Preparation of Ecological Refractory Bricks from Phosphate Washing By-Products
Abstract
1. Introduction
2. Mining Site
3. Materials and Methods
3.1. Materials Used
3.2. Mix Proportioning
3.3. Mix Preparation Protocol
3.4. Experimental Methods
3.4.1. Material Characterization
3.4.2. Mechanical Testing
3.4.3. Method for Measuring Water Absorption
3.4.4. Thermal Conductivity Measurement Procedure
3.4.5. Thermogravimetric Analysis (TGA)
3.4.6. Chemical and Environmental Analysis
3.4.7. Durability Assessment
3.4.8. Experimental Protocol
4. Results and Discussion
4.1. Raw Material Characterization
4.1.1. Physical Characterization
4.1.2. Mineralogical Characterization
Raw Materials
Effect of Thermal Treatment on Raw Materials
4.1.3. Fourier-Transform Infrared (FTIR) Spectroscopy
4.1.4. Thermogravimetric Test
Phosphate Sludge
- 200 °C to 400 °C: 7.4% loss, attributed to the decomposition of organic matter. This is due to thermolyzing organic compounds in the sludge, such as proteins, lipids, and carbohydrates.
- 400 °C to 600 °C: 1.3% loss, attributed to the decarbonation of calcite. This occurs through dehydration, transforming fluorapatite into hydroxyapatite.
- 600 °C to 800 °C: 1.5% loss, associated with calcite decomposition. This stems from the thermal breakdown of calcite into calcium oxide.
Natural Clay
Diatomite Mineral
4.2. Environmental Characterization of Raw Materials
4.3. Geopolymer Brick Characterization
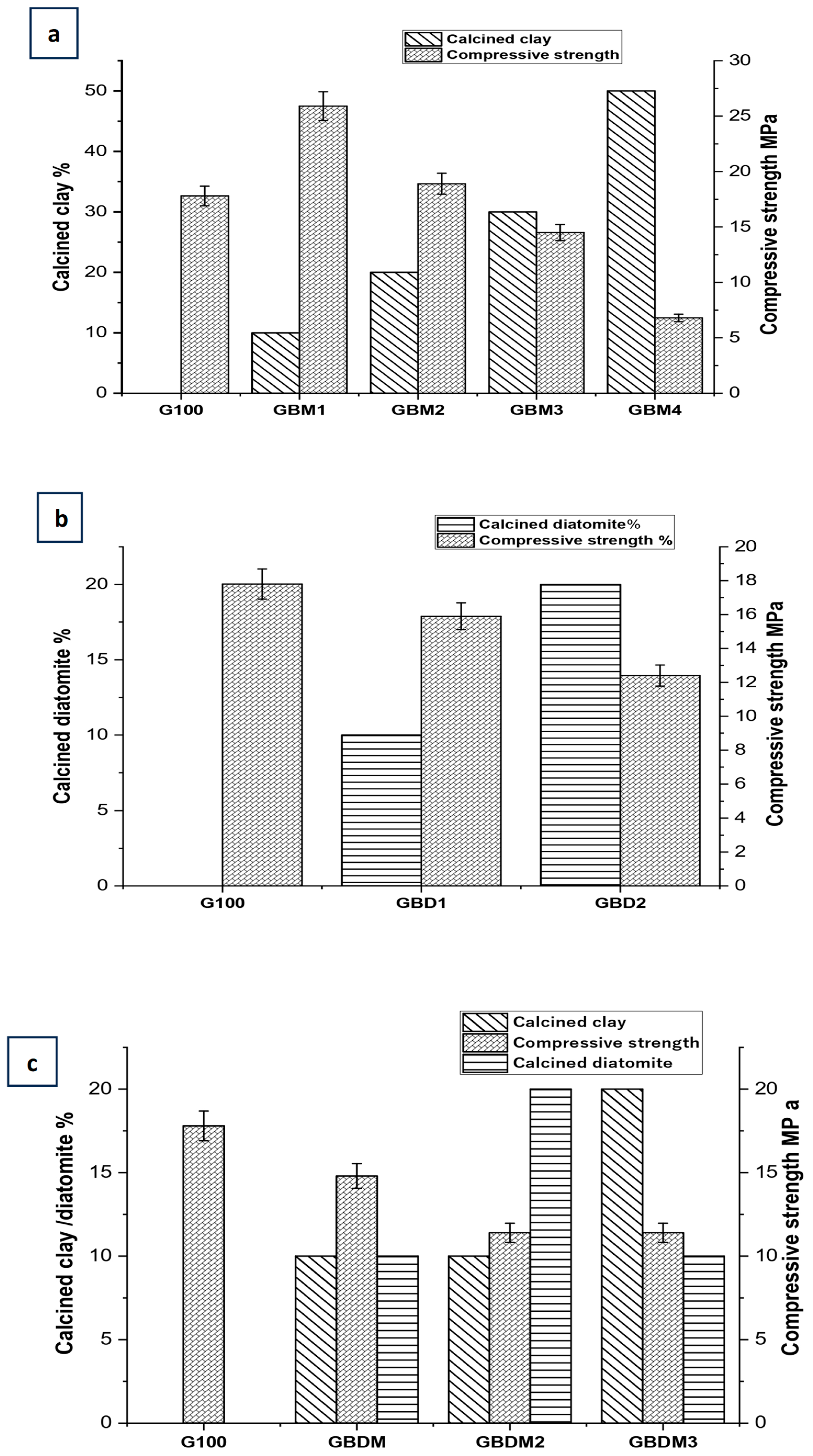
4.3.1. Compressive Strength
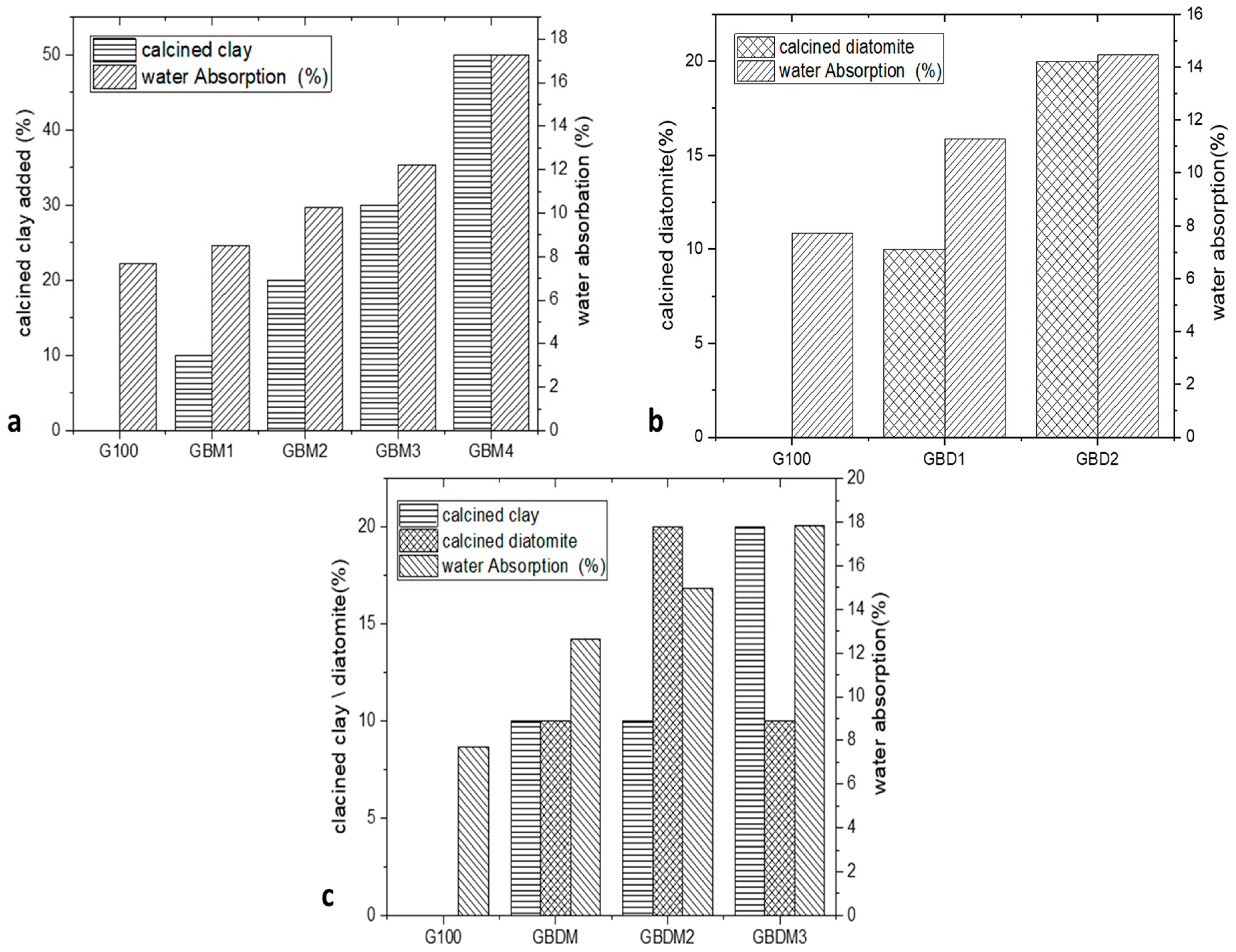
4.3.2. Water Absorption
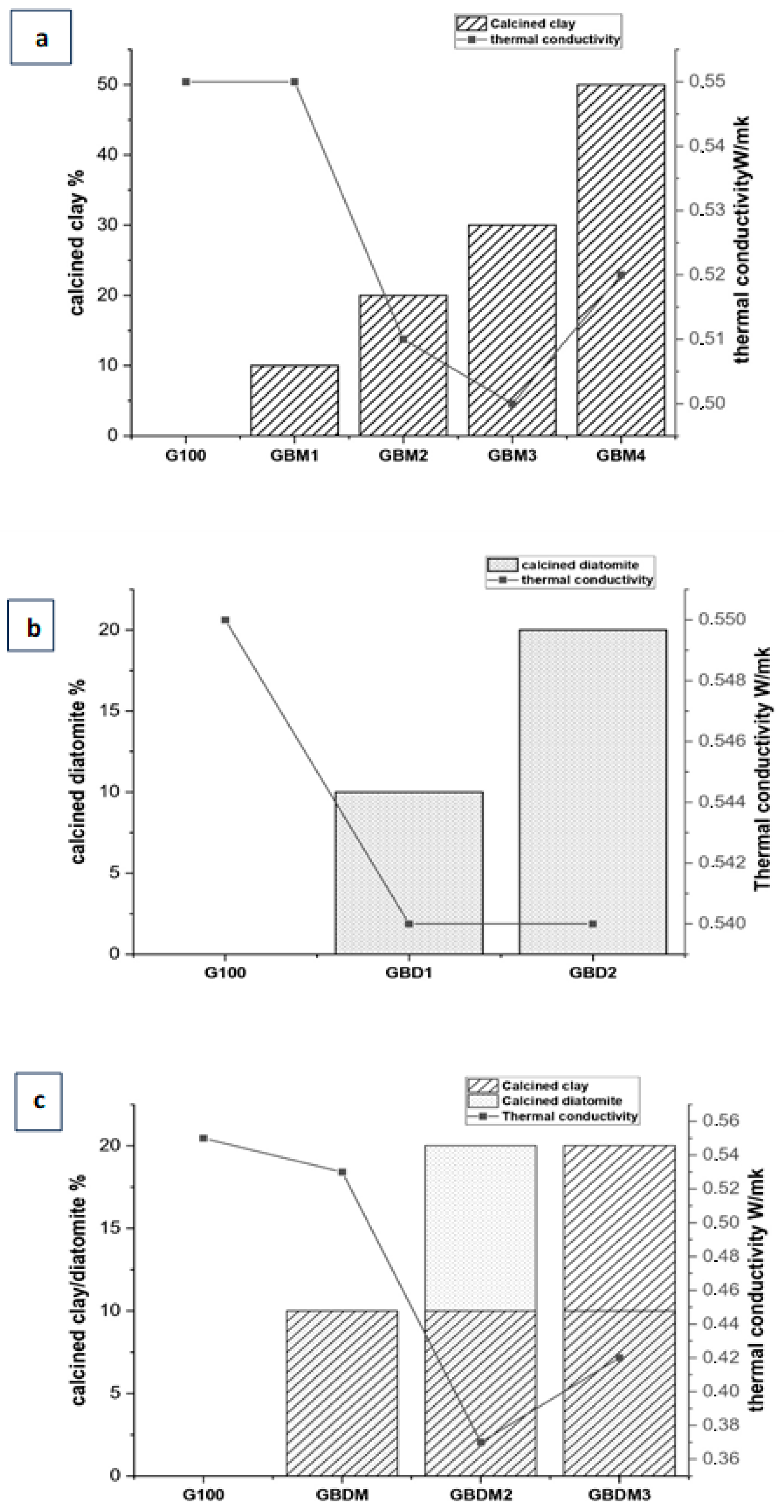
4.3.3. Thermal Conductivity
4.3.4. X-Ray Diffraction Results
4.3.5. FTIR Analysis
