Discussion of Polyethylene Glycol Mixtures and PEG + MWCNT Nanocolloids’ Behavior in Thermal Applications
Abstract
1. Introduction
2. Materials and Methods
2.1. Materials
2.2. Evaluation Method
3. Results and Discussion
3.1. Heat Transfer Capability Evaluation
3.1.1. Pr Number
3.1.2. Thermal Diffusivity
3.1.3. Mo Number
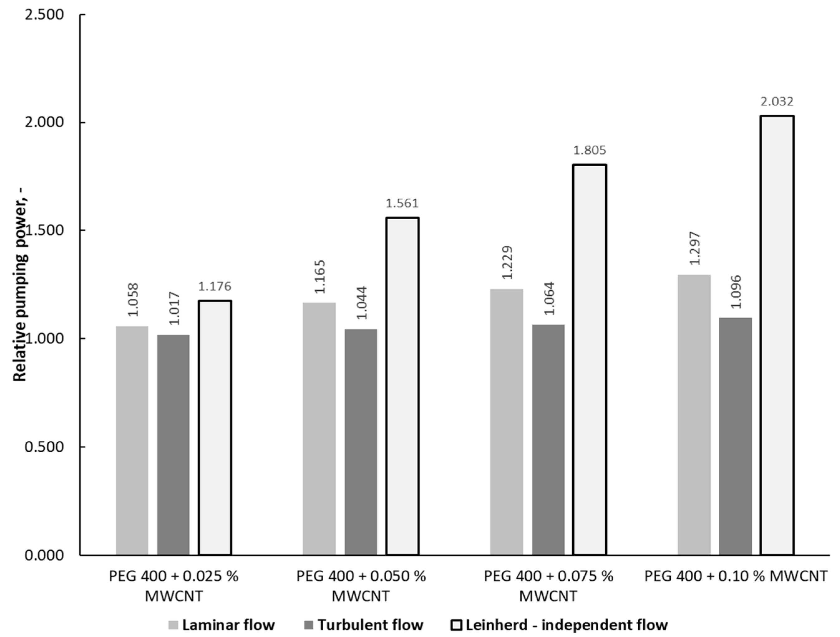
3.2. Pumping Power Evaluation
4. Conclusions
- The addition of MWCNTs to polyethylene glycol decreases nanocolloids thermal transport, being influenced by both the temperature and the NP loading.
 - Most of the nanocolloids have a relative Mo > 1, indicating superior behavior in tube flow than the base fluid.
 - The addition of nanoparticles to PEG 400 leads to an increase in pumping power, depending on the NP concentration. However, improved results are obtained for samples with low loads, where a relatively small influence is noticed.
 - The results show that nanocolloids with multi-walled carbon nanotubes (MWCNTs) lead to an intensification of the pumping power. The highest upsurge in pumping power noted in the laminar regime is 29.7%, and in turbulent flow, it is 9.6%.
 - An interesting option explored in this paper is the use of PEG mixtures as base fluids in order to combine their thermophysical properties.
 
Author Contributions
Funding
Acknowledgments
Conflicts of Interest
References
- Minea, A.A. State of the art in PEG-based heat transfer fluids and their suspensions with nanoparticles. Nanomaterials 2021, 11, 86. [Google Scholar] [CrossRef] [PubMed]
 - Chereches, M.; Vardaru, A.; Huminic, G.; Chereches, E.I.; Minea, A.A.; Huminic, A. Thermal conductivity of stabilized PEG 400 based nanofluids: An experimental approach. Int. Commun. Heat Mass Transf. 2022, 130, 105798. [Google Scholar] [CrossRef]
 - Chereches, M.; Ibanescu, C.; Danu, M.; Chereches, E.I.; Minea, A.A. PEG 400-based phase change materials nano-enhanced with alumina: An experimental approach. Alex. Eng. J. 2022, 61, 6819–6830. [Google Scholar] [CrossRef]
 - Chereches, M.; Bejan, D.; Chereches, E.I.; Minea, A.A. Experimental studies on several properties of PEG 400 and MWCNT nanoenhanced PEG 400 fluids. J. Mol. Liq. 2022, 356, 119049. [Google Scholar] [CrossRef]
 - Marcos, M.A.; Podolsky, N.E.; Cabaleiro, D.; Lugo, L.; Zakharov, A.O.; Postnov, V.N.; Charykov, N.A.; Ageev, S.V.; Semenov, K.N. MWCNT in PEG-400 nanofluids for thermal applications: A chemical, physical and thermal approach. J. Mol. Liq. 2019, 294, 111616. [Google Scholar] [CrossRef]
 - Marcos, M.A.; Cabaleiro, D.; Hamze, S.; Fedele, L.; Bobbo, S.; Estellé, P.; Lugo, L. NePCM based on silver dispersions in poly(ethylene glycol) as a stable solution for thermal storage. Nanomaterials 2020, 10, 19. [Google Scholar] [CrossRef]
 - Chereches, M.; Bejan, D.; Ibanescu, C.; Danu, M.; Chereches, E.I.; Minea, A.A. Viscosity and isobaric heat capacity of PEG 400-based phase change materials nano-enhanced with ZnO nanoparticles. J. Therm. Anal. Calorim. 2022, 147, 8815–8826. [Google Scholar] [CrossRef]
