High-Precision Visual Monitoring Method for Bridge Displacement Based on Computer Vision and Its Engineering Application
Abstract
1. Introduction
- An adaptive binarization threshold adjustment mechanism is introduced, which significantly improves the algorithm’s adaptability and robustness under complex lighting conditions. In addition, by integrating the Super Resolution Convolutional Neural Network (SRCNN) model, the method achieves sub-pixel identification accuracy, thereby enabling sub-millimeter precision in displacement measurement.
- A complete validation framework is established, where the proposed method is first verified through scaled model testing and subsequently applied to real bridge displacement monitoring and structural damping ratio identification. This not only demonstrates the method’s reliability under practical conditions but also highlights its potential for broader applications in structural health monitoring.
2. Bridge Displacement Monitoring Based on Computer Vision
2.1. Characteristics and Principles of the Bridge Displacement Visual Monitoring Method
2.2. High Precision Vision Based Bridge Displacement Identification Using Connected Domain Segmentation and Matching Algorithm
2.2.1. Principles of Connected Region Segmentation and Matching Method
- Extract the first frame image and acquire the minimum bounding rectangle information of the target object’s connected region;
- Perform binarization processing on the current frame image and construct minimum bounding rectangles for all connected regions;
- Conduct similarity matching between each rectangle and the target object’s minimum bounding rectangle from the previous frame to determine the target’s position in the current frame;
- Segment the region containing the target object, apply SRCNN-based super-resolution processing to the segmented image, and obtain the target’s pixel coordinates within the segmented sub-image;
- Map the target coordinates to the global image coordinate system and derive the physical coordinates of the marker in 3D space through coordinate transformation.
2.2.2. Camera Calibration
3. Experimental Validation
4. Application Case Study
4.1. Monitoring of Actual Bridge Displacement
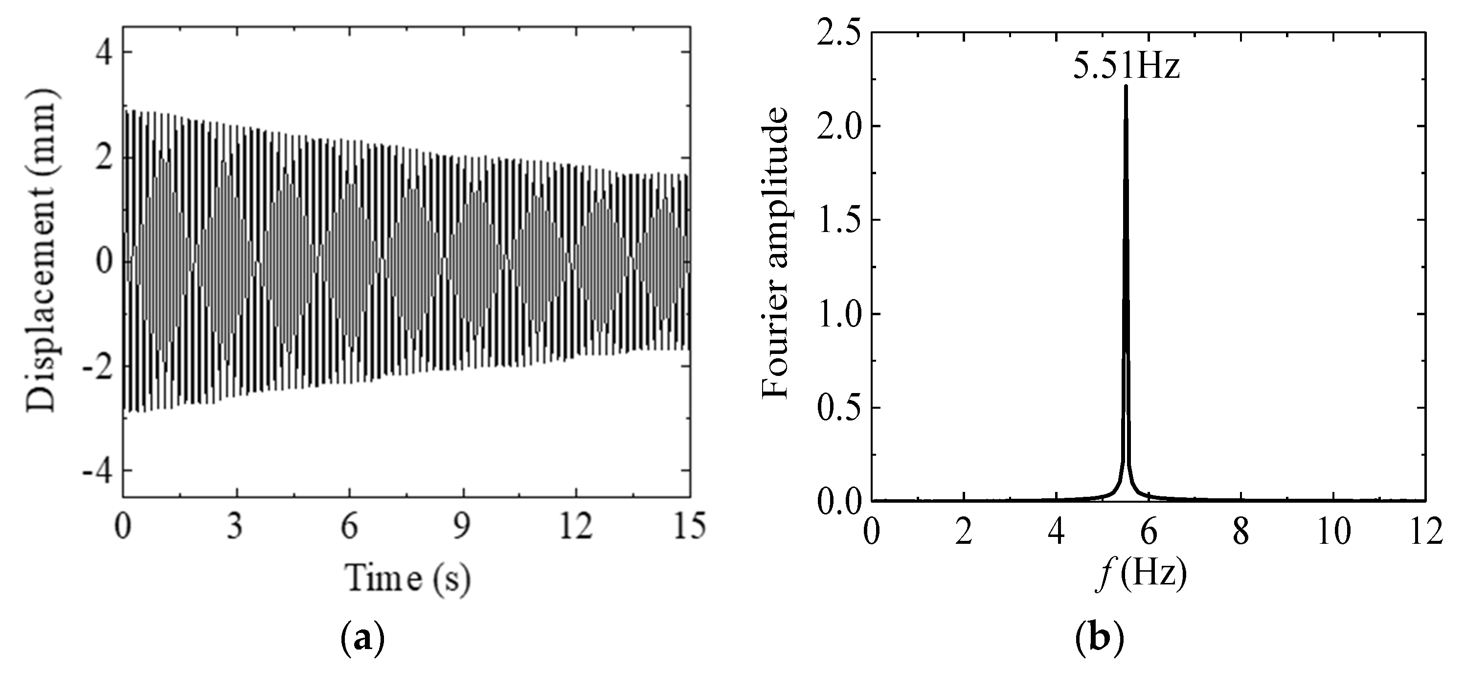
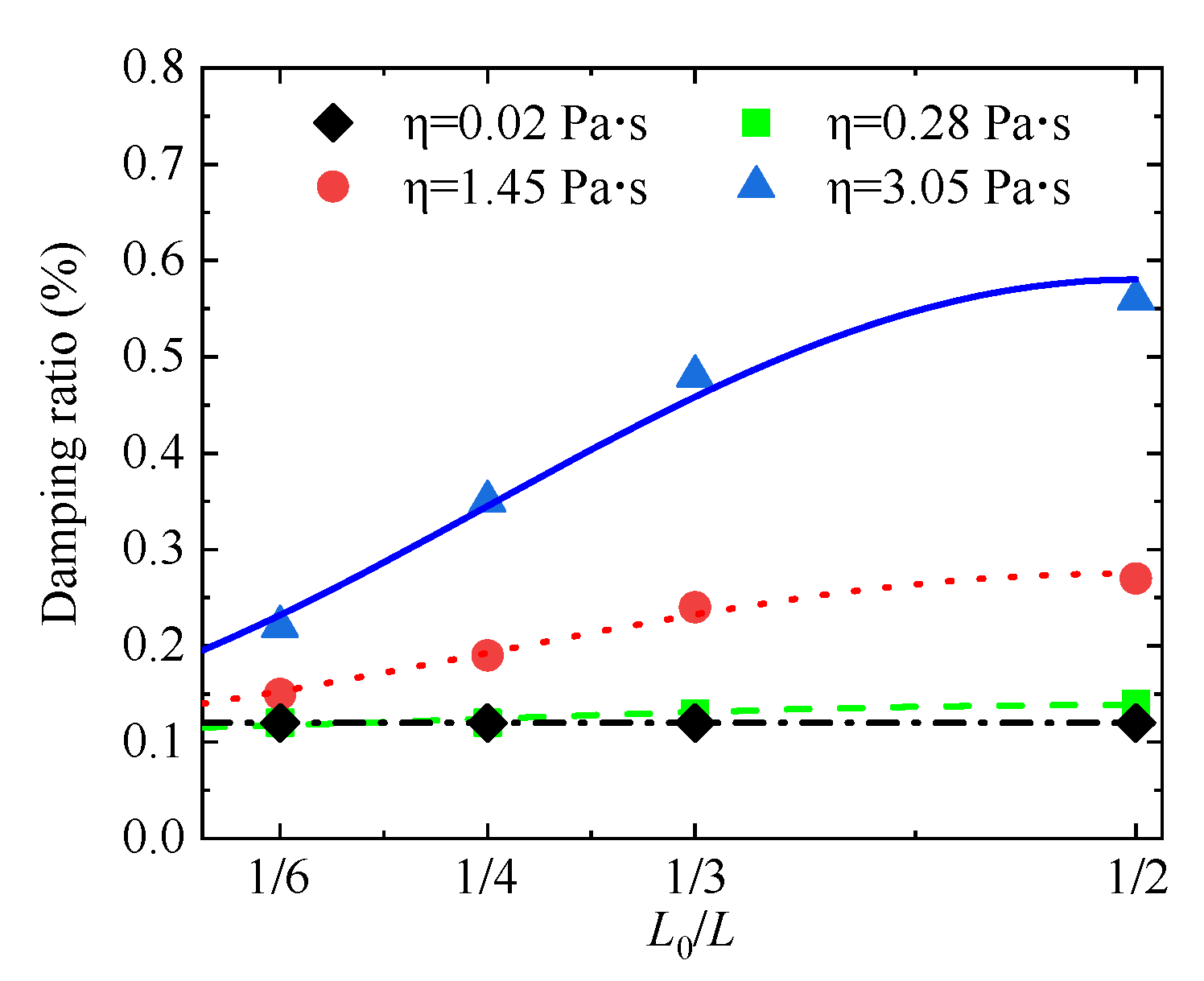
4.2. Structural Damping Ratio Identification
5. Discussion
5.1. Limitations Under Operational Dynamic Loading
5.2. Validation and Method Comparison
6. Conclusions
- The proposed vision-based displacement monitoring method, grounded in the connected domain segmentation and matching algorithm, achieves high precision and robust performance, delivering sub-millimeter accuracy in bridge displacement measurement.
