Ultrasonic Processing and Its Impact on the Rheology and Physical Stability of Flaxseed Fiber Dispersions
Abstract
Featured Application
Abstract
1. Introduction
2. Materials and Methods
2.1. Materials and Preparation of Samples
2.2. Characterization of Samples
2.2.1. Rheological Characterization
2.2.2. Physical Stability
2.3. Statistical Analysis
3. Results and Discussion
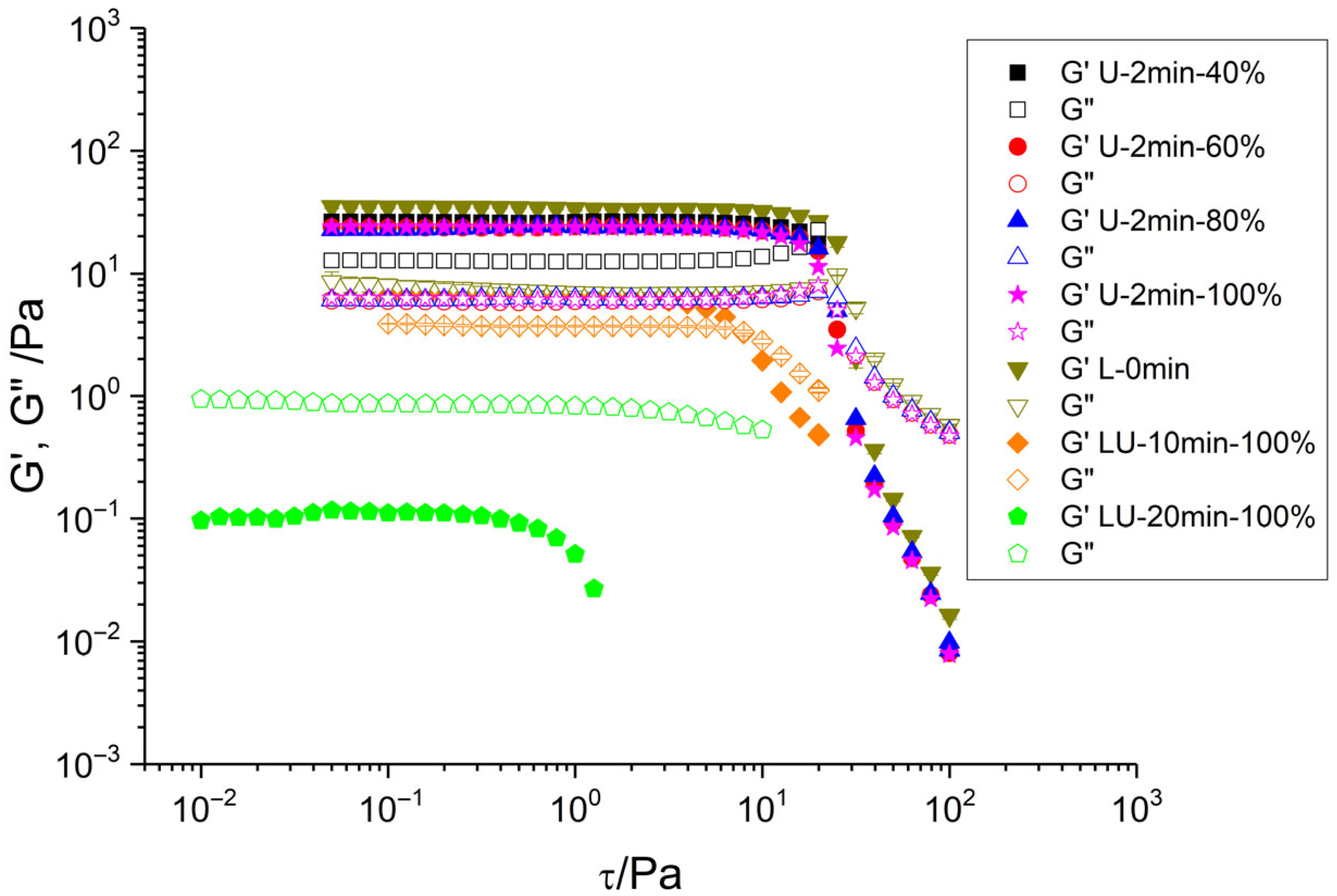
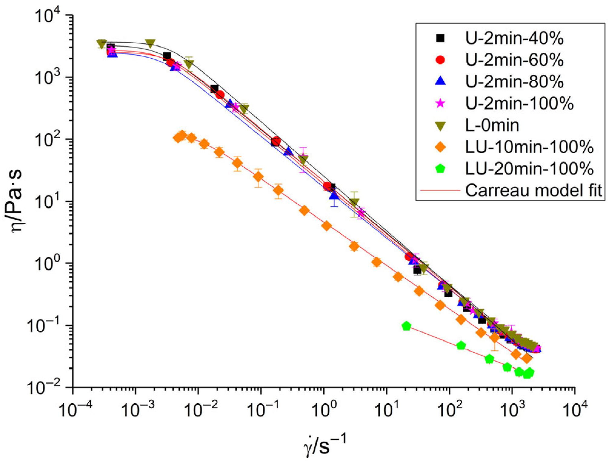
3.1. Rheological Properties of Aqueous Dispersions of Flaxseed Fiber Submitted to Ultrasonic Homogenization
3.2. Physical Stability of Aqueous Dispersions of Flaxseed Fiber Submitted to Ultrasonic Homogenization
4. Conclusions
Author Contributions
Funding
Institutional Review Board Statement
Informed Consent Statement
Data Availability Statement
Acknowledgments
Conflicts of Interest
References
- Lattimer, J.M.; Haub, M.D. Effects of dietary fiber and its components on metabolic health. Nutrients 2010, 2, 1266–1289. [Google Scholar] [CrossRef]
- Bartrina, J.A.; Majem, L.S. Objetivos nutricionales para la población española: Consenso de la Sociedad Española de Nutrición Comunitaria 2011. Rev. Esp. Nutr. Comunitaria 2011, 17, 178–199. [Google Scholar]
- Veronese, N.; Solmi, M.; Caruso, M.G.; Giannelli, G.; Osella, A.R.; Evangelou, E.; Maggi, S.; Fontana, L.; Stubbs, B.; Tzoulaki, I. Dietary fiber and health outcomes: An umbrella review of systematic reviews and meta-analyses. Am. J. Clin. Nutr. 2018, 107, 436–444. [Google Scholar] [CrossRef] [PubMed]
- Reynolds, A.; Mann, J.; Cummings, J.; Winter, N.; Mete, E.; Te Morenga, L. Carbohydrate quality and human health: A series of systematic reviews and meta-analyses. Lancet 2019, 393, 434–445. [Google Scholar] [CrossRef] [PubMed]
- Trowell, H. Ischemic heart disease and dietary fiber. Am. J. Clin. Nutr. 1972, 25, 926–932. [Google Scholar] [CrossRef]
- Montes, E.M.; Islán, Á.P.M. La fibra dietética procesada como alimento funcional: Fomento de su consumo desde la oficina de farmacia. Offarm Farm. Soc. 2007, 26, 70–77. [Google Scholar]
- Macagnan, F.T.; da Silva, L.P.; Hecktheuer, L.H. Dietary fibre: The scientific search for an ideal definition and methodology of analysis, and its physiological importance as a carrier of bioactive compounds. Food Res. Int. 2016, 85, 144–154. [Google Scholar] [CrossRef]
- Zielinski, G.; DeVries, J.W.; Craig, S.A.; Bridges, A.R. Dietary fiber methods in Codex Alimentarius: Current status and ongoing discussions. Cereal Foods World 2013, 58, 148–152. [Google Scholar] [CrossRef]
