Study on Nonlinear Vibration of Carbon Nanotube-Reinforced Composite Beam Using Nonlocal Beam Theory in a Complex Environment
Abstract
1. Introduction
2. The Model of CNTRC Beams
3. Governing Equations of CNTRC Beams
3.1. Nonlocal Strain Gradient Theory
3.2. The Governing Equation for CNTRCs Considering the Thickness Effect
4. The Optimal Auxiliary Functions Method
5. OAFM for Nonlinear Vibration of CNTRC
6. Numerical Example
7. Buckling Analysis
8. Bending Analysis
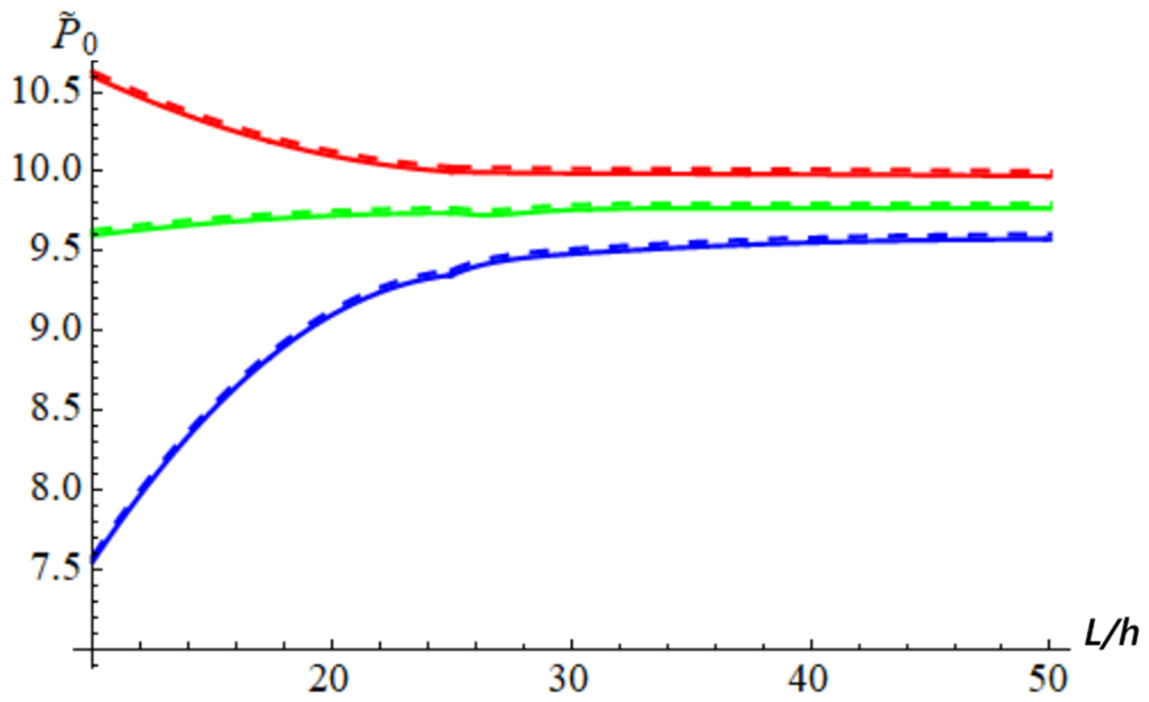
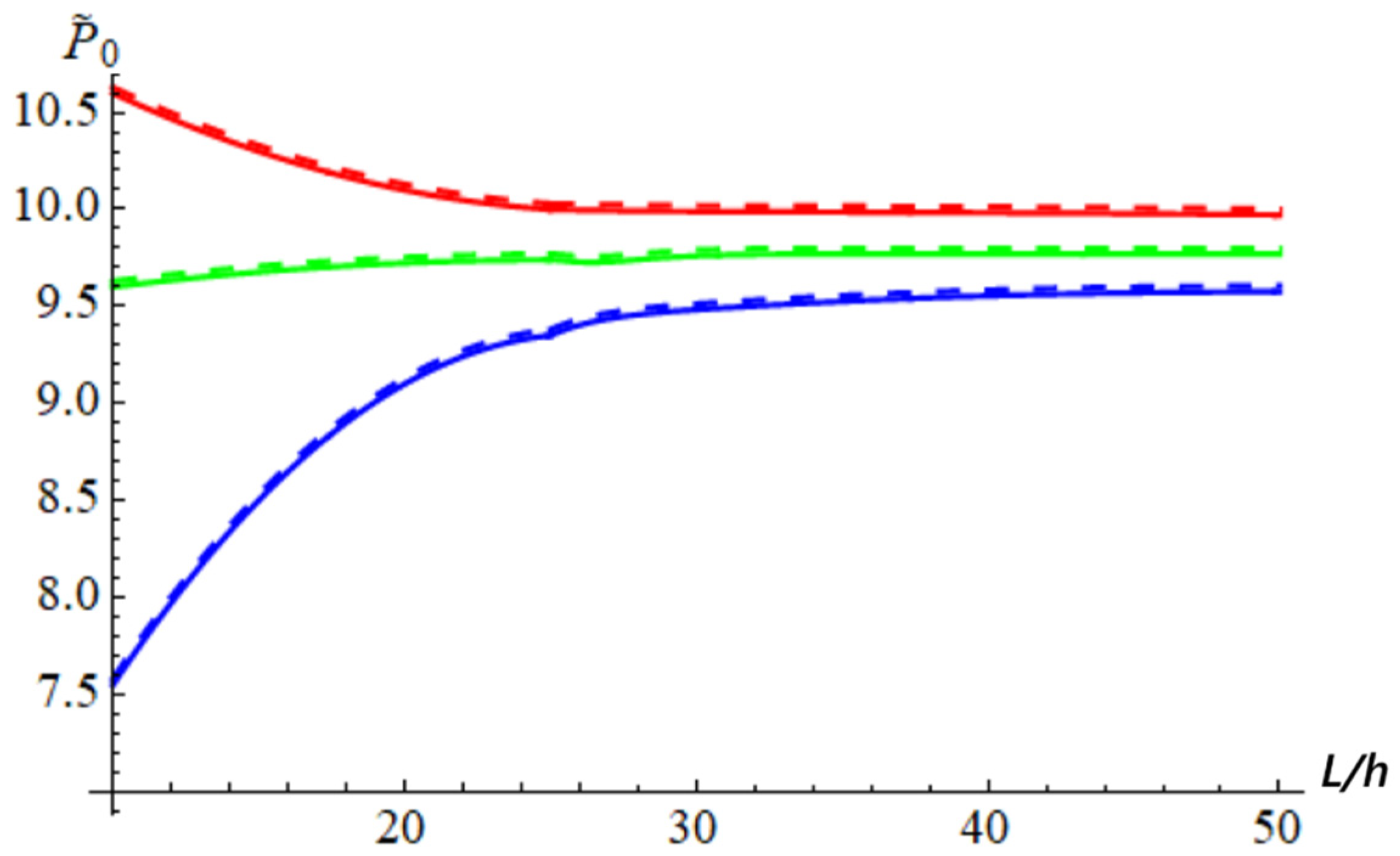
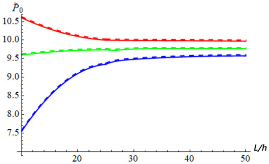
9. Numerical Results and Discussion
9.1. Buckling
9.2. Bending
10. Conclusions
- -
- Extension of normal and shear strain;
- -
- A generalized curvature;
- -
- Introduction of the functions f(x,t), g(x,t), and h(x,t);
- -
- Combination between the electromagnetic actuator, nonlinear elastic Winkler–Pasternak foundation, and mechanical impact;
- -
- The Optimal Auxiliary Functions Method;
- -
- Study of buckling and bending using Homotopy Perturbation Method in combination with the Galerkin method and then the optimization method.
