Effects of Dual-Tasking on Center-of-Pressure Dynamics and Spectral Balance Control
Abstract
1. Introduction
2. Research Methods
2.1. Participants
2.2. Experimental Setup
2.3. Experimental Procedure
2.3.1. Single Task
2.3.2. Dual-Task
2.4. Data Processing
2.5. Statistical Analysis
3. Results
3.1. COP Indicators
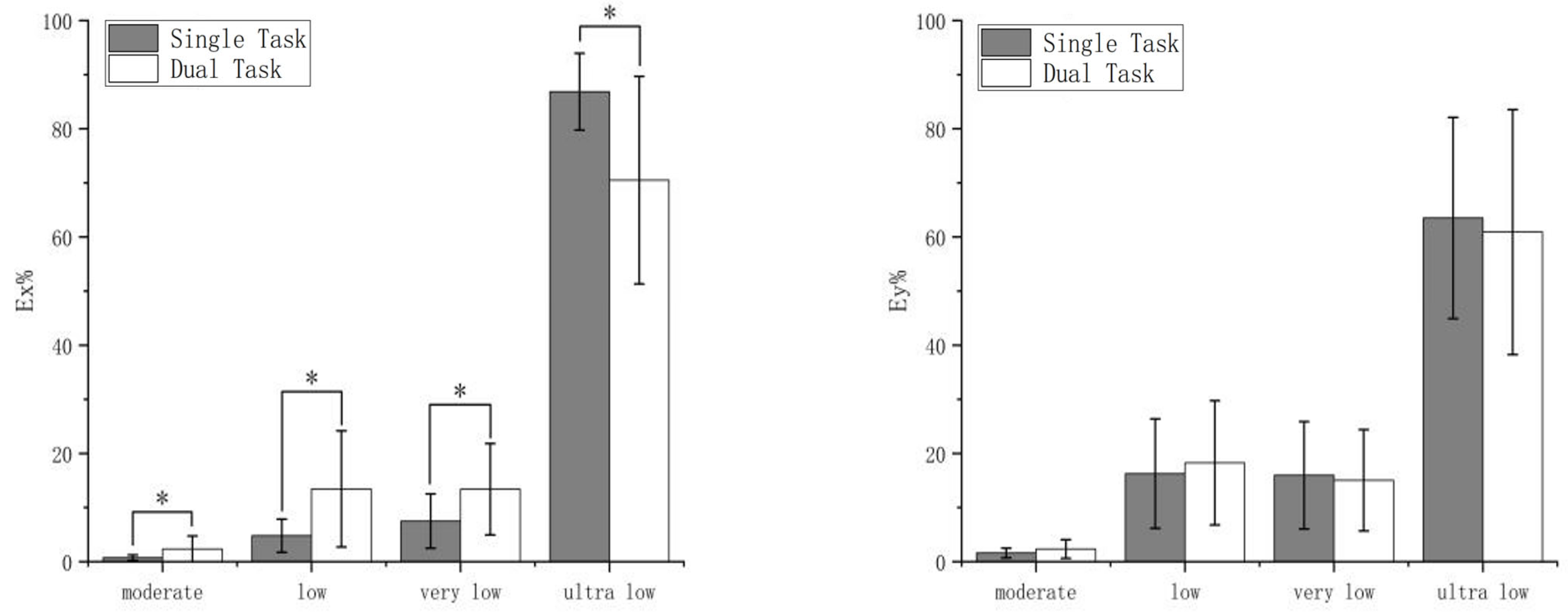
3.2. Energy Content
4. Discussion
Limitations and Future Research Directions
5. Conclusions
Author Contributions
Funding
Data Availability Statement
Conflicts of Interest
References
- Jadczak, Ł.; Grygorowicz, M.; Wieczorek, A.; Śliwowski, R. Analysis of static balance performance and dynamic postural priority according to playing position in elite soccer players. Gait Posture 2019, 74, 148–153. [Google Scholar] [CrossRef]
- Muelas Pérez, R.; Sabido Solana, R.; Barbado Murillo, D.; Moreno Hernández, F.J. Visual availability, balance performance and movement complexity in dancers. Gait Posture 2014, 40, 556–560. [Google Scholar] [CrossRef]
- Walsh, G.S. Visuomotor control dynamics of quiet standing under single and dual task conditions in younger and older adults. Neurosci. Lett. 2021, 761, 136122. [Google Scholar] [CrossRef] [PubMed]
- St-Amant, G.; Rahman, T.; Polskaia, N.; Fraser, S.; Lajoie, Y. Unveilling the cerebral and sensory contributions to automatic postural control during dual-task standing. Hum. Mov. Sci. 2020, 70, 102587. [Google Scholar] [CrossRef] [PubMed]
- Richer, N.; Lajoie, Y. Automaticity of Postural Control while Dual-tasking Revealed in Young and Older Adults. Exp. Aging Res. 2020, 46, 1–21. [Google Scholar] [CrossRef]
- Tramontano, M.; Morone, G.; Curcio, A.; Temperoni, G.; Medici, A.; Morelli, D.; Caltagirone, C.; Paolucci, S.; Iosa, M. Maintaining gait stability during dual walking task: Effects of age and neurological disorders. Eur. J. Phys. Rehabil. Med. 2017, 53, 7–13. [Google Scholar] [CrossRef]
- Meng, H.-J.; Luo, S.-S.; Wang, Y.-G. The interplay between cognitive tasks and vision for upright posture balance in adolescents. PeerJ 2019, 7, e7693. [Google Scholar] [CrossRef]
- Pan, J.; Zhang, S. Dual-Task Effect on Center of Pressure Oscillations and Prefrontal Cortex Activation Between Young and Older Adults. Res. Q. Exerc. Sport 2024, 96, 85–95. [Google Scholar] [CrossRef]
- Saraiva, M.; Castro, M.A.; Vilas-Boas, J.P. Muscular and Prefrontal Cortex Activity during Dual-Task Performing in Young Adults. Eur. J. Investig. Health Psychol. Educ. 2023, 13, 736–747. [Google Scholar] [CrossRef]
- Hadadi, M.; Abbasi, F. Comparison of the Effect of the Combined Mechanism Ankle Support on Static and Dynamic Postural Control of Chronic Ankle Instability Patients. Foot Ankle Int. 2019, 40, 702–709. [Google Scholar] [CrossRef]
- Lacour, M.; Tardivet, L.; Thiry, A. Posture Deficits and Recovery After Unilateral Vestibular Loss: Early Rehabilitation and Degree of Hypofunction Matter. Front. Hum. Neurosci. 2021, 15, 776970. [Google Scholar] [CrossRef]