- Wang, M.; Wichienchot, S.; He, X.; Fu, X.; Huang, Q.; Zhang, B. In vitro colonic fermentation of dietary fibers: Fermentation rate, short-chain fatty acid production and changes in microbiota. Trends Food Sci. Technol. 2019, 88, 1–9. [Google Scholar] [CrossRef]
- Kaewmanee, T.; Bagnasco, L.; Benjakul, S.; Lanteri, S.; Morelli, C.F.; Speranza, G.; Cosulich, M.E. Characterisation of mucilages extracted from seven Italian cultivars of flax. Food Chem. 2014, 148, 60–69. [Google Scholar] [CrossRef]
- Oomah, B.D.; Kenaschuk, E.O.; Cui, W.; Mazza, G. Variation in the composition of water-soluble polysaccharides in flaxseed. J. Agric. Food Chem. 1995, 43, 1484–1488. [Google Scholar] [CrossRef]
- Cui, W.; Mazza, G. Physicochemical characteristics of flaxseed gum. Food Res. Int. 1996, 29, 397–402. [Google Scholar] [CrossRef]
- Liu, J.; Shim, Y.Y.; Timothy, J.T.; Wang, Y.; Reaney, M.J. Flaxseed gum a versatile natural hydrocolloid for food and non-food applications. Trends Food Sci. Technol. 2018, 75, 146–157. [Google Scholar] [CrossRef]
- Hu, Y.; Shim, Y.Y.; Reaney, M.J. Flaxseed gum solution functional properties. Foods 2020, 9, 681. [Google Scholar] [CrossRef]
- Mazza, G.; Biliaderis, C.G. Functional properties of flax seed mucilage. J. Food Sci. 1989, 54, 1302–1305. [Google Scholar] [CrossRef]
- Chen, H.H.; Xu, S.Y.; Wang, Z. Gelation properties of flaxseed gum. J. Food Eng. 2006, 77, 295–303. [Google Scholar] [CrossRef]
- Sudha, M.L.; Baskaran, V.; Leelavathi, K. Apple pomace as a source of dietary fiber and polyphenols and its effect on the rheological characteristics and cake making. Food Chem. 2007, 104, 686–692. [Google Scholar] [CrossRef]
- Tomaschunas, M.; Zörb, R.; Fischer, J.; Köhn, E.; Hinrichs, J.; Busch-Stockfisch, M. Changes in sensory properties and consumer acceptance of reduced fat pork Lyon-style and liver sausages containing inulin and citrus fiber as fat replacers. Meat Sci. 2013, 95, 629–640. [Google Scholar] [CrossRef]
- García, M.L.; Cáceres, E.; Selgas, M.D. Utilisation of fruit fibres in conventional and reduced-fat cooked-meat sausages. J. Sci. Food Agric. 2007, 87, 624–631. [Google Scholar] [CrossRef]
- Sendra, E.; Kuri, V.; Fernández-López, J.; Sayas-Barberá, E.; Navarro, C.; Pérez-Alvarez, J. Viscoelastic properties of orange fiber enriched yogurt as a function of fiber dose, size and thermal treatment. LWT—Food Sci. Technol. 2010, 43, 708–714. [Google Scholar] [CrossRef]
