Next Article in Journal
The Effects of Changing the Support Point in a Given Cross Section on Structural Stability
Previous Article in Journal
A Deviation Correction Technique Based on Particle Filtering Combined with a Dung Beetle Optimizer with the Improved Model Predictive Control for Vertical Drilling
Previous Article in Special Issue
Hot-Pressing of Ti-Al-N Multiphase Composite: Microstructure and Properties
 
 
Font Type:
Arial Georgia Verdana
Font Size:
Aa Aa Aa
Line Spacing:
Column Width:
Background:
Article

Novel Experimental and Simulation Investigation of Transducer Coupling and Specimen Geometry Effects in Low-Frequency Ultrasonic Testing

Department of Civil and Environmental Engineering, University of Waterloo, Waterloo, ON N2L 3G1, Canada
*
Authors to whom correspondence should be addressed.
Appl. Sci. 2025, 15(19), 10772; https://doi.org/10.3390/app151910772
Submission received: 28 July 2025 / Revised: 28 September 2025 / Accepted: 28 September 2025 / Published: 7 October 2025

Abstract

Conventional characterization of ultrasonic testing (UT) transducers primarily focuses on determining centre frequency and usable bandwidth. However, the relative amplitude distribution across different frequency components—particularly in low-frequency transducers used for civil engineering applications—remains largely overlooked. This paper introduces a comprehensive methodology to assess the influence of transducer coupling and specimen geometry on ultrasonic pulse velocity signals. The novel approach combines high-frequency laser Doppler vibrometry, real-time photoelastic imaging, and computer simulations using commercial semi-analytical wave-propagation software. The methodology is applied to the characterization of a 250 kHz UT transducer, with particular emphasis on how coupling with a solid test medium alters its frequency response. A glass specimen with an acoustic impedance comparable to that of concrete is used to simulate practical testing conditions. Vibration patterns recorded at the distal end of the specimen are analysed through computer simulations and validated experimentally using a novel photoelastic system capable of capturing wave–specimen interactions at ultrasonic frequencies in real time. The findings offer valuable insights into frequency-dependent signal behaviour and transducer–medium interactions, providing practical guidance for the design and optimization of UT inspections in concrete and other highly attenuative materials commonly encountered in civil engineering.

1. Introduction

Characterisation of ultrasonic testing (UT) transducers has a long history. In the 1970s, the American Institute of Ultrasound in Medicine identified the key parameters, such as frequency response, sensitivity, beam characteristics, and reflected waveforms required to define UT probes [1]. Erikson [1,2] proposed a tone-burst-based procedure for characterizing pulse–echo immersion transducers. The method was developed specifically for non-focused ultrasonic transducers with centre frequencies in the range of 2.25 MHz to 2.4 MHz. In this approach, the excitation frequency was swept both below and above the nominal transducer frequency. By analyzing the reflected signal from a steel plate, the excitation frequency was iteratively adjusted to maximize the received response. The centre frequency and usable bandwidth were then determined based on the frequency that produced the peak response.
In the late 70s, Papadakis investigated the relationship between the transducer’s centre frequency and the resonant frequency of the piezoelectric element [3]. As expected, given the added mass, the centre frequency of the probe was consistently lower than the resonance of the active element. Based on investigations of transducers with centre frequencies between 10 and 15 MHz (both focused and non-focused), a method was proposed for characterising the spatial distribution of pressure amplitude and surface motion of the transducer. The experiments were performed using a photoelastic system and scanning electron microscopy.
In 1985, the first standard guide (ASTM E1065 [4]) documented recommendations for evaluating the acoustic and electrical responses of UT probes. The applicability of the standard was suggested for transducers with centre frequencies from 400 kHz to 10 MHz; however, an extension to higher-frequency immersion probes (up to 50 MHz) was also documented. Key characteristics that can be evaluated using ASTM E1065 include centre frequency, bandwidth, relative sensitivity (ratio of the response voltage to applied excitation voltage), time response, and electrical impedance. Further improvements in the characterisation process have included automation (i.e., motorised transducer holder by Wang et al. [5]), advancements in signal processing, such as the application of neural networks and pattern recognition techniques [6,7], or modelling of key influential parameters such as electrical impedance, sensitivity, or acoustic radiation [8,9,10,11].
Moss and Scruby [12] used laser interferometry to study UT transducers. Transducers with frequencies ranging from 2.25 MHz to 10 MHz were placed on refracting wedges (to induce shear waves in the test materials) and coupled to aluminum test blocks. UT responses were measured on the opposite side of the test block. Their experimental setup represented real-life coupling conditions. Parameters such as beam profile, amplitude, and pulse shape were measured. The effects of sensor size on received UT pulses have also been investigated [13].
More recent studies have utilised laser Doppler vibrometers (LDVs) to measure transducer vibrations as a function of displacement [14,15]. LDVs have also been used to measure out-of-plane displacements of transducer wearing surfaces and compare them to theoretical solutions of differential equations for vibrating thin plates [16,17,18]. LDVs have also been used to visualise underwater acoustic wavefronts of focused UT transducers [19].
The development of advanced sensor technologies and signal processing methods for civil engineering applications is an active area of research. Innovations include the use of single- and multi-faceted UT array data to generate 3D visualizations of internal concrete conditions via pulse–echo tomography [20,21,22,23], integration of multiple NDT techniques to assess concrete compressive strength [24], and deployment of aerial robots for UT data collection [25]. Parallel studies have also investigated uncertainties in UT data and frequency-dependent features arising from the high degree of concrete non-homogeneity and the presence of aggregates [26]. Recent advancements in signal processing techniques for civil engineering applications include methods like coda wave interferometry, which are effective for detecting subtle material changes such as micro-cracks and monitoring crack healing [27,28,29]. Additionally, advanced approaches such as the Hilbert–Huang Transform (HHT) and Variational Mode Decomposition (VMD) have been reported for improved analysis of complex UT signals [30,31,32]. Machine learning (ML) and artificial intelligence (AI) are actively being explored to automate UT data analysis and damage detection. Several frameworks based on convolutional neural networks (CNNs) have been reported [22,23,33,34,35]. However, key challenges remain unresolved, including issues related to data volume and variability, modelling complexity, and uncertainty in predictions. Research efforts also focus on the dispersive behaviour of longitudinal ultrasonic pulses in both fresh and hardened concrete, aiming to develop advanced elastic theories that explain phase velocity variations in the low-frequency range [36,37].
Despite the advancements in high-frequency ultrasonics (e.g., MHz range), the characterisation of low-frequency UT transducers (i.e., UT transducers are typically low-frequency probes, with a centre frequency below 500 kHz [27,38,39]) remains an active research area in the non-destructive testing (NDT) of civil engineering materials, which are highly attenuative and non-homogeneous (e.g., composition of concrete and presence of reinforcing bars).
The framework of characterising low-frequency UT transducers, as identified in the literature, provides an important foundation for civil engineering NDT applications. However, the reviewed work did not account for coupling effects between the UT probe and the specimen under investigation, nor how the addition of a solid medium alters the transducer’s response. Furthermore, the influence of boundary conditions imposed by the geometry of the test elements on the propagating pulse, and their effects on the received UT signals (ultimately leading to characterisation of the receiving process), has not been documented.
The main objective of this paper is to introduce a novel framework that can be used to address key gaps in the current understanding of low-frequency ultrasonic transducer behaviour. The framework is demonstrated through the characterization of a 250 kHz nominal frequency UT transducer. First, surface displacements of the transducer—measured using an LDV by Wiciak et al. [18]—are compared to the transducer’s response when coupled with a transparent glass block. The characterization is performed using LDV data and analysed across multiple domains: time, frequency (fast Fourier transform, FFT [40]), and time-frequency (wavelet synchro-squeezed transform, WSST [41]).
Subsequently, the vibration response at the far end of the glass specimen is examined. This wavefield is analysed using computer simulations conducted in wave propagation software, CIVA 2017 and CIVA 2023 [42], and validated experimentally with a photoelastic imaging system capable of capturing real-time ultrasonic wave interactions.
The findings provide practical insights for optimizing the design of UT inspections in concrete and other civil engineering materials, particularly in scenarios where high attenuation significantly impacts ultrasonic pulse propagation.

