Enhancing Periodontal Bone Loss Diagnosis Through Advanced AI Techniques
Abstract
1. Introduction
2. Materials and Methods
2.1. Proposed System
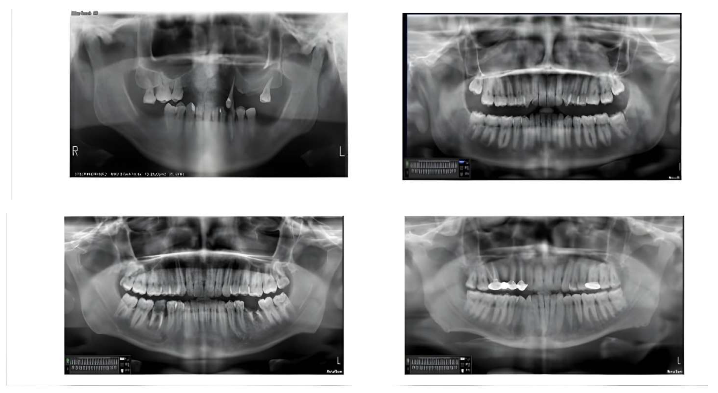
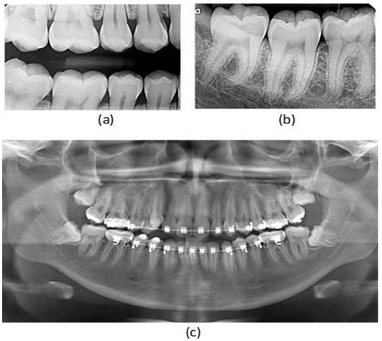
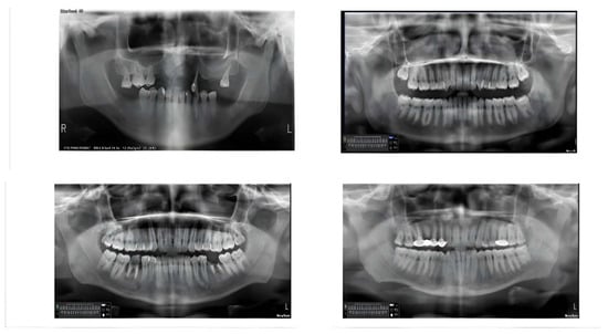
2.2. Dataset Collection and Preparation
2.2.1. Inclusion Criteria
- Image Quality: Radiographs with clear visualization of dental structures, including alveolar bone levels and periodontal ligament space.
- Diagnostic Relevance: Radiographs that provide sufficient detail for periodontal bone loss assessment.
- Patient Age: Radiographs from patients aged 18 years and above to ensure complete dentition development.
- Clinical History: Cases with documented periodontal diagnosis or relevant clinical history.
- Radiograph Type: Only digital panoramic radiographs were considered to ensure image quality and format consistency.
- Timeframe: Radiographs taken within the past three years to ensure data relevance to current clinical practices.
2.2.2. Exclusion Criteria
- Poor Image Quality: Radiographs with severe distortions, artifacts, or insufficient contrast that may hinder accurate diagnosis.
- Incomplete Dental Records: Cases lacking sufficient clinical history or periodontal diagnosis details.
- Primary Dentition: Radiographs showing primary or mixed dentition were excluded to maintain focus on adult periodontal conditions.
- Post-Surgical Radiographs: Images taken after surgical interventions that alter bone structure significantly.
- Non-Panoramic Images: Radiographs such as periapical, bitewing, or CBCT scans that do not meet the panoramic format requirement.
- Pathological Conditions: Cases with extensive bone pathology unrelated to periodontal disease (e.g., tumors and cysts) were excluded to avoid confounding factors.
