Next Article in Journal
Methodological Approaches in Studying Type-2 Diabetes-Related Health Behaviors—A Systematic Review
Previous Article in Journal
Urban Flood Severity and Residents’ Participation in Disaster Relief: Evidence from Zhengzhou, China
Previous Article in Special Issue
Mechanical Modeling and Dynamic Characteristics of a Three-Directional Vibration Absorber
 
 
Font Type:
Arial Georgia Verdana
Font Size:
Aa Aa Aa
Line Spacing:
Column Width:
Background:
Article

Application of a Kdamper with a Magnetorheological Damper for Control of Longitudinal Vibration of Propulsion Shaft System

1
School of Science, Wuhan University of Technology, Wuhan 430063, China
2
Green Intelligent River-Sea Direct Ship and Cruise Yacht Research Center, Wuhan University of Technology, Wuhan 430063, China
3
School of Naval Architecture, Ocean and Energy Power Engineering, Wuhan University of Technology, Wuhan 430063, China
*
Author to whom correspondence should be addressed.
Appl. Sci. 2025, 15(19), 10564; https://doi.org/10.3390/app151910564
Submission received: 25 April 2024 / Revised: 14 May 2024 / Accepted: 15 May 2024 / Published: 30 September 2025
(This article belongs to the Special Issue Vibration Problems in Engineering Science)

Abstract

Ship noise not only has an impact on crew comfort, but also causes damage to the marine environment. Longitudinal vibration of propulsion shaft system is one of the most important causes of ship noise, so in order to indirect control the vibration noise, the development of a propulsion shaft system vibration controller is an effective method. In this paper, a Kdamper with a magnetorheological damper (Kdamper-MRD) is proposed to control the longitudinal vibrations transmitted along the propulsion shaft system. The vibration characteristics of the propulsion shaft system are analyzed using the transfer matrix method and the optimal Kdamper-MRD design parameters for controlling the target modes are given. Specific structural design parameters are given as well as material selection. The magnetic field distribution and the magnitude of the output damping force of the MRD are obtained by the simulation method, and the negative stiffness characteristics of the disk spring are also discussed. An on–off current switching control strategy is proposed to further improve the vibration damping performance of the Kdamper-MRD. A comparison with the traditional DVA under simple harmonic excitation and random excitation proves that the Kdamper-MRD has better low-frequency vibration damping performance and is able to attenuate longitudinal vibration of the axle system in the whole frequency domain.

1. Introduction

In recent years, the reduction in underwater radiation noise from ships has become an urgent problem due to higher requirements for ship comfort and the necessity to alleviate the marine biological problems caused by ship noise. Ships are complex entities with many noise sources, such as propulsion, main engine, and piping systems. Propellers are one of the most important noise sources in the low-frequency range. The rotating propeller results in shaft frequency (SF) and its multiples with respect to blade number and rotating speed, and the broadband spectrum that decays essentially with frequency. The propeller force excites the resonances of the coupled propeller–shaft–hull system, including the predominant resonances such as the rotor in-phase resonance and the longitudinal resonance of the propulsion shafting system [1]. The magnitude of the longitudinal broadband excitation force of the propeller is greater than 4–5 times of the lateral and vertical broadband excitation force [2]. The longitudinal vibration of the propeller–shaft submarine coupling system caused by propeller pressure and the generated underwater acoustic radiation energy account for more than 50% of the submarine’s total vibration [3]. Therefore, controlling the longitudinal vibration of the propulsion shaft system is important.
The vibration of the propulsion shaft system can be controlled via two main methods:
  • Optimizing and improving the structure of the propulsion shaft system;
  • Additional vibration controller.
Mature shaft structure improvement schemes include using composite shaft systems [4,5], improving thrust bearings [6], and adjusting shaft transmission paths [7,8]. New propulsion shaft systems are currently being applied to high-speed patrol ships. Controlling the longitudinal vibration of the propulsion shaft system by adding a vibration controller to it is one of the commonly adopted vibration control strategies. Passive vibration controllers are characterized by simple structure, low cost, and high reliability. However, once the internal structure parameters have been determined, they cannot be modified, resulting in poor adaptability and a relatively narrow operating frequency band. Active vibration controllers can respond to external excitation in real time to achieve vibration suppression in a wide frequency band. However, the reliability is poor and the cost is high. A semi-active control does not require the input of a large amount of external energy and signals, and with a low cost and high reliability, subject to certain failures in the system, a semi-active control system can be considered a passive vibration control system. Current research in vibration control includes the following aspects: the resonance changer (RC) [1,7,9], vibration controller with smart material [10,11], dynamic anti-resonant vibration isolators [12], and electromagnetic bearings [13,14]. Among them, the dynamical vibration absorber (DVA) is the most studied one because it has little influence on the dynamic behavior of the vibration transmission path. The earliest DVA was proposed by Frahm [15], it consisted of a mass block, a spring, and a damper. The Voigt DVA was proposed by Den Hartog [16] based on Frahm’s work, and the optimal frequency ratio and the optimal damping ratio of Voigt DVA were given by Hahnkamn [17], successively. The Voigt DVA is one of the most classic dynamic vibration absorbers, being widely used in engineering, transportation, and other scenarios.
The discovery of negative stiffness elements has provided new ideas for the study of vibration controllers. By introducing negative stiffness elements into the vibration isolation system, the stiffness of the vibration isolator can be significantly reduced to suppress low-frequency vibration, thus being called “Quasi Zero Stiffness” (QZS) oscillators. Negative stiffness be achieved in many forms, such as post-buckled beams, plates, shells [18,19], pre-compressed springs arranged in appropriate geometrical configurations [20,21], some Belleville springs [22], special structures for applying magnetic forces [23,24,25,26], and new controllable smart materials [27,28,29]. However, QZS oscillators require that the structural stiffness be reduced to being almost negligible, thus limiting the static loading capacity of such structures. Analyzed on a mechanical level, negative stiffness is actually a manifestation of a reverse force, so connecting negative stiffness to the mass block in the DVA can indirectly increase the inertial effect of the mass. Antoniadis [30] first proposed and named this concept as the Kdamper (or DVA with negative stiffness, DVANS), compared its damping performance with the Voigt DVA, and verified that the Kdamper can ensure a sufficient damping performance while reducing the additional tuning mass, as shown in Figure 1. Due to its passive design, the vibration suppression capability of the Kdamper is still limited. By introducing smart materials, the damping performance can be further enhanced [31].
This study aims to reduce the longitudinal vibration of the propulsion shaft system caused by the propeller, proposing a Kdamper-MRD that can be used for semi-active vibration control, and validate its vibration reduction performance through a combination of theoretical analysis and simulation analysis. The paper is organized as follows. The analysis of longitudinal vibration characteristics of the propulsion shafting system is conducted in Section 1 to determine the target modes for vibration control. In Section 2, discussions on the design parameters of the Kdamper-MRD are presented, along with specific structural designs. Section 3 focuses on the simulation analysis of the mechanical performance of the Kdamper-MRD. In Section 4, the semi-active control strategy is introduced, followed by numerical simulations and discussions, and then concluding remarks are given at last.

