Next Article in Journal
Kinematic and Dynamic Behavior of a Coastal Colluvial Landslide in a Low-Elevation Forest
Previous Article in Journal
Neural-Network-Based Adaptive MPC Path Tracking Control for 4WID Vehicles Using Phase Plane Analysis
Previous Article in Special Issue
Analysis of Weak Links in the Mechanized Mining of Underground Metal Mines: Insights from Machine Learning and SHAP Explainability Models
 
 
Font Type:
Arial Georgia Verdana
Font Size:
Aa Aa Aa
Line Spacing:
Column Width:
Background:
Article

Mechanisms of Energy Transfer and Failure Zoning in Rock Mass Blasting: A Mohr–Coulomb Theory and Numerical Simulation Study

1
School of Traffic and Civil Engineering, Shandong Jiaotong University, Jinan 250357, China
2
School of Transportation and Physical Engineering, Shandong Jiaotong University, Jinan 250357, China
*
Author to whom correspondence should be addressed.
Appl. Sci. 2025, 15(19), 10600; https://doi.org/10.3390/app151910600
Submission received: 26 August 2025 / Revised: 26 September 2025 / Accepted: 28 September 2025 / Published: 30 September 2025
(This article belongs to the Special Issue Rock Mechanics in Geotechnical and Tunnel Engineering)

Abstract

This paper explores the mechanisms of energy transfer and failure zones in rock mass blasting. By combining theoretical derivation with numerical simulation, we examine the deformation, failure features, and source parameters of rock subjected to spherical charge blasting. Using the Mohr–Coulomb yield criterion, we classify the rock failure process into four zones: the cavity zone, fracture zone, radial fracture zone, and vibration zone. Additionally, we establish a dynamic partitioned model that considers explosion cavity expansion, compression wave propagation, and energy dissipation. Applying elastic failure conditions, we develop a calculation model for vibration parameters in each zone and use MATLAB programming to find numerical solutions for the radius of the failure zone, elastic potential energy, and the interface pressure over time. Verification with a granite underground blasting project in Qingdao shows the ratio of the spherical cavity radius to the charge radius is 1.49, and the crushing zone radius to the charge radius is 2.85. Theoretical results are consistent with the approximate method in magnitude and value, confirming the model’s reliability. The interface pressure sharply peaks and then decays exponentially. The growth of the fracture zone depends heavily on initial pressure, rock strength, and Poisson’s ratio. These findings support blasting engineering design and seismic effect assessment.

1. Introduction

In specific blasting seismic zones, when the ground motion caused by blasting reaches a sufficient level, it can cause varying degrees of damage to both surface and underground structures, as well as engineering facilities. This phenomenon and its effects, resulting from blasting-induced ground motion [1,2], are called the blasting seismic effect. When the seismic waves generated by blasting become strong enough, they may cause localized damage or even total collapse of structures. Such damage not only disrupts normal building functions but also poses serious risks to human life and property. This issue directly relates to the safety and effectiveness of blasting operations and the achievement of expected economic benefits.
An explosion is a phenomenon characterized by the rapid release of energy. Near an explosion, complex processes occur due to the intense forces involved. These include the formation of an explosion cavity, the propagation of compression waves, plastic deformation, and destruction of the surrounding medium. In hard, low-porosity rock, the cavity mainly forms from the compression wave moving the medium by a volume proportional to the explosion energy. The size of the cavity and the radius of the inelastic deformation zone depend on both the explosion energy and the physical properties of the medium. Ultimately, the main parameters of the explosion vibration wave depend on the characteristics of the cavity and the inelastic zone. As a result, the inelastic zone is seen as the source of ground vibrations caused by underground blasting [3].
Currently, the primary model used to represent blasting vibration sources is the blasting equivalent load model [4]. This model includes both the equivalent hole theory and the point source moment theory. Among various theories in engineering blasting research, the equivalent hole theory, originally proposed by J.A. Sharp [5], is the most widely used. The core idea of the equivalent cavity theory is that during an explosion, the source of blasting vibrations consists of an inelastic deformation zone. As a result, the mechanical properties of the blasting source, especially the inelastic region, determine the physical and mechanical parameters of the surrounding elastic area.
Li Tao [6] studied linear blasting in detail through field blasting tests, compared and analyzed the results, and obtained physical and mechanical characteristic parameters that generally match the test results. Through theoretical analysis, Chen [7] derived the formula for the point source moment in layered media and developed the analytical method to solve it.
According to the point source moment theory in seismology, Yang et al. [8] state that the form of the moment and its corresponding time function are primarily determined by the failure mechanism of blasting. Using this theory, a model of the throwing blasting source has been established. Ziolkowski et al. [9,10] summarized the characteristics of explosion seismic sources in rock and soil by analyzing seismic waveforms and the source time function, drawing on the theoretical knowledge of explosion source similarity law and source wavelet theory. In the literature [11], the concept of the blasting near-field is introduced, and it is further emphasized that, given a known seismic wave source, addressing the fluctuation issues in the vicinity of the blasting source is the main task in near-field blasting vibration prediction.
With the continuous and rapid development of the national economy and the substantial increase in infrastructure construction, engineering blasting technology has been extensively applied across various sectors of national economic development due to its advantages in efficiency and speed. The explosive energy generated from engineering blasting has found significant applications in geotechnical engineering fields, including mining, exploration, protective engineering, water conservancy, and oil exploitation. In geotechnical blasting engineering, as blasting vibrations propagate, part of the vibration energy is effectively harnessed, while the remainder disperses outward through the surrounding medium [12]. This dispersive energy can induce varying degrees of ground motion and potentially damage nearby buildings or engineering facilities. Field experimental records from blasting engineering indicate that the blasting seismic wave comprises wave trains characterized by differing amplitudes and frequencies. Each wave train can reflect a multitude of parameters, including geological conditions, explosive sources, and seismic wave propagation paths.
Under the influence of an explosion, the near-field experiences several processes, including the formation of an explosion cavity, the propagation of a compression wave, the occurrence of plastic deformation, and the destruction of the medium. In hard rock, characterized by low porosity, the compression wave displaces a certain volume of the medium outward, resulting in the formation of an explosion cavity [13]. The magnitude of the explosion energy directly influences the radius of this cavity. Both the radius of the explosion cavity and that of the inelastic deformation zone are determined by the explosion energy, as well as the properties of the rock and soil medium. These radii significantly impact the mechanical parameters of the blasting vibration wave. Consequently, in the context of shallow underground blasting, the inelastic zone is typically identified as the source of the blast.
Numerous experimental studies have demonstrated that the inelastic region accounts for the majority of explosion energy consumption. Upon completion of the work done by the explosion cavity, the energy dissipation from shallow underground explosions [14] can be summarized as follows: the inelastic zone dissipates 60% to 70% of the total energy in the form of heat, while the explosion products account for 10% to 20% of the total energy. Additionally, approximately 15% of the energy is expended in the melting of the medium, and finally, 10% to 15% of the total energy remains in the elastic zone as compression of the medium. Within the elastic zone, a portion of the energy is consumed by ground motion. Energy losses occur during the propagation of seismic waves due to reflection, refraction, scattering, and transmission at the interfaces of different media, leading to a gradual decrease in the intensity of ground motion. The faster the seismic wave velocity attenuation, the lower the vibration energy of the seismic wave. In the elastic deformation zone, parameters related to blasting seismic action can be determined using elastic theory.
In recent years, the rapid advancement of electronic computers, improvements in calculation speed, and the continuous enhancement of measuring instruments and computational methods have led many domestic scholars to achieve significant research outcomes in the field of blasting source studies.
This paper primarily investigates the rock explosion damage area, the vibration parameters of each region, and the pressure at the interface between the fracture zone and the vibration zone. Utilizing the Mohr–Coulomb yield criterion, the kinematic and dynamic equations, which incorporate wave propagation velocity and time, are integrated to derive a comprehensive calculation model for the explosion damage area and the vibration parameters. Based on this calculation model and a specific blasting example, MATLAB is employed for programming [15]. The radius of the explosion damage area, the elastic potential energy within the rock, and the pressure–time history curve at the interface between the fracture zone and the vibration zone are calculated and illustrated.

