ΔDBP [mm/Hg] | −2.63 | 6.25 | −5.27 | 0.02 | −0.22 | 5.00 | −1.72 | 1.28 |
| ΔVO2max [ml/kg/min] | 2.14 | 3.91 | 0.49 | 3.79 | 3.81 | 4.67 | 2.41 | 5.21 |
| TRIMP [score] | 12.46 | 1.74 | 11.72 | 13.19 | 12.90 | 1.21 | 12.54 | 13.27 |
| Female | ||||||||
| Δ%BF [%] | −1.54 | 2.66 | −2.33 | −0.75 | −0.63 | 2.37 | −1.52 | 0.25 |
| ΔSBP [mm/Hg] | −3.07 | 4.70 | −4.46 | −1.67 | −4.00 | 6.89 | −6.57 | −1.43 |
| ΔDBP [mm/Hg] | −2.00 | 5.09 | −3.51 | −0.49 | −1.37 | 5.63 | −3.47 | 0.74 |
| ΔVO2max [ml/kg/min] | 0.67 | 2.84 | −0.17 | 1.52 | 0.41 | 3.25 | −0.80 | 1.63 |
| TRIMP [score] | 11.59 | 1.70 | 11.07 | 12.08 | 13.33 | 1.50 | 12.78 | 13.91 |
| Method | Male | Female | ||||||
|---|---|---|---|---|---|---|---|---|
| %BF | SBP | DBP | VO2max | %BF | SBP | DBP | VO2max | |
| Pearson’s r | −0.36 (0.002) | −0.38 (0.001) | −0.34 (0.005) | 0.18 (0.131) | −0.15 (0.168) | −0.26 (0.039) | −0.18 (0.161) | 0.04 (0.952) |
| Kendal’s τ | −0.23 (0.002) | −0.28 (<0.001) | −0.22 (0.004) | 0.10 (0.257) | −0.09 (0.217) | −0.16 (0.056) | −0.15 (0.088) | 0.01 (0.682) |
| Xi ξ | −0.21 (0.007) | −0.15 (0.005) | −0.10 (0.593) | 0.06 (0.912) | −0.14 (0.120) | −0.19 (0.082) | −0.08 (0.222) | 0.04 (0.698) |
| Group | DV | %BF | SBP | DBP | VO2max | ||||
|---|---|---|---|---|---|---|---|---|---|
