Sedimentary Environment and Evolution of the Lower Cretaceous Jiufotang Formation in the Pijiagou and Tanjiagou Sections, Southern Fuxin Basin, NE China
Abstract
1. Introduction
2. Geological Background
2.1. Regional Geological Features
2.2. Stratigraphic Log of Typical Sections
3. Sample and Methods
4. Results
4.1. Petrological Characteristics
4.2. Grain Size Characteristics
4.2.1. Grain Size Grades and Parameters
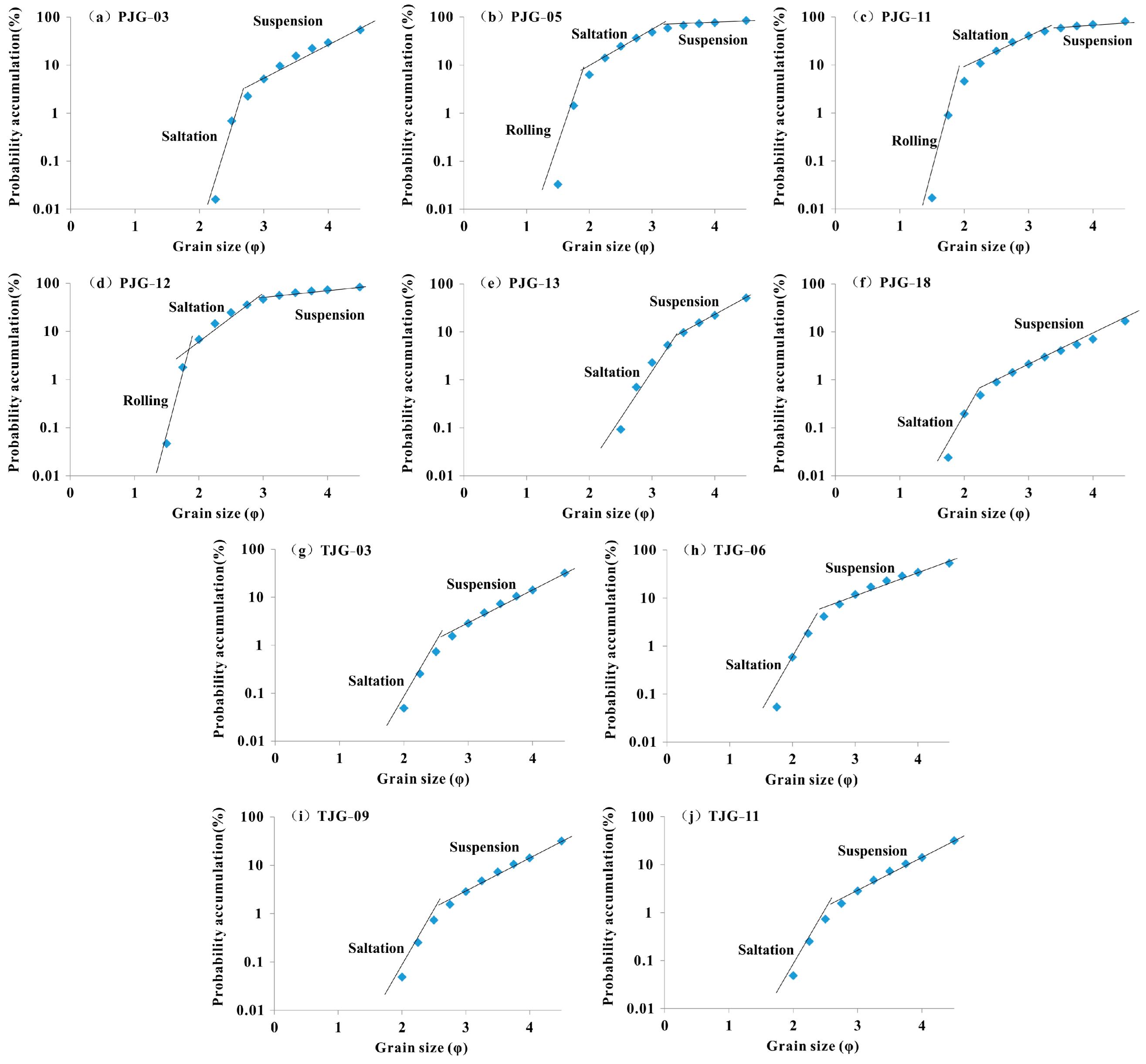
4.2.2. Grain Size Curve Characteristics
5. Discussion
5.1. Sedimentary Environment
5.1.1. Sedimentary Environment Analysis
5.1.2. Sedimentary Facies Division
5.2. Sedimentary Evolution
5.3. Suggestions for Oil and Gas Exploration
5.4. Uncertainties
6. Conclusions
- The K1jf in the southern Fuxin Basin consists of fine-grained clastics and local chemical sediments, characterized by low compositional and textural maturity. These features collectively suggest deposition from low-energy fluids systems with hybrid traction-turbidity flow properties, in which suspension was the dominant sediment transport mechanism.