Author Contributions
Funding
Institutional Review Board Statement
Informed Consent Statement
Data Availability Statement
Conflicts of Interest
Abbreviations
| CNTs | Carbon nanotubes |
| NSGT | Nonlocal strain gradient theory |
| OAFM | Optimal Auxiliary Functions Method |
| HPM | Homotopy Perturbation Method |
| CNTRC | Carbon nanotube-reinforced beam |
| SWCNT | Single-walled carbon nanotube |
| LCB | Laminated composite beam |
Appendix A
Appendix B
References
- Shen, H.S.; Zhang, C.L. Nonlocal beam model for nonlinear analysis of carbon nanotubes on elastomeric substrates. Comput. Mater. Sci. 2011, 50, 1022–1029. [Google Scholar] [CrossRef]
- Rafiee, M.; Yang, J.; Kitipornchai, S. Thermal bifurcation buckling of piezoelectric carbon nanotube reinforced composite beams. Comput. Math. Appl. 2013, 66, 1147–1160. [Google Scholar] [CrossRef]
- Wattanasakulpong, N.; Ungbhakorn, V. Analytical solutions for bending, buckling and vibration responses of carbon nanotube-reinforced composite beams resting on elastic foundation. Comput. Mater. Sci. 2013, 71, 201–208. [Google Scholar] [CrossRef]
- Asadi, H.; Aghdam, M.M. Large amplitude vibration and post-buckling analysis of variable cross-section composite beams on nonlinear elastic foundation. Int. J. Mech. Sci. 2014, 79, 47–55. [Google Scholar] [CrossRef]
- Bahmyari, E.; Mohebpour, S.R.; Malekzadeh, P. Vibration analysis of inclined laminated composite beams under moving distributed masses. Shock Vib. 2014, 2014, 75098. [Google Scholar] [CrossRef]
- Lu, L.; Guo, X.; Zhao, J. A unified nonlocal strain gradient model for nanobeams and the importance of higher order terms. Int. J. Eng. Sci. 2017, 119, 265–277. [Google Scholar] [CrossRef]
- Shi, Z.; Yao, X.; Pang, F.; Wang, Q. An exact solution for the free vibration analysis of functionally graded carbon-nanotube-reinforced compsite beams with arbitrary boundary conditions. Sci. Rep. 2017, 7, 10909. [Google Scholar]
- Ouakad, H.M.; El-Borgi, S.; Mousavi, S.M.; Friswell, M.L. Static and dynamic response of CNT nanobeam using nonlocal strain and velocity gradient theory. Appl. Math. Model. 2018, 62, 207–212. [Google Scholar] [CrossRef]
- Fan, J.; Huang, J. Haar wavelet method for nonlinear vibration of functionally graded CNT-reinforced composite beams resting on nonlinear elastic foundation in thermal environment. Shock Vib. 2018, 2018, 9597541. [Google Scholar] [CrossRef]
- Borjalilou, V.; Taati, E.; Tahmadian, M. Bending, buckling and free vibration of nonlocal FG-carbon nanotube-reinforced composite nanobeams: Exact solutions. SN Appl. Sci. 2019, 1, 1323. [Google Scholar] [CrossRef]
- Pourasghar, A.; Chen, Z. Nonlinear vibration and modal analysis of FG nanocomposite sandwich beams reinforced by aggregated CNTs. Polym. Eng. Sci. 2019, 59, 25119. [Google Scholar] [CrossRef]
- Wang, Y.; Xie, K.; Fu, T.; Shi, C. Bending and elastic vibration of a novel functionally graded polumer nanocomposite beam reinforced by graphene nanoplatelets. Nanomaterials 2019, 9, 1690. [Google Scholar] [CrossRef] [PubMed]
