Abstract
Earthworms are important in agriculture in the process of soil fertilization and influence its physicochemical properties. The taxonomic classification of earthworms using morphological characteristics requires experts, is difficult, and can require specimen dissection to extract detailed anatomical studies. Molecular techniques are time-consuming and expensive. The objective of this study was to distinguish earthworms belonging to different genera, Eisenia, Dendrobaena, and Lumbricus, using an innovative approach involving machine learning models built based on image texture parameters from individual color channels R, G, B, L, a, b, X, Y, Z, U, V, and S. The earthworms Eisenia fetida, Dendrobaena ssp., and Lumbricus terrestris were used as research materials. Image acquisition was performed using a flatbed scanner on a black background. In the case of each earthworm, 2172 texture parameters from images in individual color channels R, G, B, L, a, b, X, Y, Z, U, V, and S were extracted. Textures after selection were used to develop classification models using machine learning algorithms. The earthworms Eisenia fetida, Dendrobaena ssp., and Lumbricus terrestris were distinguished with the accuracy reaching 100% for models built using Logistic, Ensemble, and Narrow Neural Network. All earthworms were correctly classified. Also, in the case of other models, earthworm classes were distinguished with high accuracies, such as 99% (Naive Bayes, Random Forest, SVM, KNN), 97% (Simple Logistic), and 94% (KStar). For the most important species, E. fetida, the correctness of the species identification was confirmed by direct RNA sequencing. The application of image analysis and machine learning turned out to be a non-destructive, inexpensive, and objective approach to distinguishing earthworms belonging to different genera.
1. Introduction
Increasing mechanization of forestry techniques leads to problems of soil compaction and tree growth, and contributes to the degradation of forest soils [1]. Since natural regeneration of the soil is slow [2] and because the timber industry is socio-economically important, solutions to restore the quality of forest soils are needed. Several studies showed that the properties of degraded agroecosystem soils can be restored using earthworms [3,4].
The earthworms are highly diverse in both color and size, ranging from green to pink or bluish, with some species having black or deep red heads. Adult earthworms can vary greatly in size, measuring between 1 and 40 cm in length. These invertebrates belong to the annelid group and the family of oligochaetes, playing a crucial role in agriculture through soil fertilization. By transporting organic matter and nutrients from deeper layers to the surface, they improve soil fertility and structure. The earthworms can bring up to 6 tons of organic matter per hectare annually, enhancing nutrient availability and soil drainage. Their tunneling creates pathways for plant roots to access deeper moisture and nutrients [5].
The earthworms generally live between 2 and 8 years, with peak activity in spring and autumn. During extreme weather conditions, such as drought or winter, many species migrate to deeper soil layers, where they slow down their metabolism. The earthworms can also migrate from undisturbed areas, such as field margins, into cropland, contributing to soil health by feeding on organic residues mixed with soil particles. Species like Lumbricus terrestris prefer soils rich in organic carbon, while others, like Aporrectodea caliginosa, thrive in soils with lower carbon content. Lumbricidae have sometimes been used for soil restoration, and several studies have shown their positive impact on soil properties [4,6].
Earthworms serve as natural mixers, modifying the biological, physical, and chemical properties of organic matter. They lower the carbon-to-nitrogen (C/N) ratio, increase the surface area available for microbial activity, and create a more favorable environment for microbes. By breaking down complex compounds, earthworms contribute significantly to the efficient recycling of organic waste. By digesting organic matter, earthworms enrich the soil with beneficial microorganisms that fix nitrogen and activate phosphorus, making these nutrients more accessible to plants. Earthworm excretions contain growth stimulants such as auxins and gibberellins, which enhance plant growth and yield [7,8]. By consuming and breaking down a variety of materials, it plays a crucial role in recycling nutrients and improving soil health [9]. Their activity also fosters the growth of beneficial bacteria and fungi, while breaking down pathogens and pests [10]. Studies have shown its role in reducing nematode populations like Halicephalobus gingivalis, which helps mitigate risks to both plants and animals [11]. The sensitivity of earthworms to changes in the environment makes them reliable bio-indicators of soil health and sustainable agricultural practices [12].
The species found in Poland include Dendrobaena octaedra, Lumbricus terrestris, Lumbricus rubellus, and several others, with meadows and pastures typically harboring a greater variety of species compared to cultivated soils. The presence, biomass, and diversity of earthworms are indicators of soil fertility. In fertile grasslands, there can be as many as 1 to 3 million earthworms per hectare. Though there are around 250 species globally, only 40 are present in Central Europe, with about 32 species documented in Poland, most of which are highly adaptable and widespread [8].
Stabilization through vermicomposting is an eco-friendly method for managing solid waste, widely recognized for its sustainability and effectiveness. Numerous studies have highlighted its potential in reducing organic waste and converting it into nutrient-rich compost through the action of earthworms [13,14]. This process not only helps in waste reduction but also promotes soil health by producing valuable organic matter, making it a viable solution for sustainable waste management.
One of the most important species for vermiculture is Eisenia fetida, commonly known as the compost worm. Its ability to efficiently process a wide range of organic waste into nutrient-rich compost makes it indispensable in vermicomposting systems [15]. E. fetida is particularly valued for its continuous activity throughout the year, rapid growth, and high reproductive rate, all of which contribute to its effectiveness in organic waste decomposition [16,17,18,19,20,21,22,23,24,25,26,27,28,29,30,31,32,33].
The Organization for Economic Cooperation and Development (OECD) recommends Eisenia fetida and Eisenia andrei for conducting tests on acute and subacute soil toxicity. These species are ideal for evaluating the environmental impact of various chemicals and pollutants due to their sensitivity to soil contaminants and their role in the decomposition of organic matter. Their use in toxicity testing helps assess the effects of hazardous substances on soil health and ecological sustainability.