| Model | x | x2 | x | x2 | x | x2 | x | x2 | |
| M HIIT | R2 | 0.06 | 0.08 | 0.20 | 0.20 | 0.11 | 0.11 | 0.07 | 0.11 |
| p | 0.096 | 0.169 | 0.002 | 0.008 | 0.035 | 0.081 | 0.083 | 0.083 | |
| AIC | 175.5 | 176.6 | 272.2 | 274.1 | 272.2 | 274.1 | 268.2 | 268.0 | |
| M HIPT | R2 | 0.24 | 0.25 | 0.21 | 0.22 | 0.20 | 0.21 | 0.00 | 0.02 |
| p | 0.014 | 0.050 | 0.024 | 0.069 | 0.030 | 0.080 | 0.999 | 0.806 | |
| AIC | 87.5 | 89.3 | 137.7 | 139.2 | 155.8 | 157.3 | 138.6 | 140.1 | |
| F HIIT | R2 | 0.01 | 0.04 | 0.03 | 0.04 | 0.03 | 0.10 | 0.03 | 0.06 |
| p | 0.601 | 0.609 | 0.379 | 0.602 | 0.336 | 0.240 | 0.366 | 0.449 | |
| AIC | 141.6 | 142.8 | 205.1 | 206.8 | 192.8 | 192.6 | 160.0 | 161.1 | |
| F HIPT | R2 | 0.14 | 0.14 | 0.08 | 0.10 | 0.06 | 0.06 | 0.02 | 0.03 |
| p | 0.010 | 0.036 | 0.051 | 0.099 | 0.108 | 0.267 | 0.340 | 0.575 | |
| AIC | 218.4 | 220.3 | 273.9 | 275.0 | 282.5 | 284.4 | 230.7 | 232.5 | |
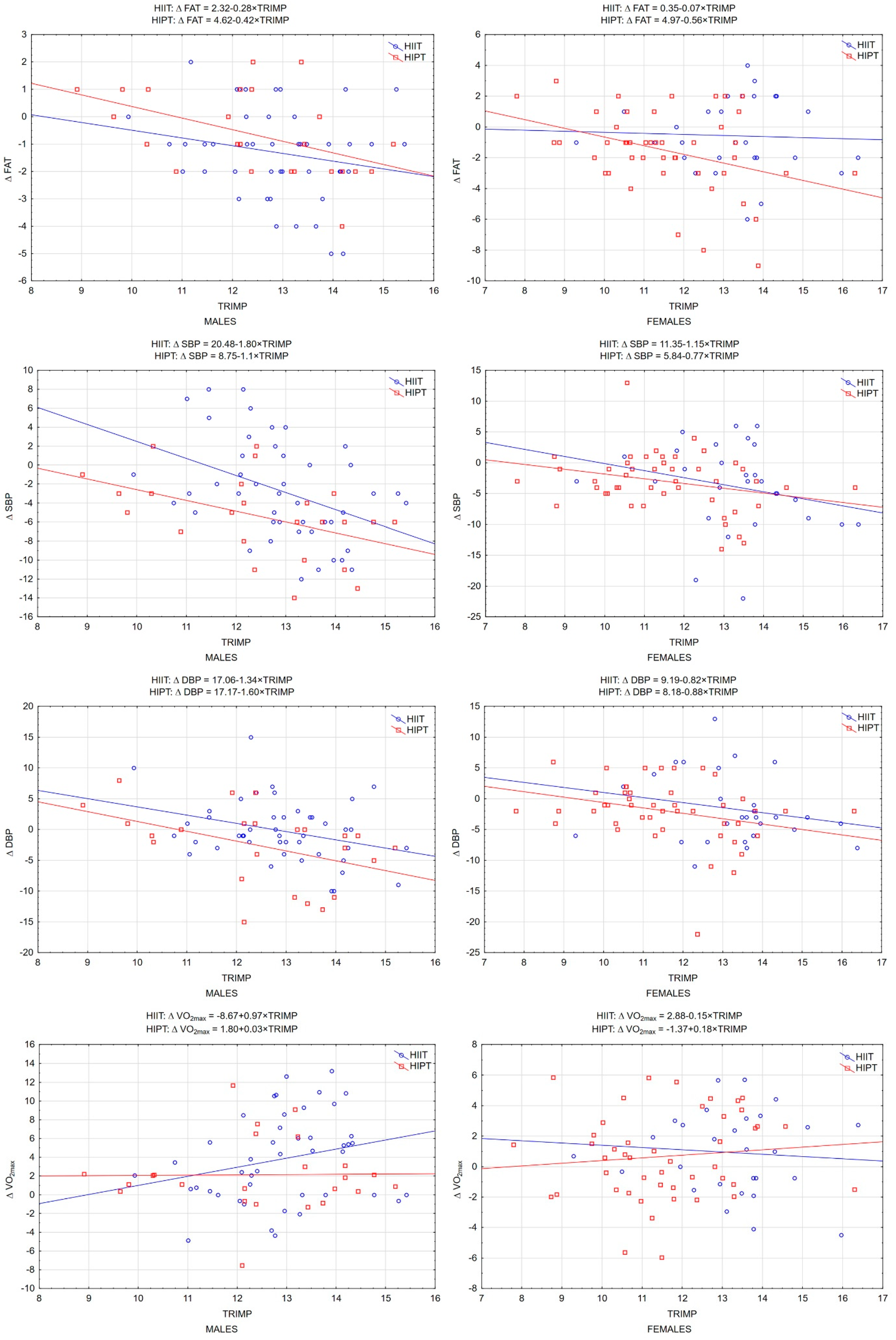
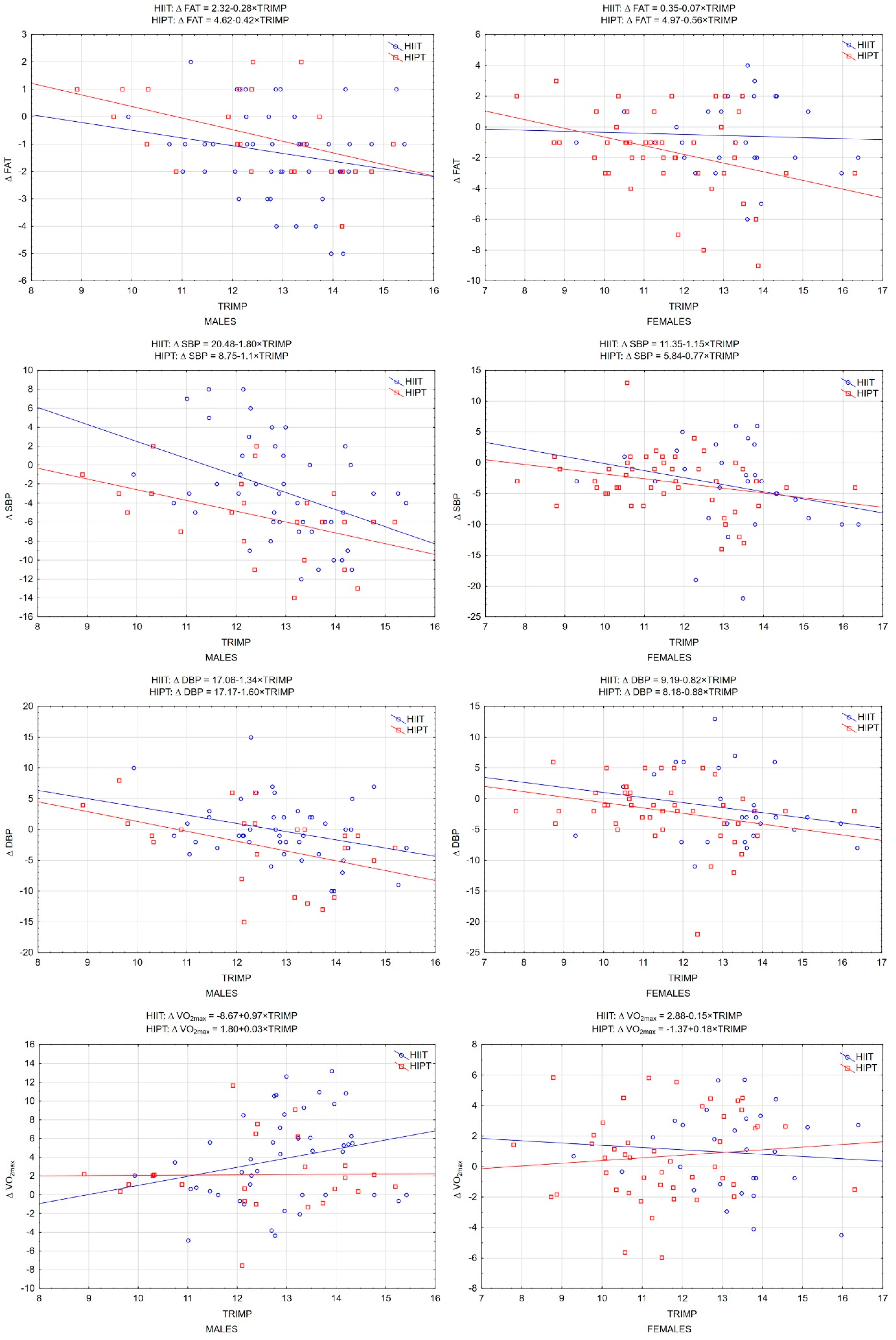
| DV | M HIPT | M HIIT | F HIPT | F HIIT | ||||||||
|---|---|---|---|---|---|---|---|---|---|---|---|---|
| Coeff | Coeff | Coeff | Coeff | |||||||||
| b0 | b1 | β | b0 | b1 | β | b0 | b1 | β | b0 | b1 | β | |
| %BF | 4.62 | −0.42 | −0.48 | 2.32 | −0.28 | −0.20 | 4.97 | −0.56 | −0.36 | 0.35 | −0.07 | −0.04 |