- Goyal, A.; Sharma, V.; Upadhyay, N.; Gill, S.; Sihag, M. Flax and flaxseed oil: An ancient medicine & modern functional food. J. Food sci. Technol. 2014, 51, 1633–1653. [Google Scholar]
- Hadi, A.; Askarpour, M.; Ziaei, R.; Venkatakrishnan, K.; Ghaedi, E.; Ghavami, A. Impact of flaxseed supplementation on plasma lipoprotein (a) concentrations: A systematic review and meta-analysis of randomized controlled trials. Phytother. Res. 2020, 34, 1599–1608. [Google Scholar] [CrossRef]
- Toulabi, T.; Yarahmadi, M.; Goudarzi, F.; Ebrahimzadeh, F.; Momenizadeh, A.; Yarahmadi, S. Effects of flaxseed on blood pressure, body mass index, and total cholesterol in hypertensive patients: A randomized clinical trial. Explore 2022, 18, 438–445. [Google Scholar] [CrossRef]
- Katare, C.; Saxena, S.; Agrawal, S.; Prasad, G.B.K.S.; Bisen, P.S. Flax seed: A potential medicinal food. J. Nutr. Food Sci. 2012, 2, 120. [Google Scholar] [CrossRef]
- Khalesi, S.; Irwin, C.; Schubert, M. Flaxseed consumption may reduce blood pressure: A systematic review and meta-analysis of controlled trials. J. Nutr. 2015, 145, 758–765. [Google Scholar] [CrossRef]
- Oomah, B.D.; Mazza, G. Compositional changes during comercial processing of flaxseed. Ind. Crop. Prod. 1998, 9, 29–37. [Google Scholar] [CrossRef]
- Bloedon, L.T.; Balikai, S.; Chittams, J.; Cunnane, S.C.; Berlin, J.A.; Rader, D.J.; Szapary, P.O. Flaxseed and cardiovascular risk factors: Results from a double blind, randomized, controlled clinical trial. J. Am. Coll. Nutr. 2008, 27, 65–74. [Google Scholar] [CrossRef] [PubMed]
- Ursoniu, S.; Sahebkar, A.; Andrica, F.; Serban, C.; Banach, M.; Lipid and Blood Pressure Meta-analysis Collaboration. Effects of flaxseed supplements on blood pressure: A systematic review and meta-analysis of controlled clinical trial. Clin. Nutr. 2016, 35, 615–625. [Google Scholar] [CrossRef] [PubMed]
- Calado, A.; Neves, P.M.; Santos, T.; Ravasco, P. The effect of flaxseed in breast cancer: A literature review. Front. Nutr. 2018, 5, 4. [Google Scholar] [CrossRef] [PubMed]
- Spotti, M.J.; Campanella, O.H. Functional modifications by physical treatments of dietary fibers used in food formulations. Curr. Opin. Food Sci. 2017, 15, 70–78. [Google Scholar] [CrossRef]
- Gan, J.; Xie, L.; Peng, G.; Xie, J.; Chen, Y.; Yu, Q. Systematic review on modification methods of dietary fiber. Food Hydrocolloid 2021, 119, 106872. [Google Scholar] [CrossRef]