- Damping identification experiments based on the vision-based method reveal that system damping adheres to a linear viscous damping mechanism across varying fluid viscosities. At a viscosity of 3.05 Pa·s, the system damping ratio attains 1.50%, significantly exceeding the 0.10–0.14% range observed in the damping-free structure. Damper installation location critically influences damping performance, with higher damping ratios achieved at positions of greater modal displacement. Additionally, system damping exhibits insensitivity to structural natural frequencies but increases slightly with vibration amplitude.
Author Contributions
Funding
Institutional Review Board Statement
Informed Consent Statement
Data Availability Statement
Acknowledgments
Conflicts of Interest
References
- Milan, L.; Ivana, H.; Matus, B.; Joaquim, J.S.; Daniele, P.; Gloria, P. Bridge Displacements Monitoring Using Space-Borne X-Band SAR Interferometry. IEEE J. Sel. Top. Appl. Earth Observ. Remote Sens. 2017, 10, 205–210. [Google Scholar]
- Huang, Q.; Crosetto, M.; Monserrat, O.; Crippa, B. Displacement monitoring and modelling of a high-speed railway bridge using C-band Sentinel-1 data. ISPRS-J. Photogramm. Remote Sens. 2017, 128, 204–211. [Google Scholar] [CrossRef]
- Sun, Z.; Nagayama, T.; Su, D.; Fujino, Y. A Damage Detection Algorithm Utilizing Dynamic Displacement of Bridge under Moving Vehicle. Shock Vib. 2016, 2016, 8454567. [Google Scholar] [CrossRef]
- Zheng, X.; Yang, D.; Yi, T.; Li, H. Bridge influence line identification from structural dynamic responses induced by a high-speed vehicle. Struct. Control. Health Monit. 2020, 27, e2544. [Google Scholar] [CrossRef]
- Qiu, Y.; Zheng, B.; Jiang, B.; Jiang, S.; Zou, C. Effect of non-structural components on over-track building vibrations induced by train operations on concrete floor. Int. J. Struct. Stab. Dyn. 2025, 2650180. [Google Scholar] [CrossRef]
- Xia, Y.; Jian, X.; Yan, B.; Su, D. Infrastructure Safety Oriented Traffic Load Monitoring Using Multi-Sensor and Single Camera for Short and Medium Span Bridges. Remote Sens. 2019, 11, 2651. [Google Scholar] [CrossRef]
- Zhao, Z.; Uddin, N.; Brien, E.J.O. Bridge Weigh-in-Motion Algorithms Based on the Field Calibrated Simulation Model. J. Infrastruct. Syst. 2017, 23, 4016021. [Google Scholar] [CrossRef]
- Ribeiro, D.; Calçada, R.; Ferreira, J.; Martins, T. Non-contact measurement of the dynamic displacement of railway bridges using an advanced video-based system. Eng. Struct. 2014, 75, 164–180. [Google Scholar] [CrossRef]
- Attanayake, U.; Tang, P.; Servi, A.; Aktan, H. Non-contact bridge deflection measurement: Application of laser technology. In Proceedings of the International Conference Structural Engineering Construction and Management, ICSEM 2011, Peradeniya, Sri Lanka, 16–18 December 2011. [Google Scholar]
- Lydon, D.; Taylor, S.; Del-Rincon, J.M.; Robinson, D.; Lydon, M.; Hester, D. Monitoring of bridges using computer vision methods. In Proceedings of the Civil Engineering Research in Ireland Conference, Galway, Ireland, 29–30 August 2016. [Google Scholar]
- Chou, J.; Liu, C.; Shih, H.; Lin, Z. Automated annotation of steel corrosion in UAV-captured images from beneath bridge decks using metaheuristic-optimized computer vision. Structures 2025, 75, 108696. [Google Scholar] [CrossRef]
- Han, Y.; Feng, D.; Liao, Y. Computer vision-assisted lateral cooperative performance assessment of assembled box girder bridges under normal traffic conditions. Eng. Struct. 2025, 327, 119683. [Google Scholar] [CrossRef]