2. Vibration Control Target Determination

The propulsion shaft system is crucial to the ship’s transmission system. The flow field excites the propeller blades, transmitting the vibration to the thrust bearing and thrust block via the shaft system. Subsequently, the vibration is transmitted to the thrust pad through the oil film and the ship’s structure through the bearing base. To design a vibration controller rationally, it is essential to determine the specific vibration control range. Therefore, the propulsion shaft system’s longitudinal vibration characteristics must be analyzed.

2.1. Dynamic Modeling of the Shafting System

The dynamic model of the propulsion shaft system is shown in Figure 2. In order to reflect the contribution of the propeller blades to the low-frequency longitudinal vibration of the propulsion shaft system, the propeller is modeled as a mass m 1 and spring k 1 in series with a cantilever beam representing the blade and a mass M representing the hub. The mass m 1 and the spring k 1 account for the first anti-resonance of the propeller. The property of the cantilever beam is depicted by elastic modulus E , density ρ , cross sectional area A b , and length L b . The shaft system has been simplified into an elastic beam with cross sectional area A and length L , having the same elastic modulus and density as the cantilever beam. It is assumed that the beam does not transmit moments and only transmits a force. The oil film stiffness of the thrust bearing is considered to have a fixed value of k 2 . The quality, positive stiffness, and negative stiffness of the Kdamper-MRD are represented by m a , k a , and k n respectively. The magnetorheological damper is represented by a Bingham model with parameters c y and f y . The parameters of dynamic model are listed in Table 1.

2.2. Modal Analysis

The principle of the transfer matrix method is used to divide the system into four parts: propeller blade, propeller center mass, propulsion shaft system, and thrust bearing; their transfer matrices are represented by δ 1 , δ 2 , δ 3 , and δ 4 , respectively. The transfer matrix equation for the coupled system can be obtained based on the transfer matrix equations of typical components and components:
F 1 x 1 = δ 1 δ 2 δ 3 δ 4 F 2 x 2
where F 1 and x 1 are the excitation parameters of the blade; and F 2 and x 2 are the excitation response parameters transmitted to the hull.
By utilizing the Euler–Bernoulli beam theory to establish the motion equations for the propeller beam and shaft system [32], one can obtain the solution by substituting the equations into the transfer matrix equation:
δ 1 = 1 Z 1 0 1 e b f 2 a e 2 b d b c 2 a d 2 b δ 2 = 1 w 2 m 0 1 δ 3 = cos n l E A n j w sin n l j w E A n sin n l cos n l δ 4 = 1 Z 2 0 1 1 0 1 k 2 + j w c 2 1
where Z 1 = k 1 w 2 m 1 k 1 w 2 m 1 ; Z 2 = ( k 2 + k n ) ( w 2 m 2 + j w c y + f y ) k n w 2 m a + j w c y + f y ; a = E m 3 [ sinh m L b + sin m L b cosh m L b ] ; n = ρ E w ; m = ρ A b w 2 E 4 ; b = E m 3 [ 1 + cos m L b cosh m L b ] ; c = cos m L b + 1 + sin m L b sinh m L b cosh m L b ; d = sin m L b cos m L b sinh m L b cosh m L b ; f = 2 E m 3 sin m L b ; g = 2 E m 3 cos m L b .
Modal analysis is carried out for the dynamic system described by Equations (1) and (2) to obtain the modes. The numerical solution process of modal analysis was completed in MATLAB_2016a, utilizing the Bisection method to find the roots of the motion equation determinant in the frequency domain, obtaining approximate values for each order of modal frequency. To verify the accuracy of the results obtained using the transfer matrix method, motion equations were established separately using the Lagrange method and the Rayleigh–Ritz method [23] for modal analysis. The modal frequencies obtained by each method are shown in Table 2. The first longitudinal modal frequency under this excitation is 24.57 Hz, and its modal mass and stiffness are 5987.67 kg and 1.328 × 108 N/m, respectively.

