Experimental Investigation of a Passive Compliant Torsional Suspension for Curved-Spoke Wheel Stair Climbing
Abstract
1. Introduction
2. Kinematic Analysis of Curved-Spoke Wheel
2.1. Definition of the Curved-Spoke Wheel
2.2. MATLAB Simulation on Curved-Spoke Wheel
3. Design of Passive Torsional Compliant Suspension
3.1. Dynamic Stability Metrics for Curved-Spoke Wheel
3.2. Concept of Compliant Spiral Torsional Suspension (C-STS)
- Energy Storage: As the motor rotates further or faster than the wheel, increases, and the spring deflects, storing energy.
 - Energy Release: When contact transitions occur, the wheel can briefly rotate relative to the motor shaft in the opposite direction, reducing and releasing stored elastic energy.
 - Maintaining Inertia: By allowing the wheel to rotate somewhat independently of the motor shaft, the compliance helps the CoR preserve part of its original velocity, avoiding an extreme deceleration spike and thus improving dynamic stability.
 
3.3. Design of Compliant Spiral Torsional Suspension
4. Experiments
4.1. Experimental Setup
4.1.1. Experimental Equipment
4.1.2. Experimental Scenarios
4.1.3. Systematic Workflow for Data Acquisition and Processing
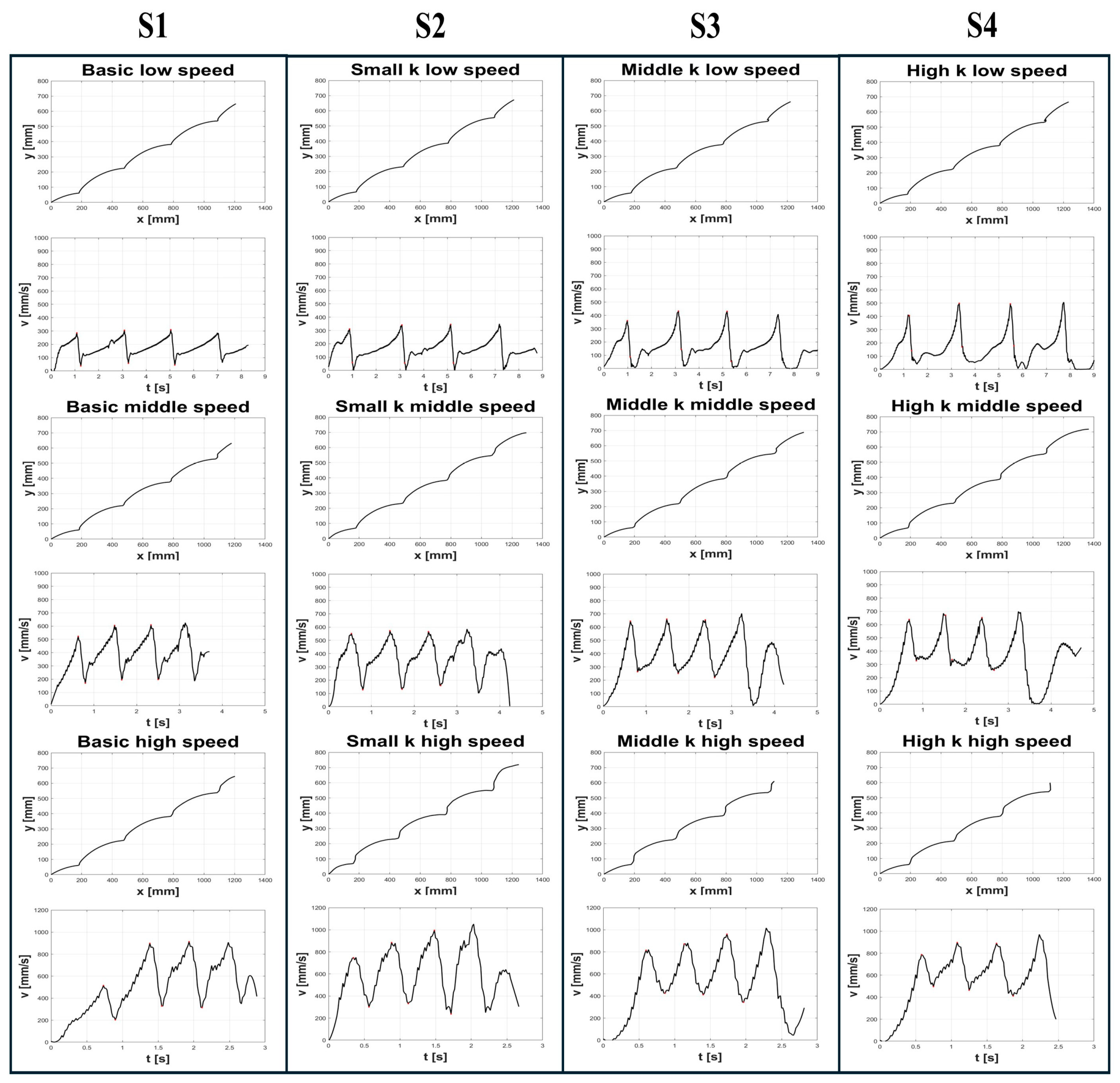
4.2. Experimental Results
5. Analysis and Discussion
5.1. DCS-Related Dynamic Stability
- (1)
 - Reduced Deceleration at Medium/High Speeds
 
- (2)
 - Limited Benefits of Low-k
 
- (3)
 - Negative Effects at Low Speeds
 
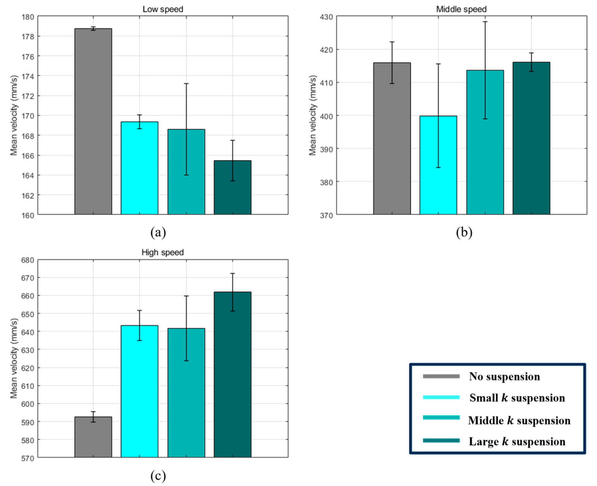
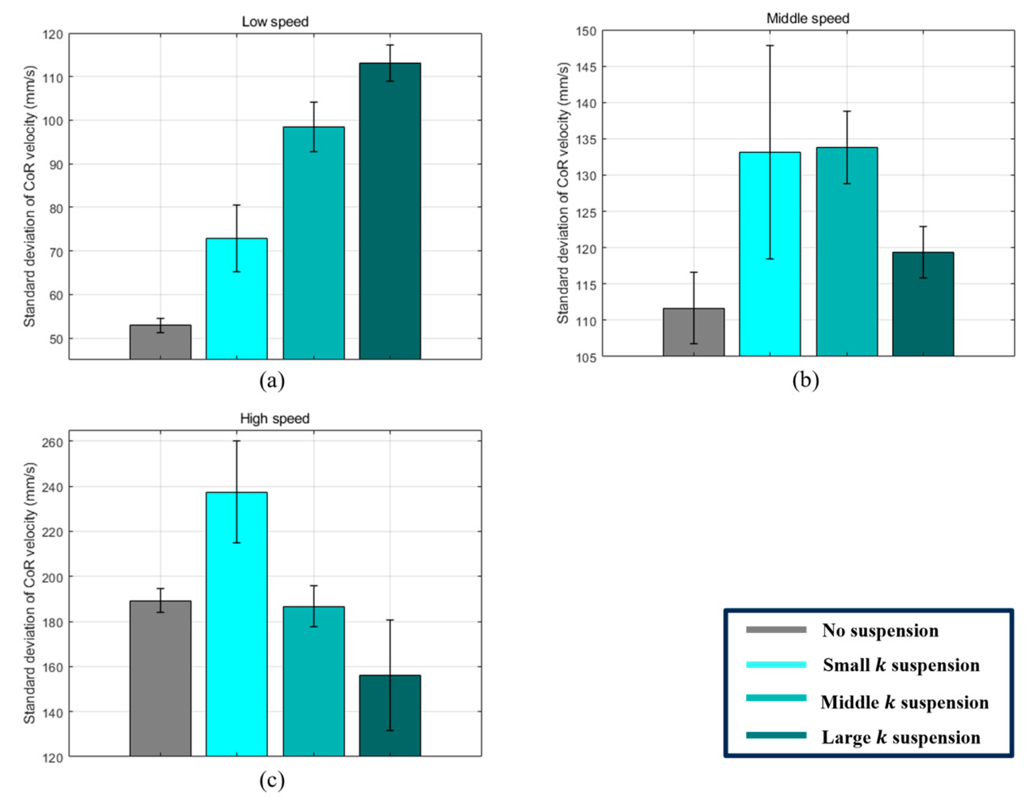
5.2. Overall Performance and Mean Value Comparison
5.3. Qualitative Hypotheses and Future Work
6. Conclusions
Author Contributions
Funding
Data Availability Statement
Conflicts of Interest
Abbreviations
| C-STS | Compliant Spiral Torsional Suspension | 
| CCS | Continuous Contact State | 
| DCS | Discontinuous Contact State | 
| COR | Center-of-Rotation | 
References
- Tao, W.; Ou, Y.; Feng, H. Research on dynamics and stability in the stair-climbing of a tracked mobile robot. Int. J. Adv. Robot. Syst. 2012, 9, 146. [Google Scholar] [CrossRef]
 - Yoneda, K.; Ota, Y.; Hirose, S. High-grip Stair Climber with Powder-filled Belts. Int. J. Robot. Res. 2009, 28, 81–89. [Google Scholar] [CrossRef]