- The K1jf in the southern Fuxin Basin exhibits a vertical succession of fan-delta to lacustrine deposits, encompassing two subfacies (fan-delta front and shore-shallow lacustrine) and seven microfacies (subaqueous distributary channels, interdistributary bays, subaqueous levees, mouth bars, muddy shoals, sandy shoals, and carbonate shoals).
- The sedimentary record of the K1jf suggests that the lacustrine basin in the study area underwent an overall transgressive-regressive cycle, superimposed by multiple high-frequency lacustrine-level oscillations.
- The K1jf is considered viable for hydrocarbon accumulation, as evidenced by complete source-reservoir-seal combinations. This includes the source rocks from the dark mudstones and shales developed in the maximum lacustrine flooding period (corresponding to the second member of the K1jf), the reservoir potential of the fan-delta sandstones in the third member of the K1jf, and the sealing capacity provided by the interbedded shore-shallow lacustrine mudstones and micrites in the third member of the K1jf.
- Overall, the K1jf in the study area may have favorable oil and gas exploration prospects. However, further acquisition of seismic data and implementation of wells are needed to determine the planar distribution characteristics of sedimentary facies.
Author Contributions
Funding
Institutional Review Board Statement
Informed Consent Statement
Data Availability Statement
Conflicts of Interest
References
- Zhao, R. Exploration decision in Fuxin Basin. Nat. Gas Ind. 2003, 23, 58–61. [Google Scholar] [CrossRef]
- Zhu, Z.M.; Shen, B.; Lu, A.P.; Yan, J.F. Cretaceous Fuxin Formation coalbed methane system in Fuxin Basin. Pet. Explor. Dev. 2007, 34, 181–187. [Google Scholar] [CrossRef]
- Qin, J.Y.; Guo, F. The fundamental analysis of the oil geological condition in Fuxin Basin. J. Hebei Univ. Eng. (Nat. Sci. Ed.) 2008, 25, 32–35. [Google Scholar] [CrossRef]
- Zhao, H.W.; Chen, S.W.; Wang, D.M.; Zhang, D.J.; Xiao, F. Major breakthroughs in oil and gas exploration in the Fuxin Basin. Geol. China 2018, 45, 857–858. [Google Scholar] [CrossRef]
- Xiao, F.; Zhao, H.W.; Li, Y.F.; Zhang, H.H.; Zhen, Z.; Zhang, D.J.; Qin, J.Y.; Wu, T. Re-understanding of oil source of the Lower Cretaceous Shahai Formation in the Fuxin Basin, western Liaoning Province. Geol. China 2017, 44, 604–605. [Google Scholar] [CrossRef]
- Zhao, H.W.; Zhang, D.J.; Chen, S.W.; Xiao, F. Geochemical characteristics and oil-source correlation of Shahai Formation hydrocarbon source rocks in Well Liaofudi 2, Fuxin Basin, China. J. Chengdu Univ. Technol. (Sci. Technol. Ed.) 2021, 48, 582–590. [Google Scholar] [CrossRef]
- Xie, W.Q.; Jia, J.L.; Miao, C.S.; Wu, Y.J.; Wang, X.M.; Qin, J.Y. Formation and evolution of coal– and oil–bearing source rocks in the Lower Cretaceous Shahai Formation in the Fuxin Basin (NE China): Evidence from organic and inorganic geochemical analyses. J. Pet. Sci. Eng. 2021, 202, 108544. [Google Scholar] [CrossRef]