3. Structural Design of Kdamper-MRD

3.1. Equivalent Dynamic Model of Kdamper-MRD

The equivalent mechanical model of a Kdamper-MRD is shown in Figure 3, where m 1 and k 1 represent the modal mass and modal stiffness of the first-order longitudinal vibration mode of the shaft system respectively. It is assumed that the main system is subjected to a harmonic excitation with an amplitude F and a frequency w .
The equations of motion is:
m 1 x ¨ 1 + ( k 1 + k 2 ) x 1 + F y ( x ˙ 1 ) k 2 x 2 F y sgn ( x ˙ 2 ) = F e i w t m 2 x ¨ 2 + ( k 2 + k n ) x 2 + F y ( x ˙ 2 ) k 2 x 1 F y ( x ˙ 1 ) = 0 k 1 x 1 + k n x 2 = F s t e i w t F y = f y sgn ( x ˙ ) + c y x ˙
where x 1 and x 2 are the displacement of the main system and the Kdamper-MRD, respectively; F t is the transmitted force; F y represents the output damping force of the magnetorheological damper (MRD); f y denotes the Coulomb damping force; and c y stands for the viscous damping coefficient.
A Laplace transform is applied to the equations of motion, and introducing the following dimensionless parameters, the transmissibility ( F s t / F ) is obtained as:
μ = m 2 m 1 , α = k 2 k 1 , β = k n k 1 , w 1 = k 1 m 1 , w 2 = k 2 m 2 , λ = w 1 w 2 , ζ y = c y 2 k 2 m 2 + f y k 2 ( x 1 x 2 )
T ( λ ) = F s t F = N R ( λ ) + φ N L ( λ ) D R ( λ ) + φ D L ( λ )
where
  N R ( λ ) = μ λ 2 + α + β + α β   N L ( λ ) = λ + β λ D R ( λ ) = μ λ 4 [ μ ( 1 + α ) + 1 + β ] λ 2 + [ α + β ( 1 + α ) ] D L ( λ ) = [ ( 1 + β ) ( 1 + μ ) λ 2 ] λ φ = 2 j ζ α μ
According to the fixed-point extension theory [17,18], the frequency response curve will always pass through two fixed points (point P and point Q), as shown in Figure 4.
Therefore, to find the optimal tuning, it is necessary to satisfy these two conditions:
  • The magnitude of the responses at points P and Q should be independent of the damping value;
  • The magnitude of the responses at points P and Q should be equal.
Hence,
T ( λ P & Q ) φ = 0 = T ( λ P & Q ) φ = λ P 2 + λ Q 2 = ( 2 μ + μ α + β ) ( 1 + β ) + ( α β + μ α + μ β ) μ ( 1 + μ + β )
T ( λ P ) = T ( λ Q ) λ P 2 + λ Q 2 = 2 ( 1 + α + β ) 1 + μ
Equating Equation (7) to Equation (8) and solving yields:
α = μ ( 1 + μ ) 2 + ( μ β β 1 + μ 1 ) ( β 2 ( 1 + μ ) )
λ P 2 = 1 + β + μ + ( 1 + μ ) μ 2 + μ β + ( 1 + μ ) 2 λ Q 2 = 1 + β + μ ( 1 + μ ) μ 2 + μ β + ( 1 + μ ) 2
The optimal damping ratio is determined as follows:
T ( λ P , Q ) λ = 0 ζ o p t = μ ( 2 + 3 μ + 4 μ β + 3 μ 2 ) 4 ( 1 + μ ) 2 + 2 ( 2 + μ ) [ β + β 2 + 2 μ β ]
A pre-displacement is required to keep negative stiffness components exhibiting negative stiffness characteristics within the negative stiffness range. Therefore, inappropriate negative stiffness values can lead to system instability. The system is still stable when the motion displacement generated by the system at a fixed point (i.e., the maximum response point) is equal to the maximum negative stiffness pre-imposed displacement. The negative stiffness value is also considered optimal at this time. Therefore,
T ( 0 ) = T ( λ P , Q ) β = 6 μ ( μ + 2 ) + ( μ + 1 ) 4 μ ( μ + 2 ) 0.1
Considering only the first-order longitudinal vibration mode of the shaft system and disregarding the contribution of other modes, assuming a quality ratio of 0.02, the optimal parameters of Kdamper-MRD are as follows: β o p t = −0.026, ζ o p t = 0.101. However, this solution may not remain optimal when accounting for the contributions of other modes.

3.2. Structural Design and Material

The Kdamper-MRD structure is shown in Figure 5. The Kdamper-MRD mainly comprises a piston rod, piston head, excitation coil, cylinder body, end cover, end cover, Belleville spring, and load-bearing pad. The middle thread of the piston rod 1 connects the left and right parts, and the piston head 5 is fastened in the middle of the piston rod 1. The excitation coil of the piston 12 is evenly wound around the winding groove on the piston head 5. The excitation coil of the cylinder body 11 is first evenly wound around the magnetic isolation ring 10, then installed on the sealing ring 3, and fixed with screws. Sealing rings 3 are placed between the piston rod 1 and the upper and lower end caps 2. The end cover 13 is equipped with oil injection holes 9 for the regular inspection of the magnetorheological fluid. Belleville springs 6 are installed in a mating form on the right end cover 13, and its pre-displacement is adjusted by the fastening nut 8.
During operation, vibration excites the left end of the piston rod, propelling the reciprocating motion of the piston head within the cylinder body. When the magneto-rheological fluid is compressed by the piston head, the MRD operates in the squeeze mode; when the magnetorheological fluid flows through the damping channel between the piston head and the cylinder body, the MRD operates in shear mode. The reactive force of the magnetorheological fluid on the piston head is precisely the output damping force of the Kdamper-MRD. The action force of the piston head causes displacement of cylinder body and compresses the Belleville spring, while the Belleville spring transmits the force to the hull structure through load-bearing pads.
MRF-J25T, prepared by Chongqing Materials Research Institute, is used in this paper. This magnetorheological fluid exhibits a high magnetic saturation rate, low zero-field viscosity, good settling resistance, and high temperature stability. Its basic parameters are shown in Table 3. Using the least squares method to fit the experimental data provided by the manufacturer with a fourth-degree polynomial, the relationship between the yield stress of magnetorheological fluid and average magnetic flux density is obtained as follows:
τ y = a 4 B 4 + a 3 B 3 + a 2 B 2 + a 1 B + a 0
where τ y is the yield stress of magnetorheological fluid and B is the average magnetic flux density, a 4 = 389.7 kPa/T4, a 3 = −1090 kPa/T3, a 4 = 718.2 kPa/T2, a 4 = 11.4 kPa/T, and a 4 = 0.271 kPa.
In this paper, low-carbon steel is used for the magnetizing zone, while stainless steel is used for the non-magnetic zone. Due to the fact that the excitation coil is wound with multiple turns, considering the thermal effects of the current, 0.6 mm enameled copper wire is chosen to prepare the excitation coil.

