Chromochloris zofingiensis-Based Treatment of Whey Wastewater for Biorefinery Application: Biomass, Nutrient Removal, Astaxanthin and Lipid Production
Abstract
1. Introduction
2. Materials and Methods
2.1. Strain and Preculture Conditions
2.2. Source and Characterization of Whey Wastewater
2.3. Microalgal Experiment
2.4. Microalgal Growth and Biomass Productivity
2.5. Supernatant Characterization and Nutrient Removal
2.6. Biochemical Analysis
2.6.1. Lipid and Fatty Acid Profiles
2.6.2. Pigment Analysis
2.6.3. Astaxanthin Analysis
2.7. Statistical Analysis
3. Results and Discussion
3.1. Whey Wastewater Characterization
3.2. Biomass Production of C. zofingiensis in Whey Wastewater
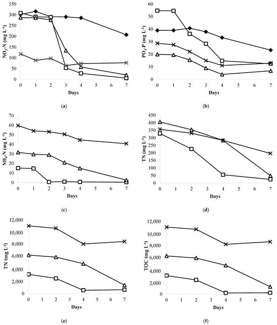
3.3. Nutrient Removal Efficiency
3.4. Pigments and Astaxanthin Production
3.5. Lipid Production and Fatty Acids Profiles
4. Conclusions
Author Contributions
Funding
Data Availability Statement
Conflicts of Interest
References
- Marazzi, F.; Bellucci, M.; Fantasia, T.; Ficara, E.; Mezzanotte, V. Interactions Between Microalgae and Bacteria in the Treatment of Wastewater from Milk Whey Processing. Water 2020, 12, 297. [Google Scholar] [CrossRef]
- Slavov, A.K. Dairy Wastewaters—General Characteristics and Treatment Possibilities—A Review. Food Technol. Biotechnol. 2017, 55, 14–28. [Google Scholar] [CrossRef]
- Popescu, A.; Stoian, E.; Șerban, V. The EU-28 milk sector trends in the period 2009–2018. Sci. Pap. Ser. Manag. Econ. Eng. Agric. Rural Dev. 2019, 19, 249–263. [Google Scholar]
- Zimermann, J.D.F.; Sydney, E.B.; Cerri, M.L.; De Carvalho, I.K.; Schafranski, K.; Sydney, A.C.N.; Vitali, L.; Gonçalves, S.; Micke, G.A.; Soccol, C.R.; et al. Growth Kinetics, Phenolic Compounds Profile and Pigments Analysis of Galdieria sulphuraria Cultivated in Whey Permeate in Shake-Flasks and Stirred-Tank Bioreactor. J. Water Process Eng. 2020, 38, 101598. [Google Scholar] [CrossRef]
- De Almeida, M.P.G.; Mockaitis, G.; Weissbrodt, D.G. Got Whey? The Significance of Cheese Whey at the Confluence of Dairying, Environmental Impacts, Energy and Resource Biorecovery. Fermentation. 2023, 9, 897. [Google Scholar] [CrossRef]
- Mohammad, H.Y.; Tawfeek, F.E.-Z.; Eltanahy, E.; Mansour, T.A.; Khalil, Z. Enhancement of Growth, Lipid, and Carbohydrate Production of the Egyptian Isolate Dunaliella salina SA20 Using Mozzarella Cheese Whey as a Growth Supplement. Egypt. J. Bot. 2022, 63, 101–111. [Google Scholar] [CrossRef]
- Rivas, J.; Prazeres, A.R.; Carvalho, F.; Beltrán, F. Treatment of Cheese Whey Wastewater: Combined Coagulation-Flocculation and Aerobic Biodegradation. J. Agric. Food Chem. 2010, 58, 7871–7877. [Google Scholar] [CrossRef]