3. Results
3.1. Implementation Details of the Proposed System
3.2. Results of the Primary Model (MobileNetV2)
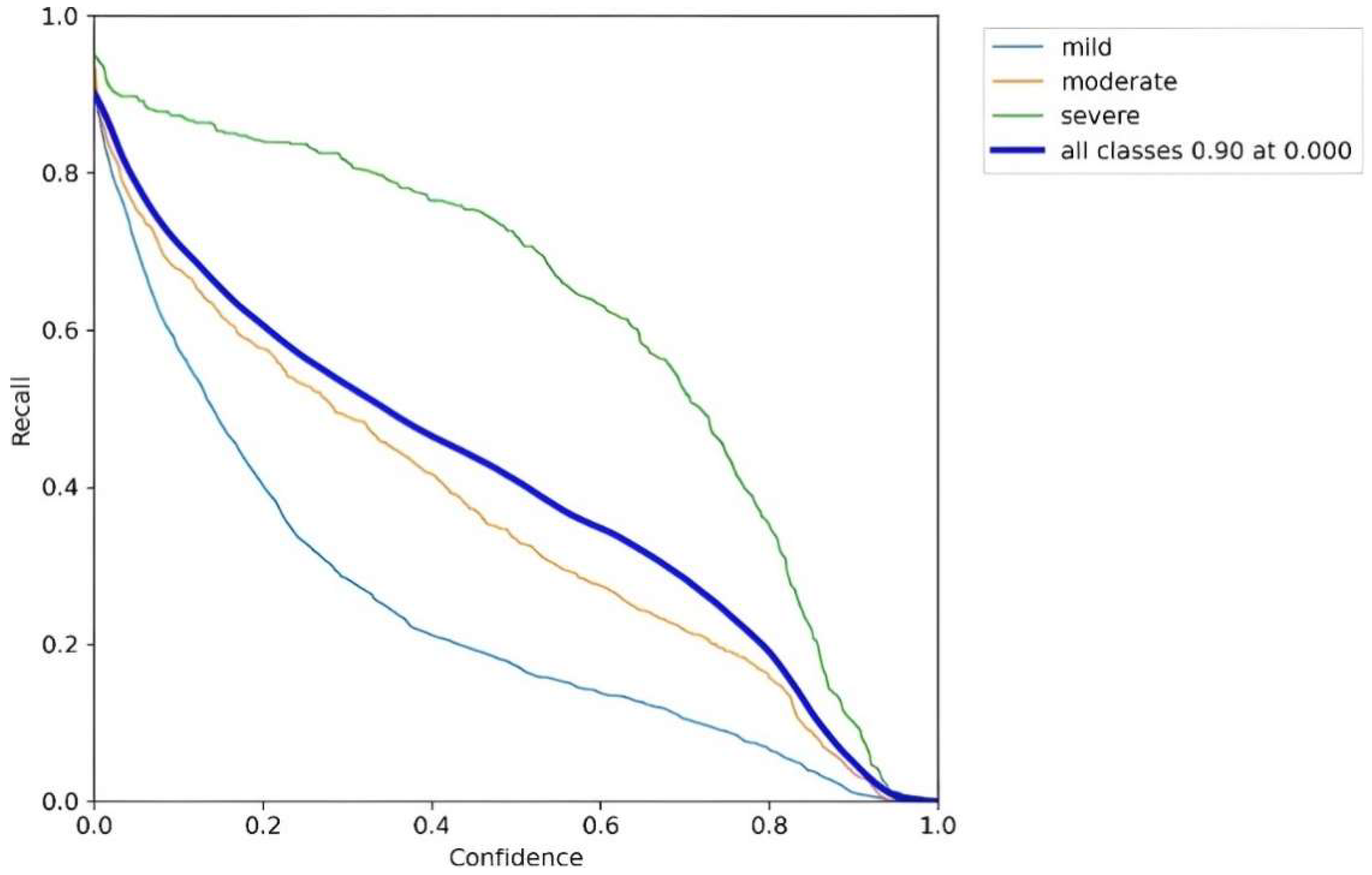
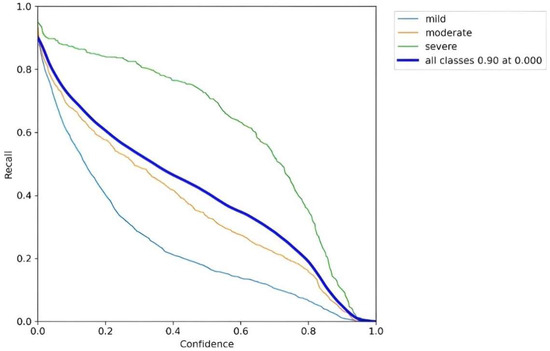
3.3. Results of the Secondary Model (YOLOv8)
4. Discussion
4.1. Critical Analysis and Comparison with Related Study
4.2. Evaluation of Developed Models
4.2.1. The Primary Model (MobileNetV2)
4.2.2. The Secondary Model (YOLOv8)
4.3. Clinical Implications
4.4. Study Limitations
- Notwithstanding the encouraging results, our study possesses some limitations that suggest potential directions for future research:
- Limited Sample Size: Although our dataset offered a satisfactory basis, an expanded dataset with enhanced diversity in patient demographics, radiograph quality, and dental diseases would further substantiate the model’s robustness.