4.3.6. Thermogravimetric Analysis
4.3.7. Environmental Assessment of Heavy Metal and Anion Leaching from Geopolymer Formulations
5. Comparative Analysis and Selection of Optimal Geopolymer Brick Formulations
6. Economic Feasibility and Scalability Considerations
7. Conclusions
Author Contributions
Funding
Data Availability Statement
Conflicts of Interest
References
- Idrissi, H.; Taha, Y.; Elghali, A.; El Khessaimi, Y.; Aboulayt, A.; Amalik, J.; Hakkou, R.; Benzaazoua, M. Sustainable use of phosphate waste rocks: From characterization to potential applications. Mater. Chem. Phys. 2021, 260, 124119. [Google Scholar] [CrossRef]
- Hakkou, R.; Benzaazoua, M.; Bussière, B. Valorization of Phosphate Waste Rocks and Sludge from the Moroccan Phosphate Mines: Challenges and Perspectives. Procedia Eng. 2016, 138, 110–118. [Google Scholar] [CrossRef]
- Brahmi, M.; Zouari, S.; Rossi, M. L’industrie minière et ses effets écologiques. État socio-économique et environnemental dans le bassin minier tunisien. Collect. EDYTEM Cah. Géographie 2019, 17, 109–120. [Google Scholar] [CrossRef]
- Bayoussef, A.; Oubani, M.; Loutou, M.; Taha, Y.; Benzaazoua, M.; Manoun, B.; Hakkou, R. Manufacturing of high-performance ceramics using clays by-product from phosphate mines. Mater. Today Proc. 2020, 37, 3994–4000. [Google Scholar] [CrossRef]
- Ettoumi, M.; Jouini, M.; Neculita, C.; Bouhlel, S.; Coudert, L.; Taha, Y.; Benzaazoua, M. Characterization of phosphate processing sludge from Tunisian mining basin and its potential valorization in fired bricks making. J. Clean. Prod. 2021, 284, 124750. [Google Scholar] [CrossRef]