2. Theoretical Background

2.1. Wavelet Synchro-Squeezed Transform WSST

The UT responses measured in this study are analysed in both the time and frequency domains using the FFT, as well as in the time-frequency (TF) domain using the WSST [40,41]. Analysis of the TF representation reveals how individual spectral components change over time. Similar to the more commonly known continuous wavelet transform, WSST transforms a time-domain signal x ( t ) into the TF domain, enabling the decomposition of multicomponent signals into individual oscillatory modes x i ( t ) .
First, wavelet coefficients W x ( a , b ) are computed, where a represents the scale and b the time offset. For each point ( a , b ) , an instantaneous frequency ω x ( a , b ) is computed by
ω x a , b = i W x a , b 1 b W x a , b .
Next, the time-scale plane is mapped [ b , a ( b , ω x a , b ) ] to the time-frequency with an operation called synchro-squeezing. The synchro-squeezing transform T x ω l , b is given by
T x ω l , b = ω 1 a k : | ω a k , b ω l | ω / 2 W x a k , b a k 3 / 2 a k
where a k represents discrete values of the scale, a k = a k a k 1 , frequencies ω l are centres of the bins [ ω l 1 2 ω , ω l + 1 2 ω ], and ω = ω l ω l 1 . If the individual components ( x i t ) are well separated [43], they can be estimated by inverting the synchro-squeezing transform:
x i t = R e C ψ 1 l T x ω l , b
where R e ( . ) defines the real part of the function and C ψ is the normalization constant. In this study, the WSST algorithm implemented in the synchro-squeezing toolbox in Matlab is used with the Morlet wavelet [41]. More details on the WSST technique can be found in Daubechies et al. [43] and Thakur et al. [44].

2.2. Working Principle of the Photoelastic Visualizing Technique

The application of the photoelastic principle for visualizing ultrasound is an experimental technique used to observe and measure stress distribution in transparent materials. The photoelastic phenomenon was first observed in the early 19th century by D. Brewster, who studied optical properties (i.e., transmission of light) in transparent bodies. He discovered that certain materials exhibit birefringence, or double refraction [45]. The first experimental frameworks were established in the early 20th century, and practical systems for visualising ultrasonic pulses and their interactions with specimen defects were developed by Wyatt [46] and Hall [47].
The underlying principle of photoelastic visualization relies on the fact that a transparent, isotropic material becomes birefringent when subjected to mechanical stress. This stress-induced birefringence causes the material to exhibit different refractive indices for light polarised along the principal stress directions, enabling real-time visualization of dynamic stress fields associated with ultrasonic wave propagation [46]. In a photoelastic visualization system, a beam of light passes through two crossed linear polarizers, with a birefringent transparent specimen placed between them. The interaction of the light with the stressed material introduces a phase difference between orthogonally polarised components, resulting in bright regions appearing against a dark background. This optical effect enables the visualization of ultrasonic waves as they propagate through the specimen, producing localised changes in the internal stress state. Adjusting the orientation of the polarizers can enhance image contrast and improve the clarity of wavefront patterns. A more detailed explanation of the underlying principles can be found in [46,47]. Since the imaging relies on stress gradients within the material, it is essential that the transparent specimen be properly stress-relieved after any artificial flaws or defects are introduced.

2.3. Computer Simulations

CIVA [42] is a simulation program developed by the Commissariat à l’Energie Atomique supporting multiple NDT methods such as UT, eddy current testing (ET), or radiographic testing (RT). CIVA provides modelling, imaging, and analysis tools to offer insights into inspection techniques and predict their performance. In this study, the UT module of CIVA is utilised [42]. The UT module is based on a semi-analytical beam propagation model called the ‘pencil method’, which employs a ray-theory-based geometrical approach to simulate beam propagation. The modelling of beam–defect interaction and echo formation mechanisms applies approximation theories such as Kirchhoff approximation and the geometrical theory of diffraction [42]. CIVA simulations are used as a qualitative aid to investigate wave propagation in simulated test specimens. Detailed description of the simulation parameters and models used in this study is presented in Section 3.3.

3. Materials and Methods

3.1. Methodology

This study aims to develop a comprehensive methodology for evaluating the influence of transducer coupling and specimen geometry on ultrasonic pulse velocity signals, with an emphasis on the kilohertz frequency range commonly employed in civil engineering applications. The assessment is structured around two key components: (1) analyzing the effects of transducer coupling, as manifested through the interaction between the ultrasonic transducer and the test medium, and (2) examining how specimen geometry influences the ultrasonic signals received by the transducers.
The methodology of this study consists of the following three steps.
Activity 1: Laboratory acquisition of UT responses with an LDV. The first goal of this activity is to examine how a test sample affects the vibration of the transducer’s wearing surface. The second goal is to evaluate the response characteristics at the top of the test specimen (through transmission or pitch-catch UT configuration).
Activity 2: Investigation of wave propagation through a specimen and vibration patterns of the received UT waves using computer simulations. A representative model is developed and simulated in CIVA.
Activity 3: Experimental verification using a photoelastic system. This activity focuses on verifying UT wave propagation, boundary interactions, and the shape of the arriving pulse using a photoelastic visualization system.
The activities are described in detail in the following subsections.

