Finite-Time Disturbance Observer-Based Sliding Mode Control for a Vehicle Platoon Subject to Mismatched Disturbance
Abstract
1. Introduction
- In contrast to [28,29,30], in which the assumptions regarding the known precise upper bounds of disturbances are made, this work presents a novel FTDO capable of directly estimating matched and mismatched disturbances without the need to know the precise upper bounds of both types of disturbances, which makes this approach more general and extends applicability to a broader range of practical systems.
- For a vehicle platoon affected by matched and mismatched disturbances, a novel FTDO-based sliding mode control approach is developed to achieve the control goals. Moreover, a feedforward compensation term is constructed by utilizing disturbance estimation to effectively reduce the negative effects of disturbances and guarantee the platoon’s stability.
2. Problem Formulation
2.1. Vehicle Dynamics Modeling
2.2. Platoon Control Problem Formulation
- Each vehicle keeps the predetermined inter-vehicle spacing and achieves velocity synchronization with the leader vehicle;
- The matched and mismatched disturbances of the vehicle platoon are estimated by utilizing the developed FTDO without requiring to know the exact upper bounds of the disturbances;
- An FTDO-based sliding mode control scheme is proposed to compensate for the adverse influences caused by matched and mismatched disturbances and to ensure the vehicle platoon’s stability.
2.3. Definitions and Lemmas
3. Finite-Time Disturbance Observer and Controller Design
3.1. Finite-Time Disturbance Observer Design
3.2. FTDO-Based Sliding Mode Controller Design and Stability Analysis
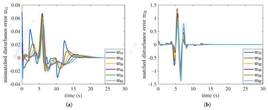
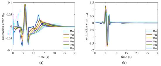
4. Performance Results
5. Conclusions
Author Contributions
Funding
Institutional Review Board Statement
Informed Consent Statement
Data Availability Statement
Conflicts of Interest
Abbreviations
| FTDO | Finite time disturbance observer |
| CTH | Constant time headway |
References
- Wang, Y.; Dong, H.; Li, X. Distributed Cooperative Neural Control for Nonlinear Heterogeneous Platoon Systems with Unknown Uncertainties. Arab. J. Sci. Eng. 2024, 49, 15957–15970. [Google Scholar] [CrossRef]
- Xu, L.; Zhuang, W.; Yin, G.; Bian, C. Energy-oriented cruising strategy design of vehicle platoon considering communication delay and disturbance. Transp. Res. Part C Emerg. Technol. 2019, 107, 34–53. [Google Scholar] [CrossRef]
- Deng, Z.; Fan, J.; Shi, Y.; Shen, W. A coevolutionary algorithm for cooperative platoon formation of connected and automated vehicles. IEEE Trans. Veh. Technol. 2022, 71, 12461–12474. [Google Scholar] [CrossRef]
- Zhai, C.; Chen, C.; Zheng, X.; Han, Z.; Gao, Y.; Yan, C.; Luo, F.; Xu, J. Ecological cooperative adaptive cruise control for heterogenous vehicle platoons subject to time delays and input saturations. IEEE Trans. Intell. Transp. Syst. 2022, 24, 2862–2873. [Google Scholar] [CrossRef]
- Zhou, A.; Peeta, S.; Wang, J. Cooperative control of a platoon of connected autonomous vehicles and unconnected human-driven vehicles. Comput.-Aided Civ. Infrastruct. Eng. 2023, 38, 2513–2536. [Google Scholar] [CrossRef]
- Hu, J.; Bhowmick, P.; Arvin, F.; Lanzon, A.; Lennox, B. Cooperative control of heterogeneous connected vehicle platoons: An adaptive leader-following approach. IEEE Robot. Autom. Lett. 2020, 5, 977–984. [Google Scholar] [CrossRef]
- Xue, Y.; Wang, C.; Ding, C.; Yu, B.; Cui, S. Observer-based event-triggered adaptive platooning control for autonomous vehicles with motion uncertainties. Transp. Res. Part C Emerg. Technol. 2024, 159, 104462. [Google Scholar] [CrossRef]
- Xu, L.; Ma, J.; Zhang, S.; Wang, Y. Car following models for alleviating the degeneration of CACC function of CAVs in weak platoon intensity. Transp. Lett. 2023, 16, 599–611. [Google Scholar] [CrossRef]
- Gao, H.; Ren, X.; You, Z.; Li, X.; Xiao, Y.; Guo, M.; Ma, X. Determination of the optimal connected and automated vehicles platoon size based on the merging success rate. Transp. Lett. 2023, 16, 857–871. [Google Scholar] [CrossRef]