2. Explosion Damage Zoning in Rock

After the charge explosion acts on the rock, it is categorized into three distinct areas based on the degree of deformation and failure [16]: the cavity area, fracture area, and elastic area. The entire process of rock deformation and failure following blasting was analyzed using a segmentation method. In blasting engineering, the explosion induces vibrations and damages the surrounding rock. Based on the extent of damage to the surrounding rock post-explosion, it can be classified into four areas: cavity area, broken area, radial crack area, and vibration area. The vibration area and radial crack area are collectively referred to as the elastic area. During propagation, the blasting seismic wave is ultimately formed after the energy dissipation through reflection, refraction, scattering, and transmission at the interfaces of different media within the broken zone and the radial fracture zone. The distribution maps of the four distinct areas—cavity area, fracture area, radial fracture area, and vibration area—are illustrated in Figure 1.
Under the influence of concentrated charge explosion, the deformation to failure of the rock mass medium primarily occurs in two stages. In the first stage, assuming the maximum crack development speed is Vmax, the expansion speed of the explosion cavity and the propagation speed of the fractured zone exceed the crack development speed. This propagation stage generally encompasses two regions: the plastic zone and the elastic zone. The radius of the current region is denoted as r, the radius of the explosion chamber is denoted as a(t), and the radius of the crushing zone is denoted as b(t). The radius range of the elastic region can be expressed as r b ( t ) . The radius range of the plastic region can be expressed as a ( t ) r b ( t ) . In the second stage, as the compression wave continues to propagate forward, its velocity gradually decreases, and the radial fracture area appears. The radius range of the radial fracture zone can be expressed as b ( t ) r c ( t ) , where c ( t ) is the radius of the radial fracture zone.
In the two regions of the vibration zone and the radial fracture zone, the deformation is deduced and calculated based on static conditions. The stress and deformation are determined by the static relationship of the instantaneous load at the present time. Subsequently, following the partition process of rock deformation during different periods of blasting loading, the relationships, motion equations, and general solutions corresponding to each partition are presented individually.

2.1. Cavity Region

After the explosion, the room is full of detonation gas pressure, and the isentropic expansion of the detonation gas is ρ ν γ = c o n s t . For the spherical charge, the stress state of the rock mass medium under the explosion of the spherical charge can be calculated according to the adiabatic expansion law of the detonation gas (Jones–Miller adiabatic curve).
p ( a ) = p 0 ( a a 0 ) 3 γ 1 p 0 ( a * a 0 ) 3 γ 1 ( a a * ) 3 γ 2 a a * a > a *
In the formula:
a*—Critical expansion radius; γ1 = 3; γ2 = 1.27; a*/a0 = 1.53;
p0—Burst pressure; if the explosive is TNT, p0 = 3.56 × 109 Pa.
For explosives with detonation velocity greater than 4000 m/s, the explosion pressure pd can be calculated according to the following formula:
p d = 0.000424 ν 2 ρ ¯ ( 1 0.543 ρ ¯ + 0.193 ρ ¯ 2 )
In the formula:
ρ ¯ —Explosive density;
v—Detonation velocity.
For explosives with detonation velocity greater than 4000 m/s, the explosion pressure pd can be calculated according to the following formula:
Pressure on bore wall: p max = 2 ρ c p ρ c p + v ρ ¯ p d The action time of detonation pressure is about 10−6~10−4 s, and the action time of detonation gas is about 10−3~10−1 s.
Pressure time history on the hole wall:
p ( t ) = 4 p max { exp ( B t / 2 exp ( 2 B t ) }
In the formula: B = 16,338; and t is time, s.