- Ferrer, A.; Filpponen, I.; Rodríguez, A.; Laine, J.; Rojas, O.J. Valorization of residual Empty Palm Fruit Bunch Fibers (EPFBF) by microfluidization: Production of nanofibrillated cellulose and EPFBF nanopaper. Bioresour. Technol. 2012, 125, 249–255. [Google Scholar] [CrossRef] [PubMed]
- Wang, T.; Sun, X.; Raddatz, J.; Chen, G. Effects of microfluidization on microstructure and physicochemical properties of corn bran. J. Cereal Sci. 2013, 58, 355–361. [Google Scholar] [CrossRef]
- Mert, B.; Tekin, A.; Demirkesen, I.; Kocak, G. Production of microfluidized wheat bran fibers and evaluation as an ingredient in reduced flour bakery product. Food Bioprocess Technol. 2014, 7, 2889–2901. [Google Scholar] [CrossRef]
- Rosa-Sibakov, N.; Sibakov, J.; Lahtinen, P.; Poutanen, K. Wet grinding and microfluidization of wheat bran preparations: Improvement of dispersion stability by structural disintegration. J. Cereal Sci. 2015, 64, 1–10. [Google Scholar] [CrossRef]
- De Bondt, Y.; Rosa-Sibakov, N.; Liberloo, I.; Roye, C.; Van de Walle, D.; Dewettinck, K.; Goos, P.; Nordlund, E.; Courtin, C.M. Study into the effect of microfluidisation processing parameters on the physicochemical properties of wheat (Triticum aestivum L.) bran. Food Chem. 2020, 305, 125436. [Google Scholar] [CrossRef]
- Andersson, A.A.; Andersson, R.; Jonsäll, A.; Andersson, J.; Fredriksson, H. Effect of different extrusion parameters on dietary fiber in wheat bran and rye bran. J. Food Sci. 2017, 82, 1344–1350. [Google Scholar] [CrossRef]
- Fan, L.; Ma, S.; Wang, X.; Zheng, X. Improvement of Chinese noodle quality by supplementation with arabinoxylans from wheat bran. Int. J. Food Sci. Technol. 2016, 51, 602–608. [Google Scholar] [CrossRef]
- Wang, H.; Huang, T.; Tu, Z.C.; Lin, D. The adsorption of lead (II) ions by dynamic high pressure micro-fluidization treated insoluble soybean dietary fiber. J. Food Sci. Technol. 2016, 53, 2532–2539. [Google Scholar] [CrossRef]
- Zhang, W.; Zeng, G.; Pan, Y.; Chen, W.; Huang, W.; Chen, H.; Li, Y. Properties of soluble dietary fiber-polysaccharide from papaya peel obtained through alkaline or ultrasound-assisted alkaline extraction. Carbohydr. Polym. 2017, 172, 102–112. [Google Scholar] [CrossRef]
- Zhu, X.; Lundberg, B.; Cheng, Y.; Shan, L.; Xing, J.; Peng, P.; Chen, P.; Huang, X.; Li, D.; Ruan, R. Effect of high-pressure homogenization on the flow properties of citrus peel fibers. J. Food Process Eng. 2018, 41, e12659. [Google Scholar] [CrossRef]
- Zhang, Y.; Liao, J.; Qi, J. Functional and structural properties of dietary fiber from citrus peel affected by the alkali combined with high-speed homogenization treatment. LWT 2020, 128, 109397. [Google Scholar] [CrossRef]