Eisenia fetida and Eisenia andrei share similar body length, segment number, and similarities in clitellum and tubercula pubertatis shape. However, they can be distinguished in their adult form by differences in pigmentation. The taxonomic distinction between these species was confirmed through electrophoretic techniques by Jaenike [34]. Historically, the two species were often classified as subspecies due to their differing body pigmentation, but modern studies have solidified their status as separate species based on these morphological and genetic differences. E. fetida is distinct from its relative, Eisenia andrei, by its striped appearance and secretion of a yellow fluid when disturbed [35,36,37].
Albani et al. [38] described a fluorescent method that allows differentiation between Eisenia fetida and Eisenia andrei.
Accurate species identification of earthworms remains a critical challenge with significant implications for ecological research and ecotoxicological testing. Misidentification is a widespread issue, as demonstrated by Römbke et al. [39], who conducted a comprehensive DNA barcoding analysis of Eisenia fetida and Eisenia andrei across 28 ecotoxicological laboratories. Their results showed that only 61% of specimens were correctly identified, highlighting the urgent need for reliable identification methods. Similar findings were reported by Katsiamines et al. [40], further underlining the practical importance of improving species determination in this group. Novel approaches that can accurately identify earthworm species at all life stages are therefore essential for ensuring data reliability in both scientific and regulatory contexts.
The study aimed to differentiate earthworms of the genera Eisenia, Dendrobaena, and Lumbricus using two approaches: RNA sequencing and machine learning models built based on image textures selected from a set of 2172 parameters. Due to using image analysis and machine learning, the procedure of earthworm distinguishing was nondestructive, objective, and inexpensive.
The novel aspect regarding non-destructive classification concerns the development of innovative machine learning models involving selected texture parameters from earthworm images in individual color channels R, G, B, L, a, b, X, Y, Z, U, V, and S. The new models containing unique data were developed using traditional machine learning algorithms. Therefore, the most innovative aspect concerns the input data of the models. The scientific problem regarding the image processing to extract a big dataset of textures from single color channels and to select the textures with the highest discriminative power for the classification of Eisenia fetida, Dendrobaena ssp., and Lumbricus terrestris has not been addressed before, and such research may be groundbreaking in the non-destructive identification of earthworm genus/species.
2. Materials and Methods
The earthworms Eisenia fetida, Dendrobaena ssp., and Lumbricus terrestris were collected at the Department of Agriculture and Waste Management, University of Rzeszów, Poland, and the Department of Plant Protection, the National Institute of Horticultural Research, Skierniewice, Poland. The samples belonging to both Eisenia fetida and Lumbricus terrestris were from two different locations to avoid the influence of environmental conditions and make the procedure more universal. After being collected in the field, the earthworms were transported to the laboratory for imaging. The earthworms were in compost. Before imaging, earthworms were washed and cleaned. Individuals without any substrate residue on their bodies were used for imaging to enable all external surface features to be visible in the images. The earthworms were recognized in terms of species and genus based on external morphological characteristics by the two qualified experts. The characteristics of the individuals examined were sufficient for experts to recognize them without assessing internal anatomical features or using molecular techniques. Mature individuals with clearly developed species characteristics were selected for the study to reduce the uncertainty of diagnosis. The experiment was performed in thirty repetitions for each earthworm group. The presented correlation matrix (Figure 1) depicts Pearson correlation coefficients between developmental stages of earthworms (J2, Pre-adult, Adult) across three examined species, based on texture-related morphological features. The correlation patterns underscore distinct morphological transitions between successive ontogenetic stages, particularly between early (J2) and intermediate (Pre-adult) phases (r = −0.981). The plotted data in Figure 2 illustrate distinct ontogenetic trends for two representative texture features. Feature A, which increases with development, exhibits a monotonic rise across developmental stages, indicating a progressive enhancement of this textural property in more mature individuals. In contrast, Feature B, which decreases over time, shows a downward trend, suggesting that this feature is more pronounced during early developmental stages and diminishes as maturation advances. These opposing trajectories highlight the stage-specific expression of texture features and reflect dynamic morphological remodeling occurring throughout ontogeny.
Figure 1.
Correlation coefficients between the texture features of different developmental stages (J2, Pre-adult, and Adult) of three earthworm species. Strong negative correlations suggest distinct texture profiles across stages.
Figure 2.
Example plot showing normalized texture feature values across developmental stages. Feature A increases with development, while Feature B decreases, indicating stage-specific texture dynamics.
The workflow depicted in Figure 3 outlines the sequential steps involved in the classification of earthworm specimens based on texture features extracted from color image channels. The process begins with the collection of specimens and their imaging under standardized conditions to ensure consistency. Texture features are then extracted separately from the red, green, and blue channels of the acquired images. This is followed by a feature selection step, aimed at identifying the most informative descriptors, and by supervised model training for classification. The integration of image-based texture analysis with machine learning enables objective and reproducible differentiation of developmental stages or species based on quantifiable morphological features.
Figure 3.
Workflow outlining the steps in collecting, imaging, processing, and classifying earthworms based on texture features extracted from color channels. The pipeline includes feature selection and model training.
2.1. Image Analysis
Before imaging, the earthworm individuals were exposed to a negative temperature for several dozen minutes to slow down their vital functions. Due to this, the earthworms were inactive and did not move during imaging. The earthworm images were acquired using an Epson Perfection V600 flatbed scanner (Seiko Epson Corp., Suwa, Nagano, Japan) with LED (Light Emitting Diodes) as a light source. Acquiring one image required less than two minutes. The images were obtained at 800 dpi resolution and saved in TIFF format. The processing of obtained images was carried out using the MaZda software version 4.7 (Łódź University of Technology, Institute of Electronics, Łódź, Poland) [41,42,43]. The digital color images of earthworms on the black background were preprocessed to reduce noise and remove artifacts and saved in the BMP file format, and then processed to extract image parameters. The images were segmented into earthworms and the background, and earthworm samples were separated and treated as regions of interest (ROIs). The image conversion was performed to compute texture parameters from images in individual color channels R, G, B, L, a, b, X, Y, Z, U, V, and S. For each earthworm, 2172 image texture parameters based on the run-length matrix, co-occurrence matrix, gradient map, histogram, Haar wavelet transform, and autoregressive model were determined.