- Zhao, H.W.; Zhang, D.J. Hydrocarbon evaluation and exploration direction of Fuxin reformed basin. Geol. Resour. 2021, 30, 306–316. [Google Scholar] [CrossRef]
- Xie, W.Q.; Jia, J.L.; Mansour, A.; Wang, X.M. Hydrocarbon generation and migration in the Fuxin Basin during the Cretaceous evolution of the North China Craton, NE China. Geomech. Geophys. Geo-Energy Geo-Resour. 2023, 9, 148. [Google Scholar] [CrossRef]
- Su, X.; Jia, J.L.; Wang, X.M. Spatiotemporal variation in mature source rocks linked to the generation of various hydrocarbons in the Fuxin Basin, northeast China. Energies 2024, 17, 5654. [Google Scholar] [CrossRef]
- Wang, X.R.; Lu, A.P.; Zhang, X.Y. The features of oil and gas bearing strata in the Fuxin Basin. J. Stratigr. 2007, 31, 385–390. [Google Scholar] [CrossRef]
- Song, K.L.; Zhu, L. Oil-gas resources exploration and production capacity study of Fuxin Basin. Geol. Resour. 2024, 33, 41–48, 64. [Google Scholar] [CrossRef]
- Zhao, Q.; Wang, H.Y.; Yang, S.; Zang, H.R.; Liu, D.X.; Sun, Q.P.; Jiang, X.C. Potential of continental shale gas accumulation in medium-and small-sized fault basins in eastern China: A case study from the Fuxin Basin. Nat. Gas Ind. 2018, 38, 26–33. [Google Scholar] [CrossRef]
- Zhu, X.M.; Wang, X.L.; Zhang, M.Z.; Lin, X.Y.; Zhang, Q. Sedimentary environments and lithofacies characteristics of fine-grained sediments in typical continental basins in China. Oil Gas Geol. 2024, 45, 873–892. [Google Scholar] [CrossRef]
- Zhang, D.J.; Zhang, X.C.; Zhao, H.W.; Chen, S.W.; Zhang, J. Application of natural gamma-ray spectrometry logging in the Lower Shahai Formation in Fuxin Basin: A case study of LFD-2 Well. Geol. Resour. 2023, 32, 218–224. [Google Scholar] [CrossRef]
- Zhang, J.L.; Cheng, B.J.; Xu, T.J.; Yong, L. Identification of paleochannels by seismic attribute principal component analysis. Oil Geophys. Prospect. 2023, 58, 190–195. [Google Scholar] [CrossRef]
- Qu, Y.Y.; Li, T.; Hu, W.S.; Zhang, Y. Sedimentary model of the central submarine channel: Evidence from seismic sedimentology. Sci. Technol. Eng. 2025, 25, 4957–4966. [Google Scholar] [CrossRef]
- Zhang, T.; Wang, L.L.; Liao, H.H.; Zou, M.; Liang, R.; Wang, P.; Su, Z.T. Methods and research progress of paleo-water depth reconstruction in sedimentary basins. Sediment. Geol. Tethyan Geol. 2024, 44, 582–599. [Google Scholar] [CrossRef]
- Wang, X.P.; Wang, Q.Y.; An, X.Y. Characteristics of sedimentary environment and evolution of Permian in southern Sichuan Basin: An example from the profile of Gulin Bajiaocun in Sichuan province. Sediment. Geol. Tethyan Geol. 2022, 42, 398–412. [Google Scholar] [CrossRef]
- Gao, D.; Guo, H.L.; Wang, J.H. Geochemical characteristics and sedimentary environment of coal during Middle Jurassic in Yima Basin. Coal Sci. Technol. 2023, 51, 174–183. [Google Scholar] [CrossRef]