- Hashemian, M.; Foroutan, S.; Toghraie, D. Comprehensive beam models for buckling and bending behavior of simple nanobeam based on nonlocal strain gradient theory and surface effects. Mech. Mater. 2019, 139, 103209. [Google Scholar] [CrossRef]
- Shafiei, H.; Setoodeh, A.H. An analytical study of the nonlinear forced vibration of functionally graded carbon nanotube-reinforced composite beams on nonlinear viscoelastic foundation. Arch. Mech. 2020, 72, 81–107. [Google Scholar]
- Huang, K.; Cai, X.; Wang, M. Bernoulli-Euler beam theory of single-walled carbon nanotubes based on nonlinear stress-strain relationship. Mater. Res. Express 2020, 7, 125003. [Google Scholar] [CrossRef]
- Keshtegar, B.; Kolahchi, R.; Eyvaziah, A.; Trung, N.T. Dynamic stability analysis in hybrid nanocomposite polymer beams reinforced by carbon fibers and carbon nanotubes. Polymers 2021, 13, 106. [Google Scholar] [CrossRef]
- Su, Y.C.; Cho, T.Y. Free vibration of a single-walled carbon nanotube based on the nonlocal Timoshenko beam model. J. Mech. 2021, 37, 616–635. [Google Scholar] [CrossRef]
- Senthilkumar, V. Axial vibration of double-walled carbon nanotubes using double nanorod model with van der Waals force under Pasternak medium and magnetic effect. Vietnam J. Mech. 2022, 44, 29–43. [Google Scholar] [CrossRef]
- Zhao, J.L.; Chen, X.; She, O.L.; Jing, Y.; Bai, R.Q.; Yi, J.; Pu, H.Y.; Luo, J. Vibration characteristics of functionally graded carbon nanotube-reinforced composite double-beams in thermal environments. Steel Compos. Struct. 2022, 43, 797–808. [Google Scholar]
- Essen, I.; Tran, T.T.; Nguyen, D.K. Dynamic response of FG-CNTRC beams subjected to a moving mass. Vietnam J. Sci. Technol. 2022, 60, 853–868. [Google Scholar]
- Seyfi, A.; Teimouri, A.; Dimitri, R.; Tornabene, F. Dispersion of elastic waves in functionally graded CNTs-reinforced composite beams. Appl. Sci. 2022, 12, 3852. [Google Scholar] [CrossRef]
- Alimoradzadeh, M.; Akbas, S.D. Nonlinear oscillations of a composite microbeam reinforced with carbon nanotube based on the modified couple stress theory. Coupled Syst. Mech. 2022, 11, 485–504. [Google Scholar]
- Dang, V.H.; Nguyen, T.H. Buckling and nonlinear vibration of functionally graded porous micro-beam resting on elastic foundation. Mech. Adv. Comp. Struct. 2022, 9, 75–88. [Google Scholar]
- Eghbali, M.; Hosseini, S.A. On moving harmonic load and dynamic response of carbon nanotube-reinforced composite beams using higher-order shear deformation theories. Mech. Adv. Comp. Struct. 2023, 10, 257–270. [Google Scholar]
- Mohanty, A.P.; Das, P.; Choudhury, S.; Sanu, S.K. Free vibration behavior of laminated composite beam under crack effects. A combined numerical and experimental approach. Ann. Chim. Sci. Matériaux 2024, 48, 447–455. [Google Scholar] [CrossRef]
- Huang, Z.; Li, Y.; Cheng, Y.; Wang, X. Finite element modeling and vibration control of composite beams with partially covers active constrained layer damping. Sound Vib. 2025, 59, 1765. [Google Scholar] [CrossRef]
