Erosion Behavior of Cohesive Deep-Sea Sediments Under Submerged Water Jets: Numerical Simulation and Experimental Validation
Abstract
1. Introduction
2. Materials and Methods
2.1. Numerical Methods
2.1.1. EMF Model Governing Equations
2.1.2. Turbulence Model
2.2. Simulation Model
3. Experiment and Simulation Validation
3.1. Simulated Sediment Preparation
3.2. Experimental Platform Setup and Experimental Procedure
- The flow valve was adjusted to achieve the designated flow velocity (vf).
- The water pipe was mounted on the supporting frame and set to the required nozzle height (h). During installation, the water pipe was completely filled with water to prevent air entrainment, which could otherwise compromise experimental accuracy.
- The water pump was activated to initiate the experimental run.
- Upon completion of each run, the turbid water in the tank was drained.
- Experimental data were collected, including measurements of erosion depth and the diameter of the erosion pit at the original sediment surface.
- The sediments were then restored to their initial conditions, the tank was refilled with water, and the system was allowed to stand for 24 h before conducting the next experiment.
3.3. Simulation Model Validation
4. Results and Analysis
4.1. Analysis of Two Different Erosion Mechanisms
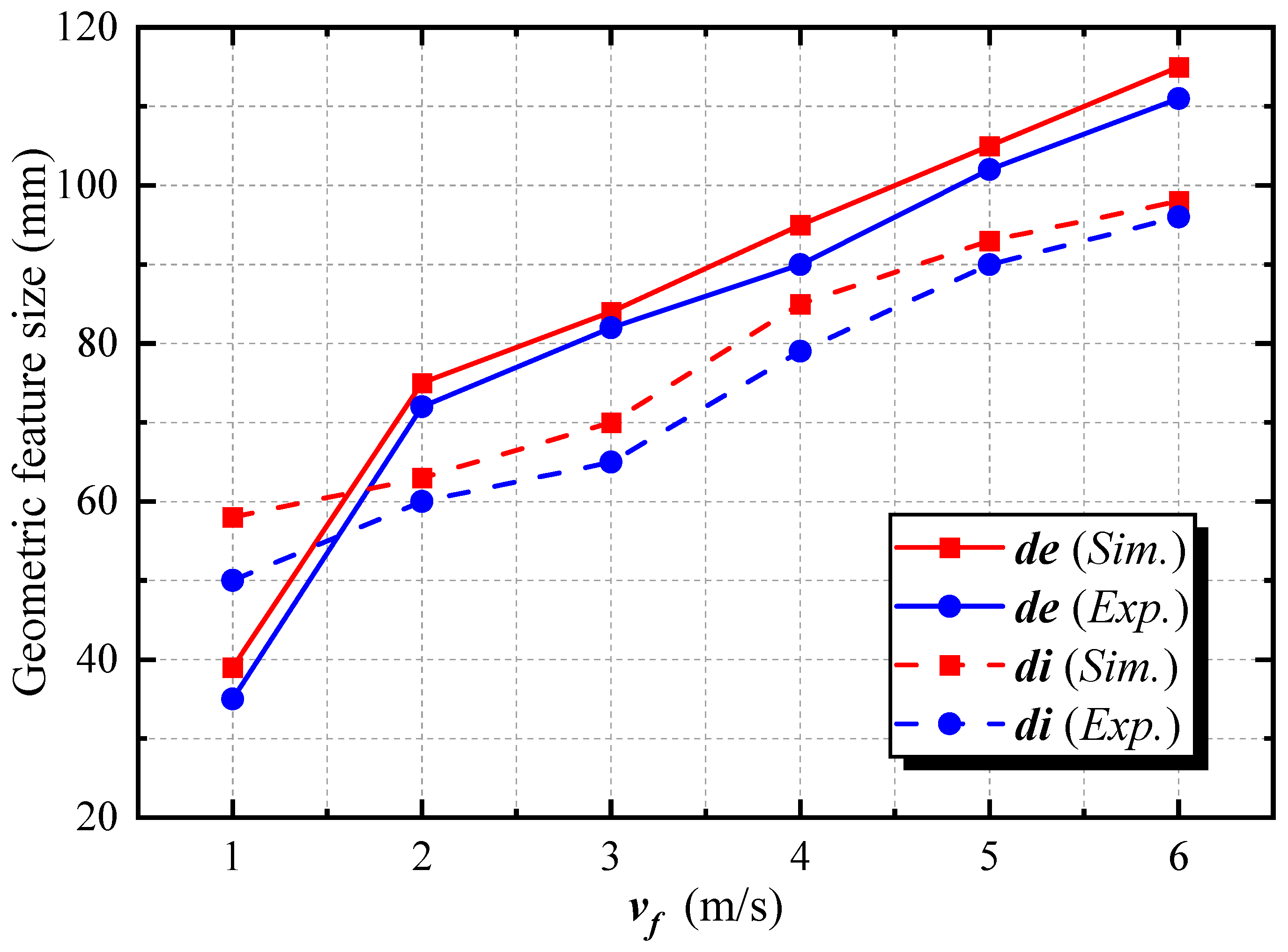
4.2. Analysis of Erosion Results
5. Conclusions
- The mechanical characteristics of actual deep-sea sediments were used to prepare simulated sediments, which were then subjected to submerged water jet erosion experiments. Based on the experimental data, a numerical simulation model was developed using the EMF method to simulate sediment erosion under water jet conditions.
- The results indicate that two distinct erosion mechanisms can be identified based on jet intensity. Moreover, the erosion depth follows a clear time-dependent trend, which can be divided into three stages, namely rapid erosion, steady erosion, and stabilization. By comparing the erosion depth distribution characteristics at each stage, the dynamic evolution pattern of the erosion process is further elucidated.
- This study systematically analyzes the variation patterns of erosion depth and diameter under different combinations of jet velocity and nozzle height. The results reveal that erosion depth varies linearly with the independent variables (jet velocity and nozzle height), whereas the erosion diameter exhibits a nonlinear response.
- The simulated sediments adopt a stratified structure, which cannot fully represent the continuous variation in mechanical properties typically observed in natural sediments.