- Obenaus-Emler, R.; Falah, M.; Illikainen, M. Assessment of mine tailings as precursors for alkali-activated materials for on-site applications. Constr. Build. Mater. 2020, 246, 118470. [Google Scholar] [CrossRef]
- Moukannaa, S.; Loutou, M.; Benzaazoua, M.; Vitola, L.; Alami, J.; Hakkou, R. Recycling of phosphate mine tailings for the production of geopolymers. J. Clean. Prod. 2018, 185, 891–903. [Google Scholar] [CrossRef]
- Zeng, R.; Ge, Y.; Sun, W.; Du, X.; Chen, W.; Duan, G. Method for purifying flotation phosphate tailings and preparing concrete blocks. 2019. [Google Scholar]
- Boutaleb, F.; Boutaleb, N.; Deblij, S.; El Antri, S.; Bahlaouan, B. Effect of Phosphate Mine Tailings from Morocco on the Mechanical Properties of Ceramic Tiles. Int. J. Eng. Res. Technol. 2020, 9. [Google Scholar] [CrossRef]
- Boutaleb, F.Z.; Boutaleb, N.; Bahlaouan, B.; Sanaa, D.; El Antri, S. Production of ceramic tiles by combining Moroccan phosphate mine tailings with abundant local clays. Mediterr. J. Chem. 2020, 10, 568–576. [Google Scholar] [CrossRef]
- Harech, M.; Labbilta, T.; Anasser, I.; El Hafiane, Y.; Abouliatim, Y.; Nibou, L.; Smith, A.; Mesnaoui, M. From by-product to sustainable building material: Reusing phosphate washing sludge for eco-friendly red brick production. J. Build. Eng. 2023, 78, 107575. [Google Scholar] [CrossRef]
- Inabi, O.; Khalil, A.; Zouine, A.; Hakkou, R.; Benzaazoua, M.; Taha, Y. Investigation of the Innovative Combined Reuse of Phosphate Mine Waste Rock and Phosphate Washing Sludge to Produce Eco-Friendly Bricks. Buildings 2024, 14, 2600. [Google Scholar] [CrossRef]
- Kulakowski, M.P.; Brehm, F.A.; Moraes, C.A.M.; Pampanelli, A.; Reckziegel, V. Monitoring and Evaluation of Industrial Production of Fired-Clay Masonry Bricks with 2.5% of Phosphatization Sludge. Key Eng. Mater. 2014, 634, 206–213. [Google Scholar] [CrossRef]