2.2. Earthworm Classification
The earthworms belonging to Eisenia fetida, Dendrobaena ssp., and Lumbricus terrestris were classified using machine learning models based on selected image texture parameters. The image texture selection was performed using the Best First and Correlation-based Feature Selection subset evaluator. The texture features with the highest discriminative power were: RS5SZ3InvDfMom, RS5SV5Contrast, RATeta4, LS5SZ3InvDfMom, aHPerc01, aHPerc10, aHPerc99, aHDomn01, aHMaxm10, aSGNonZeros, aS5SV1SumEntrp, aS5SZ1InvDfMom, bS5SZ3SumOfSqs, YATeta2, UHSkewness, UHPerc01, VSGSkewness, VS4RHRLNonUni, SHPerc90, SHPerc99, SS5SZ1InvDfMom, XS4RZLngREmph, ZHMean.
The models were built using WEKA 3.9 machine learning software (Machine Learning Group, University of Waikato, Hamilton, New Zealand) [44,45,46] and MATLAB R2024a (Math Works, Inc., Natick, MA, USA).
In the case of the classification performed using WEKA, machine learning algorithms from the groups of Bayes, Functions, Lazy, and Trees were used. The Naive Bayes, Logistic, Simple Logistic, KStar, and Random Forest algorithms were the most successful. The following parameters were used to build the models:
- -
- Naive Bayes—debug: False; batchSize: 100; doNotCheckCapabilities: False; useKernelEstimator: False; useSupervisedDiscretization: False;
- -
- Logistic—debug: False; batchSize: 100; doNotCheckCapabilities: False; maxIts: −1; ridge: 1.0 × 10−8; useConjugateGradientDescent: False.
- -
- Simple Logistic—debug: False; batchSize: 100; doNotCheckCapabilities: False; heuristicStop: 50; maxBoostingIterations: 500; useCrossValidation: True;
- -
- KStar—debug: False; batchSize: 100; doNotCheckCapabilities: False; entropicAutoBlend: False; globalBlend: 20; missingMode: Average column entropy curves;
- -
- Random Forest—bagSizePercent: 100; batchSize: 100; debug: False; doNotCheckCapabilities: False; calcOutOfBag: False; breakTiesRandomly: False; numExecutionSlots: 1; numIterations: 100; seeds: 1; storeOutOfBagPredictions: False.
A test mode of 10-fold cross-validation was applied. In this case of this mode, the dataset was randomly divided into ten parts, including nine training sets and one test set. Each part in turn was treated as the test set. The procedure was carried out ten times on different training sets. The final result was considered the average result of ten estimates. The confusion matrices and average accuracies were determined. Additionally, other classification performance metrics, such as Kappa statistic, TP Rate (True Positive Rate), FP Rate (False Positive Rate), Precision, F-Measure, MCC (Matthews Correlation Coefficient), ROC Area (Receiver Operating Characteristic Area), and PRC Area (Precision-Recall Area) were computed [47,48].
For the classification of earthworms using MATLAB, the SVM, KNN, Ensemble, and Narrow Neural Network algorithms were selected as providing the highest accuracies:
- -
- SVM—preset: linear SVM; box constraint level: 1; kernel scale: automatic; kernel function: linear; standardize data: yes; multiclass method: one-vs-one;
- -
- KNN—preset: fine; distance metric: Euclidean; number of neighbors: 1; standardize data: yes; distance weight: equal;
- -
- Ensemble—preset: Subspace Discriminant; Ensemble method: subspace; learner type: discriminant;
- -
- Neural Network—preset: Narrow Neural Network; number of fully connected layers: 1; first layer size: 10; iteration limit: 1000; activation: ReLU; standardize data: yes; regularization strength (Lambda): 0.
The models were developed using a test mode of 10-fold cross-validation. Building a single model took from a few to several dozen seconds. For the models, confusion matrices and overall accuracies were determined.
2.3. RNA Extraction
RNA was extracted from the same earthworm specimens using the Universal RNA Purification Kit (EURX, Gdańsk, Poland) and eluted in 40 μL elution buffer. Purified RNA was stored at −70 °C. RNA integrity was assessed by utilizing the Agilent 2100 Bioanalyzer RNA Nano assay (Agilent Technologies, Santa Clara, CA, USA).
2.4. Direct RNA Libraries Preparation and Sequencing
Following quality and integrity verification, total RNA was used for library preparation. The total RNA group was polyadenylated by E. coli Poly(A) Polymerase as described [49]. Briefly, 1 ug total RNA, 1 μL (5U) E. coli Poly(A) Polymerase, 2 μL 10× E. coli Poly(A) Polymerase Reaction Buffer, 2 μL Adenosine triphosphate (New England Biolabs, Ipswich, MA, USA) in a 20-μL reaction solution were incubated at 37 °C for 30 min. After that, polyadenylated RNAs were purified from enzyme reactions using the Monarch RNA Cleanup Kit (New England Biolabs, Ipswich, MA, USA) according to the manufacturer’s instructions.
RNA samples were processed into libraries using the ONT SQK-RNA002 kit (Oxford Nanopore Technologies, Oxford, UK), following the protocols provided by the manufacturer. The library was loaded onto an R9.4.1 flow cell, and the sequencing runs were carried out using the ONT MinKNOW software (version v3.4.12, ONT) to monitor and generate the data. Read quality was checked at EPI2ME (version 24.08-01), wf-alignment (version v1.2.0) workflow, and filtered using Prowler software v1 to exclude low-quality reads (Q < 10) https://github.com/ProwlerForNanopore/ProwlerTrimmer (accessed on 1 August 2024) [50].
To assign taxonomic affiliations to the obtained sequences, we used the software pipeline CCMetagen v1.2.3 (ConClave-based Metagenomics) [51] that utilizes the ConClave sorting scheme [52]. Taxonomic assignment was carried out utilizing the entire NCBI nucleotide collection.