- Liang, Z.; Clark, R.; Bryant, A.; Quek, J.; Pua, Y.H. Neck musculature fatigue affects specific frequency bands of postural dynamics during quiet standing. Gait Posture 2014, 39, 397–403. [Google Scholar] [CrossRef] [PubMed]
- Chagdes, J.R.; Rietdyk, S.; Haddad, J.M.; Zelaznik, H.N.; Raman, A.; Rhea, C.K.; Silver, T.A. Multiple timescales in postural dynamics associated with vision and a secondary task are revealed by wavelet analysis. Exp. Brain Res. 2009, 197, 297–310. [Google Scholar] [CrossRef] [PubMed]
- Ren, Y.; Wang, C.; Zhang, L.; Lu, A. The effects of visual cognitive tasks on landing stability and lower extremity injury risk in high-level soccer players. Gait Posture 2022, 92, 230–235. [Google Scholar] [CrossRef] [PubMed]
- Lemaire, P. Effects of prior-task failure on arithmetic performance: A study in young and older adults. Mem. Cogn. 2021, 49, 1236–1246. [Google Scholar] [CrossRef]
- Chen, E.H.; Bailey, D.H. Dual-task studies of working memory and arithmetic performance: A meta-analysis. J. Exp. Psychol. Learn. Mem. Cogn. 2021, 47, 220–233. [Google Scholar] [CrossRef]
- Xu, Y.; Geng, C.; Tang, T.; Huang, J.; Hou, Y. How to prevent cognitive overload in the walking-arithmetic dual task among patients with Parkinson’s disease. BMC Neurol. 2023, 23, 205. [Google Scholar] [CrossRef]
- Thomas, K.S.; Hammond, M.; Magal, M. Graded forward and backward walking at a matched intensity on cardiorespiratory responses and postural control. Gait Posture 2018, 65, 20–25. [Google Scholar] [CrossRef]
- Wang, G.; Mao, X.; Zhang, Q.; Lu, A. Time-frequency Analysis of COP in Static Postural Control of Subjects with Functional Ankle Instability. Chin. J. Sports Med. 2021, 40, 691–697. [Google Scholar] [CrossRef]
- Ren, J.; Kazuhiko, W.; Makoto, M. The Effect of Cognitive Task on Visual Control of Standing Posture. Acta Psychol. Sin. 2010, 42, 360–366. [Google Scholar] [CrossRef]
- Basso Moro, S.; Bisconti, S.; Muthalib, M.; Spezialetti, M.; Cutini, S.; Ferrari, M.; Placidi, G.; Quaresima, V. A semi-immersive virtual reality incremental swing balance task activates prefrontal cortex: A functional near-infrared spectroscopy study. NeuroImage 2014, 85 Pt 1, 451–460. [Google Scholar] [CrossRef]
- Holtzer, R.; Mahoney, J.R.; Izzetoglu, M.; Wang, C.; England, S.; Verghese, J. Online fronto-cortical control of simple and attention-demanding locomotion in humans. NeuroImage 2015, 112, 152–159. [Google Scholar] [CrossRef] [PubMed]
- Ferrari, N.; Schmitz, L.; Schmidt, N.; Mahabir, E.; Van de Vondel, P.; Merz, W.M.; Lehmacher, W.; Stock, S.; Brockmeier, K.; Ensenauer, R.; et al. A lifestyle intervention during pregnancy to reduce obesity in early childhood: The study protocol of ADEBAR—A randomized controlled trial. BMC Sports Sci. Med. Rehabil. 2020, 12, 55. [Google Scholar] [CrossRef] [PubMed]
- Stins, J.F.; Roerdink, M.; Beek, P.J. To freeze or not to freeze? Affective and cognitive perturbations have markedly different effects on postural control. Hum. Mov. Sci. 2011, 30, 190–202. [Google Scholar] [CrossRef] [PubMed]
- Ruffieux, J.; Keller, M.; Lauber, B.; Taube, W. Changes in Standing and Walking Performance Under Dual-Task Conditions Across the Lifespan. Sports Med. 2015, 45, 1739–1758. [Google Scholar] [CrossRef]