- Muliawan, J.; Astutiningsih, S. Preparation and characterization of Phosphate-Sludge kaolin mixture for ceramics bricks. Int. J. Technol. 2018, 9, 317–324. [Google Scholar] [CrossRef]
- Dabbebi, R.; Baklouti, S.; de Aguiar, J.L.B.; Pacheco-Torgal, F.; Samet, B. Investigations of geopolymeric mixtures based on phosphate washing waste. Sci. Technol. Mater. 2018, 30, 1–5. [Google Scholar] [CrossRef]
- Tunisienne, R. Ecole Doctorale Sciences et Technologies Thèse de DOCTORAT Nom du Doctorat N° d’ordre: 92–2020 DOCTORAT Dans la discipline Géologie Génie Géo-Ressources, Environnement et Aménagement Par. Available online: https://theses.hal.science/tel-04923554v1/file/These_JuliaCabanes.pdf (accessed on 19 March 2025).
- Kuppusamy, M.; Kim, S.W.; Lee, K.P.; Jo, Y.J.; Kim, W.J. Development of TiO2–CaCO3 Based Composites as an Affordable Building Material for the Photocatalytic Abatement of Hazardous NOx from the Environment. Nanomaterials 2024, 14, 136. [Google Scholar] [CrossRef]
- Baccour, H.; Koubaa, H.; Baklouti, S. Phosphate sludge from tunisian phosphate mines: Valorisation as ceramics products. In Recent Advances in Environmental Science from the Euro-Mediterranean and Surrounding Regions; Advances in Science, Technology and Innovation; Springer: Cham, Switzerland, 2018; pp. 1479–1480. [Google Scholar] [CrossRef]
- Mkaouar, S. Valorisation de Quelques Formations Argileuses Pour la Production de Briques en Terres Crues et de Matériaux Géopolymères. 2021. Available online: http://www.theses.rnu.tn/fr/dynamique/uploads/cfd2b6661e8090e5e6f9672023c2d062.pdf (accessed on 19 March 2025).