3. Results and Discussion
The average accuracies of the classification of earthworms Eisenia fetida, Dendrobaena ssp., and Lumbricus terrestris performed based on selected texture parameters from images in color channels R, G, B, L, a, b, X, Y, Z, U, V, and S using machine learning algorithms from the groups of Bayes, Functions, Lazy, and Trees were high reaching 100% for Logistic from Functions (Table 1). Each group was correctly classified in 100% for both models. The Kappa statistic was equal to 1.000. In the case of models built using Naive Bayes and Random Forest, the average accuracy was 99%, and the Kappa statistic reached 0.9833. Earthworms, Lumbricus terrestris, were distinguished from others in 100%. Whereas the misclassification occurred between Eisenia fetida and Dendrobaena spp. In the case of Naive Bayes, 3% of cases of Eisenia fetida were incorrectly classified as Dendrobaena ssp. For Ran-dom Forest, 3% of cases of Dendrobaena ssp. were incorrectly included in the predicted class of Eisenia fetida. In the case of other considered algorithms, slightly lower average accuracies were obtained, 97% for Simple Logistic and 94% for KStar.
Table 1.
The results of earthworm classification based on selected image textures using machine learning algorithms from different groups.
Comparing the training time taken to build the model, for each model, this time was short, as: 0.01 s for Naive Bayes, 0.01 s for Logistic, 0.09 s for Simple Logistic, 0.01 s for KStar, and 0.03 s for Random Forest. The level of misclassification was very low for each model, as follows: 1% for Naive Bayes, 0% for Logistic, 3% for Simple Logistic, 6% for KStar, and 1% for Random Forest.
The values of TP Rate, Precision, F-Measure, MCC, ROC Area, and PRC Area of 1.000 and FP Rate equal to 0.000 for each class of earthworms Eisenia fetida, Dendrobaena ssp., and Lumbricus terrestris for a model built using Logistic confirmed the most correct classification (Table 2). The same values for all parameters were also obtained in the case of Lumbricus terrestris for models built using Naive Bayes, Simple Logistic, and Random Forest.
Table 2.
The performance metrics of earthworm classification based on selected image textures using different machine learning algorithms.
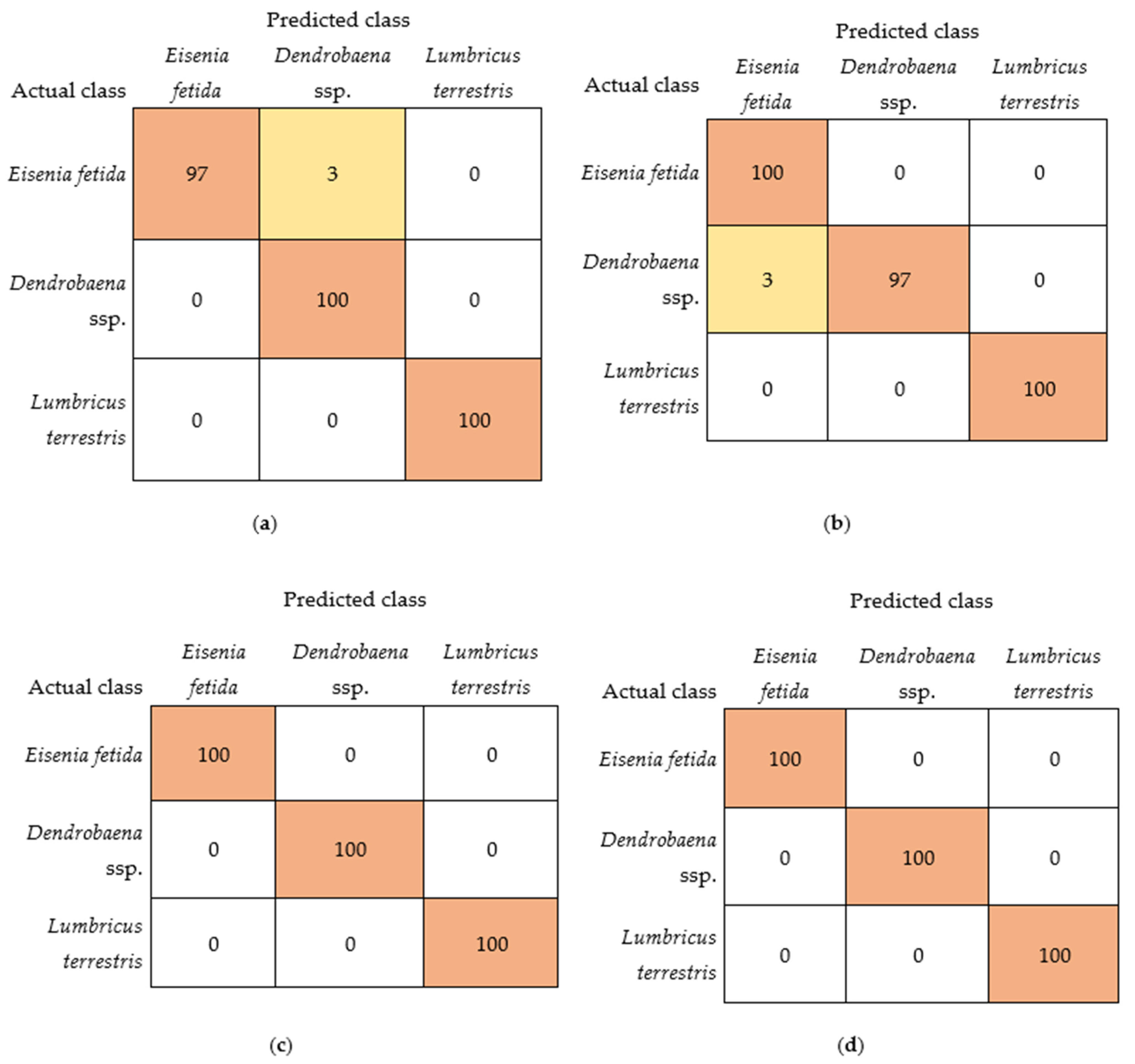
The confusion matrices of the earthworm classification using MATLAB are presented in Figure 4. In the case of the model developed using SVM (Figure 4a), the overall accuracy was equal to 99%. Dendrobaena ssp. and Lumbricus terrestris were correctly classified with an accuracy of 100%. Whereas the accuracy for Eisenia fetida was 97%, and 3% were misclassified as Dendrobaena ssp. Also, the model built using KNN (Figure 4b) allowed for the earthworm classification with an overall accuracy of 99.00%. In this case, Eisenia fetida and Lumbricus terrestris were completely correctly classified (100%), and earthworms belonging to Dendrobaena ssp. were distinguished from other classes with an accuracy of 97%. The remaining 3% of the actual class Dendrobaena ssp. were incorrectly classified as Eisenia fetida. For models built using Ensemble (Figure 4c) and Narrow Neural Network (Figure 4d), the overall accuracy was equal to 100%, and all earthworm groups, Eisenia fetida, Dendrobaena ssp., and Lumbricus terrestris, were correctly classified. The training times were: 4.94 s for SVM, 3.15 s for KNN, 7.68 s for Ensemble, and 6.54 s for Narrow Neural Network. The misclassification rates were: 1% for SVM, 1% for KNN, 0% for Ensemble, and 0% for Narrow Neural Network (Figure 5).