 - Ohno, K.; Morimura, S.; Tadokoro, S.; Koyanagi, E.; Yoshida, T. Semiautonomous control of 6-DOF crawler robot having flippers for getting over unknown-steps. In Proceedings of the 2007 IEEE/RSJ International Conference on Intelligent Robots and Systems, San Diego, CA, USA, 29 October–2 November 2007; pp. 2559–2560. [Google Scholar]
 - Shang, L.; Wang, H.; Si, H.; Li, Y.; Pan, T. Investigating the Obstacle Climbing Ability of a Coal Mine Search-and-Rescue Robot with a Hydraulic Mechanism. Appl. Sci. 2022, 12, 10485. [Google Scholar] [CrossRef]
 - Yoneda, K.; Ota, Y.; Hirose, S. IR Climbing Robots and High-Grip Crawler; Climbing and Walking Robots: Louisville, KY, USA, 2010. [Google Scholar]
 - Li, R.; Zhang, X.; Hu, S.; Wu, J.; Feng, Y.; Yao, Y.-A. Design and Analysis of an Adaptive Obstacle-Overcoming Tracked Robot with Passive Swing Arms. Machines 2023, 11, 1051. [Google Scholar] [CrossRef]
 - Ren, J.; Yang, S.; Gu, Z.; Choset, H. Trajectory Optimization for Legged Systems; Carnegie Mellon Univ.: Pittsburgh, PA, USA, 2020. [Google Scholar] [CrossRef]
 - Fadini, G.; Flayols, T.; Del Prete, A.; Mansard, N.; Souères, P. Computational design of energy-efficient legged robots: Optimizing for size and actuators. In Proceedings of the 2021 IEEE International Conference on Robotics and Automation (ICRA), Xi’an, China, 30 May–5 June 2021; pp. 9898–9904. [Google Scholar] [CrossRef]
 - Koutsoukis, K.; Papadopoulos, E. On the Effect of Robotic Leg Design on Energy Efficiency. In Proceedings of the 2021 IEEE International Conference on Robotics and Automation (ICRA), Xi’an, China, 30 May–5 June 2021; pp. 9905–9911. [Google Scholar] [CrossRef]
 - Siegwart, R.; Lamon, P.; Estier, T.; Lauria, M.; Piguet, R. Innovative design for wheeled locomotion in rough terrain. Robot. Auton. Syst. 2002, 40, 151–162. [Google Scholar] [CrossRef]
 - Qi, S.; Lin, W.; Hong, Z.; Chen, H.; Zhang, W. Perceptive autonomous stair climbing for quadrupedal robots. In Proceedings of the In 2021 IEEE/RSJ International Conference on Intelligent Robots and Systems (IROS), Prague, Czech Republic, 27 September–1 October 2021; pp. 2313–2320. [Google Scholar]