4. Mechanical Performance of Kdamper-MRD

4.1. Variable Damping Characteristics of MRD

4.1.1. Magnetic Field Design and Simulation

Considering that the Kdamper-MRD designed in this paper operates in two modes, namely squeeze mode and shear mode, its overall magnetic circuit design and magnetic field simulation are quite intricate. Therefore, it is necessary to separately design the magnetic circuit and simulate the magnetic field of the Kdamper-MRD under each mode. Additionally, studying the influence of the excitation coil current magnitude and phase on the magnetic field intensity is imperative.
The electromagnetic field simulation model is shown in Figure 6. The simulation software used in this study is COMSOL-2016. The four excitation coils are labelled as A, B, C, and D. Use the subscript ‘+’ to denote the excitation current applied in the positive direction and ‘−’ to denote the excitation current applied in the negative direction. It is assumed that the magnitude of the current applied to all four excitation coils is equal. Considering the symmetry of the working area and the periodicity of piston motion, only three scenarios of applying excitation currents are taken into account: A+B+C+D+, AB+C+D, and AB+CD+. The default excitation current applied is 1 A. When the piston head is in the initial position (middle of the cylinder), the distribution of the average magnetic flux density and the distribution of magnetic flux lines are as shown in Figure 7. Its basic parameters are shown in Table 4.
The piston head is selected to move left from the initial position, and a steady-state magnetic field simulation calculation is performed every 1 mm of movement. The distribution of magnetic induction along the damping channel in shear mode is shown in Figure 8.
Considering that the damping channel width of the shear mode is substantially smaller than the end cap radius, we assume that the length of the extrusion mode channel equals the difference between the end cap and the piston rod, which is 20 mm. Additionally, due to the constrained workspace of the squeeze mode, magnetic field simulations are conducted with a damping channel width of 2 mm to facilitate discussion and analysis. Integrate the average magnetic flux density of the damping channel and divide it by the channel length to obtain the average magnetic flux density for different displacements of the piston, as shown in Figure 9.
As shown in Figure 9, in the shear mode, the average magnetic flux density of applying the excitation current for both scheme A+B+C+D+ and scheme AB+C+D is not significantly different, but both are higher than scheme AB+CD+. In the squeeze mode, the average magnetic flux density of applying the excitation current for scheme A+B+C+D+ is much greater than the other two schemes. Taking all factors into account, applying the excitation current according to scheme A+B+C+D+ can maximize the magnetic field, where the current is DC to ensure that the direction and magnitude of the magnetic field are stable. When the excitation current is 1 A, the maximum magnetic field intensity in the shear mode is 0.6615 T, and in the squeeze mode, it is 1.1023 T.
Maintaining the piston in its initial position, while adjusting the excitation current magnitude, the curve illustrating the relationship between the average magnetic flux density and current is depicted in Figure 10. It can be seen that the average magnetic flux density in the damping channel increases with the excitation current. When the excitation current exceeds 0.8 A, the rate of increase in the average magnetic flux density begins to slow down, indicating that the magnetorheological fluid is gradually approaching a state of magnetic saturation.

4.1.2. Output Damping Force of MRD

Conducting a fluid–structure interaction simulation on the MRD simulation model yields the total force exerted on the piston head by the magnetorheological fluid, representing the output damping force of the Kdamper-MRD.
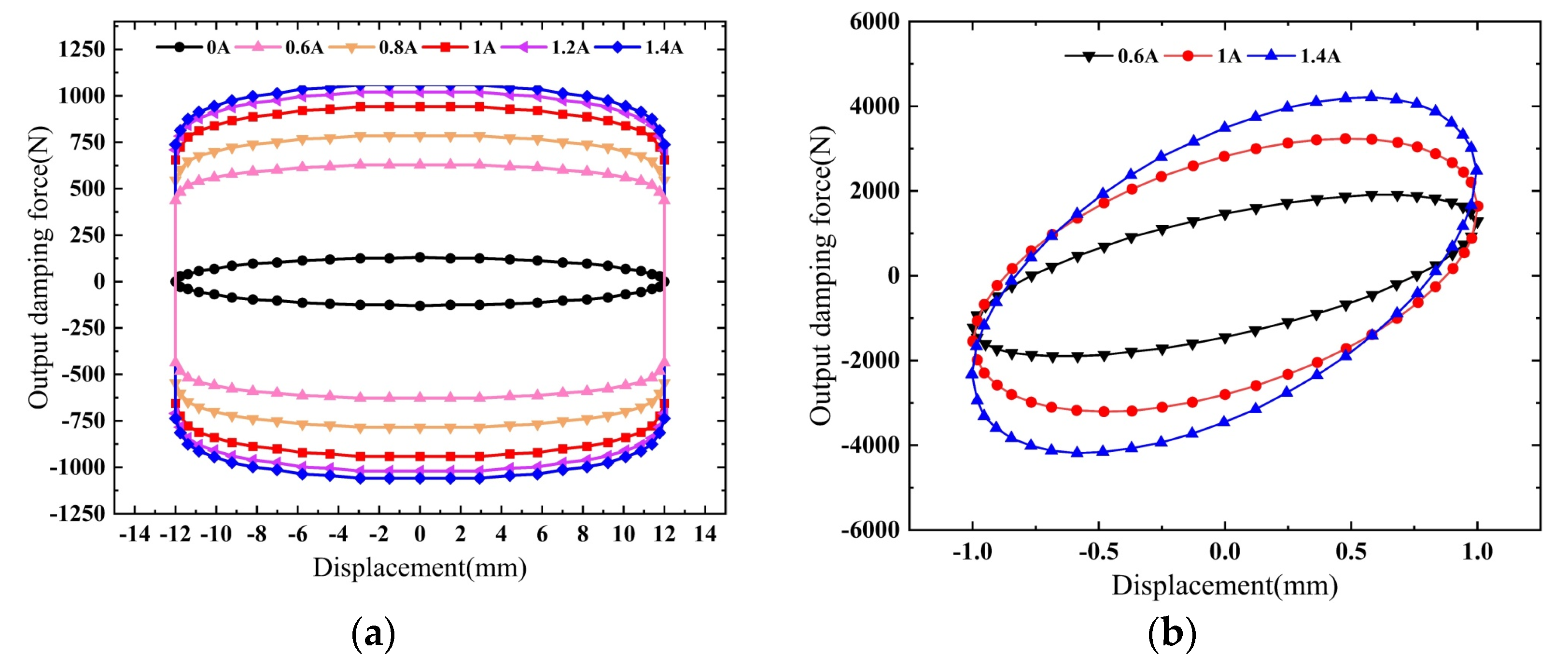
To analyze the contributions of different working modes to the output damping force and the respective laws influenced by the current, excitation currents are separately applied to the piston coil and the cylinder coil. With the piston performing sinusoidal motion with an amplitude of 12 mm and a frequency of 25 Hz, the output damping force of the MRD in shear mode varies with current when only the piston coil is excited, as shown in Figure 11a. With the piston performing sinusoidal motion with an amplitude of 2 mm and a frequency of 25 Hz, the output damping force of the MRD in the squeeze mode varies with current when only the cylinder coil is excited, as shown in Figure 11b.
It can be observed that the output damping force of the squeeze mode is significantly greater than that of the shear mode. When the excitation current is 0 A, MRD can still have a damping force output. When the piston speed is 0 m/s, the output damping force with the applied excitation current is much higher than the output damping force without the excitation current. This is because the damping force output of magnetorheological fluid is divided into two parts: viscous damping force and magnetic damping force. The viscous damping force, which is related to the liquid phase of the material, is not affected by the size of the external magnetic field, whereas the magnetic damping force is far greater than the viscous damping force when the magnetorheological fluid is in a state of magnetic saturation. However, this phenomenon is not prominent in the squeeze mode. Furthermore, as the excitation current increases, the rate of increase in the output damping force gradually decreases. This phenomenon is attributed to the magnetic fluid nearing saturation.
With the piston performing sinusoidal motion with an amplitude of 12 mm and a frequency of 25 Hz, while simultaneously applying excitation currents to four coils, the output damping force of the MRD in the hybrid mode varies with the current, as shown in Figure 12. It can be seen that when the excitation current is 0 A, the output damping force of the MRD is 467 N; when the excitation current is 1.6 A, the output damping force of the MRD is 4503 N. The optimal damping ratio of Kdamper-MRD for suppressing the first-order longitudinal mode of the shaft system is 0.101, corresponding to an output damping force of 3608 N. Therefore, the Kdamper-MRD designed in this paper can provide the required output damping force.