 - Marcos, M.A.; Cabaleiro, D.; Guimarey, M.J.G.; Comuñas, M.J.P.; Fedele, L.; Fernández, J.; Lugo, L. PEG 400-Based Phase Change Materials Nano-Enhanced with Functionalized Graphene Nanoplatelets. Nanomaterials 2018, 8, 16. [Google Scholar] [CrossRef] [PubMed]
 - Qian, T.; Li, J.; Feng, W.; Nian, H. Single-walled carbon nanotube for shape stabilization and enhanced phase change heat transfer of polyethylene glycol phase change material. Energy Convers. Manag. 2017, 143, 96–108. [Google Scholar] [CrossRef]
 - Marcos, M.A.; Lugo, L.; Ageev, S.V.; Podolsky, N.E.; Cabaleiro, D.; Postnov, V.N.; Semenov, K.N. Influence of molecular mass of PEG on rheological behaviour of MWCNT-based nanofluids for thermal energy storage. J. Mol. Liq. 2020, 318, 113965. [Google Scholar] [CrossRef]
 - Tang, B.; Wang, Y.; Qiu, M.; Zhang, S. A full-band sunlight-driven carbon nanotube/PEG/SiO2 composites for solar energy storage. Sol. Energy Mater. Sol. Cells 2014, 123, 7–12. [Google Scholar] [CrossRef]
 - Zhou, D.; Zhao, C.Y.; Tian, Y. Review on thermal energy storage with phase change materials (PCMs) in building applications. Appl. Energy 2012, 92, 593–605. [Google Scholar] [CrossRef]
 - Osterman, E.; Tyagi, V.V.; Butala, V.; Rahim, N.A.; Stritih, U. Review of PCM based cooling technologies for buildings. Energy Build. 2012, 49, 37–49. [Google Scholar] [CrossRef]
 - Giro-Paloma, J.; Martínez, M.; Cabeza, L.F.; Fernández, A.I. Types, methods, techniques, and applications for microencapsulated phase change materials (MPCM): A review. Renew. Sustain. Energy Rev. 2016, 53, 1059–1075. [Google Scholar] [CrossRef]
 - Cabaleiro, D.; Hamze, S.; Fal, J.; Marcos, M.A.; Estellé, P.; Zyła, G. Thermal and Physical Characterization of PEG Phase Change, Materials Enhanced by Carbon-Based Nanoparticles. Nanomaterials 2020, 10, 1168. [Google Scholar] [CrossRef] [PubMed]
 - Navidbakhsh, S.; Majdan-Cegincara, R. Effect of c-Fe2O3 nanoparticles on rheological and volumetric properties of solutions containing polyethylene glycol. Int. J. Ind. Chem. 2017, 8, 433–445. [Google Scholar] [CrossRef]
 - Pak, B.C.; Cho, Y.I. Hydrodynamic and heat transfer study of dispersed fluids with submicron metallic oxide particles. Exp. Heat Transf. 1998, 11, 151–157. [Google Scholar] [CrossRef]
 - Rapp, B.E. Fluids Microfluidics: Modelling, Mechanics and Mathematics (Micro and Nano Technologies); Elsevier: Amsterdam, The Netherlands, 2017; pp. 243–263. [Google Scholar]
 - Moldoveanu, G.M.; Minea, A.A.; Huminic, G.; Huminic, A. Al2O3/TiO2 hybrid nanofluids thermal conductivity: An experimental approach. J. Therm. Anal. Calorim. 2019, 137, 583–592. [Google Scholar] [CrossRef]
 - Kim, A.; Wert, N.A.; Gowd, E.B.; Patel, R. Recent Progress in PEG-Based Composite Phase Change Materials. Polym. Rev. 2023, 63, 1078–1129. [Google Scholar] [CrossRef]
 - Sarcinella, A.; Frigione, M. Selection of PEG-Matrix Combinations to Achieve High Performance Form-Stable Phase Change Materials for Building Applications. Coatings 2024, 14, 250. [Google Scholar] [CrossRef]
 - Simons, R.E. Comparing heat transfer rates of liquid coolants using the Mouromtseff number. Electr. Cool. 2016, 12, 2–11. [Google Scholar]