 - Faraji, S.; Pouya, S.; Atkeson, C.G.; Ijspeert, A.J. Versatile and robust 3D walking with a simulated humanoid robot (Atlas): A model predictive control approach. In Proceedings of the 2014 IEEE International Conference on Robotics and Automation (ICRA), Hong Kong, China, 31 May–7 June 2014; pp. 1943–1950. [Google Scholar]
 - Seok, S.; Wang, A.; Chuah, M.Y.; Otten, D.; Lang, J.; Kim, S. Design principles for highly efficient quadrupeds and implementation on the MIT Cheetah robot. In Proceedings of the 2013 IEEE International Conference on Robotics and Automation (ICRA), Karlsruhe, Germany, 6–10 May 2013; pp. 3307–3312. [Google Scholar]
 - Kim, D.; Hong, H.; Kim, H.S.; Kim, J. Optimal design and kinetic analysis of a stair-climbing mobile robot with rocker-bogie mechanism. Mech. Mach. Theory 2012, 50, 90–108. [Google Scholar] [CrossRef]
 - Wei, Y.; Lee, K. CLAW: Cycloidal Legs-Augmented Wheels for Stair and Obstacle Climbing in Mobile Robots. IEEE/ASME Trans. Mechatron. 2025, 30, 1536–1546. [Google Scholar] [CrossRef]
 - Bhole, A.; Turlapati, S.H.; Dixit, J.; Shah, S.V.; Krishna, K.M. Design of a robust stair-climbing compliant modular robot to tackle overhang on stairs. Robotica 2019, 37, 428–444. [Google Scholar] [CrossRef]
 - Tian, Y.; Gao, F. Efficient motion generation for a six-legged robot walking on irregular terrain via integrated foothold selection and optimization-based whole-body planning. Robotica 2018, 36, 333–352. [Google Scholar] [CrossRef]
 - Lawn, M.J.; Ishimatsu, T. Modeling of a stair-climbing wheelchair mechanism with high single-step capability. IEEE Trans. Neural Syst. Rehabil. Eng. 2003, 11, 323–332. [Google Scholar] [CrossRef] [PubMed]
 - Wu, G.; Wu, L.; Wang, H.; Yang, W.; Wang, Z.; Zhang, Z.; Shen, T. Design and Study of a Stair Climbing Robots with Two Wheels and a “4R+2P” Pattern. Machines 2022, 10, 631. [Google Scholar] [CrossRef]
 - Shin, J.; Kim, Y.; Kim, D.Y.; Yoon, G.H.; Seo, T. Parametric Design Optimization of a Tail Mechanism Based on Tri-Wheels for Curved Spoke-Based Stair-Climbing Robots. Int. J. Precis. Eng. Manuf. 2023, 24, 1205–1220. [Google Scholar] [CrossRef]
 - Kim, Y.; Kim, J.; Kim, H.S.; Seo, T. Curved-Spoke Tri-Wheel Mechanism for Fast Stair-Climbing. IEEE Access 2019, 7, 173766–173773. [Google Scholar] [CrossRef]