- Lupi, F.R.; Puoci, F.; Bruno, E.; Baldino, N.; Marino, R.; Gabriele, D. The effects of process conditions on rheological properties of functional citrus fibre suspensions. Food Bioprod. Process. 2020, 121, 54–64. [Google Scholar] [CrossRef]
- Alfaro-Rodríguez, M.C.; García, M.C.; Prieto-Vargas, P.; Muñoz, J. Rheological Properties and Physical Stability of Aqueous Dispersions of Flaxseed Fibers. Gels 2024, 10, 787. [Google Scholar] [CrossRef]
- Li, R.; Feke, D.L. Rheological and kinetic study of the ultrasonic degradation of xanthan gum in aqueous solution: Effects of pyruvate group. Carbohyd. Polym. 2015, 124, 216–221. [Google Scholar] [CrossRef]
- Kaombe, D.D.; Lenes, M.; Toven, K.; Glomm, W.R. Turbiscan as a tool for studying the phase separation tendency of pyrolysis oil. Energy Fuels 2013, 27, 1446–1452. [Google Scholar] [CrossRef]
- Bengtsson, H.; Tornberg, E.V.A. Physicochemical characterization of fruit and vegetable fiber suspensions. I: Effect of homogenization. J. Texture Stud. 2011, 42, 268–280. [Google Scholar] [CrossRef]
- Rincón, F.; Muñoz, J.; Ramírez, P.; Galán, H.; Alfaro, M.C. Physicochemical and rheological characterization of Prosopis juliflora seed gum aqueous dispersions. Food Hydrocolloid 2014, 35, 348–357. [Google Scholar] [CrossRef]
- Moelants, K.R.; Cardinaels, R.; Jolie, R.P.; Verrijssen, T.A.; Van Buggenhout, S.; Zumalacarregui, L.M.; Van Loey, A.M.; Moldenaers, P.; Hendrickx, M.E. Relation between particle properties and rheological characteristics of carrot-derived suspensions. Food Bioprocess Technol. 2013, 6, 1127–1143. [Google Scholar] [CrossRef]
- Li, L.; Ma, S.; Fan, L.; Zhang, C.; Pu, X.; Zheng, X.; Wang, X. The influence of ultrasonic modification on arabinoxylans properties obtained from wheat bran. Int. J. Food Sci. Technol. 2016, 51, 2338–2344. [Google Scholar] [CrossRef]
- García, M.C.; Trujillo, L.A.; Muñoz, J.; Alfaro, M.C. Gellan gum fluid gels: Influence of the nature and concentration of gel-promoting ions on rheological properties. Colloid Polym. Sci. 2018, 296, 1741–1748. [Google Scholar] [CrossRef]
- Alavi, F.; Emam-Djomeh, Z.; Salami, M.; Mohammadian, M. Effect of microbial transglutaminase on the mechanical properties and microstructure of acid-induced gels and emulsion gels produced from thermal denatured egg white proteins. Int. J. Biol. Macromol. 2020, 153, 523–532. [Google Scholar] [CrossRef] [PubMed]