- The simulation model does not account for secondary sedimentation during the settling phase, nor does it consider the enhanced inter-particle forces that may arise from this process. Consequently, this limitation may affect the accuracy of the conclusions.
- Although the simulation duration was designed to capture the main erosion stage and subsequent settling of suspended sediments, it does not fully consider the long-term diffusion processes that occur after erosion.
Author Contributions
Funding
Institutional Review Board Statement
Informed Consent Statement
Data Availability Statement
Conflicts of Interest
References
- Balaram, V.; Armstrong-Altrin, J.S.; Khan, R.M.K.; Rao, B.S. Land and marine sedimentary deposits as potential sources of lithium. Int. Geol. Rev. 2025, 67, 1217–1250. [Google Scholar] [CrossRef]
- Du, K.; Xi, W.; Huang, S.; Zhou, J. Deep-sea Mineral Resource Mining: A Historical Review, Developmental Progress, and Insights. Min. Metall. Explor. 2024, 41, 173–192. [Google Scholar] [CrossRef]
- Guo, X.; Fan, N.; Liu, Y.; Liu, X.; Wang, Z.; Xie, X.; Jia, Y. Deep seabed mining: Frontiers in engineering geology and environment. Int. J. Coal Sci. Technol. 2023, 10, 23. [Google Scholar] [CrossRef]
- Miller, K.A.; Thompson, K.F.; Johnston, P.; Santillo, D. An Overview of Seabed Mining Including the Current State of Development, Environmental Impacts, and Knowledge Gaps. Front. Mar. Sci. 2018, 4, 418. [Google Scholar] [CrossRef]
- Jin, Y.Z.; Yao, Q.K.; Zhu, Z.C.; Zhang, X.M. Numerical Study and Parameter Optimization of a Dual-jet Based Large Particle Collection System for Deep-sea Mining. J. Appl. Fluid Mech. 2024, 17, 2215–2227. [Google Scholar]
- Gao, Y.; Xiang, X.; Li, Z.; Guo, X.; Han, P. An experimental and simulation study of the flow pattern characteristics of water jet impingements in boreholes. Energy Explor. Exploit. 2022, 40, 852–872. [Google Scholar] [CrossRef]
- Liu, B.; Wang, X.; Zhang, X.; Liu, J.; Rong, L.; Ma, Y. Research Status of Deep-Sea Polymetallic Nodule Collection Technology. J. Mar. Sci. Eng. 2024, 12, 744. [Google Scholar] [CrossRef]
- Yue, Z.Y.; Zhao, G.C.; Xiao, L.; Liu, M. Comparative Study on Collection Performance of Three Nodule Collection Methods in Seawater and Sediment-seawater Mixture. Appl. Ocean Res. 2021, 110, 102606. [Google Scholar] [CrossRef]
- Amudha, K.; Bhattacharya, S.K.; Sharma, R.; Gopkumar, K.; Kumar, D.; Ramadass, G. Influence of flow area zone and vertical lift motion of polymetallic nodules in hydraulic collecting. Ocean Eng. 2024, 294, 116745. [Google Scholar] [CrossRef]
- Su, X.H.; Chen, B.B.; Yang, H.; Ren, Y.; Wang, H.; Lin, R. Effects of nozzle angles of a double-row jet collector on harvesting performance. Ocean Eng. 2024, 301, 117573. [Google Scholar] [CrossRef]