| SBP | 8.75 | −1.13 | −0.46 | 20.48 | −1.80 | −0.41 | 5.84 | −0.77 | −0.28 | 11.35 | −1.15 | −0.25 |
| DBP | 17.25 | −1.60 | −0.44 | 17.06 | −1.34 | −0.32 | 8.18 | −0.88 | −0.29 | 9.19 | −0.82 | −0.22 |
| VO2max | 1.80 | 0.03 | 0.01 | −8.67 | 0.97 | 0.25 | −1.36 | 0.18 | 0.11 | 2.88 | −0.15 | −0.08 |
| test b0 | M | %BF | SBP | DBP | VO2max | F | %BF | SBP | DBP | VO2max | ||
| Intercepts | p | 0.2267 | 0.0063 | 0.0217 | 0.1995 | p | 0.0165 | 0.6381 | 0.2017 | 0.8701 | ||
| test b1 | M | %BF | SBP | DBP | VO2max | F | %BF | SBP | DBP | VO2max | ||
| Slopes | p | 0.6008 | 0.4036 | 0.7740 | 0.2203 | p | 0.2044 | 0.6602 | 0.9397 | 0.4605 | ||
Disclaimer/Publisher’s Note: The statements, opinions and data contained in all publications are solely those of the individual author(s) and contributor(s) and not of MDPI and/or the editor(s). MDPI and/or the editor(s) disclaim responsibility for any injury to people or property resulting from any ideas, methods, instructions or products referred to in the content. |
© 2025 by the authors. Licensee MDPI, Basel, Switzerland. This article is an open access article distributed under the terms and conditions of the Creative Commons Attribution (CC BY) license (https://creativecommons.org/licenses/by/4.0/).
Share and Cite