4.2. Stiffness Characteristics of the Belleville Spring

Figure 13 depicts a schematic diagram illustrating the structure of a single Belleville spring, accompanied by its corresponding parameters listed in Table 5. The force–displacement function of the Belleville spring is provided by Equation (14) [31]. The negative stiffness component in the Kdamper-MRD is composed of five sets of Belleville springs, capable of providing a maximum negative stiffness value of −2.137 × 106 N/m. Since the working range of the Belleville springs is much larger than the static displacement of the drive shaft system, and the actual operating conditions can be further matched by increasing or decreasing the number of springs, a more conservative approach is adopted in the subsequent numerical simulation stage analysis. In this approach, the negative stiffness value k is treated as a constant, unaffected by static deformation, and the maximum negative stiffness value is assumed.
F n ( x ) = 4 E s 1 μ 2 t s 4 K 1 D s 2 K 4 2 x t s ( K 4 2 ( H s t s x t s ) ( H s t s x 2 t s ) + 1 )

5. Vibration Damping Performance of Kdamper-MRD

5.1. Vibration Reduction Performance Under Optimal Design

Based on the maximum negative stiffness value of −2.137 × 106 N/m, the optimal parameters for Kdamper-MRD used to suppress the first-order axial vibration mode are as follows: β o p t = −0.016, μ o p t = 0.024, ζ o p t = 0.113. The corresponding output damping force is 4036 N, with an excitation current magnitude of 1.09 A at this time.
When the propulsion shaft system is subjected to harmonic excitation, the longitudinal force transmission rates of the propulsion shaft system without the DVA, with the Voigt DVA at optimal parameters, and with the Kdamper-MRD at optimal parameters are shown in Figure 14 for the same mass ratio. The optimal parameters of the two controllers and the damping performance are shown in Table 6. It can be seen that for the target mode (the first-order longitudinal vibration mode of the propulsion axis), the Kdamper-MRD exhibits excellent vibration reduction capability, with a maximum force transmission rate attenuation of up to 21.8 dB, surpassing the Voigt DVA. Additionally, the Kdamper-MRD also has a certain damping effect on the second-order longitudinal vibration mode of the propulsion axis, while the Voigt DVA has already lost its damping capability at this point. It is worth noting that the introduction of negative stiffness increases the natural frequency of the vibration reduction system, thereby causing response amplification to occur outside the resonance range.
By inputting different magnitudes of the excitation current, the damping force will change. To explore the effects of different excitation currents on the vibration reduction performance, numerical calculations were analyzed with excitation currents of 0.5I and 2I, respectively. The longitudinal force transmission rates with different excitation currents are shown in Figure 15. It can be seen that the damping performance of the Kdamper-MRD is greatly influenced by the size of the damping parameters. Within the target modal resonance range, the Kdamper-MRD with smaller damping ratios has a better force transmission rate attenuation; outside the target modal resonance range, the Kdamper-MRD with larger damping ratios has a better force transmission rate attenuation, as shown in Figure 16.

5.2. Vibration Reduction Performance Under on–off Control

Due to the drastically different effects of the excitation current magnitude on the vibration damping performance of the Kdamper-MRD within and outside the resonance range of the target mode, this paper proposes an on–off current control strategy in the following form:
I r e a l = I max , λ λ P o r λ λ Q 0 , λ P < λ < λ Q
where I r e a l represents the actual input current of the excitation coil, while λ P and λ Q denote the critical frequency ratio.
To ensure better vibration control effects, it is preferable to minimize the damping force output within the target modal resonance range, which can be achieved by not introducing the excitation current; outside the target modal resonance range, it is preferable to maximize the damping force output, which requires introducing a sufficiently large current to ensure that the magnetorheological fluid reaches a magnetically saturated state. From Figure 15, it can be seen that once the current reaches 1.6 A, the damping force output almost reaches its maximum. Further increasing the excitation current to improve vibration reduction performance would be counterproductive. Therefore, this paper selects 1.6 A as the maximum excitation current, with a damping ratio of 0.129.
When the propulsion shaft system is subjected to harmonic excitation, the longitudinal force transmission rates of the Kdamper-MRD under current control strategy and the Kdamper-MRD under optimal parameters, as well as the Voigt DVA under optimal parameters, are shown in Figure 17. After introducing current control strategies, the vibration reduction effect has been improved across the entire frequency range. The maximum attenuation value of the first-order longitudinal modal force transmission rate reached 31.3 dB, which is a 43.6% improvement in vibration reduction performance compared to the scheme using the optimal excitation current. The attenuation value of the force transmission rate of the second-order longitudinal vibration mode also increased by 5.3 dB.
When the propulsion shaft system is subjected to random excitation, the identification of the external excitation frequency is achieved through short-time Fourier transform. By comparing the excitation frequency within the time window with the critical frequency, the magnitude of the excitation current required is determined. The time response of vibration is shown in Figure 18, and the displacement variance and its decay rate are listed in Table 7. It can be observed that after applying the control strategy, the vibration reduction effect of the Kdamper-MRD is further improved, and significantly outperforms the Voigt DVA. The displacement variance decay rate reaches 88.814%.
It is worth noting that due to the extremely rapid response of the magnetorheological fluid and the control strategy being only in two states, on and off, the change in damping force will be considered instantaneous during the numerical simulation process.

