A Statistical Optimization Method for Sound Speed Profiles Inversion in the South China Sea Based on Acoustic Stability Pre-Clustering
Abstract
1. Introduction
- Proposed a new method for extracting disturbance features and pre-clustering acoustic stability, which effectively solves the problem of uneven distribution in sample division by traditional grids.
- Based on the random distribution characteristics of the Empirical Orthogonal Function (EOF) in the South China Sea, revealed significant differences in dynamic features among different clustering categories, provided a new perspective for acoustic stability analysis, and further improved the accuracy of sound speed profile inversion in the South China Sea region.
- Through the correlation analysis between statistical clustering and physical mechanisms, clarified the rationality of clustering results as key factors affecting acoustic stability.
2. Materials and Methods
2.1. Sound Speed Profile Dimensionality Reduction Method
2.2. Acoustic Stability Method
2.3. Empirical Orthogonal Function Consistency Analysis of Sound Speed Profiles in the South China Sea Based on K-Means Clustering Analysis
2.4. Sound Speed Profile Data
2.5. Sea Surface Data
3. Results
3.1. Inversion Effect of Sound Speed Profiles After Clustering
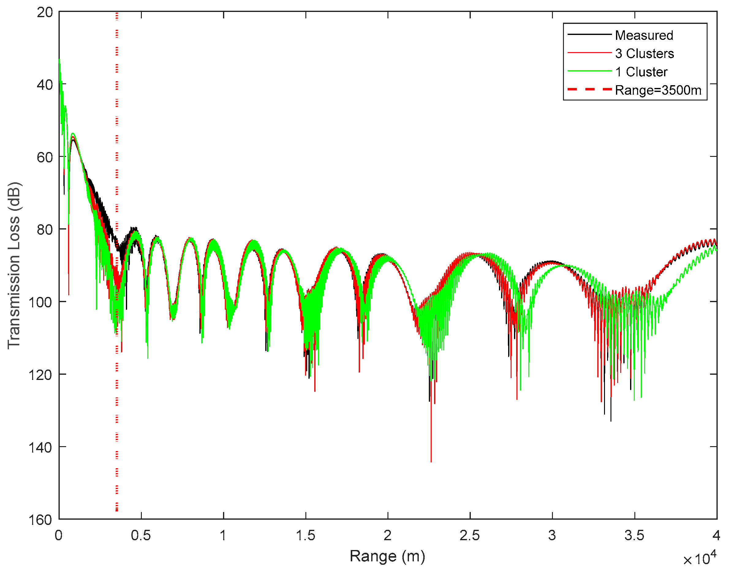
3.2. Transmission Loss Simulation
4. Conclusions
Author Contributions
Funding
Data Availability Statement
Conflicts of Interest
References
- Porter, M.B.; Bucker, H.P. Gaussian beam tracing for computing ocean acoustic fields. J. Acoust. Soc. Am. 1987, 82, 1349–1359. [Google Scholar] [CrossRef]
- Zhang, S.; Xu, X.; Xu, D.; Long, K.; Shen, C.; Tian, C. The design and calibration of a low-cost underwater sound velocity profiler. Front. Mar. Sci. 2022, 9, 996299. [Google Scholar] [CrossRef]
- GmbH, S.S.T. Sea & Sun Technology CTD Probes. 2023. Available online: https://www.sea-sun-tech.com/ (accessed on 1 June 2024).
- Tolstoy, A.; Diachok, O.; Frazer, L. Acoustic tomography via matched field processing. J. Acoust. Soc. Am. 1991, 89, 1119–1127. [Google Scholar] [CrossRef]
- Taroudakis, M.I.; Markaki, M.G. Matched field ocean acoustic tomography using genetic algorithms. In Acoustical Imaging; Springer: Berlin/Heidelberg, Germany, 1995; pp. 601–606. [Google Scholar] [CrossRef]
- Taroudakis, M.I. On the use of matched-field processing and hybrid algorithms for vertical slice tomography. J. Acoust. Soc. Am. 1997, 102, 885. [Google Scholar] [CrossRef]
- Stephan, Y.; Thiria, S.; Badran, F. Inverting tomographic data with neural nets. In Proceedings of the ‘Challenges of Our Changing Global Environment’. Conference Proceedings. OCEANS ‘95 MTS/IEEE, San Diego, CA, USA, 9–12 October 1995. [Google Scholar] [CrossRef]
- Huang, W.; Li, D.; Jiang, P. Underwater sound speed inversion by joint artificial neural network and ray theory. In The Thirteenth ACM International Conference; ACM: New York, NY, USA, 2018. [Google Scholar] [CrossRef]
- Lu, J.; Zhang, H.; Wu, P.; Li, S.; Huang, W. Predictive modeling of future full-ocean depth SSPs utilizing hierarchical long short-term memory neural networks. J. Mar. Sci. Eng. 2024, 12, 943. [Google Scholar] [CrossRef]
- Chapman, C.; Charantonis, A.A. Reconstruction of Subsurface Velocities From Satellite Observations Using Iterative Self-Organizing Maps. Geosci. Remote Sens. Lett. 2017, 14, 617–620. [Google Scholar] [CrossRef]
- Su, H.; Yang, X.; Lu, W.; Yan, X.-H. Estimating subsurface thermohaline structure of the global ocean using surface remote sensing observations. Remote Sens. 2019, 11, 1598. [Google Scholar] [CrossRef]
- Ou, Z.; Qu, K.; Wang, Y.; Zhou, J. Estimating sound speed profile by combining satellite data with in situ sea surface observations. Electronics 2022, 11, 3271. [Google Scholar] [CrossRef]