2.2. Fracture Zone

Explosions can be categorized into two types based on the amount of energy released: weak explosions and strong explosions. In blasting engineering, the interaction with rock mass typically involves weak explosions. Upon detonation of the explosive within an infinite rock medium, an explosion cavity is initially formed, which can be assumed to have a spherical radius denoted as ‘a0’. As the blasting shock wave propagates, its velocity gradually decreases due to reflection, refraction, scattering, and transmission at the interfaces of different media. This results in the formation of an elastic wave that propagates outward, accompanied by the generation of a rupture wave front and an elastic wave front.
In the fracture zone, the pressure exerted by the explosion shock wave is substantial, causing the rock mass medium in the area to be transformed into a loose medium under the influence of the shock wave. Traditionally, fluid dynamics theory has been employed to derive and calculate the initial impact pressure parameters of the hole wall. However, it is important to note that, due to the shear and internal friction present among the fragmented rock mass media, the Mohr–Coulomb law offers a more accurate representation of the interactions within the broken area compared to fluid dynamics theory.
The elastic body model is appropriate for the propagation of elastic waves, while the ideal plastic body model is more suited for regions subjected to very high pressures. The behavior of rock under dynamic loading closely resembles that of fluid dynamics, particularly in the middle transition area, where small deformations occur in rock. In the subsequent sections of this paper, the Mohr–Coulomb theory will be employed to derive and calculate relevant parameters.
In the crushing zone adjacent to the charge, the rock mass medium is fragmented into a loose medium. To facilitate calculations, we apply the motion equations of the loose medium within the spherical coordinate system.
ρ 0 V t + V V r = σ r r + 2 ( σ r σ θ ) r
In the formula:
ρ 0 —Density of rock mass medium, kg/m3;
V —Radial interference particle velocity, m/s;
σ r —Radial stress, Pa;
σ θ —Circumferential stress component, Pa;
r —Radius, m
The Mohr–Coulomb criterion (3) is used to derive and calculate the rock mass medium in the fracture zone.
τ = c + σ t g ϕ
In the formula:
c —Cohesive force of broken rock mass medium;
ϕ —Internal friction angle of broken rock mass medium;
τ —Shear stress on the shear plane;
σ —Normal stress on the shear plane.
When the explosion chamber expands, the principal stress of the central symmetry problem is
1 + α σ θ σ r Y = 0
Y = 2 c cos ϕ / ( 1 sin ϕ ) , α = 2 sin ϕ / ( 1 sin ϕ )
The expansion conditions of the crushing zone are
V r + 2 V r = Λ ( V r V r )
When the density of the medium remains constant, one can conclude, based on the expansion conditions of the fractured area and the boundary conditions governing the expansion of a spherical cavity, that
v ( r , t ) = a a n r n
In the formula:
n = ( 2 Λ ) / ( 1 + Λ ) , n = 2, Λ is the expansion coefficient;
a is the expansion velocity of the spherical cavity, and the boundary conditions for the expansion of the spherical cavity are v r = a t = t = a ( t )
Combined with items (2), (4), and (6):
σ r r + 2 α 1 + α σ r r = 2 Y 1 + α 1 r + ρ 0 ( a a n ) t r n n ( a a n ) 2 r 2 n + 1
Let
x = r , y = σ r
y = G ( t ) x 2 α 1 + α + Y α + ρ 0 ( a a n ) t x n 1 1 + α ( 3 n ) α + ( 1 n ) n 1 + α 2 α ( 1 n ) 2 n ( a a n ) 2 x 2 n
In the formula:
G(t) is an arbitrary time function.
Let
S 1 = 1 + α ( 3 n ) α + ( 1 n ) S 2 = 1 + α 2 α ( 1 n ) 2 n
Substitute into S1, S2:
y = G ( t ) x 2 α 1 + α + Y α + ρ 0 ( a a n ) t x n 1 S 1 n S 2 ( a a n ) 2 x 2 n
The following formula is obtained:
σ r P = Y α + ρ 0 S 1 ( a a n ) t r n 1 n S 2 ( a a n ) 2 r 2 n + G ( t ) r 2 α 1 + α
The Formula (10) is the superscript of the general solution of the fracture zone, and p, f, and e represent the fracture zone, the radial fracture zone, and the vibration zone, respectively.
There are also the following boundary conditions in the fracture zone:
Initial condition: t = 0 , r = a 0 , σ r = p 0
Cavity   wall :   r = a ( t ) , σ r = p ( a )
In the failure zone, when r b t , the displacement increment Δ u r is obtained according to the Formula (12):
a n + 1 a 0 n + 1 = r n + 1 r Δ u r n + 1
All displacements u r in the region of r b t are
u r u r b , t r + a n + 1 a n + 1 t r n + 1 r n
In the formula:
t r —The time when the breaking wave comes to r;
u r b , t r —The displacement of this point in the elastic zone.