- Carvalho, F.; Prazeres, A.R.; Rivas, J. Cheese Whey Wastewater: Characterization and Treatment. Sci. Total Environ. 2013, 445–446, 385–396. [Google Scholar] [CrossRef]
- De Almeida Pires, T.; Cardoso, V.L.; Batista, F.R.X. Feasibility of Chlorella vulgaris to Waste Products Removal from Cheese Whey. Int. J. Environ. Sci. Technol. 2022, 19, 4713–4722. [Google Scholar] [CrossRef]
- El Bakraoui, H.; Slaoui, M.; Mabrouki, J.; Hmouni, D.; Laroche, C. Recent Trends on Domestic, Agricultural and Industrial Wastewaters Treatment Using Microalgae Biorefinery System. Appl. Sci. 2022, 13, 68. [Google Scholar] [CrossRef]
- El Bakraoui, H.; Rahali, K.; Slaoui, M.; Rouichat, I.; Allalat, F.; Bouyahia, C.; Aamri, F.E.; Hmouni, D. Domestic Wastewater as Nutrient Media and Its Effect on Biochemical Composition of a Marine Diatom Chaetoceros calcitrans. Int. J. Chem. Biochem. Sci. 2023, 24, 493–502. [Google Scholar]
- Bohutskyi, P.; Keller, T.A.; Phan, D.; Parris, M.L.; Li, M.; Richardson, L.; Kopachevsky, A.M. Co-Digestion of Wastewater-Grown Filamentous Algae With Sewage Sludge Improves Biomethane Production and Energy Balance Compared to Thermal, Chemical, or Thermochemical Pretreatments. Front. Energy Res. 2019, 7, 47. [Google Scholar] [CrossRef]
- Mathimani, T.; Pugazhendhi, A. Utilization of Algae for Biofuel, Bio-Products and Bio-Remediation. Biocat. Agric. Biotechnol. 2019, 17, 326–330. [Google Scholar] [CrossRef]
- Onay, M. The Effects of Indole-3-Acetic Acid and Hydrogen Peroxide on Chlorella zofingiensis CCALA 944 for Bio-Butanol Production. Fuel 2020, 273, 117795. [Google Scholar] [CrossRef]
- Zhou, W.; Wang, Z.; Zhu, S.; Huo, S.; Yuan, Z.; Xie, J. Culture of Four Microalgal Strains for Bioenergy Production and Nutrient Removal in the Meliorative Municipal Wastewater. Energy Sources A Recovery Util. Environ. Eff. 2016, 38, 670–679. [Google Scholar] [CrossRef]
- Shu, Q.; Qin, L.; Yuan, Z.; Zhu, S.; Xu, J.; Xu, Z.; Feng, P.; Wang, Z. Comparison of Dairy Wastewater and Synthetic Medium for Biofuels Production by Microalgae Cultivation. Energy Sources Part A Recovery Util. Environ. Effects. 2018, 40, 751–758. [Google Scholar] [CrossRef]
- Zhao, W.; Sun, H.; Ren, Y.; Wu, T.; He, Y.; Chen, F. Chlorella zofingiensis as a Promising Strain in Wastewater Treatment. Bioresour. Technol. 2018, 268, 286–291. [Google Scholar] [CrossRef]
- Sun, H.; Zhao, W.; Mao, X.; Ren, Y.; Wu, T.; Chen, F. Cost-Effective Wastewater Treatment in a Continuous Manner by a Novel Bio-Photoelectrolysis Cell (BPE) System. Bioresour. Technol. 2019, 273, 297–304. [Google Scholar] [CrossRef]
- Azaman, S.N.A.; Nagao, N.; Yusoff, F.M.; Tan, S.W.; Yeap, S.K. A Comparison of the Morphological and Biochemical Characteristics of Chlorella sorokiniana and Chlorella zofingiensis Cultured under Photoautotrophic and Mixotrophic Conditions. PeerJ 2017, 5, e3473. [Google Scholar] [CrossRef]