- Garbowski, T.; Gajewski, T. Semi-automatic Inspection Tool of Pavement Condition from Three-dimensional Profile Scans. Procedia Eng. 2017, 172, 310–318. [Google Scholar]
- Rinaldi, C.; Ciambella, J.; Gattulli, V. Image-based operational modal analysis and damage detection validated in an instrumented small-scale steel frame structure. Mech. Syst. Signal Proc. 2022, 168, 108640. [Google Scholar]
- Bao, Y.; Tang, Z.; Li, H.; Zhang, Y. Computer vision and deep learning–based data anomaly detection method for structural health monitoring. Struct. Health Monit. 2019, 18, 401–421. [Google Scholar]
- Ma, Z.; Choi, J.; Sohn, H. Real-time structural displacement estimation by fusing asynchronous acceleration and computer vision measurements. Comput.-Aided Civil Infrastruct. Eng. 2022, 37, 688–703. [Google Scholar] [CrossRef]
- Lee, J.J.; Shinozuka, M. Real-Time Displacement Measurement of a Flexible Bridge Using Digital Image Processing Techniques. Exp. Mech. 2006, 46, 105–114. [Google Scholar] [CrossRef]
- Tan, S.; Zhu, L.; Li, J.; Cui, Z.; Zhao, G.; Tu, J. Non-contact vibration displacement measurement method for railway bridges based on computer vision. Structures 2025, 80, 109803. [Google Scholar] [CrossRef]
- Zeng, K.; Zeng, S.; Huang, H.; Qiu, T.; Shen, S.; Wang, H.; Feng, S.; Zhang, C. Sensing Mechanism and Real-Time Bridge Displacement Monitoring for a Laboratory Truss Bridge Using Hybrid Data Fusion. Remote Sens. 2023, 15, 3444. [Google Scholar] [CrossRef]
- Dong, C.; Bas, S.; Catbas, F.N. Applications of Computer Vision-Based Structural Monitoring on Long-Span Bridges in Turkey. Sensors 2023, 23, 8161. [Google Scholar]
- Peng, Z.; Li, J.; Hao, H. Computer vision-based displacement identification and its application to bridge condition assessment under operational conditions. Smart Constr 2024, 1, 0003. [Google Scholar] [CrossRef]
- Soyoz, S.; Feng, M.Q. Long-Term Monitoring and Identification of Bridge Structural Parameters. Comput.-Aided Civil Infrastruct. Eng. 2009, 24, 82–92. [Google Scholar] [CrossRef]
- Zhan, Y.; Huang, Y.; Fan, Z.; Li, B.; An, J.; Shao, J.; Tian, Y. Computer Vision-Based Pier Settlement Displacement Measurement of a Multispan Continuous Concrete Highway Bridge under Complex Construction Environments. Struct. Control. Health Monit. 2024, 2024, 1866665. [Google Scholar] [CrossRef]
- Kim, S.; Jeon, B.; Kim, N.; Park, J. Vision-based monitoring system for evaluating cable tensile forces on a cable-stayed bridge. Struct. Health Monit. 2013, 12, 440–456. [Google Scholar] [CrossRef]
- Jo, B.; Lee, Y.; Jo, J.H.; Khan, R.M.A. Computer Vision-Based Bridge Displacement Measurements Using Rotation-Invariant Image Processing Technique. Sustainability 2018, 10, 1785. [Google Scholar] [CrossRef]
- Yu, Y.; Huang, K.; Chen, W.; Tan, T. A Novel Algorithm for View and Illumination Invariant Image Matching. IEEE Trans. Image Process. 2012, 21, 229–240. [Google Scholar]
- Aliansyah, Z.; Shimasaki, K.; Senoo, T.; Ishii, I.; Umemoto, S. Single-Camera-Based Bridge Structural Displacement Measurement with Traffic Counting. Sensors 2021, 21, 4517. [Google Scholar] [CrossRef]
- Yoon, H.; Shin, J.; Spencer, B.F., Jr. Structural Displacement Measurement Using an Unmanned Aerial System. Comput.-Aided Civil Infrastruct. Eng. 2018, 33, 183–192. [Google Scholar] [CrossRef]
- Antoš, J.; Nežerka, V.; Somr, M. Real-Time Optical Measurement of Displacements Using Subpixel Image Registration. Exp. Tech. 2019, 43, 315–323. [Google Scholar] [CrossRef]
- Zhao, W.; Shi, X.; Ni, F.; Tian, Y. Semi-dense sub-pixel displacement measurement for structural health monitoring: A framework of deep learning-based detector-free feature matching. Measurement 2025, 254, 117899. [Google Scholar] [CrossRef]