 - Agrawal, S.P.; Dagale, H.; Mohan, N.; Umanand, L. IONS: A quadruped robot for multi-terrain applications. Int. J. Mater. Mech. Manuf. 2016, 4, 84–88. [Google Scholar] [CrossRef]
 - Chou, Y.-C.; Yu, W.-S.; Huang, K.-J.; Lin, P.-C. Bio-inspired stepclimbing in a hexapod robot. Bioinspir. Biomim. 2012, 7, 036008. [Google Scholar] [CrossRef] [PubMed]
 - Moore, E.Z.; Buehler, M. Stable stair climbing in s simple hexapod robot. In Proceedings of the 4th International Conference of Climbing and Walking Robots, Karlsruhe, Germany, 24–26 September 2001; pp. 603–610. [Google Scholar]
 - Krys, V.; Bobovský, Z.; Kot, T.; Marek, J. Synthesis of action variable for motor controllers of a mobile system with special wheels for movement on stairs. Perspect. Sci. 2016, 7, 329–332. [Google Scholar] [CrossRef][Green Version]
 - Singh, A.K.; Krishna, K.M. Feasible acceleration count: A novel dynamic stability metric and its use in incremental motion planning on uneven terrain. Robot. Auton. Syst. 2016, 79, 156–171. [Google Scholar] [CrossRef]
 - Shin, D.; Woo, S.; Park, M. Rollover Index for Rollover Mitigation Function of Intelligent Commercial Vehicle’s Electronic Stability Control. Electronics 2021, 10, 2605. [Google Scholar] [CrossRef]
 - Song, Y.; Luchtenburg, D. Using compliant leg design for impact attenuation of airdrop landings of quadruped robots. In Proceedings of the 2017 IEEE International Conference on Robotics and Automation (ICRA), Singapore, 29 May–3 June 2017; pp. 3708–3713. [Google Scholar]
 


















| C1: Changing Angular Velocity Under Constant Stair Dimension | C2: Changing Stair Dimensions Under Constant Angular Velocity | ||
|---|---|---|---|
| 0.10 rad/s | 0.12 rad/s | ||
| 0.12 rad/s | |||
| 0.16 rad/s | |||
| C1 | C2 | ||
|---|---|---|---|
| (rad/s) | (mm/s) | (mm) | (mm/s) | 
| 0.10 | 12.11 | 120 | 15.74 | 
| 0.12 | 17.41 | 160 | 17.41 | 
| 0.14 | 19.96 | 200 | 19.11 | 
| m/rad] | P1 | P2 | P3 | |
|---|---|---|---|---|
| [Nm/rad] | 52.31 | 1068 | 26,364 | |
| [Nm/rad] | 0.206 | 0.20519 (0.39%) | 0.20596 (0.019%) | 0.20600 (0%) | 
| 0.547 | 0.54134 (1.03%) | 0.54672 (0.051%) | 0.54699 (0.0018%) | |
| 0.909 | 0.89347 (1.71%) | 0.90823 (0.085%) | 0.90897 (0.0033%) | 