Figure 4.
The confusion matrices of earthworm classification using the model built based on selected image textures using SVM (a), KNN (b), Ensemble (c), and Narrow Neural Network (d).
Figure 5.
The ROC curves of earthworm classification using the model built based on selected image textures using SVM for all three classes (a), KNN for all three classes (b), Ensemble, and Narrow Neural Network for Dendrobaena ssp. (c), Ensemble and Narrow Neural Network for Eisenia fetida (d), and Ensemble and Narrow Neural Network for Lumbricus terrestris (e).
Filtered sequence reads were assigned to Operational Taxonomic Units (OTUs) by CCMetagen (Table 3). There were 279 reads obtained, 266 (95.3%) of which were assigned to E. fetida. St 94–95% of identity. The rest of the reads were assigned to Hexaplex trunculus and Urechis unicinctus (7 and 6, respectively).
Table 3.
Sequence read assignment to species.
The earthworm taxonomic identification is important for the assessment of earthworm biodiversity. Earthworm species diversity can be considered a common measure characterizing their populations and potential functions in the soil [53]. However, despite the importance of earthworms for ecosystems, there are difficulties in earthworm identification. The limitations of procedures hinder progress in the ecological and community-based research on earthworms, as species identification and classification can be the basis of ecological studies [54]. Kumar et al. [55] developed a non-destructive approach to phenotyping of earthworms using image analysis. A mathematical model to compute the length, surface area, and volume, and identify the anus-end, mouth-end, and clitellum of earthworms was proposed [55]. The taxonomic classification of earthworms can still be established using morphological characteristics, e.g., shape, position, and segment number of clitellum, the arrangements of setae, spermathecae, and prostomium shape. However, the identification procedure requires qualified experts and is difficult for most of the species due to the simple and small earthworm body. Whereas molecular techniques such as 18S rDNA, 16S rDNA, and COI sequences can be successfully used for the classification of earthworm species. However, molecular techniques are expensive and time-consuming [56]. Moreover, correct earthworm identification can require specimen dissection to extract detailed anatomical studies [57]. Therefore, Andleeb et al. [56] proposed a non-destructive procedure involving digital images and machine vision to classify earthworm species belonging to E. fetida and others based on hand-crafted and deep features. Furthermore, deep learning as a state-of-the-art approach was used by Çelik and Uğuz [58] to detect and sort earthworm cocoons and by Djerdj et al. [59] to observe earthworm behavior.
In the field of image processing, texture refers to the spatial variation in pixel intensity across an image. It plays a crucial role in conveying meaningful information about the structure of physical objects being analyzed. By examining texture characteristics quantitatively, it is possible to gain insights into the quality of a biological object. Texture analysis involves extracting numerical features from an object’s image, allowing for the detection of subtle changes that may not be easily noticeable to the human eye. Even when digital images contain the same number of pixels and share similar color histograms, variations in the spatial distribution of color can result in distinct textures, which help differentiate objects [43,60,61]. The approach combining image texture parameters and machine learning algorithms turned out to be useful for non-destructive, objective, and inexpensive distinguishing of earthworms belonging to different genera. The performed study involved samples belonging to the earthworm species from two different locations. Therefore, the obtained results were more universal, as well as free from errors resulting from the influence of environmental conditions. The applied procedure allowed for the correct identification and differentiation of earthworm species without the need to involve qualified experts who can be subjective or expensive, and time-consuming molecular techniques. A flatbed scanner is a relatively inexpensive, popular, and readily available imaging tool. Moreover, an automated vision system can examine many more earthworms than a human at the same time. After preparing the research material, the main steps to distinguish earthworms using image analysis and machine learning were quick, taking less than two minutes to acquire the image, a few minutes for image processing, and a few seconds for building the model and making a decision. In future research, research can be expanded by using deep learning to distinguish earthworms belonging to different species and genera based on the texture parameters of color images.
4. Conclusions
The application of image analysis and machine learning allowed for the objective, non-destructive, and inexpensive distinguishing of earthworms belonging to Eisenia fetida, Dendrobaena ssp., and Lumbricus terrestris. Innovative models were developed based on selected image texture parameters from earthworm images in individual color channels R, G, B, L, a, b, X, Y, Z, U, V, and S using various machine learning algorithms. The classification accuracy reached 100%. The models providing completely correct classifications were developed using Ensemble, Logistic, and Narrow Neural Network. Future research can focus on the application of deep learning for distinguishing different species and genera of earthworms using image texture parameters. The observed trends confirm that texture features are not only mathematically distinct but also biologically meaningful, reflecting progressive morphological changes during earthworm development.