3.2. Ultrasonic Transducers and Laboratory Acquisition of UT Responses with a Laser Doppler Vibrometer

Typical ultrasonic transducers used for evaluating concrete elements are considered low-frequency transducers. ASTM recommends using transducers with centre frequencies in the range of 20 kHz to 100 kHz [3]. However, successful applications of higher-frequency transducers (e.g., 150 kHz or 250 kHz) in concrete evaluation have also been reported [48,49].
This paper focuses on examining a P-wave transducer with a nominal centre frequency of 250 kHz. To drive the transducer, a function generator (HP33120A) is used to provide a square pulse excitation at the nominal frequency (for the scans of the wearing surface, a nominal amplitude of +6 V is used; for scans on top of the glass block, the excitation is amplified to +125 V). First, the responses across the wearing surface of the probe are measured using an LDV. The signals are read with a laser sensor head (Polytec OFV-534), connected to a vibration controller (OFV-2570), and stored on a computer. The LDV, operating in the displacement mode, can measure vibration amplitudes in a frequency range of 30 kHz to 5 MHz and pulse amplitudes up to 150 nm (peak-to-peak). To avoid signal saturation, no external amplifier was required. The measurement sensitivity of the laser system is 50 nm/V, and the recorded signals are sampled at a rate of 25 MHz. Details of the through-air characterization of the 250 kHz transducer are documented in [18].
As part of Activity 1, a rectangular glass block (K9/BK7 glass) with an 80 mm square cross-section and a height of 130 mm is glued to the transducer, ensuring the probe is centred on the bottom surface of the glass block. The block with the glued transducer is supported in a 3D-printed holder (that way, the transducer is not affected by the weight of the glass block).
The glass is transparent, allowing the laser beam to pass through and measure the response of the transmitter in contact with the medium (Figure 1a). Although there are significant material differences between glass and concrete (including variations in concrete structure such as aggregate distribution, microcracks, and pore structure), this simplification enables the observation of unique coupling effects between the ultrasonic transducer and the specimen. The acoustic impedance of the used glass (ZK9 = 12.9 MRayl, assuming a P-wave velocity of 5850   m s and a density of 2200 k g m 3 ) is similar to that of concrete (ZCONCRETE = 10.6 MRayl, assuming a P-wave velocity of 4400   m s and a density of 2400 k g m 3 ). However, a significant difference in material attenuation should be noted. In addition, the acoustic impedance of concrete varies with the aggregate and moisture.
Due to its size, the specimen was not stress-relieved. Based on the expected wavelength (assuming a P-wave velocity of 5850 m s and a nominal frequency of 250 kHz, one can calculate the nominal wavelength as λ 250 = 23.4   m m ) and physical dimensions of the glass, the specimen provides a ratio of more than five wavelengths per length. This ensures that the responses measured at the far end of the block are free from near-field effects. The same methodology can be used for the characterization of transducers with lower resonant frequencies. However, a larger glass block would be required in such cases.
In the through-glass configuration (shown in Figure 1a), responses are measured along the transducer diameter (40 measuring points with 0.5 mm spacing), as well as using a polar grid, shown in Figure 2a. Each time signal acquired with the LDV represents an average of 500 measurements. The use of a transparent material enables the laser beam to pass through the specimen, making it possible to observe how the vibration of the wear face is influenced by coupling with the solid medium, which is typically not feasible to measure for non-transparent construction materials like concrete. The differences observed in both setups are analysed in the time and frequency domains. Additionally, WSST is applied to illustrate how individual frequency components change over time in each setup.
Next, the displacements at the top surface of the glass block are investigated (Figure 1b). First, the area directly above the transducers is scanned using a dense polar grid, shown in Figure 2a, consisting of 10 concentric circles starting at a 1 mm radius and increasing with 1 mm increments. Each circle contains 24 measurement points, resulting in a total of 241 data points. This setup allows for a direct comparison between the free-surface displacement of the transducer (as measured by Wiciak et al. [18]) and the vibration observed at the top of the glass sample. The scanning is then extended to cover the entire top surface using two configurations: a cross pattern (80 points with 1 mm spacing per line) and a diagonal line (111 points with 1 mm spacing per line), as shown in Figure 2b.
The top surface of the glass block is examined to address the second research objective. The boundary-related effects are examined by analysing vibration patterns along the cross and diagonal lines (Figure 2b). The results suggest that the signals typically associated with P-wave arrivals, as measured by a UT receiver, are rapidly influenced by boundary effects such as head wave arrivals.
To investigate the origin of the displacement features observed on the top surface, wave propagation in the glass specimen is studied through a series of computer simulations performed in CIVA and validated using a photoelastic setup.

3.3. Investigation of Wave Propagation with Computer Simulations—Setup

The main goal of the UT simulations was to study wave propagation within the glass specimen and explain the displacement patterns observed at the top surface of the glass block. For this purpose, CIVA 2017 and CIVA 2023 ultrasonic simulation software were used. The main simulation parameters are described below.
  • Simulated material
The models were developed to match one of the stress-relieved glass specimens available in the lab. In this case, soda-lime float glass was defined as the material type with the following parameters: a density of 2.2 g/cm3, a P-wave velocity of 5850 m/s, and an S-wave velocity of 3450 m/s.
  • Simulated geometry
To replicate the laboratory experiment (i.e., both the laser vibrometer and the photoelastic test setups), two specimen geometries were considered. First, a rectangular prism with an 80 mm × 80 mm square cross-section and a height of 130 mm is modelled. The second geometry considered a cylindrical prism with a 50 mm diameter and a height of 130 mm. The cylindrical geometry, commonly used in concrete core evaluations, was included to extend the applicability of the study to UT NDT applications in civil engineering.
  • Simulated transducer(s)
Two types of UT transducers were simulated. The main investigation used a normal incident probe with a 20 mm diameter, 1 MHz centre frequency, and a bandwidth of 80%. The selection of the probe frequency was made to match the laboratory capability of the photoelastic system.
In the extension of the simulation scope, aimed at civil engineering applications, a 24 mm probe with a 250 kHz centre frequency and 50% bandwidth was used. The simulated probe size and frequency match the probe used in the tests performed with the laser vibrometer.
  • Simulation settings
Beam computations were performed to study the progression of the simulated pulse through the specimen. Two rectangular computation zones were defined. The first zone passed through the middle of the prism (X–Z plane), while the second zone passed through the diagonal section (X–Z plane rotated by 45°). The number of steps in each direction was set to result in a 1 mm by 1 mm grid. Smaller grid sizes were also simulated; however, it was found that the 1 mm resolution was sufficient to resolve the simulated cases.
For the simulations involving the 250 kHz probes, smaller volumetric computation zones were used. These zones were near the far side of the specimen to observe the associated surface displacements. As with the earlier simulations, the grid size was set as 1 mm by 1 mm by 1 mm.