- Zhao, C.X.; Li, Z.C.; Guo, S.C.; Bao, Z.D.; Wei, Z.S.; Li, L.; Wang, H.L. Characteristics of geochemistry and depositional environment of terrestrial shales in the first member of Oingshankou Formation of Changling Fault Depression in the southern Songliao Basin. Spec. Oil Gas Reserv. 2023, 30, 55–61. [Google Scholar] [CrossRef]
- Lu, J.; Zhang, F.H.; Yang, M.F.; Shao, L.Y.; Shang, X.X. Pattern analysis method of depositional environment from outcrop sections in coal measures. Coal Geol. Explor. 2018, 46, 40–48. [Google Scholar] [CrossRef]
- Zhang, Y.F.; Liu, S.W.; Liu, Y.H.; Xia, Z.D.; Gao, X.F.; Zha, X.F.; Fan, Y.Y. Sedimentary filling characteristics and environmental analysis of Late Cretaceous Donggou Formation in southern Margin of Junggar Basin. Xinjiang Geol. 2022, 40, 223–229. [Google Scholar] [CrossRef]
- Wang, N.Z.; Zhang, W.B.; He, B.; Tao, G.; Zhao, F.; Sun, P.Y.; Zhang, Z.X.; Zhao, Z.G. Sandstone grain size analysis of Upper Triassic Erqiao Formation in Zhongping area, Guizhou Province: Implication of sedimentary environment. Geol. Resour. 2023, 32, 406–417. [Google Scholar] [CrossRef]
- Jia, J.L.; Wu, Y.J.; Yang, D.; Qin, J.Y. Discovery and accumulation mechanism of Early Cretaceous volcanogenic buried-hill reservoir in the Fuxin Basin. Acta Geol. Sin. 2022, 96, 3977–3993. [Google Scholar] [CrossRef]
- Wu, B.W.; Guo, Y.M.; Wang, X.; Jiang, L.; Wang, H.; Ji, Z.K. The oil-gas exploration direction of Fuxin Basin. Geol. Resour. 2015, 24, 473–477. [Google Scholar] [CrossRef]
- Jia, J.L.; Wu, Y.J.; Miao, C.S.; Fu, C.L.; Xie, W.Q.; Qin, J.Y.; Wang, X.M. Tectonic controls on the sedimentation and thermal history of supra-detachment basins: A case study of the Early Cretaceous Fuxin Basin, NE China. Tectonics 2021, 40, e2020TC006535. [Google Scholar] [CrossRef]
- Su, N.; Zhu, G. Stratigraphical sequences and chronological framework of Cretaceous in the western Liaoning region. Geotecton. Metallog. 2022, 22, 26–31. [Google Scholar] [CrossRef]
- Sun, S.H.; Qiu, L.; Yan, D.P.; Zhou, Z.C.; Zhang, J.M.; Wang, X.; Wu, B.W.; Shi, H.T.; Ariser, S.; Ariser, S.; et al. Formation and evolution of supradetachment basins during continental extension: Insights from the Fuxin Basin in NE China. Front. Earth Sci. 2022, 10, 845812. [Google Scholar] [CrossRef]
- Sun, M.L.; Zhang, J.C.; Yuan, T.S.; Niu, J.L.; Tang, X.; Tao, J. Types and accumulation distribution sequence of unconventional natural gas resources in Fuxin Basin. Pet. Geol. Oilfield Dev. Daqing 2025, 1–9. [Google Scholar] [CrossRef]
- Xu, X.T.; Shao, L.Y.; Eriksson, K.A.; Pang, B.; Wang, S.; Yang, C.X.; Hou, H.H. Terrestrial records of the early Albian Ocean Anoxic Event: Evidence from the Fuxin lacustrine basin, NE China. Geosci. Front. 2022, 13, 144–163. [Google Scholar] [CrossRef]
- Zhang, D.J.; Zhao, H.W.; Chen, S.W.; Zhang, J. Lithostratigraphic Characteristics of LFD-2 Well in Fuxin Basin. Geol. Resour. 2021, 30, 325–332. [Google Scholar] [CrossRef]