- Dong, C.; Loy, C.C.; He, K.; Tang, X. Image super-resolution using deep convolutional networks. IEEE Trans. Pattern Anal. Mach. Intell. 2015, 38, 295–307. [Google Scholar] [CrossRef]
- Abdel-Aziz, Y.I.; Karara, H.M.; Hauck, M. Direct linear transformation from comparator coordinates into object space coordinates in close-range photogrammetry. Photogramm. Eng. Remote Sens. 2015, 81, 103–107. [Google Scholar] [CrossRef]
- Zhang, Z. Flexible camera calibration by viewing a plane from unknown orientations. In Proceedings of the Seventh IEEE International Conference on Computer Vision, Kerkyra, Greece, 20–27 September 1999; IEEE: Piscataway, NJ, USA, 1999. [Google Scholar]
- Viswanath, D.S.; Ghosh, T.K.; Prasad, D.H.; Dutt, N.V.; Rani, K.Y. Viscosity of Liquids: Theory, Estimation, Experiment, and Data; Springer Science & Business Media: Berlin/Heidelberg, Germany, 2007. [Google Scholar]













| Span Length L (m) | Damping Fluid Viscosity (Pa·s) | Tube Type | Mass (kg) | |
|---|---|---|---|---|
| 2.5, 2.6, 2.7, 2.8, 2.9 | 0.02, 0.28, 1.45, 3.05 | Single-tube Double-tube Triple-tube | 0.5 | 4, 5, 6, 7 |
| 2.9 | 0.02, 0.28, 1.45, 3.05 | Single-tube | 0.17, 0.25, 0.33, 0.5 | 4 |
| Span (m) | 4 kg | 5 kg | 6 kg | 7 kg | ||||
|---|---|---|---|---|---|---|---|---|
| fn (Hz) | ξ (%) | fn (Hz) | ξ (%) | fn (Hz) | ξ (%) | fn (Hz) | ξ (%) | |
| 2.5 | 7.22 | 0.12 | 7.22 | 0.12 | 7.22 | 0.13 | 7.22 | 0.13 |
| 7.22 | 0.12 | 7.22 | 0.12 | 7.22 | 0.14 | 7.22 | 0.14 | |
| 2.6 | 6.78 | 0.11 | 6.78 | 0.11 | 6.78 | 0.12 | 6.78 | 0.12 |
| 6.78 | 0.10 | 6.78 | 0.11 | 6.78 | 0.12 | 6.78 | 0.12 | |
| 2.7 | 6.28 | 0.10 | 6.28 | 0.11 | 6.28 | 0.11 | 6.28 | 0.12 |
| 6.28 | 0.10 | 6.28 | 0.11 | 6.28 | 0.12 | 6.28 | 0.11 | |
| 2.8 | 5.89 | 0.11 | 5.89 | 0.11 | 5.89 | 0.12 | 5.89 | 0.12 |
| 5.89 | 0.11 | 5.89 | 0.11 | 5.89 | 0.12 | 5.89 | 0.12 | |
| 2.9 | 5.49 | 0.10 | 5.49 | 0.11 | 5.49 | 0.11 | 5.49 | 0.11 |
| 5.49 | 0.11 | 5.49 | 0.11 | 5.49 | 0.11 | 5.49 | 0.11 | |
Disclaimer/Publisher’s Note: The statements, opinions and data contained in all publications are solely those of the individual author(s) and contributor(s) and not of MDPI and/or the editor(s). MDPI and/or the editor(s) disclaim responsibility for any injury to people or property resulting from any ideas, methods, instructions or products referred to in the content. |
© 2025 by the authors. Licensee MDPI, Basel, Switzerland. This article is an open access article distributed under the terms and conditions of the Creative Commons Attribution (CC BY) license (https://creativecommons.org/licenses/by/4.0/).
Share and Cite
Sun, C.; He, W.; Zou, C. High-Precision Visual Monitoring Method for Bridge Displacement Based on Computer Vision and Its Engineering Application. Appl. Sci. 2025, 15, 10023. https://doi.org/10.3390/app151810023
Sun C, He W, Zou C. High-Precision Visual Monitoring Method for Bridge Displacement Based on Computer Vision and Its Engineering Application. Applied Sciences. 2025; 15(18):10023. https://doi.org/10.3390/app151810023
Chicago/Turabian StyleSun, Congbo, Wei He, and Chao Zou. 2025. "High-Precision Visual Monitoring Method for Bridge Displacement Based on Computer Vision and Its Engineering Application" Applied Sciences 15, no. 18: 10023. https://doi.org/10.3390/app151810023
APA StyleSun, C., He, W., & Zou, C. (2025). High-Precision Visual Monitoring Method for Bridge Displacement Based on Computer Vision and Its Engineering Application. Applied Sciences, 15(18), 10023. https://doi.org/10.3390/app151810023