- Sharma, P.; Kumar, R.D.; Khinchi, A. Behavior of tri-directional advanced composite beams using finite element method. J. Polym. Comp. 2025, 13, 610–620. [Google Scholar]
- Murugan, H.; Ramamoorthy, M. Investigation of vibration-induced fatigue on composite sandwich beam with GFRP laminate and PLA honeycomb stiffened core. Mech. Based Struct. Mach. 2025, 53, 1–24. [Google Scholar] [CrossRef]
- Zhang, G.; Hao, Y.; Guo, Z.; Mi, C. A new model for thermal buckling of FG-MEE microbeams based on a non-classical third-order shear deformation beam theory. Mech. Solids 2024, 59, 1475–1495. [Google Scholar] [CrossRef]
- Li, L.; Tang, H.; Hu, Y. The effect of thickness on the mechanics of nanotubes. Int. J. Eng. Sci. 2017, 123, 81–91. [Google Scholar] [CrossRef]
- Marinca, V.; Herisanu, N. The nonlinear thermomechanical vibration of a functionally graded beam on Winkler-Pasternak foundation. MATEC Web Conf. 2018, 148, 13004. [Google Scholar] [CrossRef][Green Version]
- Herisanu, N.; Marinca, V. An effective analytical approach to nonlinear free vibration of elastically microtubes. Meccanica 2021, 561, 813–823. [Google Scholar] [CrossRef]
- Herisanu, N.; Marinca, B.M.; Marinca, V. Longitudinal–transverse vibration of a functionally graded nanobeam subjected to mechanical impact and electromagnetic actuation. Symmetry 2023, 15, 1376. [Google Scholar] [CrossRef]
- Herisanu, N.; Marinca, V.; Madescu, G. Application of the Optimal Auxiliary Function Method to a permanent magnet synchronous generator. Int. J. Nonlinear Sci. Numer. Simul. 2019, 20, 399–406. [Google Scholar] [CrossRef]
- Marinca, B.M.; Herisanu, N.; Marinca, V. Investigating nonlinear forced vibration of functionally graded nanobeam based on nonlocal strain gradient theory considering the mechanical impact, electromagnetic actuator, thickness effect and nonlinear foundation. Eur. J. Mech. A-Solids 2023, 102, 105119. [Google Scholar] [CrossRef]
- He, J.H. Some asymptotic methods for strongly nonlinear equations. Int. J. Mod. Phys. B 2006, 20, 1141–1199. [Google Scholar] [CrossRef]
- He, J.H. Homotopy perturbation method for solving boundary values problems. Phys. Lett. A 2006, 350, 87–88. [Google Scholar] [CrossRef]
- Yas, M.H.; Samadi, N. Free vibrations and buckling analysis of carbon nanotube-reinforced composite Timoshenko beams on elastic foundation. Int. J. Press. Vess. Pip. 2012, 98, 119–128. [Google Scholar] [CrossRef]







| VCNT | ea | UD-Beam | X-Beam | O-Beam | O-Beam | |||
|---|---|---|---|---|---|---|---|---|
| Data from [10] | Present | Data from [10] | Present | Data from [10] | Present (Linear) | Present (Nonlinear) | ||
| 0.12 | 0 | 17.2929 | 17.4913 | 20.3867 | 20.4104 | 12.1347 | 12.2512 | 16.7435 |
| 15.8712 | 15.1837 | 19.0337 | 19.1444 | 10.8132 | 10.7845 | 14.9782 | ||
| 2 | 14.6655 | 14.6948 | 17.8492 | 17.9104 | 9.7513 | 9.7385 | 13.8572 | |
| 0.17 | 0 | 27.2229 | 27.2778 | 32.7365 | 32.9613 | 18.6032 | 18.5788 | 23.5721 |