- Capitani, M.I.; Corzo-Rios, L.J.; Chel-Guerrero, L.A.; Betancur-Ancona, D.A.; Nolasco, S.M.; Tomás, M.C. Rheological properties of aqueous dispersions of chia (Salvia hispanica L.) mucilage. J. Food Eng. 2015, 149, 70–77. [Google Scholar] [CrossRef]
- Wang, W.H.; Lu, C.P.; Kuo, M.I. Combination of ultrasound and heat in the extraction of chia seed (Salvia hispanica L.) mucilage: Impact on yield and technological properties. Processes 2022, 10, 519. [Google Scholar] [CrossRef]
- Oloruntoba, J.; Ampofo, J.; Ngadi, M. Effect of ultrasound pretreated hydrocolloid batters on quality attributes of fried chicken nuggets during post-fry holding la tenencia posterior a los alevines. Ultrason. Sonochem. 2022, 91, 106237. [Google Scholar] [CrossRef]
- Salehi, F.; Inanloodoghouz, M. Effects of ultrasonic intensity and time on rheological properties of different concentrations of xanthan gum solution. Int. J. Biol. Macromol. 2024, 263, 130456. [Google Scholar] [CrossRef]
- Willemsen, K.L.; Panozzo, A.; Moelants, K.; Cardinaels, R.; Wallecan, J.; Moldenaers, P.; Hendrickx, M. Effect of pH and salts on microstructure and viscoelastic properties of lemon peel acid insoluble fiber suspensions upon high pressure homogenization. Food Hydrocolloid 2018, 82, 144–154. [Google Scholar] [CrossRef]
- Celia, C.; Trapasso, E.; Cosco, D.; Paolino, D.; Fresta, M. Turbiscan Lab® Expert analysis of the stability of ethosomes® and ultradeformable liposomes containing a bilayer fluidizing agent. Colloid Surf. B-Biointerfaces 2009, 72, 155–160. [Google Scholar] [CrossRef]
- Muñoz, J.; Prieto-Vargas, P.; García, M.C.; Alfaro-Rodríguez, M.C. Effect of a Change in the CaCl2/Pectin Mass Ratio on the Particle Size, Rheology and Physical Stability of Lemon Essential Oil/W Emulgels. Foods 2023, 12, 1137. [Google Scholar] [CrossRef]





| Sample | Rotor–Stator Time (min) | Rotor–Stator Rate (rpm) | Ultrasound Amplitude (%) | Ultrasound Time (min) | Energy/Mass (J/g) |
|---|---|---|---|---|---|
| U-2min-40% | 0 | 0 | 40 | 2 | 6.64 |
| U-2min-60% | 0 | 0 | 60 | 2 | 31.17 |
| U-2min-80% | 0 | 0 | 80 | 2 | 44.15 |
| U-2min-100% | 0 | 0 | 100 | 2 | 61.88 |
| L-0min | 2 | 4000 | 0 | 0 | 62.70 |
| LU-10min-100% | 2 | 4000 | 100 | 10 | 408.75 |
| LU-20min-100% | 2 | 4000 | 100 | 20 | 712.50 |
| Sample | τc (Pa) | a ± SDa | b ± SDb | R2 |
|---|---|---|---|---|
| U-2min-40% | 12.6 | 24.51 ± 0.560 | 0.14 ± <0.01 | 0.999 |
| U-2min-60% | 12.6 | 22.01 ± 0.020 | 0.16 ± <0.01 | 0.999 |
| U-2min-80% | 12.6 | 21.59 ± 0.01 | 0.17 ± <0.01 | 0.999 |