- Dataset Imbalance: The disparity in PBL categories may have affected the efficacy of the YOLOv8 model, especially in moderate and severe instances.
- Generalization to Clinical Settings: The controlled environment of our data collection may not accurately reflect real-world dentistry clinics. Subsequent research should evaluate model efficacy under diverse imaging settings and apparatus.
5. Conclusions
Author Contributions
Funding
Institutional Review Board Statement
Informed Consent Statement
Data Availability Statement
Acknowledgments
Conflicts of Interest
References
- Ryu, J.; Lee, D.M.; Jung, Y.H.; Kwon, O.; Park, S.; Hwang, J.; Lee, J.Y. Automated Detection of Periodontal Bone Loss Using Deep Learning and Panoramic Radiographs: A Convolutional Neural Network Approach. Appl. Sci. 2023, 13, 5261. [Google Scholar] [CrossRef]
- Jader, G.; Fontineli, J.; Ruiz, M.; Abdalla, K.; Pithon, M.; Oliveira, L. Deep instance segmentation of teeth in panoramic X-ray images. In Proceedings of the 2018 31st SIBGRAPI Conference on Graphics, Patterns and Images (SIBGRAPI), Parana, Brazil, 29 October–1 November 2018; IEEE: Piscataway, NJ, USA, 2018; pp. 400–407. [Google Scholar]
- Karacaoglu, F.; Kolsuz, M.E.; Bagis, N.; Evli, C.; Orhan, K. Development and Validation of Intraoral Periapical Radiography-Based Machine Learning Model for Periodontal Defect Diagnosis. Proc. Inst. Mech. Eng. Part H J. Eng. Med. 2023, 237, 607–618. [Google Scholar] [CrossRef] [PubMed]
- Chen, I.H.; Lin, C.H.; Lee, M.K.; Chen, T.E.; Lan, T.H.; Chang, C.M.; Tseng, T.Y.; Wang, T.; Du, J.K. Convolutional-Neural-Network-Based Radiographs Evaluation Assisting in Early Diagnosis of the Periodontal Bone Loss via Periapical Radiograph. J. Dent. Sci. 2024, 19, 550–559. [Google Scholar] [CrossRef] [PubMed]
- Li, K.C.; Mao, Y.C.; Lin, M.F.; Li, Y.Q.; Chen, C.A.; Chen, T.Y.; Abu, P.A.R. Detection of Tooth Position by YOLOv4 and Various Dental Problems Based on CNN With Bitewing Radiograph. IEEE Access 2024, 12, 11822–11835. [Google Scholar] [CrossRef]
- Alotaibi, G.; Awawdeh, M.; Farook, F.F.; Aljohani, M.; Aldhafiri, R.M.; Aldhoayan, M. Artificial Intelligence (AI) Diagnostic Tools: Utilizing a Convolutional Neural Network (CNN) to Assess Periodontal Bone Level Radiographically—A Retrospective Study. BMC Oral Health 2022, 22, 399. [Google Scholar] [CrossRef]
- Krois, J.; Ekert, T.; Meinhold, L.; Golla, T.; Kharbot, B.; Wittemeier, A.; Dörfer, C.; Schwendicke, F. Deep learning for the radiographic detection of periodontal bone loss. Sci. Rep. 2019, 9, 8495. [Google Scholar] [CrossRef]
- Chang, H.J.; Lee, S.J.; Yong, T.H.; Shin, N.Y.; Jang, B.G.; Kim, J.E.; Huh, K.H.; Lee, S.S.; Heo, M.S.; Choi, S.C.; et al. Deep Learning Hybrid Method to Automatically Diagnose Periodontal Bone Loss and Stage Periodontitis. Sci. Rep. 2020, 10, 7531. [Google Scholar] [CrossRef]
- Amasya, H.; Jaju, P.P.; Ezhov, M.; Gusarev, M.; Atakan, C.; Sanders, A.; Manulius, D.; Golitskya, M.; Shrivastava, K.; Singh, A.; et al. Development and Validation of an Artificial Intelligence Software for Periodontal Bone Loss in Panoramic Imaging. Int. J. Imaging Syst. Technol. 2024, 34, e22973. [Google Scholar] [CrossRef]