- Chen, G.; Zhang, X.M.; Yang, G.F.; Han, G.; Bian, J.; Yang, Y.N.; Zhuo, S.G. Sedimentary and organic matter characteristics of Lower Cretaceous Jiufotang Formation in western Liaoning Province. Geol. Bull. China 2019, 38, 426–436. [Google Scholar] [CrossRef]
- Wu, Z.J.; Gao, F.L.; Pan, Y.Q.; Wang, X. Division and correlation of the Jiufotang Formation and their rare fossil-bearing beds in western Liaoning, China. Geoscience 2018, 32, 758–765. [Google Scholar] [CrossRef]
- Yuan, H.Q.; Wang, L.; Yu, Y.H.; Zhang, D.J.; Xu, F.M.; Liu, H.T. Review of sedimentary grain size analysis methods. J. Jilin Univ. (Earth Sci. Ed.) 2019, 49, 380–393. [Google Scholar] [CrossRef]
- Udden, J.A. Mechanical composition of clastic sediments. GSA Bull. 1914, 25, 655–744. [Google Scholar] [CrossRef]
- Krumbein, W.C. Size frequency distributions of sediments. J. Sediment. Res. 1934, 4, 65–77. [Google Scholar] [CrossRef]
- Folk, R.L.; Ward, W.C. Brazos River bar [Texas]: A study in the significance of grain size parameters. J. Sediment. Res. 1957, 27, 3–26. [Google Scholar] [CrossRef]
- Visher, G.S. Grain size distributions and depositional processes. J. Sediment. Res. 1969, 39, 1074–1106. [Google Scholar] [CrossRef]
- Passega, R. Texture as Characteristic of Clastic Deposition. AAPG Bull. 1957, 41, 1952–1984. [Google Scholar] [CrossRef]
- Sahu, B.K. Depositional mechanisms from the size analysis of clastic sediments. J. Sediment. Res. 1964, 34, 73–83. [Google Scholar] [CrossRef]
- Li, H.T.; Song, Z.G.; Zou, Y.R.; Wang, C.S.; Ji, Q. Characteristics of sedimentary organic matter and paleoclimate and environmental evolution during Early Cretaceous time in northern part of Hebei and western of Liaoning provinces. Acta Geol. Sin. 2008, 82, 72–77. [Google Scholar] [CrossRef]
- Wang, D.N.; Wang, X.R.; Ji, Q. The palynoflora alternation and the paleoclimate change at the turning time between Late Jurassic and Early Cretaceous in northern Hebei and western Liaoning. Acta Geosci. Sin. 2016, 37, 449–459. [Google Scholar] [CrossRef]
- Li, X.B.; Liu, H.Q.; Huang, J.P.; Wang, Y.T.; Hao, B.; Long, L.W.; Wang, J.; Wei, L.H. Alternation of arid-humid climate, and formation and distribution of fluvial fan sand in the central area of Inland Lake basin: A case study of the Yanchang Formation in Ordos basin. Acta Geol. Sin. 2023, 97, 822–838. [Google Scholar] [CrossRef]
- Zhang, Y.F.; Gao, Y.; Chen, J.Q.; Huang, S.; Hai, L.; Wu, Z.X.; Yang, L.; Dong, T. Carbon and oxygen isotope characteristics of Late Cretaceous lacustrine dolomite in the Songliao Basin and their paleoenvironmental implications. Geoscience 2023, 37, 1243–1253. [Google Scholar] [CrossRef]
- Chen, H.H.; Zhu, X.M.; Chen, C.F.; Yin, W. Characteristics of source-reservoir-caprock assemblage and hydrocarbon accumulation of Yanchang Formation in Binchang block, Ordos Basin. Lithol. Reserv. 2016, 28, 56–63. [Google Scholar] [CrossRef]
- Gao, Y.; Liu, H.M. Geological characteristics and hydrocarbon accumulation model of the whole petroleum system in Paleogene of Jiyang Depression, Bohai Bay Basin, China. Pet. Explor. Dev. 2025, 52, 551–562. [Google Scholar] [CrossRef]