- Louati, S.; Baklouti, S.; Samet, B. Geopolymers Based on Phosphoric Acid and Illito-Kaolinitic Clay. Adv. Mater. Sci. Eng. 2016, 2016, 2359759. [Google Scholar] [CrossRef]
- Zheng, R.; Ren, Z.; Gao, H.; Zhang, A.; Bian, Z. Effects of calcination on silica phase transition in diatomite. J. Alloys Compd. 2018, 757, 364–371. [Google Scholar] [CrossRef]
- Ilia, I.K.; Stamatakis, M.G.; Perraki, T.S. Mineralogy and technical properties of clayey diatomites from north and central Greece. Cent. Eur. J. Geosci. 2009, 1, 393–403. [Google Scholar] [CrossRef]
- Tlili, A.; Saidi, R.; Fourati, A.; Ammar, N.; Jamoussi, F. Mineralogical study and properties of natural and flux calcined porcelanite from Gafsa-Metlaoui basin compared to diatomaceous filtration aids. Appl. Clay Sci. 2012, 62–63, 47–57. [Google Scholar] [CrossRef]
- Zibo Jucos Co., Ltd. Moyens et Méthodes Pour Améliorer la Résistance à la Compression de la Brique Réfractaire—Support Technique—Zibo Jucos Co., Ltd. Available online: https://fr.jucosceramicfiber.com/info/ways-and-methods-of-improving-compressive-stre-48546449.html# (accessed on 19 March 2025).
- Taha, Y. Valorisation des Rejets Miniers dans la Fabrication de Briques Cuites: Évaluations Technique et Environnementale. Ph.D. Thesis, Université du Québec en Abitibi-Témiscamingue, Ville-Marie, QC, Canada, 2017. [Google Scholar] [CrossRef]
- Harech, M.A.; Mesnaoui, M.; Abouliatim, Y.; EL Hafiane, Y.; Benhammou, A.; Abourriche, A.; Smith, A.; Nibou, L. Effect of temperature and clay addition on the thermal behavior of phosphate sludge. Boletín Soc. Española Cerámica Vidr. 2020, 60, 194–204. [Google Scholar] [CrossRef]
- Hamdane, H.; Tamraoui, Y.; Mansouri, S.; Oumam, M.; Bouih, A.; El Ghailassi, T.; Boulif, R.; Manoun, B.; Hannache, H. Effect of alkali-mixed content and thermally untreated phosphate sludge dosages on some properties of metakaolin based geopolymer material. Mater. Chem. Phys. 2020, 248, 122938. [Google Scholar] [CrossRef]
- Nykiel, M.; Korniejenko, K.; Setlak, K.; Melnychuk, M.; Polivoda, N.; Kozub, B.; Hebdowska-Krupa, M.; Łach, M. The Influence of Diatomite Addition on the Properties of Geopolymers Based on Fly Ash and Metakaolin. Materials 2024, 17, 2399. [Google Scholar] [CrossRef] [PubMed]
- Chen, L.; Wang, Z.; Wang, Y.; Feng, J. Preparation and properties of alkali activated metakaolin-based geopolymer. Materials 2016, 9, 767. [Google Scholar] [CrossRef]
- Chen, Y.; Zhang, Y.; Chen, T.; Zhao, Y.; Bao, S. Preparation of eco-friendly construction bricks from hematite tailings. Constr. Build. Mater. 2011, 25, 2107–2111. [Google Scholar] [CrossRef]
- Malkapuram, D.; Ballari, S.O.; Chinta, S.; Rajasekaran, P.; Venkatesan, B.; Vellingiri, S.; Paulraj, P.; Ramaswamy, A.; Ramamurthy, D.; Salam, F.A.; et al. Mechanical, Water Absorption, Efflorescence, Soundness and Morphological Analysis of Hybrid Brick Composites. Matéria 2024, 29, e20240179. [Google Scholar] [CrossRef]
- Luo, A.; Li, J.; Xiao, Y.; He, Z.; Liang, J. Engineering Soil Quality and Water Productivity Through Optimal Phosphogypsum Application Rates. Agronomy 2024, 15, 35. [Google Scholar] [CrossRef]
- Liu, B.; Chen, Z.; Liu, F.; Zhu, J. Characteristics of Modified Complex of Red Mud and Phosphogypsum and Its Soil Substrate Utilization. Processes 2025, 13, 972. [Google Scholar] [CrossRef]
- Bories, C.; Borredon, M.E.; Vedrenne, E.; Vilarem, G. Development of eco-friendly porous fired clay bricks using pore-forming agents: A review. J. Environ. Manag. 2014, 143, 186–196. [Google Scholar] [CrossRef]
- Phonphuak, N.; Teerakun, M.; Srisuwan, A.; Ruenruangrit, P.; Saraphirom, P. The use of sawdust waste on physical properties and thermal conductivity of fired clay brick production. Int. J. GEOMATE 2020, 18, 24–29. [Google Scholar] [CrossRef]
- Raphaëlle, P. Formulation and Durability of Metakaolin-Based Geopolymers. HAL Open SCIENCE. 2015; pp. 1–264. Available online: https://tel.archives-ouvertes.fr/tel-01297848/file/2015TOU30085.pdf (accessed on 19 March 2025).