6. Conclusions

A Kdamper-MRD is proposed to mitigate longitudinal vibrations transmitted along the propulsion shaft. A numerical analysis of the propulsion axis system’s vibration characteristics is conducted using the transfer matrix method to determine the modal target for vibration control. The optimal design parameters of the Kdamper-MRD are provided, along with specific structural designs. A simulation analysis discusses the distribution of magnetic flux density and the magnitude of the output damping force. The simulation results indicate that the magnetic field utilization is highest when four excitation coils apply in-phase currents, and an excitation current of 1.09 A can match the required output damping force for the design. Finally, an on–off current control strategy is proposed to further enhance the vibration reduction performance of the Kdamper-MRD. The numerical simulation demonstrates that the vibration reduction performance of the Kdamper-MRD surpasses that of the Voigt DVA, with the maximum force transmission rate attenuation of the target mode increasing by 6 dB. Furthermore, the use of control strategies can further enhance vibration reduction performance by 43.6%. The actual work of this article is limited to advancing the theoretical analysis of the shaft system and the design and simulation parts of the Kdamper-MRD. Although the working range of the disk spring is much larger than the static displacement of the shaft system, the non-linear negative stiffness of the disk spring component still needs further consideration, and the Kdamper-MRD also considers impact resistance. In addition, the preparation of relevant prototypes and the construction of the experimental platform are awaiting further development, and vibration control experiments are conducted to verify the effectiveness of the Kdamper-MRD’s damping performance.

Author Contributions

Methodology, K.Z.; Software, K.Z. and H.L.; Validation, K.Z.; Investigation, H.L.; Writing—original draft, K.Z.; Writing—review and editing, H.Z.; Visualization, H.L.; Funding acquisition, W.W. All authors have read and agreed to the published version of the manuscript.

Funding

This research received no external funding.

Institutional Review Board Statement

Not applicable.

Informed Consent Statement

Not applicable.

Data Availability Statement

The data contained in this article.

Conflicts of Interest

The authors declare no conflicts of interest.