| Lithotypes | Type I | Type II | Type III |
|---|---|---|---|
| Lithology | Feldspar Lithic Fine Sandstone | Feldspar Lithic Siltstone | Argillaceous Siltstone |
| Representative sample | PJG-05, PJG-11, PJG-12 | PJG-03, PJG-13, TJG-03, TJG-06, TJG-09, TJG-11 | PJG-18 |
| Texture | Fine sandy texture | Silty texture | Muddy silty texture |
| Sorting | Poor | Poor | Poor |
| Rounding | Subangular to subrounded | Subangular | Unobservable |
| Clastic composition | Quartz (15–20%); Feldspar (20–26.3%); Lithic (45–46.3%) | Quartz (5–15%); Feldspar (16.3–22.5%); Lithic (37.5–45%) | Abundant clay and minor feldspar |
| Interstitial material | Clay (6.3–10%) | Clay (17.5–38.8%) | Unobservable |
| Supporting style | Grain supported | Grain supported | Unobservable |
| Cementation style | Porous cementation | Porous cementation | Unobservable |
| Sample | PJG-03 | PJG-05 | PJG-11 | PJG-12 | PJG-13 | PJG-18 | |
|---|---|---|---|---|---|---|---|
| Lithology | Mud-Bearing Fine Sandy Siltstone | Silt-Bearing Fine Sandstone | Silty Fine Sandstone | Silt-Bearing Fine Sandstone | Mud- and Fine Sand-Bearing Siltstone | Argillaceous Siltstone | |
| Coarse sands | 0 < φ ≤ 1 | 0 | 0 | 0 | 0 | 0 | 0 |
| Medium sands | 1 < φ ≤ 2 | 0 | 6.299 | 4.577 | 6.818 | 0 | 0.197 |
| Fine sands | 2 < φ ≤ 3 | 5.157 | 42.274 | 36.119 | 39.985 | 2.296 | 1.930 |
| Extremely fine sands | 3 < φ ≤ 4 | 24.458 | 27.919 | 29.328 | 26.267 | 19.913 | 4.931 |
| Coarse silts | 4 < φ ≤ 5 | 24.855 | 8.435 | 11.125 | 10.239 | 28.879 | 9.760 |
| Fine silts | 5 < φ ≤ 8 | 32.813 | 10.767 | 14.145 | 12.622 | 38.608 | 52.232 |
| Clay | φ > 8 | 12.717 | 4.304 | 4.706 | 4.069 | 10.304 | 30.950 |
| C (mm) | 0.169 | 0.307 | 0.298 | 0.314 | 0.142 | 0.171 | |
| M (mm) | 0.036 | 0.122 | 0.106 | 0.118 | 0.032 | 0.008 | |
| Mz (φ) | 5.282 | 3.398 | 3.670 | 3.486 | 5.327 | 7.070 | |
| σ (φ) | 1.967 | 1.515 | 1.631 | 1.562 | 1.749 | 2.057 | |
| SK | 0.406 | 0.524 | 0.512 | 0.513 | 0.361 | 0.010 | |
| KG | 0.970 | 1.704 | 1.393 | 1.419 | 1.048 | 0.962 | |
| Sample | TJG-03 | TJG-06 | TJG-09 | TJG-11 | |
|---|---|---|---|---|---|
| Lithology | Mud- and Fine Sand-Bearing Siltstone | Mud-Bearing Fine Sandy Siltstone | Mud-Bearing Fine Sandy Siltstone | Mud- and Fine Sand-Bearing Siltstone | |
| Coarse sands | 0 < φ ≤ 1 | 0 | 0 | 0 | 0 |
| Medium sands | 1 < φ ≤ 2 | 0.058 | 0.586 | 0.001 | 0.048 |
| Fine sands | 2 < φ ≤ 3 | 3.002 | 11.326 | 7.474 | 2.812 |
| Extremely fine sands | 3 < φ ≤ 4 | 12.001 | 22.709 | 22.923 | 11.325 |
| Coarse silts | 4 < φ ≤ 5 | 19.406 | 18.989 | 22.325 | 17.696 |
| Fine silts | 5 < φ ≤ 8 | 48.646 | 31.457 | 32.409 | 44.652 |
| Clay | φ > 8 | 16.887 | 14.933 | 14.868 | 23.467 |
| C (mm) | 0.169 | 0.233 | 0.191 | 0.165 | |
| M (mm) | 0.018 | 0.037 | 0.035 | 0.015 | |
| Mz (φ) | 5.977 | 5.284 | 5.380 | 6.293 | |
| σ (φ) | 1.954 | 2.223 | 2.120 | 2.136 | |
| SK | 0.162 | 0.346 | 0.375 | 0.139 | |
