Improving Ride Comfort in Heavy-Duty Vehicles Through Performance-Guaranteed Control of Active Seat Suspension
Abstract
1. Introduction
2. System Modelling and Problem Formulation
2.1. Active Seat Suspension
2.2. System Modelling
2.3. Problem Formulation
3. Control Algorithm Synthesis
3.1. Preliminary
3.2. Adaptive Prescribed Performance Control
3.3. Suspension Performance
4. Control Algorithm Evaluation
4.1. Numerical Simulation
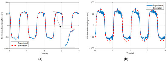
4.2. Experimental Validation
- (1)
- Original case: The shock absorbers remain untuned, preserving their factory-original state (approximate 370 N·s·m−1). The motor and gear reduction are not installed.
- (2)
- Passive case: The damping coefficient has been optimally adjusted based on the nominal model (Table 1), reaching approximately 600 N·s·m−1.
- (3)
- Active case: The damping coefficient has been appropriately reduced to meet the requirements of active control, with a value of approximately 400 N·s/m.
5. Conclusions
Author Contributions
Funding
Institutional Review Board Statement
Informed Consent Statement
Data Availability Statement
Acknowledgments
Conflicts of Interest
Appendix A


References
- Paddan, G.S.; Griffin, M.J. Effect of seating on exposures to whole-body vibration in vehicles. J. Sound Vib. 2002, 253, 215–241. [Google Scholar] [CrossRef]
- Wan, Y.; Schimmels, J.M. Improved vibration isolating seat suspension designs based on position-dependent nonlinear stiffness and damping characteristics. J. Dyn. Syst. Meas. Control Trans. ASME 2003, 125, 330–338. [Google Scholar] [CrossRef]
- Choi, S.B.; Han, Y.M. Vibration control of electrorheological seat suspension with human-body model using sliding mode control. J. Sound Vib. 2007, 303, 391–404. [Google Scholar] [CrossRef]
- Choi, S.B.; Nam, M.H.; Lee, B.K. Vibration control of a MR seat damper for commercial vehicles. J. Intell. Mater. Syst. Struct. 2001, 11, 936–944. [Google Scholar] [CrossRef]
- Sun, W.; Li, J.; Zhao, Y.; Gao, H. Vibration control for active seat suspension systems via dynamic output feedback with limited frequency characteristic. Mechatronics 2011, 21, 250–260. [Google Scholar] [CrossRef]
- Shao, X.; Naghdy, F.; Du, H.; Li, H. Output feedback H∞ control for active suspension of in-wheel motor driven electric vehicle with control faults and input delay. ISA Trans. 2019, 92, 94–108. [Google Scholar] [CrossRef]
- Van Der Sande, T.P.J.; Gysen, B.L.J.; Besselink, I.J.M.; Paulides, J.J.H.; Lomonova, E.A.; Nijmeijer, H. Robust control of an electromagnetic active suspension system: Simulations and measurements. Mechatronics 2013, 23, 204–212. [Google Scholar] [CrossRef]
- Wang, R.; Jing, H.; Karimi, H.R.; Chen, N. Robust fault-tolerant H<inf>∞</inf> control of active suspension systems with finite-frequency constraint. Mech. Syst. Signal Process. 2015, 62, 341–355. [Google Scholar] [CrossRef]
- Sun, W.; Gao, H.; Yao, B. Adaptive robust vibration control of full-car active suspensions with electrohydraulic actuators. IEEE Trans. Control Syst. Technol. 2013, 21, 2417–2422. [Google Scholar] [CrossRef]
- Basturk, H.I. A backstepping approach for an active suspension system. In Proceedings of the 2016 American Control Conference (ACC), Boston, MA, USA, 6–8 July 2016; pp. 7579–7584. [Google Scholar] [CrossRef]
- Sun, W.; Pan, H.; Zhang, Y.; Gao, H. Multi-objective control for uncertain nonlinear active suspension systems. Mechatronics 2014, 24, 318–327. [Google Scholar] [CrossRef]
- Pan, H.; Sun, W.; Jing, X.; Gao, H.; Yao, J. Adaptive tracking control for active suspension systems with non-ideal actuators. J. Sound Vib. 2017, 399, 2–20. [Google Scholar] [CrossRef]
- Pang, H.; Zhang, X.; Chen, J.; Liu, K. Design of a coordinated adaptive backstepping tracking control for nonlinear uncertain active suspension system. Appl. Math. Model. 2019, 76, 479–494. [Google Scholar] [CrossRef]
- Pan, H.; Jing, X.; Sun, W. Robust finite-time tracking control for nonlinear suspension systems via disturbance compensation. Mech. Syst. Signal Process. 2017, 88, 49–61. [Google Scholar] [CrossRef]