2.3. Radial Fracture Zone

In the radial fracture zone, the medium in this area is destroyed into cracks in the radial column. Suppose the circumferential stress component is σ θ f = 0 . According to the quasi-static equilibrium equation, in the quasi-static solution range,
σ r f r + 2 σ r f σ θ f r = 0
σ r f r + 2 σ r f r = 0
Integrate the differential Equation (15):
σ r f = C 1 1 r 2
By using the continuous condition at r = b and according to Formula (16),
σ r f b = C 1 1 b 2 = p b
C 1 = b 2 p b
Substitute C 1 = b 2 p b into the type (16) to obtain
σ r f = p b b 2 r 2
In the formula: p b is the radial stress of r = b .

2.4. Vibration Zone

For the vibration zone, in the spherical coordinate system, the general solution of the radial displacement u r , t of the medium without load can be obtained:
u ( r , t ) = f t , r r + f t , r r 2 1 v 1 + v Pr
u r , t r = f t , r r 2 f t , r r 2 2 f t , r r 3 1 v 1 + v P
u r , t r = f t , r r 2 + f t , r r 3 1 v 1 + v P
Using the physical equation, there is
σ r = E 1 + v 1 2 v 1 v u r + 2 v u r r
= E 1 v 1 + v 1 2 v f t , r r 2 E 1 + v f t , r r 2 + f t , r r 3 E P 1 v 1 + v 1 2 v
In order to facilitate the subsequent calculation, the parameters are non-dimensionalized. The length scale is a 0 , the time scale is a 0 c 0 C 0 2 = E 1 ρ 0 , and the stress scale is
E 1 = E 1 v ( 1 + v ) ( 1 2 v )
In the formula: E —Elastic modulus; ν —Poisson ratio; ρ 0 —The initial density of elastic medium; P —The pressure of rock mass itself; and f z —Any function.
After the dimensionless form transformation, the tangential stress and circumferential stress can be expressed as the following two equations:
σ r = 1 r f ( t , r ) 4 μ 2 [ 1 r 2 f ( t , r ) + 1 r 3 f ( t , r ) ] P σ θ = 1 2 μ 2 r f ( t , r ) + 2 μ 2 [ 1 r 2 f ( t , r ) + 1 r 3 f ( t , r ) ] P
Among them, μ 2 = 0.5 1 2 ν 1 ν .
According to the failure criterion of the material in the elastic zone, when σ r < 0, the Mohr–Coulomb criterion is used to determine the range of the elastic properties of the medium on a plane σ r , σ θ . When σ r < σ θ , the region is bounded by the following line:
( 1 + α 2 ) σ θ σ r Y 2 = 0
Formula (21) is the failure criterion of the material in the elastic zone.
According to the tension σ t and the pressure σ c , the uniaxial test is carried out to determine the parameters α 2 and Y 2 . The formula is
α 2 = σ c σ t 1 , Y 2 = σ C
If the medium is hard rock, the range of the above two parameters is α 2 = 7 ~ 12 , Y 2 = 0.6 ~ 2.7 × 10 8 .

3. Calculation Model

Currently, the blasting vibration source primarily employs the blasting equivalent load model. In the domain of engineering blasting research, the most prevalent theory regarding blasting sources is the equivalent hole theory, originally proposed by J.A. Sharp. The core concept of the equivalent cavity theory is that during an explosion, the source of blasting vibration consists of an inelastic deformation zone. Correspondingly, the mechanical properties of the blasting source, specifically the inelastic region, dictate the physical and mechanical parameters of the elastic region resulting from the blast. In this paper, we simplify the explosion source in accordance with the equivalent load model of shallow-buried underground explosions, representing it as a spherical cavity with a radius of R0. The simplified model of the underground explosion is illustrated in Figure 2 below.
In Figure 2, O is the center of the spherical cavity, and the longitudinal wave from the shallow-buried explosion source is represented by P0. The reflected wave from the free surface is represented by P1; the shear wave caused by the reflected wave P1 is represented by S1. The focal depth is represented by H, and the failure radius is represented by R0.
An explosion occurs in hard rock: the explosion chamber begins to expand elastically, and then develops from the explosion chamber to the depth of the medium with the compression wave [17].
It is assumed that the elastic development of the cavity occurs before time (take). Starting from time (take), the compression wave must satisfy the elastoplastic interface condition, and the following calculation is performed.
(1)
According to the boundary conditions of the explosion chamber and Formula (22):
σ r = p ( a ) ( a r ) 2 α 1 + α + Y α 1 a r 2 α 1 + α + ρ 0 S 1 ( a a n ) t r n 1 n S 2 ( a a n ) 2 r 2 n S 1 ( a a n ) t a n 1 n S 2 ( a a n ) 2 a 2 n ρ 0 a r 2 α 1 + α
(2)
According to the velocity continuity on the crushing zone and the explosion chamber,
u t ( b 0 ) = u t ( b + 0 ) f ( t b ) = a a n b n 1 f ( t b ) b
(3).
According to the continuous stress of the crushing zone and the explosion chamber, σ r ( b 0 ) = σ r ( b + 0 ) . The combination of (22) and (23) can be solved as follows:
R 1 a a + n ( R 1 R 2 ) a 2 + R 3 p ( a ) = 0
In the formula:
p b = a a n b n f ( t b ) b 2 + 4 μ 2 f ( t b ) b 2 + f ( t b ) b 3 + P R 1 = S 1 1 b a 1 S 1 , R 2 = S 2 1 b a 1 S 2 , R 3 = Y α + p b b a 2 α 1 + α Y α
Simultaneous equations:
A a a n + ( B A ) b n 2 f ( t b ) + B b n 3 f ( t b ) D b n = 0
In the formula:
A = α 2 2 μ 2 2 α 2 μ 2 , B = 2 μ 2 ( 3 + α 2 ) , D = Y 2 P α 2
Assume that function V ( t ) = a ( t ) , elastic potential energy ϕ ( t ) = f ( t b ( t ) ) , φ ( t ) = f ( t b ( t ) ) , according to Equation (26), can be solved as follows:
V r = a r = t = a ( t )             d a d t = V
d V d t = p ( a ) R 3 n ( R 1 R 2 ) V 2 a R 1
d ϕ d t = φ ( 1 b )
d φ d t = ( V a n b n 1 φ b ) ( 1 b )
d b d t = A ( V a n ) t + Q ( V a n b ) + A φ b n 3 Q ( V a n b ) + φ b n 3 A ( n 1 ) B ( n 2 ) B ( n 3 ) b n 4 ϕ + n D b n 1
In the formula:
p b = V a n b n φ b 2 + 4 μ 2 ( φ b 2 + ϕ b 3 ) + P ,   Q = B A , ( V a n ) t = a n 1 n R 2 V 2 R 3 + p ( a ) R 1
The Formulas (26)–(30) constitutes the calculation model of the rock failure zone under explosion.