- Zhou, W.; Wang, Z.; Xu, J.; Ma, L. Cultivation of Microalgae Chlorella zofingiensis on Municipal Wastewater and Biogas Slurry Towards Bioenergy. J. Biosci. Bioeng. 2018, 126, 644–648. [Google Scholar] [CrossRef]
- Fernando, J.S.R.; Premaratne, M.; Dinalankara, D.M.S.D.; Perera, G.L.N.J.; Ariyadasa, T.U. Cultivation of Microalgae in Palm Oil Mill Effluent (POME) for Astaxanthin Production and Simultaneous Phycoremediation. J. Environ. Chem. Eng. 2021, 9, 105375. [Google Scholar] [CrossRef]
- Wang, M.; Ye, X.; Bi, H.; Shen, Z. Microalgae Biofuels: Illuminating the Path to a Sustainable Future amidst Challenges and Opportunities. Biotechnol. Biofuels Bioprod. 2024, 17, 10. [Google Scholar] [CrossRef] [PubMed]
- Mojiri, M.; Ozaki, N.; Kazeroon, R.A.; Rezania, S.; Baharlooeian, M.; Vakili, M.; Farraji, H.; Ohashi, A.; Kindaichi, T.; Zhou, J.L. Contaminant Removal from Wastewater by Microalgal Photobioreactors and Modeling by Artificial Neural Network. Water 2022, 14, 4046. [Google Scholar] [CrossRef]
- Huo, S.; Wang, Z.; Zhu, S.; Zhou, W.; Dong, R.; Yuan, Z. Cultivation of Chlorella zofingiensis in Bench-Scale Outdoor Ponds by Regulation of pH Using Dairy Wastewater in Winter, South China. Bioresour. Technol. 2012, 121, 76–82. [Google Scholar] [CrossRef] [PubMed]
- Zhu, L.; Wang, Z.; Takala, J.; Hiltunen, E.; Qin, L.; Xu, Z.; Qin, X.; Yuan, Z. Scale-up Potential of Cultivating Chlorella zofingiensis in Piggery Wastewater for Biodiesel Production. Bioresour. Technol. 2013, 137, 318–325. [Google Scholar] [CrossRef]
- Zhu, L.; Wang, Z.; Shu, Q.; Takala, J.; Hiltunen, E.; Feng, P.; Yuan, Z. Nutrient Removal and Biodiesel Production by Integration of Freshwater Algae Cultivation with Piggery Wastewater Treatment. Water Res. 2013, 47, 4294–4302. [Google Scholar] [CrossRef]
- Chen, Z.; Xiao, Y.; Liu, T.; Yuan, M.; Liu, G.; Fang, J.; Yang, B. Exploration of Microalgal Species for Nutrient Removal from Anaerobically Digested Swine Wastewater and Potential Lipids Production. Microorganisms 2021, 9, 2469. [Google Scholar] [CrossRef]
- Qin, L.; Wang, Z.; Sun, Y.; Shu, Q.; Feng, P.; Zhu, L.; Xu, J.; Yuan, Z. Microalgae Consortia Cultivation in Dairy Wastewater to Improve the Potential of Nutrient Removal and Biodiesel Feedstock Production. Environ. Sci. Pollut. Res. 2016, 23, 8379–8387. [Google Scholar] [CrossRef]
- Nguyen, T.B.; Dinh, T.T.D. Ozonation and Cultivation of Green Algae Chlorella zofingiensis in Domestic Wastewater. Hong Duc Univ. J. Sci. 2019, 10, 5–12. [Google Scholar]