- Selmani, S.; Essaidi, N.; Gouny, F.; Bouaziz, S.; Joussein, E.; Driss, A.; Sdiri, A.; Rossignol, S. Physical–chemical characterization of Tunisian clays for the synthesis of geopolymers materials. J. Afr. Earth Sci. 2015, 103, 113–120. [Google Scholar] [CrossRef]
- Essaidi, N. Discipline: Matériaux Céramiques et Traitements de Surface Najet ESSAIDI Le 12 Décembre 2013 Formulation de Liant Aluminosilicaté de Type Géopolymère à Base de Différentes Argiles Tunisiennes. 2013. Available online: https://cdn.unilim.fr/files/theses-doctorat/2013LIMO4030.pdf (accessed on 19 March 2025).
- Zhang, Z.H.; Zhu, H.J.; Zhou, C.H.; Wang, H. Geopolymer from kaolin in China: An overview. Appl. Clay Sci. 2016, 119, 31–41. [Google Scholar] [CrossRef]
- Luhar, I.; Luhar, S. A Comprehensive Review on Fly Ash-Based Geopolymer. J. Compos. Sci. 2022, 6, 219. [Google Scholar] [CrossRef]
- Zeghichi, L.; Benalia, S. Les géopolymères: Matières premières et influence des paramètres de composition: A review. J. Eng. Exact Sci. 2023, 9, 18838. [Google Scholar] [CrossRef]
- Hassen, M.A.; Benikhlef, Z.A. Synthés et Caractérisation de Liant Hydrauliques Présenté Par. Available online: https://dspace.univ-temouchent.edu.dz/bitstream/123456789/4990/1/inbound3408018541411183319-MahmoudAhmed.pdf (accessed on 19 March 2025).
- Essaidi, N.; Samet, B.; Baklouti, S.; Rossignol, S. Feasibility of producing geopolymers from two different Tunisian clays before and after calcination at various temperatures. Appl. Clay Sci. 2014, 88–89, 221–227. [Google Scholar] [CrossRef]
- Kouamo, H.T. Elaboration et Caractérisation de Ciments Géopolymères à Base de Scories Volcaniques. 2013. Available online: http://lopesphilippe.free.fr/CimentsGeopolymeresScoriesVolcaniquesTchakouteKouame2013.pdf (accessed on 19 March 2025).
- Cheng-Yong, H.; Yun-Ming, L.; Al Bakri Abdullah, M.M.; Hussin, K. Thermal Resistance Variations of Fly Ash Geopolymers: Foaming Responses. Sci. Rep. 2017, 7, 45355. [Google Scholar] [CrossRef]
- Alouani, M.E.L. Synthèse et Caractérisation des Matériaux Inorganiques de Type Géopolymères à Base de Cendres Volantes et de Métakaolin: Application en Génie de L’environnement et Génie Civil. Ph.D. Thesis, Université Mohammed V de Rabat, Rabat, Morocco, 2020. [Google Scholar]
- Ren, X.; Wang, F.; He, X.; Hu, X. Resistance and durability of fly ash based geopolymer for heavy metal immobilization: Properties and mechanism. RSC Adv. 2024, 14, 12580–12592. [Google Scholar] [CrossRef]

















| Particle Diameter (µm) | Diameter | Volume % |
|---|---|---|
| D10 | 10 | 1.2 |
| D25 | 25 | 6.0 |
| D50 | 50 | 42.7 |
| D75 | 75 | 136.7 |
| D90 | 90 | 178.4 |
| Bulk Density (γs) | 2.85 g/cm3 | |
| Loss on Ignition (W_LOI) | 6.23% | |
| Water Demand (D_water) | 0.243% | |
| Elements | Phosphate Sludge (mg/l) | Clay Mineral | Diatomite | Calcined Clay | Calcined Phosphate Sludge | Calcined Diatomite | ISDI | ISDND | ISDD |
|---|---|---|---|---|---|---|---|---|---|
| As | <0.1 | <0.1 | <0.1 | 0.18 | <0.1 | <0.1 | 0.5 | 2 | 25 |
| Ba | 0.068 | <0.008 | 0.026 | <0.008 | 0.34 | 0.034 | 20 | 100 | 300 |
| Cd | <0.009 | <0.009 | <0.009 | <0.009 | <0.009 | <0.009 | 0.04 | 1 | 5 |
| Cr | 0.025 | <0.004 | 0.01 | 15 | 79 | 17 | 0.5 | 10 | 70 |
| Cu | <0.02 | <0.02 | <0.02 | <0.02 | <0.02 | <0.02 | 2 | 50 | 100 |