- Carnes, M.R.; Mitchell, J.L.; de Witt, P.W. Synthetic temperature profiles derived from Geosat altimetry: Comparison with air-dropped expendable bathythermograph profiles. J. Geophys. Res. Ocean. 1990, 95, 17979–17992. [Google Scholar] [CrossRef]
- Carnes, M.R.; Teague, W.J.; Mitchell, J.L. Inference of Subsurface Thermohaline Structure from Fields Measurable by Satellite. J. Atmos. Ocean. Technol. 1994, 11, 551–566. [Google Scholar] [CrossRef]
- Chen, C.; Ma, Y.; Liu, Y. Reconstructing Sound Speed Profiles Worldwide with Sea Surface Data. Appl. Ocean Res. 2018, 77, 26–33. [Google Scholar] [CrossRef]
- Li, W.; Alves, T.M.; Wu, S.; Völker, D.; Zhao, F.; Mi, L.; Kopf, A. Recurrent slope failure and submarine channel incision as key factors controlling reservoir potential in the South China Sea (Qiongdongnan Basin, South Hainan Island). Mar. Pet. Geol. 2015, 64, 17–30. [Google Scholar] [CrossRef]
- Weller, M.D. Subtidal Variability in the Northern South China Sea during Spring 2001. Master’s Thesis, Naval Postgraduate School, Monterey, CA, USA, 2005. [Google Scholar]
- Yuan, D.L. A numerical study of the South China Sea deep circulation and its relation to the Luzon Strait transport. Acta Oceanol. Sin. 2002, 21, 187–202. [Google Scholar]
- Wang, D.; Wang, Q.; Cai, S.; Shang, X.; Peng, S.; Shu, Y.; Xiao, J.; Xie, X.; Zhang, Z.; Liu, Z.; et al. Advances in research of the mid-deep South China Sea circulation. Sci. China Earth Sci. 2019, 62, 1992–2004. [Google Scholar] [CrossRef]
- Mai, H.; Wang, D.; Chen, H.; Qiu, C.; Xu, H.; Shang, X.; Zhang, W. Mid-Deep Circulation in the Western South China Sea and the Impacts of the Central Depression Belt and Complex Topography. J. Mar. Sci. Eng. 2024, 12, 700. [Google Scholar] [CrossRef]
- Michael, B.; Peter, G. Dictionary learning of sound speed profiles. J. Acoust. Soc. Am. 2017, 141, 1749–1758. [Google Scholar] [CrossRef]
- Shudong, H.; Zhao, K.; Zenglin, X.; Liu, Q. Robust Deep K-Means: An Effective and Simple Method for Data Clustering. Pattern Recognit. 2021, 117, 107996. [Google Scholar] [CrossRef]
- Ou, Z.; Qu, K. Research on sound speed profile estimation method in the South China Sea based on K-means clustering analysis and single empirical orthogonal function regression. Tech. Acoust. 2022, 41, 821–826. [Google Scholar] [CrossRef]





Disclaimer/Publisher’s Note: The statements, opinions and data contained in all publications are solely those of the individual author(s) and contributor(s) and not of MDPI and/or the editor(s). MDPI and/or the editor(s) disclaim responsibility for any injury to people or property resulting from any ideas, methods, instructions or products referred to in the content. |
© 2025 by the authors. Licensee MDPI, Basel, Switzerland. This article is an open access article distributed under the terms and conditions of the Creative Commons Attribution (CC BY) license (https://creativecommons.org/licenses/by/4.0/).
Share and Cite
Zhang, Z.; Qu, K.; Li, Z. A Statistical Optimization Method for Sound Speed Profiles Inversion in the South China Sea Based on Acoustic Stability Pre-Clustering. Appl. Sci. 2025, 15, 8451. https://doi.org/10.3390/app15158451
Zhang Z, Qu K, Li Z. A Statistical Optimization Method for Sound Speed Profiles Inversion in the South China Sea Based on Acoustic Stability Pre-Clustering. Applied Sciences. 2025; 15(15):8451. https://doi.org/10.3390/app15158451
Chicago/Turabian StyleZhang, Zixuan, Ke Qu, and Zhanglong Li. 2025. "A Statistical Optimization Method for Sound Speed Profiles Inversion in the South China Sea Based on Acoustic Stability Pre-Clustering" Applied Sciences 15, no. 15: 8451. https://doi.org/10.3390/app15158451
APA StyleZhang, Z., Qu, K., & Li, Z. (2025). A Statistical Optimization Method for Sound Speed Profiles Inversion in the South China Sea Based on Acoustic Stability Pre-Clustering. Applied Sciences, 15(15), 8451. https://doi.org/10.3390/app15158451