- Dai, Y.; Zhang, Y.Y.; Cheng, Y.; Chen, J.; Zhu, X. CFD-DEM simulation and experimental investigations on continuous hydraulic sampling of deep-sea polymetallic nodules. Ocean Eng. 2024, 313, 119509. [Google Scholar] [CrossRef]
- Wang, P.J.; Li, L.; Wei, Q.-N.; Wu, J.-B. Study on Collection Performance of Hydraulic Polymetallic Nodule Collector Based on Solid-Liquid Two-Phase Flow Numerical Simulation. Appl. Sci. 2023, 13, 12729. [Google Scholar] [CrossRef]
- Becker, H.J.; Grupe, B.; Oebius, H.U.; Liu, F. The behaviour of deep-sea sediments under the impact of nodule mining processes. Deep Sea Res. Part II Top. Stud. Oceanogr. 2001, 48, 3609–3627. [Google Scholar]
- Liu, X.X.; Cheng, X.G.; Wei, J.; Jin, S.; Gao, X.; Sun, G.; Yan, J.; Lu, Q. Study on sediment erosion generated by a deep-sea polymetallic-nodule collector based on double-row jet. Ocean Eng. 2023, 285, 115220. [Google Scholar] [CrossRef]
- Chen, J.Q.; Zhang, G.H.; Si, J.-H.; Shi, H.; Wang, X. Experimental investigation of scour of sand beds by submerged circular vertical turbulent jets. Ocean Eng. 2022, 257, 111625. [Google Scholar] [CrossRef]
- Wang, C.; Wang, X.K.; Shi, W.; Lu, W.; Tan, S.K.; Zhou, L. Experimental investigation on impingement of a submerged circular water jet at varying impinging angles and Reynolds numbers. Exp. Therm. Fluid Sci. 2017, 89, 189–198. [Google Scholar] [CrossRef]
- Kartal, V.; Emiroglu, M.E. Effect of nozzle type on local scour in water jets: An experimental study. Ocean Eng. 2023, 277, 114323. [Google Scholar] [CrossRef]
- Hu, B.; Wang, H.; Liu, J.; Zhu, Y.; Wang, C.; Ge, J.; Zhang, Y. A Numerical Study of a Submerged Water Jet Impinging on a Stationary Wall. J. Mar. Sci. Eng. 2022, 10, 228. [Google Scholar] [CrossRef]
- Kartal, V.; Emiroglu, M. Local scour due to water jet from a nozzle with plates. Acta Geophys. 2021, 69, 95–112. [Google Scholar] [CrossRef]
- Bang, D.P.V.; Zapata, M.U.; Gauthier, G.; Gondret, P.; Zhang, W.; Nguyen, K.D. Two-Phase Flow Modeling for Bed Erosion by a Plane Jet Impingement. Water 2022, 14, 3290. [Google Scholar] [CrossRef]
- Mao, J.Y.; Si, J.H.; Chen, J.; Li, G.; Wang, X. Experimental investigation on sand bed scour by an oblique planar water jet at varying impinging angles. Ocean Eng. 2023, 279, 114526. [Google Scholar] [CrossRef]
- Hou, J.; Zhang, L.; Gong, Y.; Ning, D.; Zhang, Z. Theoretical and experimental study of scour depth by submerged water jet. Adv. Mech. Eng. 2016, 8, 1687814016682392. [Google Scholar] [CrossRef]
- Wang, H.L.; Jia, X.W.; Wang, C.; Hu, B.; Cao, W.; Li, S.; Wang, H. Study on the Sand-Scouring Characteristics of Pulsed Submerged Jets Based on Experiments and Numerical Methods. J. Mar. Sci. Eng. 2023, 12, 57. [Google Scholar] [CrossRef]