| Mo | 0.55 | 0.18 | 2.0 | 0.88 | 7.3 | 6.1 | 0.5 | 10 | 30 |
| Ni | <0.05 | <0.05 | 0.076 | <0.05 | <0.05 | <0.05 | 0.4 | 10 | 40 |
| Pb | <0.03 | <0.03 | <0.03 | <0.03 | <0.03 | <0.03 | 0.5 | 10 | 50 |
| Sb | <0.06 | <0.06 | <0.06 | 0.06 | 0.34 | <0.06 | 0.06 | 0.7 | 5 |
| Se | 0.088 | 0.32 | 0.48 | 0.23 | 5.8 | 0.99 | 0.1 | 0.5 | 7 |
| Zn | 0.63 | 0.81 | 0.91 | 0.82 | 0.96 | 0.61 | 4 | 50 | 200 |
| Sulfates | 4760 | 644 | 724 | 353 | 450 | 1350 | 1000 | 20,000 | 50,000 |
| Chlorides | 386 | 487 | 80 | 259 | 70 | 13.5 | 800 | 15,000 | 25,000 |
| Fluorides | 14 | 2.0 | 1.5 | 2.1 | 13.4 | 1.8 | 10 | 150 | 500 |
| References | Valuation Ways | Raw Materials | Origine | Firing Conditions | Water Absorption (%) | Compressive Strength (MPa) |
|---|---|---|---|---|---|---|
| [5] | Fired bricks | 100% phosphate sludge | Tunisia Kef schfeir | Air drying for 24 h Oven drying at 60 °C for 24 h Firing at 900 °C, 1000 °Cand 1100 °C for 3 h (heating rate of 120 °C) | 12.5–17.2 | _ |
| [14] | Ceramics bricks | Indonesian sludge (Banten Province) | 25–50% of phosphate sludge + kaolin | Dried in an oven at 110 °C for at least 24 h. a heating rate of 5 °C/min to 500 °C, at 10 °C/min from 500 to 925 °C and at 15 °C/min from 925 °C | >30.23 | >à 25 |
| [18] | Ceramics products | Tunisian phosphate Kef eddour | 0–50% phosphate sludge + kaolin | Dried at 105 °C for 24 h. The dried pellets were heated at 900, 1000, and 1100 °C for up to 2 h | _ | _ |
| [26] | Ceramics industries | Marrocan sludge | 0–100% sludge + 0–100% clay | Heating ramp 5 °C/min up to the selected firing temperature (600, 900, 1000, 1100, and 1120 °C) 2 h dwell time at the temperature selected | ||
| [27] | Geopolymer | Marroc phosphate industry | Alkaline solution, metakaolin-in and thermally untreated phosphate sludge (UPS)(of 50%) | Liquid to solid ratio of L/S = 1.2 Left drying at 60 °C for 24 h Hardened matrices for 28 days | _ | 28.05–46.83 |
| [28] | geopolymer | Fly ash came from the heat and power plant in Skawina (Poland), the metakaolin came from the Czech Republic, and the diatomite came from Jawornik Ruski | Fly ash (FA) + metakaolin (MK) + 1–5% diatomite | Alkaline solution consisted of technical sodium hydroxide flakes with aqueous sodium silicate (a ratio of 1:2.5 was used) and tap water | Not specified | 15–31.7 |
| [15] | Geopolymer | Phosphate washing waste and alkaline solution | PPW calcined at 700 °C or 900 °C, activated with NaOH (7 M) and sodium silicate | 15–22 | ||
| [29] | Geopolymer | Geopolymers based on fly ash or metakaolin | 20–70 | |||
| [30] | Fired bricks | China | 84% hematite tailings, fly ash, and clay mixed with 12.5–15% water | 20–25 MPa of forming pressure, and a suitable firing temperature ranged from 980 to 1030 °C for 2 h | 16.54–17.93% | 20.03–22.92 MPa |
| [31] | Hybrid brick | India | 70–90% clay + 5–15% ceramic waste powder + 5–15% bagasse ash | The bricks were cast using molds without any pressure being applied to them. In India, the bricks were left to dry in the sun for two days at a temperature of 35 to 40 °C for an 800 °C firing | 11.4–18% | 20–27.2 |