- Vitali, L.; Lolli, V.; Sansone, F.; Concas, A.; Lutzu, G.A. Effect of Mixotrophy on Lipid Content and Fatty Acids Methyl Esters Profile by Chlorella zofingiensis Grown in Media Containing Sugar Cane Molasses. Bioenergy Res. 2023, 16, 1851–1861. [Google Scholar] [CrossRef]
- Wichuk, K.; Brynjolfsson, S.; Fu, W. Biotechnological Production of Value-Added Carotenoids from Microalgae. Bioengineered 2014, 5, 204–208. [Google Scholar] [CrossRef] [PubMed]
- Stein-Taylor, J.R. Handbook of Phycological Methods: Culture Methods and Growth Measurements; Cambridge University Press: Cambridge, UK, 1973; 472p. [Google Scholar]
- Ruban, G.; Joannis, C.; Gromaire, M.-C.; Bertrand-Krajewski, J.-I.; Chebbo, G. Mesurage de la turbidité sur échantillons: Application aux eaux résiduaires urbaines. TSM 2008, 4, 61–74. [Google Scholar] [CrossRef][Green Version]
- Cawse, P.A. The Determination of Nitrate in Soil Solutions by Ultraviolet Spectrophotometry. Analyst 1967, 92, 311–315. [Google Scholar] [CrossRef]
- American Public Health Association. Standard Methods for the Examination of Water and Wastewater; American Public Health Association: Washington, DC, USA, 1971; pp. 237–239. [Google Scholar]
- Heinonen, J.K.; Lahti, R.J. A New and Convenient Colorimetric Determination of Inorganic Orthophosphate and Its Application to the Assay of Inorganic Pyrophosphatase. Anal. Biochem. 1981, 113, 313–317. [Google Scholar] [CrossRef]
- Patton, C.J.; Crouch, S.R. Spectrophotometric and Kinetics Investigation of the Berthelot Reaction for the Determination of Ammonia. Anal. Chem. 1977, 49, 464–469. [Google Scholar] [CrossRef]
- Dedkov, Y.M.; Elizarova, O.V.; Kel’ina, S.Y. Dichromate Method for the Determination of Chemical Oxygen Demand. J. Anal. Chem. 2000, 55, 777–781. [Google Scholar] [CrossRef]
- Béligon, V.; Poughon, L.; Christophe, G.; Lebert, A.; Larroche, C.; Fontanille, P. Improvement and Modeling of Culture Parameters to Enhance Biomass and Lipid Production by the Oleaginous Yeast Cryptococcus curvatus Grown on Acetate. Bioresour. Technol. 2015, 192, 582–591. [Google Scholar] [CrossRef]
- Lowry, O.H.; Rosebrough, N.J.; Farr, A.L.; Randall, R.J. Protein Measurement with the Folin Phenol Reagent. J. Biol. Chem. 1951, 193, 265–275. [Google Scholar] [CrossRef]
- Ba, F.; Foissard, A.; Lebert, A.; Djelveh, G.; Laroche, C. Polyethyleneimine as a Tool for Compounds Fractionation by Flocculation in a Microalgae Biorefinery Context. Bioresour. Technol. 2020, 315, 123857. [Google Scholar] [CrossRef]
- Bligh, E.G.; Dyer, W.J. A Rapid Method of Total Lipid Extraction and Purification. Can. J. Biochem. Physiol. 1959, 37, 911–917. [Google Scholar] [CrossRef]