| 24.8201 | 24.9941 | 30.3636 | 30.4593 | 16.4684 | 16.4004 | 21.2437 | ||
| 2 | 22.8078 | 22.8813 | 28.3115 | 28.3784 | 14.7732 | 14.6982 | 19.7845 | |
| 0.28 | 0 | 36.0119 | 36.2174 | 43.0629 | 43.1557 | 26.5113 | 26.6231 | 32.8132 |
| 33.3770 | 33.4011 | 40.5028 | 40.6134 | 23.7818 | 23.8113 | 28.9435 | ||
| 2 | 31.1014 | 31.1334 | 38.2304 | 38.4517 | 21.5618 | 21.6289 | 26.4389 | |
| VCNT | UD-Beam | O-Beam | X-Beam | X-Beam | ||||||
|---|---|---|---|---|---|---|---|---|---|---|
| Data from [3] | Data from [38] | Present | Data from [3] | Data from [38] | Present | Data from [3] | Data from [38] | Present (Linear) | Present (Nonlinear) | |
| 0.12 | 0.1032 | 0.0986 | 0.0996 | 0.0604 | 0.05877 | 0.059173 | 0.1367 | 0.128833 | 0.130742 | 0.17832 |
| 0.17 | - | 0.15155 | 0.15267 | - | 0.087704 | 0.085132 | - | 0.199945 | 0.197371 | 0.23751 |
| 0.28 | - | 0.22005 | 0.21973 | - | 0.155755 | 0.15614 | - | 0.289646 | 0.28743 | 0.33112 |
| ea nm | Beam Theory | L/h = 10 | L/h = 20 | |||||||||||
|---|---|---|---|---|---|---|---|---|---|---|---|---|---|---|
| l = 0 nm | l = 1 nm | l = 2 nm | l = 0 nm | l = 1 nm | l = 2 nm | |||||||||
| Data from [6] | Present | Data from [6] | Present | Data from [6] | Present | Data from [6] | Present | Data from [6] | Present | Data from [6] | Present (Linear) | Present (Nonlinear) | ||
| 0 | E-B | 9.8696 | 9.7981 | 10.8437 | 10.8314 | 13.7606 | 13.7592 | 9.8696 | 9.8677 | 10.1837 | 10.1788 | 10.8437 | 10.8612 | 16.1124 |
| T | 9.6222 | 9.6012 | 10.5724 | 10.5742 | 13.4716 | 13.4814 | 9.8062 | 9.7983 | 10.0487 | 10.0501 | 10.5746 | 10.5728 | 15.8327 | |
| 1 | E-B | 8.9830 | 8.9637 | 9.8696 | 9.8685 | 12.5194 | 12.5207 | 9.6320 | 9.6291 | 9.8696 | 9.8689 | 10.5826 | 10.5835 | 15.8574 |
| T | 8.7583 | 8.7492 | 9.6222 | 9.6256 | 12.2159 | 12.2189 | 9.5706 | 9.5718 | 9.8067 | 9.7983 | 10.5151 | 10.5172 | 15.8991 | |
| 2 | E-B | 7.0761 | 7.0612 | 7.7741 | 7.7784 | 9.8696 | 9.8674 | 8.9830 | 8.9841 | 9.2047 | 9.2107 | 9.8696 | 9.8685 | 15.8784 |
| T | 6.8990 | 6.8124 | 7.5800 | 7.6111 | 9.6222 | 9.6273 | 8.9258 | 8.9277 | 9.1460 | 9.1511 | 9.8067 | 9.8071 | 15.8144 | |
| VCNT | Maximum Normalized Deflection: | |
|---|---|---|
| Data from [10] | Present | |
| 0.12 | 0.515866 | 0.512437 |
| 0.17 | 0.323635 | 0.324072 |
| 0.28 | 0.242150 | 0.243075 |
| VCNT | L/h | Dimensionless Displacement | |
|---|---|---|---|
| Data from [3] | Present | ||
| 0.12 | 10 | 0.704 | 0.695 |
| 15 | 0.524 | 0.518 | |
| 20 | 0.461 | 0.458 | |
| 0.17 | 10 | 0.448 | 0.439 |
| 15 | 0.344 | 0.351 | |
| 20 | 0.307 | 0.310 | |
| 0.28 | 10 | 0.325 | 0.328 |
| 15 | 0.235 | 0.241 | |
| 20 | 0.203 | 0.205 | |
| ea nm | Beam Theory | L/h = 10 | L/h = 20 | L/h = 50 | |||||||||
|---|---|---|---|---|---|---|---|---|---|---|---|---|---|
| l = 0 nm | l = 2 nm | l = 0 nm | l = 2 nm | l = 0 nm | l = 2 nm | ||||||||
| Data from [6] | Present | Data from [6] | Present | Data from [6] | Present | Data from [6] | Present | Data from [6] | Present | Data from [6] | Present | ||