| Current Study | Geoploymer | Phosphate washing by-product | 50–100% phosphate washing by-product + (10–50% calcined clay (GBM)/10–20% Calcined diatomite (GBD)/calcined diatomite + calcined clay (GBDM)) + potassium silicates solution | The materials were calcined at 700 °C, 750 °C, and 800°C, activated with potassium silicate solution, then pressed, cured at ambient temperature for 72 h, and oven-dried at 105 °C for 24 h | 7.7–17.8% | 7–26 MPa |
| Elements | GBM1 | GBM2 | GBM3 | GBM4 | GBD1 | GBD2 | GBDM1 | GBDM2 | GBDM3 | G100 | ISDI | ISDND | ISDD |
|---|---|---|---|---|---|---|---|---|---|---|---|---|---|
| As | <0.1 | <0.1 | 0.13 | 0.35 | <0.1 | 0.12 | <0.1 | 0.13 | <0.1 | <0.1 | 0.5 | 2 | 25 |
| Ba | <0.008 | <0.008 | <0.008 | <0.008 | <0.008 | <0.008 | <0.008 | <0.008 | 0.009 | 0.012 | 20 | 100 | 300 |
| Cd | <0.009 | <0.009 | <0.009 | <0.009 | <0.009 | <0.009 | <0.009 | <0.009 | <0.009 | 0.01 | 0.04 | 1 | 5 |
| Cr | 10 | 13 | 16 | 19 | 13 | 18 | 14 | 16 | 20 | 41 | 0.5 | 10 | 70 |
| Cu | <0.02 | <0.02 | <0.02 | <0.02 | <0.02 | <0.02 | <0.02 | <0.02 | <0.02 | <0.02 | 2 | 50 | 100 |
| Mo | 0.91 | 1.7 | 2.2 | 2.1 | 1.7 | 2.0 | 1.1 | 2.1 | 2.3 | 2.9 | 0.5 | 10 | 30 |
| Ni | <0.05 | <0.05 | <0.05 | <0.05 | <0.05 | <0.05 | <0.05 | <0.05 | <0.05 | <0.05 | 0.4 | 10 | 40 |
| Pb | <0.03 | <0.03 | <0.03 | <0.03 | 0.05 | <0.03 | <0.03 | <0.03 | <0.03 | <0.03 | 0.5 | 10 | 50 |
| Sb | <0.09 | 0.10 | 0.10 | 0.08 | 0.09 | 0.12 | 0.065 | <0.06 | 0.079 | 0.18 | 0.06 | 0.7 | 5 |
| Se | 0.87 | 2.2 | 2.7 | 2.5 | 2.2 | 1.9 | 1.1 | 2.8 | 2.2 | 2.8 | 0.1 | 0.5 | 7 |
| Zn | <0.01 | 0.74 | <0.01 | <0.01 | <0.01 | <0.01 | <0.01 | <0.01 | <0.01 | <0.01 | 4 | 50 | 200 |
| Sulfates | 243 | 772 | 734 | 151 | 1033 | 841 | 298 | 1042 | 1100 | 595 | 1000 | 20,000 | 50,000 |
| Chlorides | 50 | 70 | 98 | 151 | 34 | 25 | 54.5 | 74.4 | 40.3 | 40.8 | 800 | 15,000 | 25,000 |
| Fluorides | 4.9 | 8.4 | 7.2 | 7.0 | 11 | 6.6 | 5.2 | 8.0 | 7.5 | 7.0 | 10 | 150 | 500 |
Disclaimer/Publisher’s Note: The statements, opinions and data contained in all publications are solely those of the individual author(s) and contributor(s) and not of MDPI and/or the editor(s). MDPI and/or the editor(s) disclaim responsibility for any injury to people or property resulting from any ideas, methods, instructions or products referred to in the content. |
© 2025 by the authors. Licensee MDPI, Basel, Switzerland. This article is an open access article distributed under the terms and conditions of the Creative Commons Attribution (CC BY) license (https://creativecommons.org/licenses/by/4.0/).
Share and Cite
Hassen, M.; Zmemla, R.; Amar, M.; Gaboussa, A.; Abriak, N.; Sdiri, A. Preparation of Ecological Refractory Bricks from Phosphate Washing By-Products. Appl. Sci. 2025, 15, 10647. https://doi.org/10.3390/app151910647
Hassen M, Zmemla R, Amar M, Gaboussa A, Abriak N, Sdiri A. Preparation of Ecological Refractory Bricks from Phosphate Washing By-Products. Applied Sciences. 2025; 15(19):10647. https://doi.org/10.3390/app151910647
Chicago/Turabian StyleHassen, Mariem, Raja Zmemla, Mouhamadou Amar, Abdalla Gaboussa, Nordine Abriak, and Ali Sdiri. 2025. "Preparation of Ecological Refractory Bricks from Phosphate Washing By-Products" Applied Sciences 15, no. 19: 10647. https://doi.org/10.3390/app151910647
APA StyleHassen, M., Zmemla, R., Amar, M., Gaboussa, A., Abriak, N., & Sdiri, A. (2025). Preparation of Ecological Refractory Bricks from Phosphate Washing By-Products. Applied Sciences, 15(19), 10647. https://doi.org/10.3390/app151910647