| U-2min-100% | 12.6 | 21.21 ± 0.17 | 0.16 ± <0.01 | 0.998 |
| L-0min | 12.6 | 30.86 ± 0.05 | 0.13 ± <0.01 | 0.999 |
| LU-10min-100% | 3.9 | 8.95 ± 0.12 | 0.33 ± 0.01 | 0.995 |
| LU-20 min-100% | 0.4 | 0.20 ± 0.00 | 0.65 ± <0.01 | 0.998 |
| Sample | η0 (Pa·s) ± SDη0 | n ± SDn | R2 | |
|---|---|---|---|---|
| U-2min-40% | 3200 ± <0.1 | 2.4 × 10−3 ± 77.4 × 10−4 | 0.17 ± <0.01 | 0.990 |
| U-2min-60% | 2500 ± <0.1 | 3.5 × 10−3 ± 1.2 × 10−4 | 0.15 ± <0.01 | 0.996 |
| U-2min-80% | 2450 ± <0.1 | 2.3 × 10−3 ± 5.6 × 10−4 | 0.18 ± 0.02 | 0.955 |
| U-2min-100% | 2700 ± <0.1 | 2.7 × 10−3 ± 4.9 × 10−4 | 0.16 ± 0.01 | 0.962 |
| L-0min | 3690 ± 69.4 | 3.5 × 10−3 ± 2.4 × 10−4 | 0.13 ± <0.01 | 0.990 |
| LU-10min-100% | 122 ± 2.8 | 9.2 × 10−3 ± 6.3 × 10−4 | 0.30 ± <0.01 | 0.990 |
| LU-20min-100% | 118 ± 1.3 | 3.5 × 10−7 ± <1 × 10−4 | 0.60 ± 0.01 | 0.990 |
Disclaimer/Publisher’s Note: The statements, opinions and data contained in all publications are solely those of the individual author(s) and contributor(s) and not of MDPI and/or the editor(s). MDPI and/or the editor(s) disclaim responsibility for any injury to people or property resulting from any ideas, methods, instructions or products referred to in the content. |
© 2025 by the authors. Licensee MDPI, Basel, Switzerland. This article is an open access article distributed under the terms and conditions of the Creative Commons Attribution (CC BY) license (https://creativecommons.org/licenses/by/4.0/).
Share and Cite
Alfaro-Rodríguez, M.-C.; Garcia-González, M.-C.; Muñoz, J. Ultrasonic Processing and Its Impact on the Rheology and Physical Stability of Flaxseed Fiber Dispersions. Appl. Sci. 2025, 15, 8107. https://doi.org/10.3390/app15148107
Alfaro-Rodríguez M-C, Garcia-González M-C, Muñoz J. Ultrasonic Processing and Its Impact on the Rheology and Physical Stability of Flaxseed Fiber Dispersions. Applied Sciences. 2025; 15(14):8107. https://doi.org/10.3390/app15148107
Chicago/Turabian StyleAlfaro-Rodríguez, Maria-Carmen, Maria-Carmen Garcia-González, and José Muñoz. 2025. "Ultrasonic Processing and Its Impact on the Rheology and Physical Stability of Flaxseed Fiber Dispersions" Applied Sciences 15, no. 14: 8107. https://doi.org/10.3390/app15148107
APA StyleAlfaro-Rodríguez, M.-C., Garcia-González, M.-C., & Muñoz, J. (2025). Ultrasonic Processing and Its Impact on the Rheology and Physical Stability of Flaxseed Fiber Dispersions. Applied Sciences, 15(14), 8107. https://doi.org/10.3390/app15148107