3.4. Experimental Verification Using a Photoelastic System—Setup

The experimental verification of wave propagation in the glass specimen was performed with a photoelastic system presented in Figure 3, built by E. Ginzel [50]. The system includes a delay circuit for timing and delay of illumination with respect to the UT pulse. It uses a high-intensity light-emitting diode (LED) and a firing circuit that enables 25 ns illumination pulses at a repetition rate up to 10 kHz. This short pulse duration allows the system to resolve compression-mode wavelengths in glass at frequencies exceeding 10 MHz.
Unpolarised light first passes through a polarising filter, converting it into linearly polarised light. This is followed by a quarter-wave plate, which changes the linear polarisation into circular polarisation. A second quarter-wave plate and an analyser are placed into the light path, with their orientation configured to nullify the light passing through the analyser. A transparent solid, such as glass, is inserted between the quarter-wave plates. When ultrasonic pulses induce stress in the glass, they alter the polarisation state of the light, making the stress-induced regions visible.
In this setup, a smaller fused silica specimen (25 mm × 25 mm × 150 mm) was used due to the availability of stress-relieved glass specimens. This required the use of a higher-frequency transducer. A 20 mm diameter, 1 MHz probe was driven with a 300 V single-cycle square. The probe was placed at the bottom of the specimen, similar to the laser vibrometer setup. The P-wave velocity in the specimen was approximately 5980 m/s, and the S-mode was about 3575 m/s.

4. Results and Discussion

4.1. Effect of Interference Between a Transmitter and the Tested Specimen

The influence of medium interference on a 250 kHz P-wave transducer was assessed by comparing its response in two configurations: through air (as reported in [18]) and through a K9 glass block bonded to the transducer (as shown in Figure 1a). The glass block was selected to simulate the acoustic impedance of concrete, providing a more representative test environment for concrete-like materials.
Figure 4 presents wear-surface vibration profiles measured along the transducer diameter for both configurations.
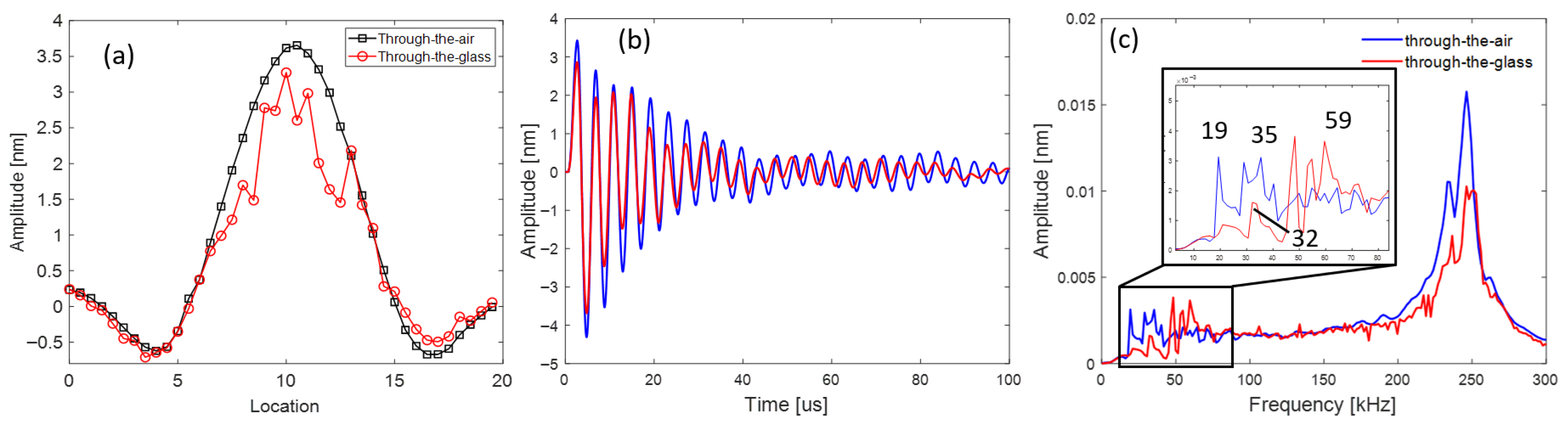
The overall mode shape remains largely unchanged with the introduction of the glass medium (Figure 4a), although localised disturbances and a reduction in amplitude are evident. This amplitude reduction, attributed to the glass interface, results in a lower signal-to-noise ratio.
A more detailed analysis of the vibration is presented in Figure 4b,c for the signals measured at the centre of the wearing surface. The primary difference observed in time signals (Figure 4b) lies in amplitude attenuation. A similar effect is present in the frequency domain (Figure 4c), where the peak amplitude at the centre frequency is reduced by approximately 35% (total amplitude in the band from 150 kHz to 300 kHz is reduced by 28%). A more important difference is observed in the low-frequency range (i.e., below 100 kHz). A group of frequencies below 50 kHz (19 kHz and 35 kHz peaks observed in the through-air acquisition) are significantly reduced (total amplitude under 50 kHz is reduced by 38%), and the peaks around 55 kHz become more prominent (50 kHz and 59 kHz, observed in the through-glass case; total amplitude within the 50 kHz to 100 kHz band is unchanged).
To explore the temporal nature of these frequency changes, the WSST technique was applied. The instantaneous frequencies estimated with WSST are shown in Figure 5. Colourmaps are saturated (amplitude-colour-wise, the same level of saturation is implemented) to show the effects of the lower-than-nominal frequencies.
The energy of the nominal frequency component attenuates much faster when the response of the transducer is read through the glass block (the dark red colour is present only during the first 40 μs in the test with the glass specimen, whilst it is present practically throughout the whole observed time for the air configuration). Moreover, more substantial participation of ~50 kHz spectral components is observed when the response is read through glass. Further improvements in feature extraction and signal-to-noise ratio are expected to be achieved through application of more advanced signal processing techniques such as adaptive filtering or HHT.
Based on the scans acquired with the two setups, it can be concluded that the presence of the glass block does not affect the nominal frequency significantly (only the amplitude reduction effect is present). At the same time, the frequency content below 100 kHz is modified. Although the amplitude in that range is low, relative to the nominal frequency, it might play a significant role in the applications in concrete. This is due to the non-homogeneous nature of concrete, which significantly attenuates the propagation of the waves at high frequencies. Consequently, it is possible that instead of the anticipated high-frequency pulse (i.e., short wavelength), the resulting wave propagating in concrete would be associated with the ~50 kHz spectral components (i.e., resulting in five times longer wavelength than assumed based on the nominal probe frequency). It should be noted that the application of the proposed framework to concrete would require perfect surface conditions to ensure even coupling. By ensuring smooth surface conditions and application of couplant filling any gaps, the main difference is expected to be due to attenuation effects.