Domaradzki, J.; Koźlenia, D.; Popowczak, M.; Kochan-Jacheć, K.; Szkudlarek, P.; Murawska-Ciałowicz, E. Training Impulse as a Tool for Linking Exercise Dose to Health Outcomes in Adolescents: Evidence from Interval-Based Interventions. Appl. Sci. 2025, 15, 10824. https://doi.org/10.3390/app151910824
Domaradzki J, Koźlenia D, Popowczak M, Kochan-Jacheć K, Szkudlarek P, Murawska-Ciałowicz E. Training Impulse as a Tool for Linking Exercise Dose to Health Outcomes in Adolescents: Evidence from Interval-Based Interventions. Applied Sciences. 2025; 15(19):10824. https://doi.org/10.3390/app151910824
Chicago/Turabian StyleDomaradzki, Jarosław, Dawid Koźlenia, Marek Popowczak, Katarzyna Kochan-Jacheć, Paweł Szkudlarek, and Eugenia Murawska-Ciałowicz. 2025. "Training Impulse as a Tool for Linking Exercise Dose to Health Outcomes in Adolescents: Evidence from Interval-Based Interventions" Applied Sciences 15, no. 19: 10824. https://doi.org/10.3390/app151910824
APA StyleDomaradzki, J., Koźlenia, D., Popowczak, M., Kochan-Jacheć, K., Szkudlarek, P., & Murawska-Ciałowicz, E. (2025). Training Impulse as a Tool for Linking Exercise Dose to Health Outcomes in Adolescents: Evidence from Interval-Based Interventions. Applied Sciences, 15(19), 10824. https://doi.org/10.3390/app151910824