- Sun, W.; Zhao, Z.; Gao, H. Saturated adaptive robust control for active suspension systems. IEEE Trans. Ind. Electron. 2013, 60, 3889–3896. [Google Scholar] [CrossRef]
- Sun, W.; Gao, H.; Kaynak, O. Adaptive backstepping control for active suspension systems with hard constraints. IEEE/ASME Trans. Mechatron. 2013, 18, 1072–1079. [Google Scholar] [CrossRef]
- Sun, W.; Pan, H.; Gao, H. Filter-Based Adaptive Vibration Control for Active Vehicle Suspensions with Electrohydraulic Actuators. IEEE Trans. Veh. Technol. 2016, 65, 4619–4626. [Google Scholar] [CrossRef]
- Hua, C.; Chen, J.; Li, Y.; Li, L. Adaptive prescribed performance control of half-car active suspension system with unknown dead-zone input. Mech. Syst. Signal Process. 2018, 111, 135–148. [Google Scholar] [CrossRef]
- Pang, H.; Zhang, X.; Xu, Z. Adaptive backstepping-based tracking control design for nonlinear active suspension system with parameter uncertainties and safety constraints. ISA Trans. 2019, 88, 23–36. [Google Scholar] [CrossRef]
- Zheng, X.; Zhang, H.; Yan, H.; Yang, F.; Wang, Z.; Vlacic, L. Active Full-Vehicle Suspension Control via Cloud-Aided Adaptive Backstepping Approach. IEEE Trans. Cybern. 2020, 50, 3113–3124. [Google Scholar] [CrossRef]
- Liu, S.; Zhou, H.; Luo, X.; Xiao, J. Adaptive sliding fault tolerant control for nonlinear uncertain active suspension systems. J. Frankl. Inst. 2016, 353, 180–199. [Google Scholar] [CrossRef]
- Rath, J.J.; Defoort, M.; Karimi, H.R.; Veluvolu, K.C. Output Feedback Active Suspension Control with Higher Order Terminal Sliding Mode. IEEE Trans. Ind. Electron. 2017, 64, 1392–1403. [Google Scholar] [CrossRef]
- Wang, J.; Jin, F.; Zhou, L.; Li, P. Implementation of model-free motion control for active suspension systems. Mech. Syst. Signal Process. 2019, 119, 589–602. [Google Scholar] [CrossRef]
- Kilicaslan, S. Control of active suspension system considering nonlinear actuator dynamics. Nonlinear Dyn. 2018, 91, 1383–1394. [Google Scholar] [CrossRef]
- Li, H.; Zhang, Z.; Yan, H.; Xie, X. Adaptive Event-Triggered Fuzzy Control for Uncertain Active Suspension Systems. IEEE Trans. Cybern. 2018, 49, 4388–4397. [Google Scholar] [CrossRef]
- Ning, D.; Sun, S.; Zhang, F.; Du, H.; Li, W.; Zhang, B. Disturbance observer based Takagi-Sugeno fuzzy control for an active seat suspension. Mech. Syst. Signal Process. 2017, 93, 515–530. [Google Scholar] [CrossRef]
- Bououden, S.; Chadli, M.; Karimi, H.R. A Robust Predictive Control Design for Nonlinear Active Suspension Systems. Asian J. Control 2016, 18, 122–132. [Google Scholar] [CrossRef]
- Sun, W.; Li, Y.; Huang, J.; Zhang, N. Efficiency improvement of vehicle active suspension based on multi-objective integrated optimization. JVC/J. Vib. Control 2017, 23, 539–554. [Google Scholar] [CrossRef]
- Türkay, S.; Akçay, H. Aspects of achievable performance for quarter-car active suspensions. J. Sound Vib. 2008, 311, 440–460. [Google Scholar] [CrossRef]
- He, Y.; McPhee, J. Multidisciplinary design optimization of mechatronic vehicles with active suspensions. J. Sound Vib. 2005, 283, 217–241. [Google Scholar] [CrossRef]
- Liu, Y.-J.; Zeng, Q.; Tong, S.; Chen, C.L.P.; Liu, L. Adaptive Neural Network Control for Active Suspension Systems with Time-Varying Vertical Displacement and Speed Constraints. IEEE Trans. Ind. Electron. 2019, 66, 9458–9466. [Google Scholar] [CrossRef]
- Zhao, F.; Ge, S.S.; Tu, F.; Qin, Y.; Dong, M. Adaptive neural network control for active suspension system with actuator saturation. IET Control Theory Appl. 2016, 10, 1696–1705. [Google Scholar] [CrossRef]
- Li, H.; Liu, H.; Gao, H.; Shi, P. Reliable fuzzy control for active suspension systems with actuator delay and fault. IEEE Trans. Fuzzy Syst. 2012, 20, 342–357. [Google Scholar] [CrossRef]
- Huang, Y.; Na, J.; Wu, X.; Liu, X.; Guo, Y. Adaptive control of nonlinear uncertain active suspension systems with prescribed performance. ISA Trans. 2015, 54, 145–155. [Google Scholar] [CrossRef]