| Item | Model | Specification/Setting | 
|---|---|---|
| DC Motor | IG-GM52 (04TYPE), D&G WITH Co., Seoul, South Korea | Rated voltage: 24 V Rated power: 48.6 W Gear ratio: 1:53  | 
| MCU | Arduino Mega, Italy | |
| Motor driver | BTS7960, China | Rated current: 43 A | 
| Li-Po Battery | PT-B2800N-FX50, Polytronics technology Co., Hsinchu, Taiwan | Rated voltage: 22.2 V | 
| Camera | Samsung Galaxy S23, Samsung, Suwon, South Korea | Camera resolution: UHD(4K) Camera FOV : 85° Frame rate : 60 fps  | 
| Stair | Number of steps: 4 Dimensions:  | 
| Stiffness Values | PWM Duty Ratio (%) | 
|---|---|
| 20 40 60  | |
| (s) | Velocity Gap Magnitude (mm/s) | ) | ||||||||||
|---|---|---|---|---|---|---|---|---|---|---|---|---|
| Basic | Low  k  | Middle k | High  k  | Basic | Low  k  | Middle k | High  k  | Basic | Low  k  | Middle k | High  k  | |
| 1 | 0.1667 | 0.1278 | 0.1222 | 0.1111 | 240.4 | 270.2 | 320.1 | 290.1 | 1442 | 2116 | 2611 | 2613 | 
| 2 | 0.1556 | 0.1167 | 0.1167 | 0.1278 | 243.6 | 287.9 | 318.5 | 329.3 | 1579 | 2467 | 2730 | 2625 | 
| 3 | 0.1667 | 0.1167 | 0.1667 | 0.1500 | 244.2 | 288.4 | 387.1 | 336.5 | 1465 | 2472 | 2418 | 2308 | 
| Avg | 0.1630 | 0.1204 | 0.1296 | 0.1352 | 242.7 | 282.1 | 341.9 | 318.6 | 1495 | 2352 | 2586 | 2515 | 
| (s) | Velocity Gap Magnitude (mm/s) | ) | ||||||||||
|---|---|---|---|---|---|---|---|---|---|---|---|---|
| Basic | Low  k  | Middle k | High  k  | Basic | Low  k  | Middle k | High  k  | Basic | Low  k  | Middle k | High  k  | |
| 1 | 0.1722 | 0.2444 | 0.1667 | 0.1944 | 340.9 | 530.0 | 396.6 | 299.4 | 1987 | 2311 | 2380 | 1600 | 
| 2 | 0.1556 | 0.2278 | 0.2167 | 0.1722 | 462.9 | 476.6 | 426.5 | 338.7 | 3047 | 2208 | 2074 | 1990 | 
| 3 | 0.2167 | 0.2056 | 0.2444 | 0.2500 | 390.5 | 468.6 | 438.7 | 391.7 | 1999 | 2477 | 1813 | 1598 | 
| Avg | 0.1815 | 0.2259 | 0.2093 | 0.2056 | 398.1 | 491.7 | 420.6 | 343.3 | 2344 | 2332 | 2089 | 1729 | 
| (s) | Velocity Gap Magnitude (mm/s) | ) | ||||||||||
|---|---|---|---|---|---|---|---|---|---|---|---|---|
| Basic | Low  k  | Middle k | High  k  | Basic | Low  k  | Middle k | High  k  | Basic | Low  k  | Middle k | High  k  | |
| 1 | 0.1667 | 0.2333 | 0.2611 | 0.1778 | 320.6 | 493.5 | 389.9 | 258.0 | 1924 | 2149 | 1498 | 1521 | 