4.2. Investigation of the UT Responses at the Far End of the Glass Block Specimen

Next, the responses measured at the top surface of the glass block (i.e., far end) are analysed. These surface scans are compared with the vibrations of the wear surface of the transmitter measured in the through-air configuration. The surface displacements are shown in Figure 6; data are acquired using the polar grids shown in Figure 2a.
The displacement pattern observed for the wearing surface of the transducer (Figure 6a) is largely preserved for the area at the top of the glass block directly above the probe, with the maximum displacement occurring at the centre of the probe/specimen. However, a distinct additional cross-pattern, representing a wavefront travelling along the diagonals of the block, is also observed in Figure 6b.
To investigate the pattern in more detail, the scanning area was extended to include the linear grids shown in Figure 2b, spanning between two sides of the specimen and across the complete diagonal lines. Figure 7 presents selected snapshots from the animation created based on the measured responses. Initially, the arrival of the P-wave is observed (Figure 7a, observed maximum surface displacement of 0.25 nm), followed by the progression of wavefronts from each side of the specimens (Figure 7b, wavefronts’ surface displacement of 0.5 nm). The cross-pattern observed in Figure 6 results from constructive interference between these wavefronts. Finally, the side wavefronts meet at the centre of the block (Figure 7c, the maximum surface displacement observed in the experiment is 3.2 nm). To investigate the initiation of these additional wavefronts, a numerical simulation of the system is developed and discussed next.
The measurements taken with the LDV at the far end of the glass block represent an initial step toward the future characterization of UT receivers. These responses can be interpreted as the mechanical excitation experienced by a UT receiver. Application of the framework to concrete cylinders would require a smooth surface finish of the far end of the cylinder. It can be concluded that the far end of the specimen, and eventually the wearing surface of the receiver, vibrates differently depending on the boundary conditions (i.e., the geometry of the test specimen). Accurate characterization of UT receivers can only be achieved when the first-arriving oscillation is isolated, and precise windowing is applied to eliminate the effects of boundary conditions.

4.3. Investigation of Wave Propagation with Computer Simulations—Results

The results obtained from simulations with a rectangular prism with a square cross-section of 80 mm and a height of 130 mm, excited by a 1 MHz P-wave probe, are discussed first. Figure 8 provides examples of selected time steps of wave propagation through the simulated specimen for both X–Z and diagonal computation zones. In Figure 8a,b, the arrival of the P-wave front at the far side of the specimen is observed. The P-wave is followed by an inclined wave glancing along the side of the specimen.
When the wave impulse makes contact with a boundary of a medium with a different velocity (as in the case of a wide spherical P-wave front with respect to the specimen cross-section), the stiffness changes cause distortions in the wave field. At the boundary, neither the P-mode nor the shear mode can exist independently. When the incidence of one or other of these bulk modes occurs at an acute angle less than the applicable critical angle, mode conversion occurs.
The spherical spreading of the beam can result in the wavefront making a glancing incidence of the compression mode at a free boundary. At the boundary, mode conversion results in a shear mode that refracts at the angle calculated by Snell’s Law for an incidence of 90°, i.e., the critical angle. This shear mode is called a head wave and is typically seen as a faint pressure line connecting the shear head wave to the bulk shear wave.
Figure 8c,d provide time steps when the head waves reach the far end of the specimen and are propagating from the sides of the glass specimen towards its centre. Finally, as seen in Figure 8e,f, the head waves meet at the centre of the glass specimen. Due to the square cross-section of the specimen, head waves propagating from the sides of the specimen create a constructive interference along the diagonals. This phenomenon was observed in the laboratory scans using an LDV.
To extend the findings of computer simulations to lower-frequency transducers more commonly used in civil engineering applications, the 250 kHz transducer, like the probe used in the laboratory tests, was simulated. The simulation for the rectangular specimen is repeated with the 250 kHz probe. Additionally, the specimen geometry was changed to a cylinder to represent the typical configuration used in the laboratory evaluations of concrete elements. Simulation results at the far surface of the glass block for both cases are shown in Figure 9.
For the rectangular specimen, the same observations apply as with the 1 MHz probe. Head waves arrive from four sides of the specimen, creating constructive interference as the wavefronts propagate toward the centre. In the case of the cylindrical specimen, P-wave arrival produces a relatively uniform displacement pattern. However, as the head waves begin to cross towards the centre, the round cross-section results in a conical crossing shape. The angle of the cone depends on a specific relationship between the probe characteristics (i.e., the emitted spherical wavefront) and specimen diameter (i.e., the critical angle, which depends on both parameters). These observations should be taken into account during the UT inspections of concrete elements, as different results can be expected depending on the centre frequency of the transducer used.

4.4. Experimental Verification Using a Photoelastic System—Results

Finally, a test with a photoelastic system described in Section 3.4 was performed to verify the computer simulation findings. Due to the limited availability of stress-relieved glass specimens, a smaller fused silica block (25 mm by 25 mm by 150 mm) was used in the test. The acoustic parameters of glass samples used in different sections of this report are not expected to play a significant role. A 1 MHz P-wave transducer with a 20 mm diameter is used in the photoelastic test. Selected time steps of the UT pulse propagation through the glass sample, captured with the photoelastic system, are shown in Figure 10.
The images captured with the photoelastic system confirm the character of the UT pulse propagating through the glass specimen. As shown in Figure 10a, the P-wave front is wide enough with respect to the sample size to reach the side walls. The glancing of the compressional mode results in the generation of head waves. Finally, the traversal of the head waves across the far surface is observed in Figure 10b,c. The photoelastic experiment confirms the observations of computer simulations: due to the square cross-section of the sample, constructive interference between the four head waves leads to the formation of diagonal patterns, as also observed in the LDV tests.

5. Conclusions

This study outlines a methodology for characterizing UT pulses emitted by low-frequency (e.g., 250 kHz) P-wave transducers, commonly used in civil engineering. It investigates how test specimen interference affects pulse behaviour during propagation and reception in a pitch-catch setup. Characterization was performed using laboratory experiments with a state-of-the-art LDV system, simulations via CIVA software, and photoelastic imaging. The following key conclusions can be drawn:
  • Transducer Excitation: LDV measurements through a glass block—specifically, the displacement at the transducer’s wearing surface—offer realistic conditions by accounting for transducer–material coupling. While the glass does not significantly affect the transducer’s centre frequency, it reduces amplitude and alters low-frequency content (i.e., below 100 kHz), which may be critical for NDT in concrete where the heterogeneous structure leads to significant ultrasonic wave attenuation.
  • Boundary Effects: Surface measurements reveal rapid influence from boundary conditions, with diagonal wavefronts propagating inward. Accurate temporal windowing is essential to isolate receiver signals from these reflections. Deviations from expected patterns may indicate material changes (e.g., distributed damage).
  • Wave Interference: Simulations and photoelastic imaging confirm that diagonal vibration patterns result from constructive interference of head waves generated by glancing compressional modes at specimen edges.
  • Specimen Geometry: Head wave patterns vary with shape—rectangular specimens show diagonal patterns, while cylindrical ones exhibit conical wavefronts.

Author Contributions

Conceptualization, P.W., G.C., M.A.P. and E.G.; methodology, P.W. and G.C.; software, P.W.; validation, G.C.; formal analysis, P.W.; investigation, P.W. and E.G.; resources, G.C. and E.G.; data curation, P.W.; writing—original draft preparation, P.W.; writing—review and editing, E.G., G.C. and M.A.P.; visualization, P.W. and E.G.; supervision, G.C. and M.A.P.; project administration, G.C. and M.A.P.; funding acquisition, G.C. and M.A.P. All authors have read and agreed to the published version of the manuscript.