References

  1. Merz, S.; Kinns, R.; Kessissoglou, N. Structural and acoustic responses of a submarine hull due to propeller forces. J. Sound Vib. 2009, 325, 266–286. [Google Scholar] [CrossRef]
  2. Ren, M.; Xie, X.; Yang, D.; Zhang, Z. Active axial vibration control of a shaft-bearing system excited by the dynamic thrust force. Proc. Inst. Mech. Eng. Part M J. Eng. Marit. Environ. 2022, 236, 600–615. [Google Scholar] [CrossRef]
  3. Carlton, J. Marine Propellers and Propulsion; Butterworth-Heinemann: Oxford, UK, 2012; pp. 55–56. [Google Scholar]
  4. Mouritz, A.; Gellert, E.; Burchill, P.; Challis, K. Review of advanced composite structures for naval ships and submarines. Compos. Struct. 2001, 53, 21–42. [Google Scholar] [CrossRef]
  5. Singh, S.; Gubran, H.; Gupta, K. Developments in dynamics of composite material shafts. Int. J. Rotating Mach. 1997, 3, 189–198. [Google Scholar] [CrossRef]
  6. John, E.; Schaefer, W. Thrust Bearing System for Counter-Rotating Propeller Shafts, Particularly Ships Propeller Shafts. U.S. Patent US4993848A, 19 February 1991. [Google Scholar]
  7. Caresta, M.; Kessissoglou, N. Active Control of Sound Radiated by a Submarine Hull in Axisymmetric Vibration Using Inertial Actuators. J. Vib. Acoust. 2012, 134, 011002. [Google Scholar] [CrossRef]
  8. Lago, T.L.; Winberg, M.; Johansson, S. AVIIS, Active Vibration Isolation in Ships: Source Identification and ANVC Approach; Department of Applied Signal Processing, University of Karlskrona/Ronneby: Ronneby, Sweden, 1997. [Google Scholar]
  9. Chu, W.; Zhao, Y.; Zhang, G.; Hua, Y. Dynamic anti-resonance vibration isolation theory of resonance changer and application. J. Ship Mech. 2016, 20, 222–230. [Google Scholar]
  10. Yang, Z.; Qin, C.; Rao, Z.; Ta, N.; Gong, X. Design and analyses of axial semi-active dynamic vibration absorbers based on magnetorheological elastomers. J. Intell. Mater. Syst. Struct. 2014, 25, 2199–2207. [Google Scholar] [CrossRef]
  11. Rahman, M.; Ong, Z.C.; Julai, S.; Ferdaus, M.M.; Ahamed, R. A review of advances in magnetorheological dampers: Their design optimization and applications. J. Zhejiang Univ.-Sci. A 2017, 18, 991–1010. [Google Scholar] [CrossRef]
  12. Liu, N.; Li, C.; Yin, C.; Dong, X.; Hua, H. Application of a dynamic antiresonant vibration isolator to minimize the vibration transmission in underwater vehicles. J. Vib. Control 2018, 24, 3819–3829. [Google Scholar] [CrossRef]
  13. Lewis, D.W.; Allaire, P.E.; Thomas, P.W. Active magnetic control of oscillatory axial shaft vibrations in ship shaft transmission systems part 1: System natural frequencies and laboratory scale model. Tribol. Trans. 1989, 32, 170–178. [Google Scholar] [CrossRef]
  14. Lewis, D.W.; Humphris, R.R.; Thomas, P.W. Active magnetic control of oscillatory axial shaft vibrations in ship shaft transmission systems part 2: Control analysis and response of experimental system. Tribol. Trans. 1989, 32, 179–188. [Google Scholar] [CrossRef]
  15. Frahm, H. Device for Damping Vibration of Bodies.U.S. Patent US 989958, 18 April 1911. [Google Scholar]
  16. Ormondroyd, J.; Den Hartog, J. The theory of the dynamic vibration absorber. J. Fluids Eng. 1928, 49, 021007. [Google Scholar] [CrossRef]
  17. Hahnkamm, E. Die dämpfung von fundamentschwingungen bei veränderlicher erregerfrequenz. Ing.-Arch. 1933, 4, 192–201. [Google Scholar] [CrossRef]
  18. Shaw, A.; Neild, S.; Wagg, D.; Weaver, P.; Carrella, A. A nonlinear spring mechanism incorporating a bistable composite plate for vibration isolation. J. Sound Vib. 2013, 332, 6265–6275. [Google Scholar] [CrossRef]
  19. Ding, H.; Ji, J.; Chen, L.-Q. Nonlinear vibration isolation for fluid-conveying pipes using quasi-zero stiffness characteristics. Mech. Syst. Signal Process. 2019, 121, 675–688. [Google Scholar] [CrossRef]
  20. Carrella, A.; Brennan, M.; Waters, T. Static analysis of a passive vibration isolator with quasi-zero-stiffness characteristic. J. Sound Vib. 2007, 301, 678–689. [Google Scholar] [CrossRef]
  21. Ding, H.; Chen, L.-Q. Nonlinear vibration of a slightly curved beam with quasi-zero-stiffness isolators. Nonlinear Dyn. 2019, 95, 2367–2382. [Google Scholar] [CrossRef]
  22. Su, Z.; Zheng, Z.; Huang, X.; Hua, H. Research on dynamic vibration absorber with negative stiffness for controlling longitudinal vibration of propulsion shafting system. Ocean Eng. 2022, 264, 112–175. [Google Scholar] [CrossRef]
  23. Wu, W.; Chen, X.; Shan, Y. Analysis and experiment of a vibration isolator using a novel magnetic spring with negative stiffness. J. Sound Vib. 2014, 333, 2958–2970. [Google Scholar] [CrossRef]
  24. Zhou, N.; Liu, K. A tunable high-static–low-dynamic stiffness vibration isolator. J. Sound Vib. 2010, 329, 1254–1273. [Google Scholar] [CrossRef]
  25. Jiang, Y.; Song, C.; Ding, C.; Xu, B. Design of magnetic-air hybrid quasi-zero stiffness vibration isolation system. J. Sound Vib. 2020, 477, 115346. [Google Scholar] [CrossRef]
  26. Wang, K.; Zhou, J.; Chang, Y.; Ouyang, H.; Xu, D.; Yang, Y. A nonlinear ultra-low-frequency vibration isolator with dual quasi-zero-stiffness mechanism. Nonlinear Dyn. 2020, 101, 755–773. [Google Scholar] [CrossRef]
  27. Ishida, S.; Uchida, H.; Shimosaka, H.; Hagiwara, I. Design and numerical analysis of vibration isolators with quasi-zero-stiffness characteristics using bistable foldable structures. J. Vib. Acoust. 2017, 139, 031015. [Google Scholar] [CrossRef]
  28. Han, H.; Sorokin, V.; Tang, L.; Cao, D. Lightweight origami isolators with deployable mechanism and quasi-zero-stiffness property. Aerosp. Sci. Technol. 2022, 121, 107319. [Google Scholar] [CrossRef]
  29. Liu, S.; Peng, G.; Jin, K. Design and characteristics of a novel QZS vibration isolation system with origami-inspired corrector. Nonlinear Dyn. 2021, 106, 255–277. [Google Scholar] [CrossRef]
  30. Antoniadis, I.A.; Kanarachos, S.A.; Gryllias, K.; Sapountzakis, I.E. KDamping: A stiffness based vibration absorption concept. J. Vib. Control 2018, 24, 588–606. [Google Scholar] [CrossRef]
  31. Sapountzakis, I.E.; Tranakidis, P.G.; Antoniadis, I.A. Implementation of the KDamper concept using disc springs. J. Low Freq. Noise Vib. Act. Control 2019, 38, 168–186. [Google Scholar] [CrossRef]
  32. Huang, X.; Su, Z.; Hua, H. Application of a dynamic vibration absorber with negative stiffness for control of a marine shafting system. Ocean Eng. 2018, 155, 131–143. [Google Scholar] [CrossRef]
Figure 1. Dynamic models: (a) Voigt DVA; (b) QZS oscillators; (c) Kdamper.
Figure 1. Dynamic models: (a) Voigt DVA; (b) QZS oscillators; (c) Kdamper.
Applsci 15 10564 g001
Figure 2. (a) The propulsion shafting system; (b) dynamic model.
Figure 2. (a) The propulsion shafting system; (b) dynamic model.
Applsci 15 10564 g002
Figure 3. The equivalent mechanical model of a Kdamper-MRD.
Figure 3. The equivalent mechanical model of a Kdamper-MRD.
Applsci 15 10564 g003
Figure 4. Fixed-point extension theory: different vibration responses pass through points P and Q.
Figure 4. Fixed-point extension theory: different vibration responses pass through points P and Q.
Applsci 15 10564 g004
Figure 5. Structural schematic diagram of Kdamper-MRD: 1. piston rod; 2. end cap; 3. sealing ring; 4. cylinder body; 5. piston head; 6. Belleville spring; 7. load-bearing pad; 8. fastening nut; 9. oil injection hole; 10. magnetic isolation ring; 11. excitation coil of cylinder body; 12. excitation coil of piston; 13. end cover.
Figure 5. Structural schematic diagram of Kdamper-MRD: 1. piston rod; 2. end cap; 3. sealing ring; 4. cylinder body; 5. piston head; 6. Belleville spring; 7. load-bearing pad; 8. fastening nut; 9. oil injection hole; 10. magnetic isolation ring; 11. excitation coil of cylinder body; 12. excitation coil of piston; 13. end cover.
Applsci 15 10564 g005
Figure 6. The electromagnetic field simulation model of Kdamper-MRD.
Figure 6. The electromagnetic field simulation model of Kdamper-MRD.
Applsci 15 10564 g006
Figure 7. The distribution of average magnetic flux density: (a) A+B+C+D+; (c) AB+C+D; (e) AB+CD+. The distribution of magnetic flux lines: (b) A+B+C+D+; (d) AB+C+D; (f) AB+CD+.
Figure 7. The distribution of average magnetic flux density: (a) A+B+C+D+; (c) AB+C+D; (e) AB+CD+. The distribution of magnetic flux lines: (b) A+B+C+D+; (d) AB+C+D; (f) AB+CD+.
Applsci 15 10564 g007
Figure 8. Distribution of average magnetic flux density along the shear mode damping channel.
Figure 8. Distribution of average magnetic flux density along the shear mode damping channel.
Applsci 15 10564 g008
Figure 9. Distribution of average magnetic flux density with damping channels. (a) Shear mode; (b) squeeze mode.
Figure 9. Distribution of average magnetic flux density with damping channels. (a) Shear mode; (b) squeeze mode.
Applsci 15 10564 g009
Figure 10. Variation in average magnetic flux density with excitation currents.
Figure 10. Variation in average magnetic flux density with excitation currents.
Applsci 15 10564 g010
Figure 11. Variation in output damping force with displacement under different currents. (a) Shear mode; (b) squeeze mode.
Figure 11. Variation in output damping force with displacement under different currents. (a) Shear mode; (b) squeeze mode.
Applsci 15 10564 g011
Figure 12. Variation in output damping force in hybrid mode with excitation currents.
Figure 12. Variation in output damping force in hybrid mode with excitation currents.
Applsci 15 10564 g012
Figure 13. Structure of a single Belleville spring.
Figure 13. Structure of a single Belleville spring.
Applsci 15 10564 g013
Figure 14. Comparison of the force transmissibility between Kdamper-MRD and Voigt DVA. (a) Full frequency range; (b) first-order modal range.
Figure 14. Comparison of the force transmissibility between Kdamper-MRD and Voigt DVA. (a) Full frequency range; (b) first-order modal range.
Applsci 15 10564 g014
Figure 15. Comparison of the force transmissibility with different magnitudes of excitation current. (a) Full frequency range; (b) first-order modal range.
Figure 15. Comparison of the force transmissibility with different magnitudes of excitation current. (a) Full frequency range; (b) first-order modal range.
Applsci 15 10564 g015
Figure 16. Working principle diagram of the system.
Figure 16. Working principle diagram of the system.
Applsci 15 10564 g016
Figure 17. Comparison of the force transmissibility between on–off control and optimal design. (a) Full frequency range; (b) first-order modal range.
Figure 17. Comparison of the force transmissibility between on–off control and optimal design. (a) Full frequency range; (b) first-order modal range.
Applsci 15 10564 g017
Figure 18. The time history of the propulsion shaft system. (a) Without DVA; (b) Voigt DVA (opt); (c) Kdamper-MRD (opt); (d) Kdamper-MRD (on–off).
Figure 18. The time history of the propulsion shaft system. (a) Without DVA; (b) Voigt DVA (opt); (c) Kdamper-MRD (opt); (d) Kdamper-MRD (on–off).
Applsci 15 10564 g018
Table 1. Parameters of the propulsion shafting system.
Table 1. Parameters of the propulsion shafting system.
ParameterValue (Unit)ParameterValue (Unit)
E 2.1 × 1011 (Pa) A b 0.02 (m2)
ρ 7850 (kg/m3) M 2000 (kg)
L 13 (m) m 1 20 (kg)
L b 2.5 (m) k 1 9.61 × 106 (N/m)
A 0.03 (m2) k 2 2.51 × 108 (N/m)
Table 2. Modal frequencies solved by three methods.
Table 2. Modal frequencies solved by three methods.
ModalLagrange Method [30]Rayleigh–Ritz Method [22]Transfer Matrix Method
123.90 Hz23.58 Hz24.57 Hz
263.43 Hz61.62 Hz65.41 Hz
3121.25 Hz119.81 Hz120.74 Hz
4139.79 Hz139.79 Hz141.65 Hz
Table 3. Parameters of MRF-J25T magnetorheological fluid.
Table 3. Parameters of MRF-J25T magnetorheological fluid.
ParameterValue (Unit)ParameterValue (Unit)
Density2.65 (g/cm3)Magnetization properties379.64 (KA/m)
Zero-field viscosity0.8 (Pa·s)Operating temperature−40~130 (°C)
Table 4. Parameters of the electromagnetic field simulation model.
Table 4. Parameters of the electromagnetic field simulation model.
ParameterValue (Unit)ParameterValue (Unit)ParameterValue (Unit)
r 1 3 (mm) L d 80 (mm) w s 16 (mm)
r 2 5 (mm) t 1 5 (mm) h 1.5 (mm)
r 3 25 (mm) t 2 2 (mm) h 1 15 (mm)
R 1 20 (mm) t 3 7 (mm) h 2 10 (mm)
R 2 10 (mm) w 1 8 (mm) h s 14 (mm)
L 52 (mm) w 2 4 (mm) l 14 (mm)
Table 5. Parameters of a single Belleville spring.
Table 5. Parameters of a single Belleville spring.
ParameterValue (Unit)ParameterValue (Unit)
Thickness   t s 1.2 (mm) Inside   diameter   d s 10 (mm)
Height   H s 8 (mm) Outside   diameter   D s 20 (mm)
Elastic   modulus   E 2.06 × 1011 (N/m)
Table 6. Optimal parameters of Kdamper-MRD and Voigt DVA.
Table 6. Optimal parameters of Kdamper-MRD and Voigt DVA.
Mass RatioPositive StiffnessDamping RatioNegative StiffnessVibration Reduction Level
First-Order ModeSecond-Order Mode
Voigt DVA0.0242.81 × 105 (N/m)0.069--15.8 (dB)−2.3 (dB)
Kdamper-MRD0.0243.25 × 106 (N/m)0.113−2.137 × 106 (N/m)21.8 (dB)6.4 (dB)
Table 7. The variances and decrease ratios.
Table 7. The variances and decrease ratios.
Displacement VarianceDecay Rate
Without DVA351.176 (mm2)-
Voigt DVA (opt)93.851 (mm2)73.352%
Kdamper-MRD (opt)51.447 (mm2)85.350%
Kdamper-MRD (on–off)39.282 (mm2)88.814%
Disclaimer/Publisher’s Note: The statements, opinions and data contained in all publications are solely those of the individual author(s) and contributor(s) and not of MDPI and/or the editor(s). MDPI and/or the editor(s) disclaim responsibility for any injury to people or property resulting from any ideas, methods, instructions or products referred to in the content.