4. Example Calculation and Analysis

4.1. Example Calculation

A blasting project is the blasting construction monitoring project of the underground garage in the first commercial area of Qingdao. The blasting excavation area is 1200 m long, 850 m wide, and 8 m deep. The bedrock in the blasting area is mostly granite, and the spherical emulsion explosive is used for blasting. The density of explosive is 1200 kg/m3, the detonation velocity of explosive is 3800 m/s, the radius of charge is 0.05 m, the hole spacing is about 1.5 m, the hole depth is 1.8 m, and the row spacing is 1.1 m.
The basic parameters of granite are as follows: rock medium density ρ 0 = 2700 kg/m3, Poisson’s ratio ν = 0.3 , rock sound velocity 5320 m/s, α = 8 , pressure P 0 = 3.56 × 10 9 Pa, and external pressure P = 1 × 10 6 Pa. The adiabatic index of detonation gas is γ 1 = 3 , γ 2 = 1.27 , and the elastic modulus is E = 62 GPa.
Combining the five equations of Equations (26)–(30), Equations (26)–(30) are converted into standard first-order differential equations, and then MATLAB language programming is used to calculate the subsequent results.
The results of the radius of each failure zone and the interface pressure–time history when the charge radius is 0.05 m are shown in the following figures.
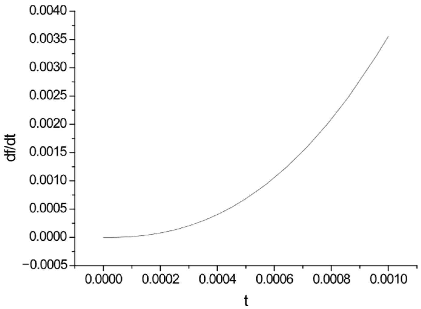
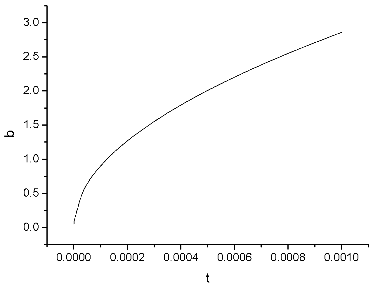
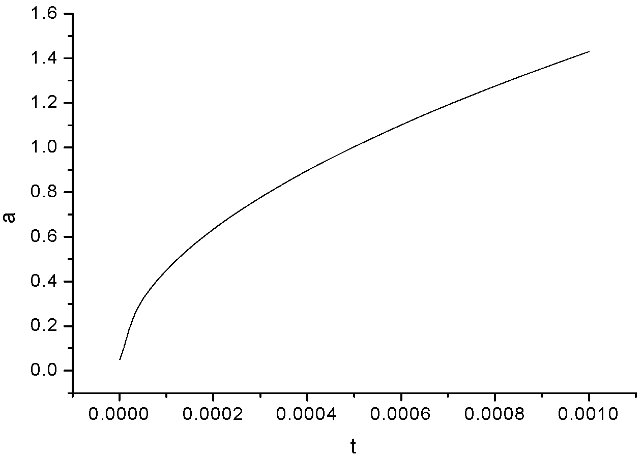
It can be seen from the above curves that the change speed of the spherical cavity decreases monotonously and finally tends to be stable. The radius of the ball cavity and the radius of the crushing zone increase monotonously until they reach the maximum value. The development of the radius of the two regions is not cyclical or fluctuating. The elastic potential energy of the explosion chamber increases monotonously, and the change rate of the elastic potential energy increases gradually. The interface pressure between the fracture zone and the vibration zone first jumps to the maximum value and then decays to zero according to the negative exponential law.
The most critical stage of development is in the fracture zone during the whole process of explosion failure in the explosive cavity zone, fracture zone, and elastic zone experienced by hard rock. According to the derivation formula in the previous section, it can be seen that the initial pressure, uniaxial compressive strength, tensile strength, Poisson’s ratio, and external pressure in the blasted rock play an important role in the development of the fracture zone.