- Wang, C.; Jia, X.W.; Peng, Y.; Gao, Z.; Yu, H. Transient Sand Scour Dynamics Induced by Pulsed Submerged Water Jets: Simulation Analysis. J. Mar. Sci. Eng. 2024, 12, 2041. [Google Scholar] [CrossRef]
- Feng, C.; Kong, L.R.; Wang, Y.; Lu, J. Experimental study on scouring by submerged pulsed waterjet vertically impinging on cohesive bed. Ocean Eng. 2024, 298, 117308. [Google Scholar] [CrossRef]
- Taştan, K.; Koçak, P.P.; Yildirim, N. Effect of the bed-sediment layer on the scour caused by a jet. Arab. J. Sci. Eng. 2016, 41, 4029–4037. [Google Scholar] [CrossRef]
- Mohr, H.; Draper, S.; Cheng, L.; White, D. Predicting the rate of scour beneath subsea pipelines in marine sediments under steady flow conditions. Coast. Eng. 2016, 110, 111–126. [Google Scholar] [CrossRef]
- Mohr, H.; Stanier, S.A.; White, D.J.; Kuo, M. The variability of marine sediment erodibility with depth: Centimetric scale effects detected from portable erosion flume tests. Appl. Ocean Res. 2021, 113, 102721. [Google Scholar] [CrossRef]
- Dong, C.M.; Yu, G.L.; Zhang, H.; Zhang, M. Scouring by submerged steady water jet vertically impinging on a cohesive bed. Ocean Eng. 2020, 196, 106781. [Google Scholar] [CrossRef]
- Feng, C.; Kong, L.R.; Wang, Y.; Li, K.; Gao, Y. Numerical simulation of cohesive bed impinging by submerged pulsed and continuous waterjet based on SPH algorithm. Ocean Eng. 2024, 314, 119720. [Google Scholar] [CrossRef]
- Chen, C.; Pan, D.B.; Yang, L.; Zhang, H.; Li, B.; Jin, C.; Li, X.; Cheng, Y.; Zhong, X. Investigation into the Water Jet Erosion Efficiency of Hydrate-Bearing Sediments Based on the Arbitrary Lagrangian-Eulerian Method. Appl. Sci. 2019, 9, 182. [Google Scholar] [CrossRef]
- Zapata, M.U.; Bang, D.P.V.; Nguyen, K. Parallel simulations for a 2D x/z two-phase flow fluid-solid particle model. Comput. Fluids 2018, 173, 103–110. [Google Scholar] [CrossRef]
- Wang, B.Y.; Rhee, C.V.; Nobel, A.; Keetels, G. Modeling the hydraulic excavation of cohesive soil by a moving vertical jet. Ocean Eng. 2021, 227, 108796. [Google Scholar] [CrossRef]
- Qian, Z.D.; Hu, X.Q.; Huai, W.; Xue, W. Numerical simulation of sediment erosion by submerged jets using an Eulerian model. Sci. China Technol. Sci. 2010, 53, 3324–3330. [Google Scholar] [CrossRef]
- Yuan, Q.Q.; Zhao, M.; Wang, C.; Ge, T. Numerical study of sand scour with a modified Eulerian model based on incipient motion theory. Mar. Georesour. Geotechnol. 2018, 36, 818–826. [Google Scholar] [CrossRef]
- Tavouktsoglou, N.S.; Dimakopoulos, A.; Spearman, J.; Whitehouse, R.J.S. Application of Two Phase Eulerian CFD Model to Simulate High Velocity Jet Induced Scour. In Proceedings of the ASME 2020 39th International Conference on Ocean, Offshore and Arctic Engineering, Virtual Online, 3–7 August 2020; Volume 8. [Google Scholar]