Funding

This research was funded by the Natural Sciences and Engineering Research Council of Canada (NSERC), grant numbers NSERC-DG 50503-11647 and NSERC RGPIN-2020-04725.

Institutional Review Board Statement

Not applicable.

Informed Consent Statement

Not applicable.

Data Availability Statement

The data presented in this study are available on request from the corresponding author.

Conflicts of Interest

The authors declare no conflicts of interest.

Abbreviations

The following abbreviations are used in this manuscript:
AIArtificial Intelligence
CNNConvolutional Neural Network
ETEddy Current Testing
FFTFast Fourier Transform
HHTHilbert–Huang Transform
LDVLaser Doppler Vibrometer
LEDLight-Emitting Diode
MLMachine Learning
NDTNon-Destructive Testing
RTRadiographic Testing
TFTime-Frequency
UTUltrasonic Testing
VMDVariational Mode Decomposition
WSSTWavelet Synchro-Squeezed Transform

References

  1. Erikson, K. Pulse-Echo Ultrasonic Transducer Characterization. IEEE Trans. Sonics Ultrason. 1979, 26, 1. [Google Scholar] [CrossRef]
  2. Erikson, K.R. Tone-Burst Testing of Pulse-Echo Transducers. IEEE Trans. Sonics Ultrason. 1979, 26, 7–13. [Google Scholar] [CrossRef]
  3. Papadakis, E.P. Theoretical and Experimental Methods to Evaluate Ultrasonic Transducers for Inspection and Diagnostic Applications. IEEE Trans. Sonics Ultrason. 1979, 26, 14–27. [Google Scholar] [CrossRef]
  4. ASTM E1065/E1065M-20; E1065/E1065M-20 Standard Guide. ASTM International: West Conshohocken, PA, USA, 2020.
  5. Wang, T.; Cheung, F.; Butera, M. An automated digital beam profile system for ultrasonic transducer characterization. NDT E Int. 1992, 25, 171–176. [Google Scholar] [CrossRef]
  6. Obaidat, M.S.; Abu-Saymeh, D.S. Methodologies for characterizing ultrasonic transducers using neural network and pattern recognition techniques. IEEE Trans. Ind. Electron. 1992, 39, 529–536. [Google Scholar] [CrossRef]
  7. Obaidat, M.S.; Khalid, H.; Sadoun, B. Ultrasonic transducer characterization by neural networks. Inf. Sci. 1998, 107, 195–215. [Google Scholar] [CrossRef]
  8. Canney, M.S.; Bailey, M.R.; Crum, L.A.; Khokhlova, V.A.; Sapozhnikov, O.A. coustic characterization of high intensity focused ultrasound fields: A combined measurement and modeling approach. J. Acoust. Soc. Am. 2008, 124, 2406–2420. [Google Scholar] [CrossRef]
  9. Fei, C.; Lin, P.; Li, D.; Wu, Y.; Wu, R.; Chen, J.; Yang, Y. Fabrication and Characterization of High-Sensitivity Ultrasonic Transducers with Functionally Graded Design. IEEE Sens. J. 2019, 19, 6650–6654. [Google Scholar] [CrossRef]
  10. Schmerr, L.W.; Lopez-Sanchez, A.; Huang, R. Complete ultrasonic transducer characterization and its use for models and measurements. Ultrasonics 2006, 44, 753–757. [Google Scholar] [CrossRef]
  11. Wolf, F.; Lahmer, T.; Bahr, L.; Hauck, A.; Sutor, A.; Lerch, R.; Kaltenbacher, M. Finite element modeling of ultrasonic transducer by utilizing an inverse scheme for the determination of its material parameters. In Proceedings of the IEEE Ultrasonics Symposium, Beijing, China, 2–5 November 2008; pp. 784–787. [Google Scholar]
  12. Moss, B.C.; Scruby, C.B. Investigation of ultrasonic transducers using optical techniques. Ultrasonics 1988, 26, 179–188. [Google Scholar] [CrossRef]
  13. Ospitia, N.; Aggelis, D.G.; Lefever, G. Sensor Size Effect on Rayleigh Wave Velocity on Cementitious Surfaces. Sensors 2021, 21, 6483. [Google Scholar] [CrossRef]
  14. Kırlangıç, A.S.; Cascante, G.; Polak, M.A. Characterization of Piezoelectric Accelerometers Beyond the Nominal Frequency Range. Geotech. Test. J. 2017, 40, 37–46. [Google Scholar] [CrossRef]
  15. Mahbaz, S.B.; Cascante, G.; Dusseault, M.B. Calibration of a Piezoelectric Transducer through Laser Measurements and Numerical Simulation. J. Environ. Eng. Geophys. 2019, 24, 39–48. [Google Scholar] [CrossRef]
  16. Feeney, A.; Kang, L.; Somerset, W.E.; Dixon, S. The Influence of Air Pressure on the Dynamics of Flexural Ultrasonic Transducers. Sensors 2019, 19, 4710. [Google Scholar] [CrossRef] [PubMed]
  17. Feeney, A.; Kang, L.; Zhou, L.; Dixon, S. Dynamic Nonlinearity in Piezoelectric Flexural Ultrasonic Transducers. IEEE Sens. J. 2019, 19, 6056–6066. [Google Scholar] [CrossRef]
  18. Wiciak, P.; Polak, M.A.; Cascante, G. Characterization of Ultrasonic Transducer Response Using Laser Doppler Interferometer in kHz-Range for Civil Engineering Applications. J. Nondestruct. Eval. 2022, 41, 52. [Google Scholar] [CrossRef]
  19. Longo, R.; Vanlanduit, S.; Arroud, G.; Guillaume, P. Underwater Acoustic Wavefront Visualization by Scanning Laser Doppler Vibrometer for the Characterization of Focused Ultrasonic Transducers. Sensors 2015, 15, 19925–19936. [Google Scholar] [CrossRef]
  20. Del Savio, A.A.; La Torre Esquivel, D.; Carrillo, J.; Yep, E.C. Determination of polypropylene fiber-reinforced concrete compressive strength and elasticity modulus via ultrasonic pulse tests. Appl. Sci. 2022, 12, 10375. [Google Scholar] [CrossRef]
  21. Guo, S.; Dai, Q.; Sun, X.; Sun, Y.; Liu, Z. Ultrasonic Techniques for Air Void Size Distribution and Property Evaluation in Both Early-Age and Hardened Concrete Samples. Appl. Sci. 2017, 7, 290. [Google Scholar] [CrossRef]
  22. Zhong, B.; Zhu, J. Applications of Stretching Technique and Time Window Effects on Ultrasonic Velocity Monitoring in Concrete. Appl. Sci. 2022, 12, 7130. [Google Scholar] [CrossRef]
  23. Kwon, H.; Joh, C.; Chin, W.J. 3D Internal Visualization of Concrete Structure Using Multifaceted Data for Ultrasonic Array Pulse-Echo Tomography. Sensors 2021, 21, 6681. [Google Scholar] [CrossRef] [PubMed]
  24. Zatar, W.; Chen, G.; Nghiem, H.; Xiao, F. Ultrasonic Pulse-Echo Signals for Quantitative Assessment of Reinforced Concrete Anomalies. Appl. Sci. 2024, 14, 4860. [Google Scholar] [CrossRef]
  25. Alqurashi, I.; Alsulami, M.; Alver, N.; Catbas, N. Ultrasonic tomography with deep learning for detecting embedded components and internal damage of concrete structures. Dev. Built Environ. 2025, 23, 100742. [Google Scholar] [CrossRef]
  26. Sun, W.; Hou, S.; Wu, G.; Wu, Z.; Xiong, W.; Zhang, J. Phased array ultrasonic and deep learning based internal defect detection in underwater concrete bridge structures. Case Stud. Constr. Mater. 2025, 23, e04946. [Google Scholar] [CrossRef]
  27. Kouddane, B.; Sbartaï, Z.M.; Alwash, M.; Ali-Benyahia, K.; Elachachi, S.M.; Lamdouar, N.; Kenai, S. Assessment of Concrete Strength Using the Combination of NDT—Review and Performance Analysis. Appl. Sci. 2022, 12, 1219. [Google Scholar] [CrossRef]
  28. Belsito, L.; Marini, D.; Masini, L.; Ferri, M.; Trujillo, M.A.; Viguria, A.; Roncaglia, A. Semi-autonomous aerial robot for ultrasonic assessment of crack depth and surface velocity in concrete structures. Autom. Constr. 2025, 176, 106296. [Google Scholar] [CrossRef]
  29. Zhang, L.; Jiang, Z.; Jia, S.; Xie, L.; Liu, Q.; Li, H. Frequency-dependent reliability of ultrasonic testing based on numerical model with consideration of coarse aggregates in concrete. Case Stud. Constr. Mater. 2023, 19, e02462. [Google Scholar] [CrossRef]
  30. Yi, S.; Yang, C.; Sun, X.; Li, J.; Wang, L.; Gao, C.; Yu, Y. Evaluation of compressive damage in concrete using ultrasonic nonlinear coda wave interferometry. Ultrasonics 2021, 144, 107438. [Google Scholar] [CrossRef]
  31. Cheng, W.; Fan, Z.; Tan, K.H. Characterisation of corrosion-induced crack in concrete using ultrasonic diffuse coda wave. Ultrasonics 2023, 128, 106883. [Google Scholar] [CrossRef]
  32. Tyrtaiou, M.; Elenas, A.; Andreadis, I.; Vasiliadis, L. Hilbert-Huang Transform-Based Seismic Intensity Parameters for Performance-Based Design of RC-Framed Structures. Buildings 2022, 12, 1301. [Google Scholar] [CrossRef]
  33. Shakir, A.M.; Cascante, G.; Ameen, T.H. Methodology for the Early Detection of Damage Using CEEMDAN-Hilbert Spectral Analysis of Ultrasonic Wave Attenuation. Materials 2025, 18, 3294. [Google Scholar] [CrossRef]
  34. Khademi, P.; Mousavi, M.; Dackermann, U.; Gandomi, A.H. Time–frequency analysis of ultrasonic signals for quality assessment of bonded concrete. Constr. Build. Mater. 2023, 403, 133062. [Google Scholar] [CrossRef]
  35. Zhao, J.; Hu, T.; Zhang, Q. A Wavelet Packet Transform and Convolutional Neural Network Method Based Ultrasonic Detection Signals Recognition of Concrete. Sensors 2022, 22, 3863. [Google Scholar] [CrossRef] [PubMed]
  36. Zhao, M.; Liu, J.; Wang, K.; Chen, Y. Deep learning-enhanced nonlinear ultrasonic identification of concrete microcrack development. Constr. Build. Mater. 2025, 479, 141488. [Google Scholar] [CrossRef]
  37. Zhang, C.; Yan, Q.; Zhang, Y.; Liao, X.; Zhong, H. Intelligent monitoring of concrete-rock interface debonding via ultrasonic measurement integrated with convolutional neural network. Constr. Build. Mater. 2023, 400, 131865. [Google Scholar] [CrossRef]