| KG | 0.915 | 0.850 | 0.902 | 0.827 | |
| Sedimentary Environment | Formula | Discriminantion Value | Average Value |
|---|---|---|---|
| Aeolian process or beach | (1) Yaeol: beach = −3.5688Mz + 3.7016σ2 − 2.0766SK + 3.1135KG | Yaeol < −2.7411 Ybeach > −2.7411 | Yaeol = −3.0973 Ybeach = −1.7824 |
| Beach or shallow agitated marine | (2) Ybeach: mar = 15.6634Mz + 65.7091σ2 − 18.1071SK + 18.5043KG | Ybeach < 65.3650 Ymar > 65.3650 | Ybeach = 51.9536 Ysh.mar = 104.7536 |
| Shallow lacustrine or deltaic | (3) Ylacu: delta = 0.2852Mz + 8.7604σ2 − 4.8932SK + 0.0482KG | Ylacu > −7.4190 Ydelta < −7.4190 | Ylacu = −5.3167 Ydelta = −10.4418 |
| Deltaic or turbidity current | (4) Ydelta: turb = 0.7215Mz + 0.4030σ2 − 6.7322SK + 5.2927KG | Ydelta > 9.8433 Yturb < 9.8433 | Ydelta = 10.7115 Yturb = 7.9791 |
| Section | Sample | Discrimination Value of Y3 | Discrimination Result of Y3 | Discrimination Value of Y4 | Discrimination Result of Y4 |
|---|---|---|---|---|---|
| Pijiagou | PJG-03 | −34.32823 | Deltaic | 10.11891 | Deltaic |
| PJG-05 | −21.61988 | Deltaic | 14.07311 | Deltaic | |
| PJG-11 | −24.69557 | Deltaic | 12.39548 | Deltaic | |
| PJG-12 | −22.82162 | Deltaic | 12.49585 | Deltaic | |
| PJG-13 | −26.99474 | Deltaic | 10.58773 | Deltaic | |
| PJG-18 | −35.05363 | Deltaic | 8.55471 | Turbidity current | |
| Tanjiagou | TJG-03 | −32.49218 | Deltaic | 8.70714 | Turbidity current |
| TJG-06 | −43.43660 | Deltaic | 8.64903 | Turbidity current | |
| TJG-09 | −39.62984 | Deltaic | 9.36902 | Turbidity current | |
| TJG-11 | −38.81482 | Deltaic | 8.01455 | Turbidity current |
| Facies | Subfacies | Microfacies | Sedimentary Characteristics |
|---|---|---|---|
| Fan delta | Fan delta front | Subaqueous distributary channel | The lithology is consists mainly of fine-grained sandstone (Type I), intercalated with thin silty mudstone layers. These sandstones typically exhibit parallel bedding and rest on an erosional base, coarsening upward to form a distinct positive grading. They are texturally immature, with grain size distributions often displaying a bimodal pattern and strong positive skewness due to scour-and-fill processes. Probability cumulative curves are predominantly three-segmented, indicating a dominance of suspended and saltation components. |
| Interdistributary bay | The lithology is consists mainly of gray-green or green-gray silty mudstone or argillaceous siltstone, with minor interbeds of fine silty sandstone. Localized horizontal bedding is observed. | ||
| Subaqueous levee | The lithology consists predominantly of siltstone (Type II) with intercalations of silty mudstone. An erosional base is present, while the succession contains multiple regular rhythmic beds, with lenticular bedding observed locally. The siltstone is poorly sorted, and its grain size distributions are mostly unimodal and positively skewed. The probability cumulative curves are predominantly two-segmented, reflecting a predominance of suspended sediments over a minor saltation population. | ||