Author Contributions
Conceptualization, T.M. and E.R.; methodology, T.M. and E.R.; formal analysis, A.S.; investigation, A.L. and A.S.; writing—original draft preparation, T.M., E.R. and A.Z.; writing—review and editing, A.Z.; supervision, T.M. and E.R. All authors have read and agreed to the published version of the manuscript.
Funding
The study was carried out within the framework of the research project no. ZOR/4/2022-2.4.22, financed by the Ministry of Education and Science, as part of the research subsidy granted to the National Institute of Horticultural Research.
Institutional Review Board Statement
Not applicable.
Informed Consent Statement
Not applicable.
Data Availability Statement
The data presented in this study are available on request from the corresponding author. The data are not publicly available due to privacy.
Conflicts of Interest
The authors declare no conflicts of interest.
References
- Solgi, A.; Najafi, A.; Page-Dumroese, D.S.; Zenner, E.K. Assessment of topsoil disturbance caused by different skidding machine types beyond the margins of the machine operating trail. Geoderma 2020, 367, 114238. [Google Scholar] [CrossRef]
- Drewry, J.J. Natural recovery of soil physical properties from treading damage of pastoral soils in New Zealand and Australia: A review. Agric. Ecosyst. Environ. 2006, 114, 159–169. [Google Scholar] [CrossRef]
- Kooch, Y.; Jalilvand, H. Earthworms as Ecosystem Engineers and the Most Important Detritivors in Forest Soils. Pak. J. Biol. Sci. 2008, 11, 819–825. [Google Scholar] [CrossRef]
- Jouquet, P.; Blanchart, E.; Capowiez, Y. Utilization of earthworms and termites for the restoration of ecosystem functioning. Appl. Soil Ecol. 2014, 73, 34–40. [Google Scholar] [CrossRef]
- Feledyn-Szewczyk, B.; Kleofas Berbeć, A.; Radzikowski, P. Rola dżdżownic w kształtowaniu jakości gleb oraz wpływ różnych zabiegów agrotechnicznych na ich występowanie. Stud. I Rap. IUNG-PIB 2017, 54, 57–71. [Google Scholar]
- Ducasse, V.; Darboux, F.; Auclerc, A.; Legout, A.; Ranger, J.; Capowiez, Y. Can Lumbricus terrestris be released in forest soils degraded by compaction? Preliminary results from laboratory and field experiments. Appl. Soil Ecol. 2021, 168, 104131. [Google Scholar] [CrossRef]
- Sinha, R.K.; Valani, D.; Chauhan, K.; Agarwal, S. Embarking on a second green revolution for sustainable agriculture by vermiculture biotechnology using earthworms: Reviving the dreams of Sir Charles Darwin. J. Agric. Biotechnol. Sustain. Dev. 2010, 2, 113–128. [Google Scholar]
- Pfiffner, L. Earthworms- architects of fertile soils. In Their Significance and Recommendations for Their Promotion in Agriculture. Technical Guide on Earthworms; Order no 1629, international edition; Research Institute of Organic Agriculture FIBL and TILMAN-ORG project Consortium: Frick, Switzerland, 2014; Available online: https://organic-farmknowledge.org/tool/30567 (accessed on 1 August 2024).
- Edwards, C.A. Earthworm Ecology, 2nd ed.; CRC Press: Boca Raton, FL, USA, 2004. [Google Scholar] [CrossRef]
- Przemieniecki, S.W.; Zapałowska, A.; Skwiercz, A.; Damszel, M.; Telesiński, A.; Sierota, Z.; Gorczyca, A. An evaluation of selected chemical, biochemical, and biological parameters of soil enriched with vermicompost. Environ. Sci. Pollut. Res. 2021, 28, 8117–8127. [Google Scholar] [CrossRef]
- Zapałowska, A.; Skwiercz, A.; Puchalski, C.; Malewski, T. Influence of Eisenia fetida on the Nematode Populations during Vermicomposting Process. Appl. Sci. 2024, 14, 1576. [Google Scholar] [CrossRef]
- Paoletti, M.G. The role of earthworms for assessment of sustainability and as bioindicators. Agric. Ecosyst. Environ. 1999, 74, 137–155. [Google Scholar] [CrossRef]
- Hu, X.; Zhang, T.; Tian, G.; Zhang, L.; Bian, B. Pilot-scale vermicomposting of sewage sludge mixed with mature vermicompost using earthworm reactor of frame composite structure. Sci. Total Environ. 2021, 767, 144217. [Google Scholar] [CrossRef] [PubMed]
- Devi, C.; Khwairakpam, M. Bioconversion of Lantana camara by vermicomposting with two different earthworm species in monoculture. Bioresour. Technol. 2020, 296, 122308. [Google Scholar] [CrossRef]
- Domnguez, J.; Gmez-Brand, M. Vermicomposting Composting with earthworms to recycle organic wastes. In Management of Organic Waste; Intech Open: London, UK, 2012. [Google Scholar] [CrossRef]
- Mane, V.B.; Kanase, S.S.; Sawale, N.S.; Bandsode, A.K.; Suryawanshi, M.A. Application of earthworm Eisenia fetida in waste management in municipal solid waste. Environ. Dev. Sustain. 2024, 1–19. [Google Scholar] [CrossRef]
- Keniya, B.; Patel, H.; Patel, K.; Bhatt, S.; Patel, T. Vermistabilization of mango tree pruning waste with five earthworm species: A biochemical and heavy metal assessment. Heliyon 2023, 9, e19908. [Google Scholar] [CrossRef] [PubMed] [PubMed Central]