  38. Iliopoulos, S.N.; Aggelis, D.G.; Polyzos, D. Wave dispersion in fresh and hardened concrete through the prism of gradient elasticity. Int. J. Solids Struct. 2016, 78–79, 149–159. [Google Scholar] [CrossRef]
  39. Wu, Y.C.; Kang, S.; Jeong, Y.; David, D.; Ham, S. Wave Dispersion Behavior in Quasi-Solid State Concrete Hydration. Sensors 2023, 23, 3947. [Google Scholar] [CrossRef]
  40. MathWorks Inc. MATLAB 2021a Documentation: FFT—Fast Fourier Transform; MathWorks Inc.: Natick, MA, USA, 2021. [Google Scholar]
  41. MathWorks Inc. MATLAB 2021a Documentation: WSST—Wavelet Synchrosqueezed Transform; MathWorks Inc.: Natick, MA, USA, 2021. [Google Scholar]
  42. CEA. CIVA NDE 2023—User Manual; CEA: Paris, France, 2023. [Google Scholar]
  43. Daubechies, I.; Lu, J.; Wu, H. Synchrosqueezed wavelet transforms: An empirical mode decomposition-like tool. Appl. Comput. Harmon. Anal. 2011, 30, 243–261. [Google Scholar] [CrossRef]
  44. Thakur, G. The Synchrosqueezing algorithm for time-varying spectral analysis: Robustness properties and new paleoclimate applications. Signal Process. 2013, 93, 1079–1094. [Google Scholar] [CrossRef]
  45. Brewster, D. Experiments on the depolarisation of light as exhibited by various mineral, animal, and vegetable bodies, with a reference of the phenomena to the general principles of polarisation. Philos. Trans. R. Soc. Lond. 1815, 105, 29–53. [Google Scholar] [CrossRef]
  46. Wyatt, R.C. Visualization of pulsed ultrasound using stroboscopic photoelasticity. Non-Destr. Test. 1972, 5, 354–358. [Google Scholar] [CrossRef]
  47. Hall, G. Ultrasonic wave visualization as a teaching aid in non-destructive testing. Ultrasonics 1977, 15, 57–69. [Google Scholar] [CrossRef]
  48. Wiciak, P.; Cascante, G.; Polak, A.M. Frequency and geometry effects on ultrasonic pulse velocity measurements of concrete specimens. ACI Mater. J. 2020, 117, 205–216. [Google Scholar] [CrossRef]
  49. Sbartaï, Z.M.; Laurens, S.; Elachachi, S.M.; Payan, C. Concrete properties evaluation by statistical fusion of NDT techniques. Constr. Build. Mater. 2012, 37, 943–950. [Google Scholar] [CrossRef]
  50. Ginzel, E.A. Video of Photo-Elastic Visoalisation of Ultrasound. NDT.net 2003, 8. [Google Scholar]
Figure 1. Transducer characterization setups: (a) wear surface evaluation through the glass block and (b) setup for the evaluation of the displacement of the top of the glass block.
Figure 1. Transducer characterization setups: (a) wear surface evaluation through the glass block and (b) setup for the evaluation of the displacement of the top of the glass block.
Applsci 15 10772 g001
Figure 2. Measurement grids used for laser data acquisition at the top surface of the glass block: (a) polar grid used for evaluation of the top glass block surface movement directly above the 250 kHz transmitter and (b) cross and diagonal lines used for the extended scan of the response of the top of the glass block.
Figure 2. Measurement grids used for laser data acquisition at the top surface of the glass block: (a) polar grid used for evaluation of the top glass block surface movement directly above the 250 kHz transmitter and (b) cross and diagonal lines used for the extended scan of the response of the top of the glass block.
Applsci 15 10772 g002
Figure 3. Schematic of the photoelastic system used in the tests adopted following [50].
Figure 3. Schematic of the photoelastic system used in the tests adopted following [50].
Applsci 15 10772 g003
Figure 4. Responses of the 250 kHz transducer measured with the LDV: (a) comparison responses along the diameter for the through air (black line) and through glass block (red line) testing setups, and analysis of signals measured at the centre of the probe for the through air (blue line) and through the glass block (red line): (b) time signals and (c) frequency spectra. The main differences in the low-frequency range are marked.
Figure 4. Responses of the 250 kHz transducer measured with the LDV: (a) comparison responses along the diameter for the through air (black line) and through glass block (red line) testing setups, and analysis of signals measured at the centre of the probe for the through air (blue line) and through the glass block (red line): (b) time signals and (c) frequency spectra. The main differences in the low-frequency range are marked.
Applsci 15 10772 g004
Figure 5. Instantaneous frequencies estimated with WSST for (a) the through-air and (b) through-glass setups.
Figure 5. Instantaneous frequencies estimated with WSST for (a) the through-air and (b) through-glass setups.
Applsci 15 10772 g005
Figure 6. Displacement patterns of (a) the wear surface of the transmitter measured in the through-air configuration and (b) the response measured on the top of the glass block directly on top of the transmitter. A distinct additional cross-pattern of a wavefront travelling along the diagonals of the block is observed. The difference in amplitude is due to additional amplification of the excitation used for scans of the top of the glass block.
Figure 6. Displacement patterns of (a) the wear surface of the transmitter measured in the through-air configuration and (b) the response measured on the top of the glass block directly on top of the transmitter. A distinct additional cross-pattern of a wavefront travelling along the diagonals of the block is observed. The difference in amplitude is due to additional amplification of the excitation used for scans of the top of the glass block.
Applsci 15 10772 g006
Figure 7. The responses measured at the top of the glass block along two cross and diagonal lines (black and red colours): (a) the arrival of the P-wave, (b) early stage in the side wavefronts progression, and (c) side wavefronts’ arrival at the centre of the block.
Figure 7. The responses measured at the top of the glass block along two cross and diagonal lines (black and red colours): (a) the arrival of the P-wave, (b) early stage in the side wavefronts progression, and (c) side wavefronts’ arrival at the centre of the block.
Applsci 15 10772 g007
Figure 8. Examples of simulated wave propagation captured in the (top) X–Z computation zone and (bottom) diagonal computation zone. The following time steps are shown: (a,b) P-wave arriving at the far end surface, (c,d) progression of head waves from the sides of the specimen towards the centre, and (e,f) head waves arriving at the centre of the specimen. The key components of the propagating modes are highlighted.
Figure 8. Examples of simulated wave propagation captured in the (top) X–Z computation zone and (bottom) diagonal computation zone. The following time steps are shown: (a,b) P-wave arriving at the far end surface, (c,d) progression of head waves from the sides of the specimen towards the centre, and (e,f) head waves arriving at the centre of the specimen. The key components of the propagating modes are highlighted.
Applsci 15 10772 g008
Figure 9. Examples of simulation results at the far surface of the glass block for (left) a rectangular specimen and (right) a cylindrical specimen with a 250 kHz transducer. Presented frames show time steps representing propagation of the head waves across the far end of the glass sample. The rectangular specimen has been configured as the reference, and the cylindrical specimen is referenced to the rectangular specimen.
Figure 9. Examples of simulation results at the far surface of the glass block for (left) a rectangular specimen and (right) a cylindrical specimen with a 250 kHz transducer. Presented frames show time steps representing propagation of the head waves across the far end of the glass sample. The rectangular specimen has been configured as the reference, and the cylindrical specimen is referenced to the rectangular specimen.
Applsci 15 10772 g009
Figure 10. Three selected time steps of propagating waves in the glass specimen observed with the photoelastic system: (a) UT pulse progression through the axial distance before striking the far surface, (b) wavefront arrival at the far surface, and (c) head waves cross at the centre of the glass sample. The key components of the propagating pulse are highlighted.
Figure 10. Three selected time steps of propagating waves in the glass specimen observed with the photoelastic system: (a) UT pulse progression through the axial distance before striking the far surface, (b) wavefront arrival at the far surface, and (c) head waves cross at the centre of the glass sample. The key components of the propagating pulse are highlighted.
Applsci 15 10772 g010
Disclaimer/Publisher’s Note: The statements, opinions and data contained in all publications are solely those of the individual author(s) and contributor(s) and not of MDPI and/or the editor(s). MDPI and/or the editor(s) disclaim responsibility for any injury to people or property resulting from any ideas, methods, instructions or products referred to in the content.