- Morrison, W.R.; Smith, L.M. Preparation of Fatty Acid Methyl Esters and Dimethylacetals from Lipids with Boron Fluoride-Methanol. J. Lipid Res. 1964, 5, 600–608. [Google Scholar] [CrossRef] [PubMed]
- Lichtenthaler, H.K. Chlorophylls and Carotenoids: Pigments of Photosynthetic Biomembranes. Methods Enzymol. 1987, 148, 350–382. [Google Scholar] [CrossRef]
- Li, Y.; Miao, F.; Geng, Y.; Lu, D.; Zhang, C.; Zeng, M. Accurate Quantification of Astaxanthin from Haematococcus Crude Extract Spectrophotometrically. Chin. J. Oceanol. Limnol. 2012, 30, 627–637. [Google Scholar] [CrossRef]
- Liyanaarachchi, V.C.; Nishshanka, G.K.S.H.; Premaratne, R.G.M.M.; Ariyadasa, T.U.; Nimarshana, P.H.V.; Malik, A. Astaxanthin Accumulation in the Green Microalga Haematococcus pluvialis: Effect of Initial Phosphate Concentration and Stepwise/Continuous Light Stress. Biotechnol. Rep. 2020, 28, e00538. [Google Scholar] [CrossRef]
- Demirel, B.; Yenigun, O.; Onay, T.T. Anaerobic Treatment of Dairy Wastewaters: A Review. Process Biochem. 2005, 40, 2583–2595. [Google Scholar] [CrossRef]
- Smithers, G.W. Whey and Whey Proteins—From ‘Gutter-to-Gold’. Int. Dairy J. 2008, 18, 695–704. [Google Scholar] [CrossRef]
- Girard, J.-M.; Roy, M.-L.; Hafsa, M.B.; Gagnon, J.; Faucheux, N.; Heitz, M.; Tremblay, R.; Deschênes, J.-S. Mixotrophic Cultivation of Green Microalgae Scenedesmus obliquus on Cheese Whey Permeate for Biodiesel Production. Algal Res. 2014, 5, 241–248. [Google Scholar] [CrossRef]
- Qian, F.; Sun, J.; Cao, D.; Tuo, Y.; Jiang, S.; Mu, G. Experimental and modelling study of the denaturation of milk protein by heat treatment. Korean J. Food Sci. Anim. Resour. 2017, 37, 44–51. [Google Scholar] [CrossRef]
- Wang, S.-K.; Wang, X.; Miao, J.; Tian, Y.-T. Tofu Whey Wastewater Is a Promising Basal Medium for Microalgae Culture. Bioresour. Technol. 2018, 253, 79–84. [Google Scholar] [CrossRef]
- Lee, Y.-K.; Ding, S.-Y.; Hoe, C.-H.; Low, C.-S. Mixotrophic Growth of Chlorella sorokiniana in Outdoor Enclosed Photobioreactor. J. Appl. Phycol. 1996, 8, 163–169. [Google Scholar] [CrossRef]
- Andrade, A.F.D.; Silva, P.E.D.C.E.; Melo, R.G.D.; Ferreira, M.P.D.N.; Porto, A.L.F.; Bezerra, R.P. Microalgal Production under Mixotrophic Conditions Using Cheese Whey as Substrate. Acta Sci. Biol. Sci. 2022, 44, e62512. [Google Scholar] [CrossRef]
- Ribeiro, J.E.S.; Martini, M.; Altomonte, I.; Salari, F.; Nardoni, S.; Sorce, C.; Silva, F.L.H.D.; Andreucci, A. Production of Chlorella protothecoides Biomass, Chlorophyll and Carotenoids Using the Dairy Industry By-Product Scotta as a Substrate. Biocat. Agric. Biotechnol. 2017, 11, 207–213. [Google Scholar] [CrossRef]
- Kumar, P.K.; Krishna, S.V.; Naidu, S.S.; Verma, K.; Bhagawan, D.; Himabindu, V. Biomass Production from Microalgae Chlorella Grown in Sewage, Kitchen Wastewater Using Industrial CO₂ Emissions: Comparative Study. Carbon Res. Conv. 2019, 2, 126–133. [Google Scholar] [CrossRef]