 - Huminic, G.; Huminic, A. Heat transfer capability of the hybrid nanofluids for heat transfer applications. J. Mol. Liq. 2018, 272, 857–870. [Google Scholar] [CrossRef]
 - Mansour, R.B.; Galanis, N.; Nguyen, C.T. Effect of uncertainties in physical properties on forced convection heat transfer with nanofluids. Appl. Therm. Eng. 2007, 27, 240–249. [Google Scholar] [CrossRef]
 - Huminic, G.; Huminic, A. The influence of hybrid nanofluids on the performances of elliptical tube: Recent research and numerical study. Int. J. Heat Mass Transf. 2019, 129, 132–143. [Google Scholar] [CrossRef]
 - Leinhard, J., IV; Leinhard, J.V. A Heat Transfer Textbook, 4th ed; Philogiston Press: Cambridge, MA, USA, 2012. [Google Scholar]
 






| Temperature, °C | Pr | |
|---|---|---|
| PEG 200 | 25 | 625.77 | 
| PEG 400 | 30 | 862.16 | 
| Water | 25 | 6.89 | 
| Ethanol | 25 | 18.05 | 
| Glycerol | 25 | 7612.74 | 
| Fluid, Dowtherm Q | 20 | 54.19 | 
| Shell heat transfer oil | 20 | 1003.00 | 
| Temperature, [K] | |||||
|---|---|---|---|---|---|
| 293.15 | 303.15 | 313.15 | 323.15 | 333.15 | |
| PEG 400 + 0.025% MWCNTs | 5.07 | 9.55 | 40.43 | 21.54 | 29.66 | 
| PEG 400 + 0.050% MWCNTs | 19.00 | 24.80 | 30.23 | 38.18 | 47.88 | 
| PEG 400 + 0.075% MWCNTs | 30.70 | 44.21 | 59.51 | 74.76 | 90.13 | 
| PEG 400 + 0.10% MWCNTs | 41.40 | 59.20 | 75.49 | 90.76 | 109.33 | 
Disclaimer/Publisher’s Note: The statements, opinions and data contained in all publications are solely those of the individual author(s) and contributor(s) and not of MDPI and/or the editor(s). MDPI and/or the editor(s) disclaim responsibility for any injury to people or property resulting from any ideas, methods, instructions or products referred to in the content.  | 
© 2025 by the authors. Licensee MDPI, Basel, Switzerland. This article is an open access article distributed under the terms and conditions of the Creative Commons Attribution (CC BY) license (https://creativecommons.org/licenses/by/4.0/).
Share and Cite
Minea, A.A.; Chereches, E.I.; Tugui, C.A.; Tofan, G.C. Discussion of Polyethylene Glycol Mixtures and PEG + MWCNT Nanocolloids’ Behavior in Thermal Applications. Appl. Sci. 2025, 15, 9898. https://doi.org/10.3390/app15189898
Minea AA, Chereches EI, Tugui CA, Tofan GC. Discussion of Polyethylene Glycol Mixtures and PEG + MWCNT Nanocolloids’ Behavior in Thermal Applications. Applied Sciences. 2025; 15(18):9898. https://doi.org/10.3390/app15189898
Chicago/Turabian StyleMinea, Alina Adriana, Elena Ionela Chereches, Catalin Andrei Tugui, and George Catalin Tofan. 2025. "Discussion of Polyethylene Glycol Mixtures and PEG + MWCNT Nanocolloids’ Behavior in Thermal Applications" Applied Sciences 15, no. 18: 9898. https://doi.org/10.3390/app15189898
APA StyleMinea, A. A., Chereches, E. I., Tugui, C. A., & Tofan, G. C. (2025). Discussion of Polyethylene Glycol Mixtures and PEG + MWCNT Nanocolloids’ Behavior in Thermal Applications. Applied Sciences, 15(18), 9898. https://doi.org/10.3390/app15189898
        