Share and Cite

MDPI and ACS Style

Wiciak, P.; Ginzel, E.; Cascante, G.; Polak, M.A. Novel Experimental and Simulation Investigation of Transducer Coupling and Specimen Geometry Effects in Low-Frequency Ultrasonic Testing. Appl. Sci. 2025, 15, 10772. https://doi.org/10.3390/app151910772

AMA Style

Wiciak P, Ginzel E, Cascante G, Polak MA. Novel Experimental and Simulation Investigation of Transducer Coupling and Specimen Geometry Effects in Low-Frequency Ultrasonic Testing. Applied Sciences. 2025; 15(19):10772. https://doi.org/10.3390/app151910772

Chicago/Turabian Style

Wiciak, Piotr, Edward Ginzel, Giovanni Cascante, and Maria Anna Polak. 2025. "Novel Experimental and Simulation Investigation of Transducer Coupling and Specimen Geometry Effects in Low-Frequency Ultrasonic Testing" Applied Sciences 15, no. 19: 10772. https://doi.org/10.3390/app151910772

APA Style

Wiciak, P., Ginzel, E., Cascante, G., & Polak, M. A. (2025). Novel Experimental and Simulation Investigation of Transducer Coupling and Specimen Geometry Effects in Low-Frequency Ultrasonic Testing. Applied Sciences, 15(19), 10772. https://doi.org/10.3390/app151910772

Note that from the first issue of 2016, this journal uses article numbers instead of page numbers. See further details here.

Article Metrics

Back to TopTop