- Liu, Y.J.; Zeng, Q.; Liu, L.; Tong, S. An Adaptive Neural Network Controller for Active Suspension Systems with Hydraulic Actuator. IEEE Trans. Syst. Man Cybern. Syst. 2020, 50, 5351–5360. [Google Scholar] [CrossRef]
- Lian, R.J. Enhanced adaptive self-organizing fuzzy sliding-mode controller for active suspension systems. IEEE Trans. Ind. Electron. 2013, 60, 958–968. [Google Scholar] [CrossRef]
- Wen, S.; Chen, M.Z.Q.; Zeng, Z.; Yu, X.; Huang, T. Fuzzy Control for Uncertain Vehicle Active Suspension Systems via Dynamic Sliding-Mode Approach. IEEE Trans. Syst. Man Cybern. Syst. 2017, 47, 24–32. [Google Scholar] [CrossRef]
- Li, H.; Yu, J.; Hilton, C.; Liu, H. Adaptive sliding-mode control for nonlinear active suspension vehicle systems using T-S fuzzy approach. IEEE Trans. Ind. Electron. 2013, 60, 3328–3338. [Google Scholar] [CrossRef]
- Zavala-Yoé, R.; Sandoval-Olivares, M.; Félix-Herrán, L.C.; Ramírez-Mendoza, R.A. Soft Passing over Traffic-Calming Devices by Controlled Suspension in Low-Speed Robotic Vehicles for Vulnerable People. Appl. Sci. 2022, 12, 3109. [Google Scholar] [CrossRef]
- Na, J.; Huang, Y.; Pei, Q.; Wu, X.; Gao, G.; Li, G. Active Suspension Control of Full-Car Systems without Function Approximation. IEEE/ASME Trans. Mechatron. 2020, 25, 779–791. [Google Scholar] [CrossRef]
- Na, J.; Huang, Y.; Wu, X.; Gao, G.; Herrmann, G.; Jiang, J.Z. Active adaptive estimation and control for vehicle suspensions with prescribed performance. IEEE Trans. Control Syst. Technol. 2018, 26, 2063–2077. [Google Scholar] [CrossRef]
- Charalampakis, A.E. Parameters of Bouc-Wen hysteretic model revisited. In Proceedings of the 9th HSTAM International Congress on Mechanics, Limassol, Cyprus, 12–14 July 2010; pp. 12–14. [Google Scholar]












| Symbol | Value | Unit | Description |
|---|---|---|---|
| 75 | kg | Mass of driver | |
| 15 | kg | Mass of seat | |
| 90,000 | N·m−1 | Stiffness of driver | |
| 4500 | N·m−1 | Stiffness of seat suspension | |
| 2500 | N·s·m−1 | Damping coefficient of driver | |
| 426 | N·s·m−1 | Damping coefficient of active suspension | |
| 600 | N·s·m−1 | Damping coefficient of passive suspension | |
| 36 | N | Coulomb friction | |
| 200 | N/A | Equivalent control gain of the actuator | |
| 2 | N/A | Shape and amplitude coefficients of the hysteresis loop | |
| 30,861 | N/A | ||
| 19,973 | N/A | ||
| 203 | N/A |
| Suspension Type | Displacement (m) | Acceleration (m/s2) | Suspension Deformation (m) |
|---|---|---|---|
| Original | 0.0163 | 1.2004 | 0.0145 |
| Passive | 0.0116 | 1.1674 | 0.0039 |
| Active | 0.0076 (↓34.5%) | 0.8020 (↓31.3%) | 0.0052 (↑33.3%) |
Disclaimer/Publisher’s Note: The statements, opinions and data contained in all publications are solely those of the individual author(s) and contributor(s) and not of MDPI and/or the editor(s). MDPI and/or the editor(s) disclaim responsibility for any injury to people or property resulting from any ideas, methods, instructions or products referred to in the content. |
© 2025 by the authors. Licensee MDPI, Basel, Switzerland. This article is an open access article distributed under the terms and conditions of the Creative Commons Attribution (CC BY) license (https://creativecommons.org/licenses/by/4.0/).
Share and Cite
Chen, J.; Xi, D.; Hu, W.; Wu, Y. Improving Ride Comfort in Heavy-Duty Vehicles Through Performance-Guaranteed Control of Active Seat Suspension. Appl. Sci. 2025, 15, 7273. https://doi.org/10.3390/app15137273
Chen J, Xi D, Hu W, Wu Y. Improving Ride Comfort in Heavy-Duty Vehicles Through Performance-Guaranteed Control of Active Seat Suspension. Applied Sciences. 2025; 15(13):7273. https://doi.org/10.3390/app15137273
Chicago/Turabian StyleChen, Jian, Dongyang Xi, Wen Hu, and Yang Wu. 2025. "Improving Ride Comfort in Heavy-Duty Vehicles Through Performance-Guaranteed Control of Active Seat Suspension" Applied Sciences 15, no. 13: 7273. https://doi.org/10.3390/app15137273
APA StyleChen, J., Xi, D., Hu, W., & Wu, Y. (2025). Improving Ride Comfort in Heavy-Duty Vehicles Through Performance-Guaranteed Control of Active Seat Suspension. Applied Sciences, 15(13), 7273. https://doi.org/10.3390/app15137273