| 2 | 0.1778 | 0.2056 | 0.2222 | 0.1667 | 535.3 | 678.8 | 529.7 | 456.8 | 3024 | 3461 | 2486 | 2741 | 
| 3 | 0.1722 | 0.2778 | 0.2611 | 0.2444 | 583.7 | 793.0 | 616.2 | 550.2 | 3393 | 2892 | 2376 | 2261 | 
| Avg | 0.1722 | 0.2389 | 0.2481 | 0.1963 | 479.9 | 655.1 | 511.9 | 421.7 | 2780 | 2834 | 2120 | 2174 | 
| Drive Speed | (mm/s) | (mm/s) | ||||||
|---|---|---|---|---|---|---|---|---|
| Basic | Low k | Middle k | High k | Basic | Low k | Middle k | High k | |
| Low speed | 178.8 | 169.3 | 168.6 | 165.4 | 52.89 | 72.86 | 98.40 | 113.2 | 
| Middle speed | 416.0 | 400.0 | 413.6 | 416.2 | 111.7 | 133.1 | 133.8 | 119.4 | 
| High speed | 592.6 | 643.4 | 641.7 | 661.8 | 189.3 | 237.4 | 186.7 | 156.1 | 
Disclaimer/Publisher’s Note: The statements, opinions and data contained in all publications are solely those of the individual author(s) and contributor(s) and not of MDPI and/or the editor(s). MDPI and/or the editor(s) disclaim responsibility for any injury to people or property resulting from any ideas, methods, instructions or products referred to in the content.  | 
© 2025 by the authors. Licensee MDPI, Basel, Switzerland. This article is an open access article distributed under the terms and conditions of the Creative Commons Attribution (CC BY) license (https://creativecommons.org/licenses/by/4.0/).
Share and Cite
Jeong, S.; Kim, Y. Experimental Investigation of a Passive Compliant Torsional Suspension for Curved-Spoke Wheel Stair Climbing. Appl. Sci. 2025, 15, 5985. https://doi.org/10.3390/app15115985
Jeong S, Kim Y. Experimental Investigation of a Passive Compliant Torsional Suspension for Curved-Spoke Wheel Stair Climbing. Applied Sciences. 2025; 15(11):5985. https://doi.org/10.3390/app15115985
Chicago/Turabian StyleJeong, Sunbeom, and Youngsoo Kim. 2025. "Experimental Investigation of a Passive Compliant Torsional Suspension for Curved-Spoke Wheel Stair Climbing" Applied Sciences 15, no. 11: 5985. https://doi.org/10.3390/app15115985
APA StyleJeong, S., & Kim, Y. (2025). Experimental Investigation of a Passive Compliant Torsional Suspension for Curved-Spoke Wheel Stair Climbing. Applied Sciences, 15(11), 5985. https://doi.org/10.3390/app15115985
        