- Choi, H.J.; Lee, S.M. Effect of the N/P Ratio on Biomass Productivity and Nutrient Removal from Municipal Wastewater. Bioprocess Biosyst. Eng. 2015, 38, 761–766. [Google Scholar] [CrossRef]
- Redfield, A.C.; Ketchum, B.H.; Richards, F.A. The Influence of Organisms on the Composition of Seawater. Sea Ideas Obs. Prog. Study Seas 1963, 2, 26–77. [Google Scholar]
- Figler, A.; Márton, K.; Béres, V.; Bácsi, I. Effects of Nutrient Content and Nitrogen to Phosphorous Ratio on the Growth, Nutrient Removal, and Desalination Properties of the Green Alga Coelastrum morus on a Laboratory Scale. Energies 2021, 14, 2112. [Google Scholar] [CrossRef]
- Cheng, P.; Cheng, J.J.; Cobb, K.; Zhou, C.; Zhou, N.; Addy, M.; Chen, P.; Yan, X.; Ruan, R. Tribonema sp. and Chlorella zofingiensis Co-Culture to Treat Swine Wastewater Diluted with Fishery Wastewater to Facilitate Harvest. Bioresour. Technol. 2020, 297, 122516. [Google Scholar] [CrossRef] [PubMed]
- Zhu, L.; Hiltunen, E.; Shu, Q.; Zhou, W.; Li, Z.; Wang, Z. Biodiesel Production from Algae Cultivated in Winter with Artificial Wastewater Through pH Regulation by Acetic Acid. Appl. Energy 2014, 128, 103–110. [Google Scholar] [CrossRef]
- Japar, A.S.; Takriff, M.S.; Mohd Yasin, N.H. Microalgae Acclimatization in Industrial Wastewater and Its Effect on Growth and Primary Metabolite Composition. Algal Res. 2021, 53, 102163. [Google Scholar] [CrossRef]
- Yirgu, Z.; Asfaw, S.L.; Dekebo, A.H.; Khan, M.M.; Aragaw, T. Simultaneous Phycoremediation and Lipid Production by Microalgae Grown in Non-Sterilized and Sterilized Anaerobically Digested Brewery Effluent. Sustainability 2023, 15, 15403. [Google Scholar] [CrossRef]
- Carneiro, M.; Ranglová, K.; Lakatos, G.E.; Câmara Manoel, J.A.; Grivalský, T.; Kozhan, D.M.; Toribio, A.; Moreno, J.; Otero, A.; Varela, J.; et al. Growth and Bioactivity of Two Chlorophyte (Chlorella and Scenedesmus) Strains Co-Cultured Outdoors in Two Different Thin-Layer Units Using Municipal Wastewater as a Nutrient Source. Algal Res. 2021, 56, 102299. [Google Scholar] [CrossRef]
- Qin, L.; Shu, Q.; Wang, Z.; Shang, C.; Zhu, S.; Xu, J.; Li, R.; Zhu, L.; Yuan, Z. Cultivation of Chlorella vulgaris in Dairy Wastewater Pretreated by UV Irradiation and Sodium Hypochlorite. Appl. Biochem. Biotechnol. 2014, 172, 1121–1130. [Google Scholar] [CrossRef] [PubMed]
- Wang, H.; Xiong, H.; Hui, Z.; Zeng, X. Mixotrophic Cultivation of Chlorella pyrenoidosa with Diluted Primary Piggery Wastewater to Produce Lipids. Bioresour. Technol. 2012, 104, 215–220. [Google Scholar] [CrossRef]