4.2. Analysis

According to Figure 3, Figure 4 and Figure 5, the results of numerical analysis and calculation show that in this blasting example, the ratio of spherical cavity radius to charge radius of hard rock (here it is granite) is 1.49, and the ratio of crushing zone radius to charge radius is 2.85. The results are consistent with the general concept of partition size in both numerical and order of magnitude. So, the calculation method is correct and reasonable.
The correctness of the interface pressure–time history between the crushing zone and the elastic zone in this blasting case is analyzed below.
The approximate calculation of the interface pressure is based on the following formula:
P = P m r ¯ n
In the formula: P —The distance from the explosion source is the pressure at R ; P m —The pressure at the interface between rock and explosive; r ¯ —proportional distance, r ¯ = R R 0 , R is the distance from the explosion source, and R 0 is the charge radius; n —Attenuation coefficient.
For generally good integrity of the rock:
n = 2 ± v 1 v
In the formula: when n takes the negative sign, it represents the elastic wave propagation area; when n takes the positive sign, it represents the propagation area of the shock wave, and v is the Poisson’s ratio of the rock.
For general rock, in the elastic deformation zone, n = 1.3 ~ 1.9 , v = 0.1 ~ 0.4 ; in the plastic deformation zone, n = 3 , v = 0.5 .
P m = k P h
In the formula: k —Projection Coefficient, k = 2 ρ 0 C p ρ 0 C p + ρ D ;
P h —Detonation Pressure, P h = 1 4 ρ D 2 , ρ 0 is rock density, C p is the speed of sound of rock, ρ is the density of the explosive, and D is the detonation velocity of explosive.
In this case analysis, most of the bedrock in the blasting area is granite. Due to the long geological history, the bedrock has formed various degrees of weathering zone from top to bottom, so it can be taken as n = 2.8 . When the proportional distance is r ¯ = 20 , the approximate calculation results P is 1.496 × 10 6 Pa by substituting and substituting into the approximate calculation Formulas (32) and (33). The theoretical numerical calculation result P is 2.013 × 10 6 Pa. When the proportional distance is r ¯ = 42 , the approximate calculation result P is 1.874 × 10 5 Pa. The theoretical numerical calculation result P is 2.431 × 10 5 Pa. Comparing the theoretical calculation results with the approximate calculation results, it can be seen that the results of the two methods are consistent in the order of magnitude, and the numerical values are basically the same, which verifies the correctness of the theoretical numerical calculation in this paper.
Finally, the curve fitting of the pressure calculation results is carried out, and the pressure–time history curve equation on the interface between the broken zone and the elastic zone in this blasting is obtained:
P t = x e y t = 8452233 e 6402 t
From the three aspects of the radius of the spherical cavity, the radius of the crushing zone, and the interface pressure between the crushing zone and the elastic zone, the theoretical calculation results are compared with the approximate calculation results. The results of the two methods are similar. Therefore, the elastic-plastic model Mohr–Coulomb theory is used. The results of the radius and interface stress time history of each zone of explosion damage are correct.

Comparison with Previous Studies

The present results were compared with previous analytical and numerical studies. For example, Lu [18] introduced the equivalent cavity theory, where the inelastic deformation zone controls vibration parameters. Our results are consistent with this concept but extend it by explicitly coupling the Mohr–Coulomb yield criterion with a dynamic propagation framework. Zhao [19] investigated seismic source characteristics using wavelet deconvolution. While their work focused on waveform reconstruction, our approach provides a closed-form model for zonal damage evolution. Field test results from ZT Bieniawski [20] also support the importance of rock mass properties, which aligns with our sensitivity findings.
In comparison with these studies, Figure 3, Figure 4, Figure 5, Figure 6, Figure 7 and Figure 8 highlight the distinctiveness of our method. Specifically, Figure 3 and Figure 5 show that the predicted ratios of cavity and fracture zone radii not only agree with the approximate partitioning rules proposed in earlier literature but also refine them by offering time-dependent growth trends. Figure 6 and Figure 7 further demonstrate that the elastic potential energy and its rate of change, which are rarely quantified in previous models, can be precisely captured by our framework. Finally, Figure 8 reveals the temporal evolution of interface pressure, enabling a direct comparison with approximate solutions based on empirical attenuation laws (Equations (31)–(33)). The close agreement in both magnitude and trend validates our theoretical derivation while underscoring the advantage of explicitly linking rock mechanical parameters with dynamic pressure evolution.
Therefore, the novelty of this study lies in establishing an integrated theoretical–numerical framework that not only predicts zonal failure but also quantifies the temporal evolution of interface pressures. By embedding these comparisons in both analytical context and graphical evidence, the presented method demonstrates higher resolution and interpretability than existing approaches, thereby providing a more reliable foundation for engineering blasting design in hard rock.

4.3. Sensitivity Analysis

To investigate the robustness of the proposed model, sensitivity analyses were performed on key parameters, including the initial detonation pressure p0, Poisson’s ratio ν, uniaxial compressive strength σc, tensile strength σt, and the exponential decay parameter B. The results indicate that
(1)
The radius of the fracture zone is most sensitive to variations in σc and σt. A 10% reduction in σc increases the predicted fracture zone radius by approximately 8%.
(2)
Poisson’s ratio ν primarily influences the growth rate of the fracture zone and the interface pressure. Higher ν values slow down the attenuation of interface pressure.
(3)
The parameter B strongly affects the pressure–time decay law. Larger B values lead to faster exponential decay and a reduced vibration zone.
These findings suggest that careful calibration of mechanical properties and parameter B is crucial for the reliable prediction of blast-induced rock damage.