| Mouth bar | The lithology is composed of silty mudstone, argillaceous siltstone, and fine-grained silty sandstone (Type II), forming a coarsening-upward sequence. These texturally immature sandstones exhibit unimodal grain size distributions characterized by a flat peak and positive skewness. Probability cumulative curves are predominantly two-segmented, indicating a dominant suspended load with a subordinate saltation component. | ||
| Lacustrine | Shore-shallow lacustrine | Muddy shoal | The lithology consists chiefly of dark mudstone and shale, characterized by well-developed horizontal stratification and well-preserved fossils. |
| Sandy shoal | The lithology is primarily composed of siltstone and argillaceous siltstone (Type III), interpreted as gravity flow deposits with a significant argillaceous matrix. These deposits exhibit a unimodal grain-size distribution, characterized by a high C/M ratio, poor sorting, and near-symmetrical skewness. | ||
| Carbonate shoal | The lithology is predominantly micrite, indicating a depositional environment dominated by chemical precipitation. |
Disclaimer/Publisher’s Note: The statements, opinions and data contained in all publications are solely those of the individual author(s) and contributor(s) and not of MDPI and/or the editor(s). MDPI and/or the editor(s) disclaim responsibility for any injury to people or property resulting from any ideas, methods, instructions or products referred to in the content. |
© 2025 by the authors. Licensee MDPI, Basel, Switzerland. This article is an open access article distributed under the terms and conditions of the Creative Commons Attribution (CC BY) license (https://creativecommons.org/licenses/by/4.0/).
Share and Cite
Huang, Y.; Li, S.; Xiao, F.; Shi, L.; Yao, Y.; Yang, J. Sedimentary Environment and Evolution of the Lower Cretaceous Jiufotang Formation in the Pijiagou and Tanjiagou Sections, Southern Fuxin Basin, NE China. Appl. Sci. 2025, 15, 10637. https://doi.org/10.3390/app151910637
Huang Y, Li S, Xiao F, Shi L, Yao Y, Yang J. Sedimentary Environment and Evolution of the Lower Cretaceous Jiufotang Formation in the Pijiagou and Tanjiagou Sections, Southern Fuxin Basin, NE China. Applied Sciences. 2025; 15(19):10637. https://doi.org/10.3390/app151910637
Chicago/Turabian StyleHuang, Yiming, Shichao Li, Fei Xiao, Lei Shi, Yulai Yao, and Jianguo Yang. 2025. "Sedimentary Environment and Evolution of the Lower Cretaceous Jiufotang Formation in the Pijiagou and Tanjiagou Sections, Southern Fuxin Basin, NE China" Applied Sciences 15, no. 19: 10637. https://doi.org/10.3390/app151910637
APA StyleHuang, Y., Li, S., Xiao, F., Shi, L., Yao, Y., & Yang, J. (2025). Sedimentary Environment and Evolution of the Lower Cretaceous Jiufotang Formation in the Pijiagou and Tanjiagou Sections, Southern Fuxin Basin, NE China. Applied Sciences, 15(19), 10637. https://doi.org/10.3390/app151910637