- Khalid, H.; Ikhlaq, A.; Pervaiz, U.; Wie, Y.-M.; Lee, E.-J.; Lee, K.-H. Municipal Waste Degradation by Vermicomposting Using a Combination of Eisenia fetida and Lumbricus rubellus Species. Agronomy 2023, 13, 1370. [Google Scholar] [CrossRef]
- Sinha, R.K.; Bharambe, G.; Chaudhari, U. Sewage treatment by vermifiltration with synchronous treatment of sludge by earthworms: A low cost sustainable technology over conventional systems with potential for decentralization. Environmentalist 2008, 28, 409–420. [Google Scholar] [CrossRef]
- Gupta, R.; Garg, V.K. Stabilization of primary sewage sludge during vermicomposting. J. Hazard. Mater 2008, 162, 430–439. [Google Scholar] [CrossRef] [PubMed]
- Khwairakpam, M.; Bhargava, R. Vermitechnology for sewage sludge recycling. J. Hazard. Mater 2009, 161, 948–954. [Google Scholar] [CrossRef]
- Loh, T.C.; Lee, Y.C.; Liang, J.B.; Tan, D. Vermicomposting of cattle and goat manures by Eisenia Foetida and their growth and reproduction preference. Bioresour. Technol. 2005, 96, 111–114. [Google Scholar] [CrossRef]
- Plaza, C.; Nogales, R.; Senesi, N.; Benitez, E.; Polo, A. Organic matter humification by vermicomposting of cattle manure alone and mixed with two-phase olive pomace. Bioresour. Technol. 2007, 9, 5085–5089. [Google Scholar]
- Ghosh, M.; Chattopadhyay, G.N.; Baral, K. Transformation of phosphorus during vermicomposting. Bioresour. Technol. 1999, 69, 149–154. [Google Scholar] [CrossRef]
- Garg, V.K.; Kaushik, P. Vermistabilization of textile mill sludge spiked with poultry droppings by an epigeic earthworm Eisenia foetida. Bioresour. Technol. 2005, 96, 1063–1071. [Google Scholar] [CrossRef]
- Suthar, S. Bioremediation of agriculture wastes through vermicomposting. Bioremed. J. 2009, 13, 1–8. [Google Scholar] [CrossRef]
- Pramanik, P. Changes in microbial properties and nutrient dynamics in bagasse and coir during vermicomposting: Quantification of fungal biomass through ergosterol estimation in vermicompost. Waste Manag. 2010, 30, 787–791. [Google Scholar] [CrossRef] [PubMed]
- Kumar, R.; Verma, D.; Singh, B.L.; Kumar, U.; Shweta. Composting of sugarcane waste by-products through treatment with microorganisms and subsequent vermicomposting. Bioresour. Technol. 2010, 101, 6707–6711. [Google Scholar] [CrossRef] [PubMed]
- Sen, B.; Chandra, T.S. Chemolytic and solid-state spectroscopic evaluation of organic matter transformation during vermicomposting of sugar industry waste. Bioresour. Technol. 2006, 98, 1680–1683. [Google Scholar] [CrossRef]
- Sangwan, P.; Kaushik, C.P.; Garg, V.K. Vermiconversion of industrial sludge for recycling the nutrients. Bioresour. Technol. 2008, 99, 8699–8704. [Google Scholar] [CrossRef]
- Yadav, A.; Garg, V.K. Feasibility of nutrient recovery from industrial sludge by vermicomposting technology. J. Hazard. Mater. 2009, 168, 262–268. [Google Scholar] [CrossRef]
- Subramanian, S.; Sivarajan, M.; Saravanapriya, S. Chemical changes during vermicomposting of sago industry solid wastes. J. Hazard. Mater. 2010, 179, 318–322. [Google Scholar] [CrossRef]
- Yadav, K.D.; Tare, V.; Ahammed, M.M. Vermicomposting of source-separated human faeces for nutrient recycling. Waste Manag. 2010, 30, 50–56. [Google Scholar] [CrossRef]
- Jaenike, J. Eisenia foetida is two biological species. Megadrilogica 1982, 4, 6–7. [Google Scholar]
- Sherlock, E. Key to the Earthworms of the UK and Ireland, 2nd ed.; Field Studies Council: Amersham, UK, 2018; p. 96. ISBN 9781908819406. [Google Scholar]
- Plisko, J.D. Lumbricidae. Dżdżownice (Annelida: Oligochaeta). In Fauna Polski; PAN, Instytut Zoologiczny: Warsaw, Poland, 1973; Volume 1, p. 156. [Google Scholar]
- Poier, K.R.; Richter, J. Spatial distribution of earthworms and soil properties in an arable loess soil. Soil Biol. Biochem. 1992, 24, 1601–1608. [Google Scholar] [CrossRef]
- Albani, J.R.; Demuynck, S.; Grumiaux, F.; Lepretre, A. Fluorescence fingerprints of Eisenia fetida and Eisenia andrei. Photochem. Photobiol. 2003, 78, 599–602. [Google Scholar] [CrossRef]
- Römbke, J.; Aira, M.; Backeljau, T.; Breugelmans, K.; Domínguez, J.; Funke, E.; Graf, N.; Hajibabaei, M.; Pérez-Losada, M.; Porto, P.G.; et al. DNA barcoding of earthworms (Eisenia fetida/andrei complex) from 28 ecotoxicological test laboratories. Appl. Soil Ecol. 2016, 104, 3–11. [Google Scholar] [CrossRef]
- Katsiamides, A.; Stürzenbaum, S.R. Cryptic speciation and blurred species boundaries of the earthworm: A challenge for soil-based toxicological risk assessments. Comp. Biochem. Physiol. Part C: Toxicol. Pharmacol. 2021, 239, 108880. [Google Scholar] [CrossRef]
- Szczypiński, P.M.; Strzelecki, M.; Materka, A. Mazda-a software for texture analysis. In Proceedings of the International Symposium on Information Technology Convergence (ISITC 2007), Jeonju, Korea, 23–24 November 2007; pp. 245–249. [Google Scholar]
- Szczypiński, P.M.; Strzelecki, M.; Materka, A.; Klepaczko, A. MaZda—A software package for image texture analysis. Comput. Methods Programs Biomed. 2009, 94, 66–76. [Google Scholar] [CrossRef]