- Lin, P.; Huang, P.; Huang, P. Automatic Methods for Alveolar Bone Loss Degree Measurement in Periodontitis Periapical Radiographs. Comput. Methods Programs Biomed. 2017, 148, 1–11. [Google Scholar] [CrossRef]
- Mohammad-Rahimi, H.; Motamedian, S.R.; Pirayesh, Z.; Haiat, A.; Zahedrozegar, S.; Mahmoudinia, E.; Rohban, M.H.; Krois, J.; Lee, J.-H.; Schwendicke, F. Deep Learning in Periodontology and Oral Implantology: A Scoping Review. J. Periodontal Res. 2022, 57, 942–951. [Google Scholar] [CrossRef]
- Abdalla-Aslan, R.; Yeshua, T.; Kabla, D.; Leichter, I.; Nadler, C. An artificial intelligence system using machine-learning for automatic detection and classification of dental restorations in panoramic radiography. Oral Surg. Oral Med. Oral Pathol. Oral Radiol. 2020, 130, 593–602. [Google Scholar] [CrossRef] [PubMed]
- Ossowska, A.; Kusiak, A.; Świetlik, D. Evaluation of the Progression of Periodontitis with the Use of Neural Networks. J. Clin. Med. 2022, 11, 4667. [Google Scholar] [CrossRef] [PubMed]
- Piel, B.T.; Elsbury, K.; Herrera, C.; Potts, L. Artificial Intelligence Aiding in the Periodontal Assessment. Ph.D. Thesis, Texas A&M University, College Station, TX, USA, 2022. [Google Scholar]
- Li, X.; Zhao, D.; Xie, J.; Wen, H.; Liu, C.; Li, Y.; Li, W.; Wang, S. Deep Learning for Classifying the Stages of Periodontitis on Dental Images: A Systematic Review and Meta-Analysis. BMC Oral. Health 2023, 23, 1017. [Google Scholar] [CrossRef] [PubMed]
- Kurt-Bayrakdar, S.; Bayrakdar, İ.; Yavuz, M.B.; Sali, N.; Çelik, Ö.; Köse, O.; Saylan, B.C.U.; Kuleli, B.; Jagtap, R.; Orhan, K. Detection of Periodontal Bone Loss Patterns and Furcation Defects from Panoramic Radiographs Using Deep Learning Algorithm: A Retrospective Study. BMC Oral Health 2024, 24, 155. [Google Scholar] [CrossRef]
- Mardini, D.C.; Mardini, P.C.; Iturriaga, D.P.V.; Borroto, D.R.O. Determining the Efficacy of a Machine Learning Model for Measuring Periodontal Bone Loss. BMC Oral Health 2022, 22, 399. [Google Scholar] [CrossRef]
- Shon, H.S.; Kong, V.; Park, J.S.; Jang, W.; Cha, E.J.; Kim, S.Y.; Lee, E.Y.; Kang, T.G.; Kim, K.A. Deep Learning Model for Classifying Periodontitis Stages on Dental Panoramic Radiography. Appl. Sci. 2022, 12, 8500. [Google Scholar] [CrossRef]
- CranioCatch. AI Detection of Alveolar Bone Loss in Panoramic Radiographs. 2024. Available online: https://www.craniocatch.com/en/academic/ai-detection-alveolar-bone-loss/ (accessed on 10 March 2024).
- TensorFlow I/O—Decode DICOM Files for Medical Imaging. Available online: https://www.tensorflow.org/io/tutorials/dicom (accessed on 10 March 2024).
- Xue, B.; Chang, B.; Du, D. Multi-output monitoring of high-speed laser welding state based on deep learning. Sensors 2021, 21, 1626. [Google Scholar] [CrossRef]
- Widayani, A.; Putra, A.M.; Maghriebi, A.R.; Adi, D.Z.C.; Ridho, M.H.F. Review of Application YOLOv8 in Medical Imaging. Indones. Appl. Phys. Lett. 2024, 5, 23–33. [Google Scholar] [CrossRef]
- Salekin, S.U.; Ullah, M.H.; Khan, A.A.; Jalal, M.S.; Nguyen, H.H.; Farid, D.M. Bangladeshi Native Vehicle Classification Employing YOLOv8; Springer Nature: Singapore, 2023; pp. 185–199. [Google Scholar]
- Trending AI Tools—Roboflow. Available online: https://www.trendingaitools.com/ai-tools/roboflow/ (accessed on 10 March 2024).