- Knothe, G. Analyzing Biodiesel: Standards and Other Methods. J. Am. Oil Chem. Soc. 2006, 83, 823–833. [Google Scholar] [CrossRef]
- Bonanno, A.; Poma, I.; Calabrese, V.; Di Stefano, V.; Barone, R. Enzymatic hydrolysis of dairy by-products as a source of marine bioactive peptides: Potential and challenges. Mar. Drugs 2023, 21, 190. [Google Scholar] [CrossRef]




| Parameter | Unit | Raw Whey Wastewater | Autoclaved Whey Wastewater | Litterature Range | References |
|---|---|---|---|---|---|
| pH | - | 3.80 ± 0.00 | 3.83 ± 0.02 | 3.5–7 | [4,6,9] |
| Turbidity | NTU | 40514.29 ± 2359.77 | 55535.71 ± 4005.30 | 94–1000 | [9] |
| Total solids | g L−1 | 119.62 ± 4.07 | 121.45 ± 0.25 | 55–71 | [8] |
| TN | g L−1 | 2.81 ± 0.14 | 2.54 ± 0.12 | 0.13–2.02 | [6,8,9] |
| NO3-N | g L−1 | 0.51 ± 0.01 | 0.32 ± 0.01 | 1.5 | [4] |
| NH4-N | mg L−1 | 74.53 ±3.44 | 109.04 ± 3.16 | 60–270 | [8] |
| PO4-P | mg L−1 | 795.30 ± 22.58 | 756.31 ± 23.80 | 340–430 | [8] |
| COD | g L−1 | 100.36 | 96.00 ± 2.47 | 0.73–100.2 | [6,8,9] |
| Total carbon | g L−1 | 39.85 ± 1.77 | 36.73 ± 0.93 | 19.34–43.26 | [9] |
| Organic carbon | g L−1 | 39.07 ± 1.78 | 35.84 ± 0.90 | 18.89–42.07 | [9] |
| Inorganic carbon | mg L−1 | 782.80 ± 33.31 | 897.07 ± 100.40 | 450–780 | [9] |
| Proteins | g L−1 | 13.99 ± 0.58 | 12.91 ± 0.52 | 3.41–8 | [8,9] |
| Lactose | g L−1 | 66.75 ± 0.10 | 61.57 ± 0.12 | 10–92 | [4,8,9] |
| Lactate | g L−1 | 9.03 ± 0.03 | 9.57 ± 0.02 | - | - |
| Acetate | g L−1 | 0.83 ± 0.00 | 0.82 ± 0.00 | - | - |
| Parameters | BBM (%) | 10% WW (%) | 20% WW (%) | 50% WW (%) |
|---|---|---|---|---|
| TN | - | 92.69 ± 0.29 a | 88.00 ± 0.50 b | 44.78 ± 0.50 c |
| NO3-N | 31.34 ± 4.02 d | 98.19 ± 0.06 a | 92.98 ± 2.08 b | 34.58 ± 1.69 c |
| NH4-N | - | 97.11 ± 1.44 a | 91.92 ± 1.50 b | 38.47 ± 7.94 c |
| PO4-P | 48.00 ± 5.47 d | 77.08 ± 3.98 a | 65.40 ± 8.02 b | 55.14 ± 0.02 c |
| COD | - | 85.47 ± 0.45 a | 86.27 ± 0.85 a | 24.75 ± 1.64 b |
| TC | - | 79.75 ± 2.73 a | 77.84 ± 0.93 b | 23.03 ± 1.75 c |
| TOC | - | 92.78 ± 3.21 a | 80.54 ± 1.22 b | 21.96 ± 1.76 c |
| Lactose | - | 99.90 ± 0.10 a | 69.37 ± 0.06 b | 27.03 ± 0.05 c |
| Lactate | - | 99.35 ± 0.70 a | 86.25 ± 0.13 b | 33.24 ± 0.45 c |
| Acetate | - | 99.81 ± 0.23 a | 98.16 ± 1.09 b | 38.29 ± 1.96 c |
| Experiment | Chlorophyll a (mg g−1) | Chlorophyll b (mg g−1) | Total Carotenoids (mg g−1) | Astaxanthin (mg g−1) | Lipids (%) |
|---|---|---|---|---|---|
| BBM | 36.59 ± 0.26 a | 31.85 ± 0.17 a | 2.24 ± 0.08 b | 1.70 ± 0.14 a | 34.59 ± 4.10 a |
| 10% WW | 11.49 ± 0.01 b | 4.56 ± 0.05 b | 4.04 ± 0.03 a | 0.71 ± 0.14 b | 30.49 ± 1.65 a |
| 20% WW | 4.10 ± 0.09 c | 1.77 ± 0.13 c | 0.84 ± 0.04 c | 0.14 ± 0.02 c | 24.72 ± 2.08 b |