- Wu, Z.Q.; Zhang, X.Z.; Jin, S.; Liu, J.; Liu, X.; Li, L.; Chen, F.; Chen, X.; Wei, J.; Li, H. Analysis of sediment disturbance and plume dispersion characteristics induced by deep-sea polymetallic nodule hydraulic collectors. Appl. Ocean Res. 2025, 156, 104462. [Google Scholar] [CrossRef]
- He, S.D.; Peng, Y.D.; Jin, Y.; Yan, J.; Wan, B. Simulated and Experimental Study of Seabed Sediments Sampling Parameters Based on the VOF Method. Chin. J. Mech. Eng. 2022, 35, 41. [Google Scholar] [CrossRef]

















| Characteristic Parameter | Value |
|---|---|
| Particle size/mm | 0.005–0.016 |
| Density (Su)/g·cm−1 | 1.47 |
| Density (Sl)/g·cm−1 | 1.65 |
| Viscosity (Su)/Pa·s | 22.9 |
| Viscosity (Sl)/Pa·s | 44.3 |
| Moisture content (Su) | 138% |
| Moisture content (Sl) | 109% |
| Number of Grids | Volume Fraction | Error with Previous Result | |
|---|---|---|---|
| Grid 1 | 1.01 × 106 | 4.846% | - |
| Grid 2 | 1.43 × 106 | 5.776% | 19.19% |
| Grid 3 | 1.80 × 106 | 6.348% | 9.9% |
| Grid 4 | 2.37 × 106 | 6.421% | 1.1% |
Disclaimer/Publisher’s Note: The statements, opinions and data contained in all publications are solely those of the individual author(s) and contributor(s) and not of MDPI and/or the editor(s). MDPI and/or the editor(s) disclaim responsibility for any injury to people or property resulting from any ideas, methods, instructions or products referred to in the content. |
© 2025 by the authors. Licensee MDPI, Basel, Switzerland. This article is an open access article distributed under the terms and conditions of the Creative Commons Attribution (CC BY) license (https://creativecommons.org/licenses/by/4.0/).
Share and Cite
Wang, G.; Liu, C.; Cheng, Y.; Chen, B.; Zhu, X.; Zhang, Y.; Dai, Y. Erosion Behavior of Cohesive Deep-Sea Sediments Under Submerged Water Jets: Numerical Simulation and Experimental Validation. Appl. Sci. 2025, 15, 9832. https://doi.org/10.3390/app15179832
Wang G, Liu C, Cheng Y, Chen B, Zhu X, Zhang Y, Dai Y. Erosion Behavior of Cohesive Deep-Sea Sediments Under Submerged Water Jets: Numerical Simulation and Experimental Validation. Applied Sciences. 2025; 15(17):9832. https://doi.org/10.3390/app15179832
Chicago/Turabian StyleWang, Gang, Chenglong Liu, Yangrui Cheng, Bingzheng Chen, Xiang Zhu, Yanyang Zhang, and Yu Dai. 2025. "Erosion Behavior of Cohesive Deep-Sea Sediments Under Submerged Water Jets: Numerical Simulation and Experimental Validation" Applied Sciences 15, no. 17: 9832. https://doi.org/10.3390/app15179832
APA StyleWang, G., Liu, C., Cheng, Y., Chen, B., Zhu, X., Zhang, Y., & Dai, Y. (2025). Erosion Behavior of Cohesive Deep-Sea Sediments Under Submerged Water Jets: Numerical Simulation and Experimental Validation. Applied Sciences, 15(17), 9832. https://doi.org/10.3390/app15179832