- Lee, J.H. Diagnosis and Prediction of Periodontally Compromised Teeth Using a Deep Learning-Based Convolutional Neural Network Algorithm. J. Periodontal Implant. Sci. 2018, 48, 114–123. [Google Scholar] [CrossRef]
- Uzun Saylan, B.C.; Baydar, O.; Yeşilova, E.; Kurt Bayrakdar, S.; Bilgir, E.; Bayrakdar, İ.Ş.; Çelik, Ö.; Orhan, K. Assessing the Effectiveness of Artificial Intelligence Models for Detecting Alveolar Bone Loss in Periodontal Disease: A Panoramic Radiograph Study. Diagnostics 2023, 13, 1800. [Google Scholar] [CrossRef]
- Zhang, X.; Guo, E.; Liu, X.; Zhao, H.; Yang, J.; Li, W.; Wu, W.; Sun, W. Enhancing furcation involvement classification on panoramic radiographs with vision transformers. BMC Oral Health 2025, 25, 153. [Google Scholar] [CrossRef] [PubMed]
- Tavasoli, R.; VarastehNezhad, A.; Farbeh, H. Hybrid Vision Transformer for Detection of Dentigerous Cysts in Dental Radiography Images. In Proceedings of the 2024 14th International Conference on Computer and Knowledge Engineering (ICCKE), Mashhad, Iran, 19–20 November 2024; pp. 143–148. [Google Scholar]
- Sheng, C.; Wang, L.; Huang, Z.; Wang, T.; Guo, Y.; Hou, W.; Xu, L.; Wang, J.; Yan, X. Transformer-based deep learning network for tooth segmentation on panoramic radiographs. J. Syst. Sci. Complex. 2023, 36, 257–272. [Google Scholar] [CrossRef] [PubMed]
- Dujic, H.; Meyer, O.; Hoss, P.; Wölfle, U.C.; Wülk, A.; Meusburger, T.; Meier, L.; Gruhn, V.; Hesenius, M.; Hickel, R.; et al. Automatized detection of periodontal bone loss on periapical radiographs by vision transformer networks. Diagnostics 2023, 13, 3562. [Google Scholar] [CrossRef] [PubMed]











| Dataset Source | Size | Trained AI Model |
|---|---|---|
| City University Ajman | 562 | MobileNetV2 and YOLOv8 |
| Cerda Mardini dataset (2022) [17] | 255 | YOLOv8 |
| Model | Dataset | Results |
|---|---|---|
| Our proposed MobileNetV2 | 526 panoramic | Accuracy: 0.8846, recall: 1.00, loss: 0.2966 |
| VGG-19 [25] (Lee JH, 2018) | 1044 periapical | Accuracy: 0.788 |
| U-Net [1] (Ryu J, 2023) | 640 panoramic | Accuracy: 0.73, Recall: 0.57 |
| VGG-16 [13] (Ossowska A, 2022) | 1724 intraoral periapical | Precision: 0.73, F1-score: 0.75 |
Disclaimer/Publisher’s Note: The statements, opinions and data contained in all publications are solely those of the individual author(s) and contributor(s) and not of MDPI and/or the editor(s). MDPI and/or the editor(s) disclaim responsibility for any injury to people or property resulting from any ideas, methods, instructions or products referred to in the content. |
© 2025 by the authors. Licensee MDPI, Basel, Switzerland. This article is an open access article distributed under the terms and conditions of the Creative Commons Attribution (CC BY) license (https://creativecommons.org/licenses/by/4.0/).
Share and Cite
Rezallah, N.N.F.; Sherif, G.; Abdelkarim, A.Z.; Afifi, S. Enhancing Periodontal Bone Loss Diagnosis Through Advanced AI Techniques. Appl. Sci. 2025, 15, 6832. https://doi.org/10.3390/app15126832
Rezallah NNF, Sherif G, Abdelkarim AZ, Afifi S. Enhancing Periodontal Bone Loss Diagnosis Through Advanced AI Techniques. Applied Sciences. 2025; 15(12):6832. https://doi.org/10.3390/app15126832
Chicago/Turabian StyleRezallah, Nader Nabil Fouad, George Sherif, Ahmed Z. Abdelkarim, and Shereen Afifi. 2025. "Enhancing Periodontal Bone Loss Diagnosis Through Advanced AI Techniques" Applied Sciences 15, no. 12: 6832. https://doi.org/10.3390/app15126832
APA StyleRezallah, N. N. F., Sherif, G., Abdelkarim, A. Z., & Afifi, S. (2025). Enhancing Periodontal Bone Loss Diagnosis Through Advanced AI Techniques. Applied Sciences, 15(12), 6832. https://doi.org/10.3390/app15126832