- Wang, Y.; Tang, X.; Jiang, Y.; Li, X.; Zhan, X. Adaptive integral sliding mode control strategy for vehicular platoon with prescribed performance. Sci. Rep. 2025, 15, 14156. [Google Scholar] [CrossRef]
- Di Bernardo, M.; Salvi, A.; Santini, S. Distributed consensus strategy for platooning of vehicles in the presence of time-varying heterogeneous communication delays. IEEE Trans. Intell. Transp. Syst. 2014, 16, 102–112. [Google Scholar] [CrossRef]
- Yu, G.; Wong, P.K.; Huang, W.; Zhao, J.; Wang, X.B.; Yang, Z.X. Distributed adaptive consensus protocol for connected vehicle platoon with heterogeneous time-varying delays and switching topologies. IEEE Trans. Intell. Transp. Syst. 2022, 23, 17620–17631. [Google Scholar] [CrossRef]
- Mattas, K.; Albano, G.; Donà, R.; He, Y.; Ciuffo, B. On the relationship between traffic hysteresis and string stability of vehicle platoons. Transp. Res. Part B Methodol. 2023, 174, 102785. [Google Scholar] [CrossRef]
- Chen, J.; Liang, H.; Li, J.; Lv, Z. Connected automated vehicle platoon control with input saturation and variable time headway strategy. IEEE Trans. Intell. Transp. Syst. 2020, 22, 4929–4940. [Google Scholar] [CrossRef]
- Zhang, H.; Liu, J.; Wang, Z.; Yan, H.; Zhang, C. Distributed adaptive event-triggered control and stability analysis for vehicular platoon. IEEE Trans. Intell. Transp. Syst. 2020, 22, 1627–1638. [Google Scholar] [CrossRef]
- Guo, X.; Wang, J.; Liao, F.; Teo, R.S.H. Distributed adaptive sliding mode control strategy for vehicle-following systems with nonlinear acceleration uncertainties. IEEE Trans. Veh. Technol. 2016, 66, 981–991. [Google Scholar] [CrossRef]
- Li, X.; Shi, P.; Wang, Y.; Wang, S. Cooperative tracking control of heterogeneous mixed-order multiagent systems with higher-order nonlinear dynamics. IEEE Trans. Cybern. 2020, 52, 5498–5507. [Google Scholar] [CrossRef]
- Zhang, J.; Liu, X.; Xia, Y.; Zuo, Z.; Wang, Y. Disturbance observer-based integral sliding-mode control for systems with mismatched disturbances. IEEE Trans. Ind. Electron. 2016, 63, 7040–7048. [Google Scholar] [CrossRef]
- Fang, X.; Liu, F.; Wang, Z.; Dong, N. Novel disturbance-observer-based control for systems with high-order mismatched disturbances. Int. J. Syst. Sci. 2018, 49, 371–382. [Google Scholar] [CrossRef]
- Li, S.E.; Gao, F.; Li, K.; Wang, L.Y.; You, K.; Cao, D. Robust longitudinal control of multi-vehicle systems—A distributed H-infinity method. IEEE Trans. Intell. Transp. Syst. 2017, 19, 2779–2788. [Google Scholar] [CrossRef]
- Wang, J.; Luo, X.; Yan, J.; Guan, X. Distributed integrated sliding mode control for vehicle platoons based on disturbance observer and multi power reaching law. IEEE Trans. Intell. Transp. Syst. 2020, 23, 3366–3376. [Google Scholar] [CrossRef]
- Guo, G.; Li, D. Adaptive sliding mode control of vehicular platoons with prescribed tracking performance. IEEE Trans. Veh. Technol. 2019, 68, 7511–7520. [Google Scholar] [CrossRef]
- Wu, Z.; Sun, J.; Hong, S. RBFNN-based adaptive event-triggered control for heterogeneous vehicle platoon consensus. IEEE Trans. Intell. Transp. Syst. 2022, 23, 18761–18773. [Google Scholar] [CrossRef]
- Xiao, W.; Ren, H.; Zhou, Q.; Li, H.; Lu, R. Distributed finite-time containment control for nonlinear multiagent systems with mismatched disturbances. IEEE Trans. Cybern. 2021, 52, 6939–6948. [Google Scholar] [CrossRef]
- Lei, H.; Sun, J.; Zeng, Y.; Yi, L.; Wang, F. Sliding-mode control for heterogeneous vehicular platoons with unknown matched and mismatched disturbances under intermittent communications. Veh. Commun. 2024, 45, 100718. [Google Scholar] [CrossRef]
- Shafei, H.R.; Bahrami, M.; Talebi, H.A. Disturbance observer-based two-Layer control strategy design to deal with both matched and mismatched uncertainties. Int. J. Robust Nonlinear Control 2021, 31, 1640–1656. [Google Scholar] [CrossRef]
- An, J.; Liu, Y.; Sun, J.; Wang, L.; Xue, H. Distributed fixed-time NN tracking control of vehicular platoon systems with singularity-free. Neural Comput. Appl. 2023, 35, 2527–2540. [Google Scholar] [CrossRef]