Share and Cite

MDPI and ACS Style

Zhu, K.; Zhang, H.; Wu, W.; Liang, H. Application of a Kdamper with a Magnetorheological Damper for Control of Longitudinal Vibration of Propulsion Shaft System. Appl. Sci. 2025, 15, 10564. https://doi.org/10.3390/app151910564

AMA Style

Zhu K, Zhang H, Wu W, Liang H. Application of a Kdamper with a Magnetorheological Damper for Control of Longitudinal Vibration of Propulsion Shaft System. Applied Sciences. 2025; 15(19):10564. https://doi.org/10.3390/app151910564

Chicago/Turabian Style

Zhu, Kangwei, Haiyu Zhang, Weiguo Wu, and Hao Liang. 2025. "Application of a Kdamper with a Magnetorheological Damper for Control of Longitudinal Vibration of Propulsion Shaft System" Applied Sciences 15, no. 19: 10564. https://doi.org/10.3390/app151910564

APA Style

Zhu, K., Zhang, H., Wu, W., & Liang, H. (2025). Application of a Kdamper with a Magnetorheological Damper for Control of Longitudinal Vibration of Propulsion Shaft System. Applied Sciences, 15(19), 10564. https://doi.org/10.3390/app151910564

Note that from the first issue of 2016, this journal uses article numbers instead of page numbers. See further details here.

Article Metrics

Back to TopTop