| 0 | E-B | 1.3021 | 1.3057 | 0.9360 | 0.9401 | 1.3021 | 1.3091 | 1.1840 | 1.1797 | 1.3021 | 1.3092 | 1.2823 | 1.2857 |
| T | 1.3346 | 1.3407 | 0.9598 | 0.9587 | 1.3102 | 1.3142 | 1.1944 | 1.1896 | 1.3034 | 1.3104 | 1.2836 | 1.2873 | |
| 1 | E-B | 1.4271 | 1.4283 | 0.9596 | 0.9588 | 1.3333 | 1.3412 | 1.2157 | 1.2095 | 1.3071 | 1.3106 | 1.2873 | 1.2904 |
| T | 1.4622 | 1.4803 | 1.0275 | 1.1029 | 1.3416 | 1.3391 | 1.2234 | 1.2303 | 1.3084 | 1.3109 | 1.2986 | 1.0907 | |
| 2 | E-B | 1.8021 | 1.8095 | 1.3021 | 1.3076 | 1.4271 | 1.4266 | 1.3021 | 1.3077 | 1.3221 | 1.3276 | 1.3021 | 1.3071 |
| T | 1.8450 | 1.8507 | 1.3346 | 1.3391 | 1.4359 | 1.4388 | 1.3102 | 1.3114 | 1.3234 | 1.3255 | 1.3034 | 1.3085 | |
| UD-Beam | X-Beam | O-Beam | |||||
|---|---|---|---|---|---|---|---|
| VCNT | ea | Error | p | Error | p | Error | p |
| 0.12 | 0 | 0.1984 | 1.85 | 0.0237 | 0.116 | 0.1165 | 0.96 |
| 0.1123 | 0.71 | 0.1107 | 0.582 | 0.0287 | 0.265 | ||
| 2 | 0.0293 | 0.2 | 0.0612 | 0.343 | 0.0128 | 0.131 | |
| 0.17 | 0 | 0.0543 | 0.2 | 0.125 | 0.382 | 0.0244 | 0.131 |
| 0.174 | 0.7 | 0.0957 | 0.315 | 0.061 | 0.413 | ||
| 2 | 0.0745 | 0.33 | 0.0674 | 0.238 | 0.075 | 0.507 | |
| 0.28 | 0 | 0.2055 | 0.57 | 0.0928 | 0.216 | 0.1114 | 0.42 |
| 0.0241 | 0.072 | 0.1106 | 0.273 | 0.0672 | 0.283 | ||
| 2 | 0.0324 | 0.104 | 0.2213 | 0.578 | 0.0571 | 0.265 | |
Disclaimer/Publisher’s Note: The statements, opinions and data contained in all publications are solely those of the individual author(s) and contributor(s) and not of MDPI and/or the editor(s). MDPI and/or the editor(s) disclaim responsibility for any injury to people or property resulting from any ideas, methods, instructions or products referred to in the content. |
© 2025 by the authors. Licensee MDPI, Basel, Switzerland. This article is an open access article distributed under the terms and conditions of the Creative Commons Attribution (CC BY) license (https://creativecommons.org/licenses/by/4.0/).
Share and Cite
Marinca, B.; Herisanu, N.; Marinca, V. Study on Nonlinear Vibration of Carbon Nanotube-Reinforced Composite Beam Using Nonlocal Beam Theory in a Complex Environment. Appl. Sci. 2025, 15, 6494. https://doi.org/10.3390/app15126494
Marinca B, Herisanu N, Marinca V. Study on Nonlinear Vibration of Carbon Nanotube-Reinforced Composite Beam Using Nonlocal Beam Theory in a Complex Environment. Applied Sciences. 2025; 15(12):6494. https://doi.org/10.3390/app15126494
Chicago/Turabian StyleMarinca, Bogdan, Nicolae Herisanu, and Vasile Marinca. 2025. "Study on Nonlinear Vibration of Carbon Nanotube-Reinforced Composite Beam Using Nonlocal Beam Theory in a Complex Environment" Applied Sciences 15, no. 12: 6494. https://doi.org/10.3390/app15126494
APA StyleMarinca, B., Herisanu, N., & Marinca, V. (2025). Study on Nonlinear Vibration of Carbon Nanotube-Reinforced Composite Beam Using Nonlocal Beam Theory in a Complex Environment. Applied Sciences, 15(12), 6494. https://doi.org/10.3390/app15126494