- Wei, X.; Guo, L. Composite disturbance-observer-based control and H∞ control for complex continuous models. Int. J. Robust Nonlinear Control 2010, 20, 106–118. [Google Scholar] [CrossRef]
- Yang, J.; Li, S.; Chen, W.H. Nonlinear disturbance observer-based control for multi-input multi-output nonlinear systems subject to mismatching condition. Int. J. Control 2012, 85, 1071–1082. [Google Scholar] [CrossRef]
- Wang, X.; Li, S.; Lam, J. Distributed active anti-disturbance output consensus algorithms for higher-order multi-agent systems with mismatched disturbances. Automatica 2016, 74, 30–37. [Google Scholar] [CrossRef]
- Bian, Y.; Li, S.E.; Ren, W.; Wang, J.; Li, K.; Liu, H.X. Cooperation of multiple connected vehicles at unsignalized intersections: Distributed observation, optimization, and control. IEEE Trans. Ind. Electron. 2019, 67, 10744–10754. [Google Scholar] [CrossRef]
- Li, X.; Shi, P. Cooperative fault-tolerant tracking control of heterogeneous hybrid-order mechanical systems with actuator and amplifier faults. Nonlinear Dyn. 2019, 98, 447–462. [Google Scholar] [CrossRef]
- Swaroop, D.; Hedrick, J.K.; Choi, S.B. Direct adaptive longitudinal control of vehicle platoons. IEEE Trans. Veh. Technol. 2001, 50, 150–161. [Google Scholar] [CrossRef]
- Bhat, S.P.; Bernstein, D.S. Continuous finite-time stabilization of the translational and rotational double integrators. IEEE Trans. Autom. Control 1998, 43, 678–682. [Google Scholar] [CrossRef]
- Kwon, J.; Chwa, D. Adaptive bidirectional platoon control using a coupled sliding mode control method. IEEE Trans. Intell. Transp. Syst. 2014, 15, 2040–2048. [Google Scholar] [CrossRef]
- Levant, A.; Livne, M. Globally convergent differentiators with variable gains. Int. J. Control 2018, 91, 1994–2008. [Google Scholar] [CrossRef]
- Moreno, J.A.; Osorio, M. A Lyapunov approach to second-order sliding mode controllers and observers. In Proceedings of the 2008 47th IEEE Conference on Decision and Control 2008, Cancun, Mexico, 9–11 December 2008; pp. 2856–2861. [Google Scholar]
- Wang, Y.; Liu, Y.; Li, X.; Liang, Y. Distributed consensus tracking control based on state and disturbance observations for mixed-order multi-agent mechanical systems. J. Frankl. Inst. 2023, 360, 943–963. [Google Scholar] [CrossRef]







| FTDO-Based Sliding Mode Controller | DO-Based Sliding Mode Controller | |
|---|---|---|
| Overshoot of | 0.0732 | 0.1717 |
| 0.0047 | 0.0076 |
| FTDO | DO | |
|---|---|---|
| 0.0176 | 0.0260 | |
| 0.1156 | 0.1398 |
Disclaimer/Publisher’s Note: The statements, opinions and data contained in all publications are solely those of the individual author(s) and contributor(s) and not of MDPI and/or the editor(s). MDPI and/or the editor(s) disclaim responsibility for any injury to people or property resulting from any ideas, methods, instructions or products referred to in the content. |
© 2025 by the authors. Licensee MDPI, Basel, Switzerland. This article is an open access article distributed under the terms and conditions of the Creative Commons Attribution (CC BY) license (https://creativecommons.org/licenses/by/4.0/).
Share and Cite
Wang, Y.; Zhan, X.; Li, X.; Jiang, Y.; Tang, X.; Wang, Y. Finite-Time Disturbance Observer-Based Sliding Mode Control for a Vehicle Platoon Subject to Mismatched Disturbance. Appl. Sci. 2025, 15, 6327. https://doi.org/10.3390/app15116327
Wang Y, Zhan X, Li X, Jiang Y, Tang X, Wang Y. Finite-Time Disturbance Observer-Based Sliding Mode Control for a Vehicle Platoon Subject to Mismatched Disturbance. Applied Sciences. 2025; 15(11):6327. https://doi.org/10.3390/app15116327
Chicago/Turabian StyleWang, Yiguang, Xiaoyan Zhan, Xiaojie Li, Yongqiang Jiang, Xubin Tang, and Yaxuan Wang. 2025. "Finite-Time Disturbance Observer-Based Sliding Mode Control for a Vehicle Platoon Subject to Mismatched Disturbance" Applied Sciences 15, no. 11: 6327. https://doi.org/10.3390/app15116327
APA StyleWang, Y., Zhan, X., Li, X., Jiang, Y., Tang, X., & Wang, Y. (2025). Finite-Time Disturbance Observer-Based Sliding Mode Control for a Vehicle Platoon Subject to Mismatched Disturbance. Applied Sciences, 15(11), 6327. https://doi.org/10.3390/app15116327