- Strzelecki, M.; Szczypiński, P.; Materka, A.; Klepaczko, A. A software tool for automatic classification and segmentation of 2D/3D medical images. Nucl. Instrum. Methods Phys. Res. Sect. A: Accel. Spectrometers Detect. Assoc. Equip. 2013, 702, 137–140. [Google Scholar] [CrossRef]
- Frank, E.; Hall, M.A.; Witten, I.H. The WEKA Workbench. Online Appendix for Data Mining: Practical Machine Learning Tools and Techniques, 4th ed.; The University of Waikato: Hamilton, New Zealand, 2016. [Google Scholar]
- Bouckaert, R.R.; Frank, E.; Hall, M.; Kirkby, R.; Reutemann, P.; Seewald, A.; Scuse, D. WEKA Manual for Version 3-9-1; University of Waikato: Hamilton, New Zealand, 2016. [Google Scholar]
- Witten, I.H.; Frank, E. Data Mining: Practical Machine Learning Tools and Techniques, 2nd ed.; Elsevier: San Francisco, CA, USA, 2005; p. 525. [Google Scholar]
- Ropelewska, E.; Szwejda-Grzybowska, J. A comparative analysis of the discrimination of pepper (Capsicum annuum L.) based on the cross-section and seed textures determined using image processing. J. Food Process Eng. 2021, 44, e13694. [Google Scholar] [CrossRef]
- Ropelewska, E. Distinguishing lacto-fermented and fresh carrot slice images using the Multilayer Perceptron neural network and other machine learning algorithms from the groups of Functions, Meta, Trees, Lazy, Bayes and Rules. Eur. Food Res. Technol. 2022, 248, 2421–2429. [Google Scholar] [CrossRef]
- Poursalavati, A.; Larafa, A.; Fall, M.L. dsRNA-based viromics: A novel tool unveiled hidden soil viral diversity and richness. bioRxiv 2023. [Google Scholar] [CrossRef]
- Lee, S.; Nguyen, L.T.; Hayes, B.J.; Ross, E.M. Prowler: A novel trimming algorithm for Oxford Nanopore sequence data. Bioinformatics 2021, 37, 3936–3937. [Google Scholar] [CrossRef]
- Marcelino, V.R.; Clausen, P.T.L.C.; Buchmann, J.P.; Wille, M.; Iredell, J.R.; Meyer, W.; Lund, O.; Sorrell, T.C.; Holmes, E.C. CCMetagen: Comprehensive and accurate identification of eukaryotes and prokaryotes in metagenomic data. Genome Biol. 2021, 21, 1–15. [Google Scholar] [CrossRef]
- Clausen, P.T.L.C.; Aarestrup, F.M.; Lund, O. Rapid and precise alignment of raw reads against redundant databases with KMA. BMC Bioinform. 2018, 19, 103. [Google Scholar] [CrossRef]
- Vaupel, A.; Hommel, B.; Beule, L. High-resolution melting (HRM) curve analysis as a potential tool for the identification of earthworm species and haplotypes. PeerJ 2022, 10, e13661. [Google Scholar] [CrossRef] [PubMed]
- Liu, H.; Zhang, Y.; Xu, W.; Fang, Y.; Ruan, H. Characterization of Five New Earthworm Mitogenomes (Oligochaeta: Lumbricidae): Mitochondrial Phylogeny of Lumbricidae. Diversity 2021, 13, 580. [Google Scholar] [CrossRef]
- Kumar, P.; Raghupathi, M.; Bolan, N.S.; Miklavcic, S. Phenotyping Earthworm by Image Analysis. In Proceedings of the 13th International Conference on Control, Automation, Robotics & Vision (ICARCV 2014), Marina Bay Sands, Singapore, 10–12 December 2014; pp. 205–210. [Google Scholar]
- Andleeb, S.; Abbasi, W.A.; Mustafa, R.G.; Islam, G.; Naseer, A.; Shafique, I.; Parween, A.; Shaheen, B.; Shafiq, M.; Altaf, M.; et al. ESIDE: A computationally intelligent method to identify earthworm species (E. fetida) from digital images: Application in taxonomy. PLoS ONE 2021, 16, e0255674. [Google Scholar] [CrossRef] [PubMed]
- Fernández, R.; Kvist, S.; Lenihan, J.; Giribet, G.; Ziegler, A. Sine systemate chaos? A versatile tool for earthworm taxonomy: Non-destructive imaging of freshly fixed and museum specimens using micro-computed tomography. PLoS ONE 2014, 9, e96617. [Google Scholar] [CrossRef] [PubMed]
- Çelik, A.; Uğuz, S. A deep learning based system for real-time detection and sorting of earthworm cocoons. Turk. J. Electr. Eng. Comput. Sci. 2022, 30, 20. [Google Scholar] [CrossRef]
- Djerdj, T.; Hackenberger, D.K.; Hackenberger, D.K.; Hackenberger, B.K. Observing earthworm behavior using deep learning. Geoderma 2020, 358, 113977. [Google Scholar] [CrossRef]
- Fernández, L.; Castillero, C.; Aguilera, J.M. An application of image analysis to dehydration of apple discs. J. Food Eng. 2005, 67, 185–193. [Google Scholar] [CrossRef]
- Armi, L.; Fekri-Ershad, S. Texture image analysis and texture classification methods—A review. Int. Online J. Image Process. Pattern Recogn. 2019, 2, 1–29. [Google Scholar]
Disclaimer/Publisher’s Note: The statements, opinions and data contained in all publications are solely those of the individual author(s) and contributor(s) and not of MDPI and/or the editor(s). MDPI and/or the editor(s) disclaim responsibility for any injury to people or property resulting from any ideas, methods, instructions or products referred to in the content. |
© 2025 by the authors. Licensee MDPI, Basel, Switzerland. This article is an open access article distributed under the terms and conditions of the Creative Commons Attribution (CC BY) license (https://creativecommons.org/licenses/by/4.0/).