5. Conclusions

This paper mainly studies the three aspects of the explosion damage zone in the rock, the vibration parameters on each zone, and the pressure on the interface between the broken zone and the elastic zone. Using the yield criterion of Mohr–Coulomb theory, the kinematic equation and dynamic equation composed of parameters such as wave propagation velocity and time are combined to derive the explosive failure zone in rock and the vibration parameters on each zone in detail. The radius of the explosion damage zone and the pressure–time history diagram of the interface between the broken zone and the elastic zone are calculated by using MATLAB 2022 language, and then the correctness of the theoretical results is analyzed. The main conclusions are as follows:
(1)
The change rate of spherical cavity monotonically decreases and finally tends to a stable value. The radius of the spherical cavity and the radius of the crushing zone increase monotonously and increase to the maximum value. The development and change of the radius of the two zones are not periodic or fluctuating. The elastic potential energy of the explosion chamber increases monotonously, and the change rate of the elastic potential energy increases gradually. The interface pressure between the failure zone and the elastic zone jumps to the maximum value and then decays to zero according to the negative exponential law.
(2)
The most critical development stage is in the fracture zone during the whole process of explosion failure in the blast cavity zone, fracture zone, and elastic zone of hard rock. According to the derivation formula in the previous section, it can be seen that the initial pressure, uniaxial compressive strength, tensile strength, Poisson’s ratio, and external pressure in the blasted rock play an important role in the development of the fracture zone.
(3)
According to Figure 3, Figure 4 and Figure 5, the results of numerical analysis and calculation show that in this blasting example, the ratio of spherical cavity radius to charge radius of hard rock (here it is granite) is 1.49, and the ratio of crushing zone radius to charge radius is 2.85. The results are consistent with the general concept of partition size in both numerical and order of magnitude. Therefore, it is verified that the calculation method in the first section of this chapter is correct and reasonable.
(4)
Curve fitting is carried out on the results of pressure calculation, and the pressure–time history curve equation on the interface between the crushing zone and the elastic zone in this blasting is obtained:
P t = x e y t = 8452233 e 6402 t
(5)
From the three aspects of the radius of the spherical cavity, the radius of the crushing zone, and the interface pressure between the crushing zone and the elastic zone, the theoretical calculation results are compared with the approximate calculation results. The results of the two methods are similar. Therefore, the elastic-plastic model Mohr–Coulomb theory, the results of the radius of each zone, and the interface pressure–time history of the explosion damage are correct.

6. Future Work

Future research will extend the present spherical charge assumption to cylindrical blasthole conditions, conduct more comprehensive sensitivity analyses with respect to rock mechanical parameters, and validate the model under various geological settings. Additional experimental campaigns are needed to calibrate parameters for different rock types.

Author Contributions

Conceptualization, W.Z.; Data curation, K.Y. and R.C.; Formal analysis, K.Y.; Funding acquisition, J.L.; Investigation, W.Z.; Methodology, K.Y.; Project administration, R.C.; Resources, W.Z.; Software, K.Y.; Supervision, W.Z.; Validation, J.L.; Visualization, W.Z.; Writing—original draft, W.Z.; Writing—review &editing K.Y. All authors have read and agreed to the published version of the manuscript.

Funding

This study is supported by the National Natural Science Foundation of China (No.: 5247083536).

Institutional Review Board Statement

Not applicable.

Informed Consent Statement

Not applicable.

Data Availability Statement

The raw data supporting the conclusions of this article will be made available by the authors on request.

Conflicts of Interest

The authors declare no conflict of interest.

Nomenclature

SymbolDefinitionUnit
a(t)Radius of explosion cavity at time tm
b(t)Radius of crushing (fracture) zone at time tm
σ Density of rock mass mediumkg/m3
vRadial particle velocitym/s
σrRadial stressPa
σθCircumferential stressPa
cCohesion of rock massPa
φInternal friction angle of rock mass°
EElastic modulusPa
νPoisson’s ratio
p0Initial burst pressurePa
pdDetonation pressurePa
BFitting parameter of exponential decay laws−1
R0Charge radiusm
HBurial depth of chargem