- Quek, J.; Brauer, S.G.; Clark, R.; Treleaven, J. New insights into neck-pain-related postural control using measures of signal frequency and complexity in older adults. Gait Posture 2014, 39, 1069–1073. [Google Scholar] [CrossRef]
- Cheung, T.C.K.; Schmuckler, M.A. Multisensory postural control in adults: Variation in visual, haptic, and proprioceptive inputs. Hum. Mov. Sci. 2021, 79, 102845. [Google Scholar] [CrossRef]
- Chepisheva, M.K. Spatial orientation, postural control and the vestibular system in healthy elderly and Alzheimer’s dementia. PeerJ 2023, 11, e15040. [Google Scholar] [CrossRef]
- Cone, B.L.; Goble, D.J.; Rhea, C.K. Relationship between changes in vestibular sensory reweighting and postural control complexity. Exp. Brain Res. 2017, 235, 547–554. [Google Scholar] [CrossRef]
- Beurskens, R.; Haeger, M.; Kliegl, R.; Roecker, K.; Granacher, U. Postural Control in Dual-Task Situations: Does Whole-Body Fatigue Matter? PLoS ONE 2016, 11, e0147392. [Google Scholar] [CrossRef][Green Version]
- Alizadeh, A.; Jafarpisheh, A.S.; Mohammadi, M.; Kahlaee, A.H. Visual, vestibular, and proprioceptive dependency of the control of posture in chronic neck pain patients. Mot. Control 2022, 26, 362–377. [Google Scholar] [CrossRef]





| Indicators | Group | M ± SD | t | p |
|---|---|---|---|---|
| Area (mm2) | Single Task | 472.21 ± 145.22 | 1.592 | 0.128 |
| Dual Task | 398.24 ± 130.20 | |||
| Lxy/Area (mm−1) | Single Task | 9.65 ± 3.32 | −2.662 | 0.015 * |
| Dual Task | 12.31 ± 3.61 |
Disclaimer/Publisher’s Note: The statements, opinions and data contained in all publications are solely those of the individual author(s) and contributor(s) and not of MDPI and/or the editor(s). MDPI and/or the editor(s) disclaim responsibility for any injury to people or property resulting from any ideas, methods, instructions or products referred to in the content. |
© 2025 by the authors. Licensee MDPI, Basel, Switzerland. This article is an open access article distributed under the terms and conditions of the Creative Commons Attribution (CC BY) license (https://creativecommons.org/licenses/by/4.0/).
Share and Cite
Zhang, L.; Wang, Q.; Ren, Y.; Lu, A. Effects of Dual-Tasking on Center-of-Pressure Dynamics and Spectral Balance Control. Appl. Sci. 2025, 15, 10788. https://doi.org/10.3390/app151910788
Zhang L, Wang Q, Ren Y, Lu A. Effects of Dual-Tasking on Center-of-Pressure Dynamics and Spectral Balance Control. Applied Sciences. 2025; 15(19):10788. https://doi.org/10.3390/app151910788
Chicago/Turabian StyleZhang, Lei, Qingjie Wang, Yuanyuan Ren, and Aming Lu. 2025. "Effects of Dual-Tasking on Center-of-Pressure Dynamics and Spectral Balance Control" Applied Sciences 15, no. 19: 10788. https://doi.org/10.3390/app151910788
APA StyleZhang, L., Wang, Q., Ren, Y., & Lu, A. (2025). Effects of Dual-Tasking on Center-of-Pressure Dynamics and Spectral Balance Control. Applied Sciences, 15(19), 10788. https://doi.org/10.3390/app151910788