| 50% WW | 0.47 ± 0.01 d | 0.33 ± 0.01 d | 0.22 ± 0.00 d | 0.03 ± 0.00 d | 19.19 ± 1.43 c |
| Fatty Acids | BBM (%) | 10%WW (%) | 20%WW (%) | 50%WW (%) |
|---|---|---|---|---|
| C11:0 | 2.80 ± 0.06 c | 2.77 ± 0.01 c | 3.62 ± 0.01 a | 3.27 ± 0.01 b |
| C16:0 | 48.52 ± 5.85 c | 56.06 ± 1.69 c | 63.17 ± 0.07 b | 65.52 ± 0.23 a |
| C16:1 | 2.35 ± 0.07 b | 2.12 ± 0.20 b | 2.62 ± 0.02 a | 2.17 ± 0.01 b |
| C18:0 | 3.45 ± 0.14 d | 6.66 ± 0.01 c | 7.38 ± 0.06 b | 7.75 ± 0.05 a |
| C18:1 (trans) | 6.73 ± 1.06 a | ND | ND | ND |
| C18:1 (cis) | 7.28 ± 1.98 d | 22.57 ± 1.71 a | 20.47 ± 0.07 b | 19.06 ± 0.72 c |
| C18:2 | 15.39 ± 1.82 a | 3.02 ± 0.20 b | 2.74 ± 1.29 b | 2.22 ± 0.03 c |
| C18:3 | 13.48 ± 0.84 a | 6.80 ± 0.10 b | ND | ND |
| SFAs | 54.78 ± 6.05 d | 65.50 ± 1.69 c | 74.16 ± 0.12 b | 76.55 ± 0.20 a |
| MUFAs | 16.35 ± 2.96 a | 24.68 ± 1.88 b | 23.09 ± 0.06 b | 21.23 ± 0.72 c |
| PUFAs | 28.87 ± 2.66 a | 9.82 ± 0.30 b | 0.91 ± 1.29 d | 2.22 ± 0.03 c |
Disclaimer/Publisher’s Note: The statements, opinions and data contained in all publications are solely those of the individual author(s) and contributor(s) and not of MDPI and/or the editor(s). MDPI and/or the editor(s) disclaim responsibility for any injury to people or property resulting from any ideas, methods, instructions or products referred to in the content. |
© 2025 by the authors. Licensee MDPI, Basel, Switzerland. This article is an open access article distributed under the terms and conditions of the Creative Commons Attribution (CC BY) license (https://creativecommons.org/licenses/by/4.0/).
Share and Cite
El Bakraoui, H.; Malaki, A.; Slaoui, M.; Laroche, C. Chromochloris zofingiensis-Based Treatment of Whey Wastewater for Biorefinery Application: Biomass, Nutrient Removal, Astaxanthin and Lipid Production. Appl. Sci. 2025, 15, 5832. https://doi.org/10.3390/app15115832
El Bakraoui H, Malaki A, Slaoui M, Laroche C. Chromochloris zofingiensis-Based Treatment of Whey Wastewater for Biorefinery Application: Biomass, Nutrient Removal, Astaxanthin and Lipid Production. Applied Sciences. 2025; 15(11):5832. https://doi.org/10.3390/app15115832
Chicago/Turabian StyleEl Bakraoui, Houria, Amina Malaki, Miloudia Slaoui, and Céline Laroche. 2025. "Chromochloris zofingiensis-Based Treatment of Whey Wastewater for Biorefinery Application: Biomass, Nutrient Removal, Astaxanthin and Lipid Production" Applied Sciences 15, no. 11: 5832. https://doi.org/10.3390/app15115832
APA StyleEl Bakraoui, H., Malaki, A., Slaoui, M., & Laroche, C. (2025). Chromochloris zofingiensis-Based Treatment of Whey Wastewater for Biorefinery Application: Biomass, Nutrient Removal, Astaxanthin and Lipid Production. Applied Sciences, 15(11), 5832. https://doi.org/10.3390/app15115832