References

  1. Guo, Z.; Zhu, H.; Pan, B.; Chai, Q.; Liu, H. Study on the propagation law of blasting vibration wave and the failure mode of surrounding rock in the process of filling mining. Met. Mine 2025, 2025, 65–71. [Google Scholar] [CrossRef]
  2. Li, Q.; Li, L.; Huang, H.; Xiao, Y.; Wei, X. Research on safety prediction and control of high slope blasting vibration based on probability theory. China Saf. Prod. Sci. Technol. 2024, 20, 12–18. [Google Scholar]
  3. Wang, M.; Li, J. Nonlinear rock mechanics problems in explosion and impact III: Calculation principle and application of engineering seismic effect induced by underground nuclear explosion. J. Rock Mech. Eng. 2019, 38, 695–707. [Google Scholar] [CrossRef]
  4. Zhang, Y.; Yang, G.; Hu, H.; Wen, Y.; Jiang, Y.; Liu, P.; Yao, J. Study on numerical calculation model and safety criterion of influence of blasting vibration on buildings (structures). J. Civ. Eng. 2015, 48, 22–29. [Google Scholar]
  5. Sharpe, J.A. The Production of Elastic Waves by Explosion Pressures. I. Theory and Empirical Field Observations. Geophysics 2002, 7, 144–154. [Google Scholar] [CrossRef]
  6. Li, T.; Zhou, B.; Ai, C. Analysis of presplitting blasting parameters based on multiple linear regression model. China Min. Eng. 2024, 53, 21–25. [Google Scholar] [CrossRef]
  7. Chen, F.; Zong, Z.; Yin, X.; Stovas, A. Stress dependence of elastic wave attenuation dispersion in saturated porous layered media. Chin. Sci. Earth Sci. 2023, 53, 2669–2681. [Google Scholar] [CrossRef]
  8. Yang, X.; Stump, B.W.; Phillips, W.S. The Unique Source Mechanism of an Explosively Induced Mine Collapse; Los Alamos National Laboratory: Los Alamos, NM, USA, 1997. [Google Scholar]
  9. Ziolkowski, A.M.; Lerwill, W.E.; March, D.W.; Peardon, L.G. Wavelet deconvolution using a source scaling. Geophys. Prosp. 1980, 28, 872–901. [Google Scholar] [CrossRef]
  10. Ziolkowski, A.M. Source array scaling for wavelet deconvolution. Geophys. Prosp. 1980, 28, 902–918. [Google Scholar] [CrossRef]
  11. Niu, H. Study on Near-Field Vibration Spectrum Characteristics of Single-Hole Blasting at Different Initiation. Master’s Thesis, Three Gorges University, Yichang, China, 2023. [Google Scholar] [CrossRef]
  12. Gao, K.; Huang, P.; Liu, Z.; Liu, J.; Shu, C.; Qiao, G. Coal-rock damage characteristics caused by blasting within a reverse fault and its resultant effects on coal and gas outburst. Sci. Rep. 2021, 11, 19158. [Google Scholar] [CrossRef] [PubMed]
  13. Favreau, R.F. Generation of strain waves in rock by an explosion in a spherical cavity. J. Geophys. Res. 1969, 74, 4267–4280. [Google Scholar] [CrossRef]
  14. Wesley, P.J. Diffusion of seismic energy in the near range. J. Geophys. Res. 1965, 70, 5099–5106. [Google Scholar] [CrossRef]
  15. Li, W. Numerical Simulation and Determination of Reasonable Blast Hole Ultra-Deep in Open-Pit Deep Hole Bench Blasting. Master’s Thesis, Inner Mongolia University of Science and Technology, Baotou, China, 2019. [Google Scholar] [CrossRef]
  16. Sun, P.; Yang, G.; Lu, W.; Fan, Y.; Meng, H.; Xue, L. Study on the load history of rock blasting explosion considering the rock mass failure zone. Explos. Impact 2024, 44, 171–186. [Google Scholar]
  17. Liu, G. Explosive Energy Transmission and Crushing Process Control in Rock Blasting. Ph.D. Thesis, Wuhan University, Wuhan, China, 2021. [Google Scholar] [CrossRef]
  18. Lu, Y.; Jin, C.; Wang, Q.; Han, T.; Zhang, J.; Chen, L. Numerical study on spatial distribution of blast-induced damage zone in open-pit slope. Int. J. Rock Mech. Min. Sci. 2023, 163, 105328. [Google Scholar] [CrossRef]
  19. Zhao, X.; Ye, B. Convolution wavelet packet transform and its applications to signal processing. Digit. Signal Process. 2010, 20, 1352–1364. [Google Scholar] [CrossRef]
  20. Bieniawski, Z.T. Geomechanics Classification of Rock Masses and Its Application in Tunneling; John Wiley & Sons: Hoboken, NJ, USA, 1974. [Google Scholar] [CrossRef]
Figure 1. The failure zone of rock under blasting. (Note: a radius of explosion chamber, b radius of crushing zone, c radius of radial fracture zone array, 1 represents the cavity area, 2 represents the broken area, 3 represents the radial fracture area, and 4 represents the vibration area).
Figure 1. The failure zone of rock under blasting. (Note: a radius of explosion chamber, b radius of crushing zone, c radius of radial fracture zone array, 1 represents the cavity area, 2 represents the broken area, 3 represents the radial fracture area, and 4 represents the vibration area).
Applsci 15 10600 g001
Figure 2. Simplified model of shallow underground explosion.
Figure 2. Simplified model of shallow underground explosion.
Applsci 15 10600 g002
Figure 3. Radius of spherical cavity.
Figure 3. Radius of spherical cavity.
Applsci 15 10600 g003
Figure 4. Expansion velocity of spherical cavity.
Figure 4. Expansion velocity of spherical cavity.
Applsci 15 10600 g004
Figure 5. Radius of fracture zone.
Figure 5. Radius of fracture zone.
Applsci 15 10600 g005
Figure 6. Elastic potential energy.
Figure 6. Elastic potential energy.
Applsci 15 10600 g006
Figure 7. Rate of change of elastic potential energy.
Figure 7. Rate of change of elastic potential energy.
Applsci 15 10600 g007
Figure 8. Interface pressure between fault zone and seismic zone.
Figure 8. Interface pressure between fault zone and seismic zone.
Applsci 15 10600 g008
Disclaimer/Publisher’s Note: The statements, opinions and data contained in all publications are solely those of the individual author(s) and contributor(s) and not of MDPI and/or the editor(s). MDPI and/or the editor(s) disclaim responsibility for any injury to people or property resulting from any ideas, methods, instructions or products referred to in the content.

Share and Cite

MDPI and ACS Style

Zhang, W.; Chen, R.; Yang, K.; Li, J. Mechanisms of Energy Transfer and Failure Zoning in Rock Mass Blasting: A Mohr–Coulomb Theory and Numerical Simulation Study. Appl. Sci. 2025, 15, 10600. https://doi.org/10.3390/app151910600

AMA Style

Zhang W, Chen R, Yang K, Li J. Mechanisms of Energy Transfer and Failure Zoning in Rock Mass Blasting: A Mohr–Coulomb Theory and Numerical Simulation Study. Applied Sciences. 2025; 15(19):10600. https://doi.org/10.3390/app151910600

Chicago/Turabian Style

Zhang, Wei, Renshan Chen, Kaibo Yang, and Jin Li. 2025. "Mechanisms of Energy Transfer and Failure Zoning in Rock Mass Blasting: A Mohr–Coulomb Theory and Numerical Simulation Study" Applied Sciences 15, no. 19: 10600. https://doi.org/10.3390/app151910600

APA Style

Zhang, W., Chen, R., Yang, K., & Li, J. (2025). Mechanisms of Energy Transfer and Failure Zoning in Rock Mass Blasting: A Mohr–Coulomb Theory and Numerical Simulation Study. Applied Sciences, 15(19), 10600. https://doi.org/10.3390/app151910600

Note that from the first issue of 2016, this journal uses article numbers instead of page numbers. See further details here.

Article Metrics

Back to TopTop