Simultaneous Estimation of Soil Hydraulic and Thermal Properties Based on Multiobjective Optimization Algorithms
Abstract
1. Introduction
2. Materials and Methods
2.1. Study Area and Field Data
2.2. Numerical Modeling
2.2.1. Liquid Water and Water Vapor Flow
2.2.2. Heat Transport and Soil Thermal Properties
2.2.3. Initial and Boundary Conditions
2.2.4. Methods to Calculate Soil Heat Flux
2.3. Multipurpose Optimal Method
2.4. Metrics
3. Results
3.1. Single-Objective Optimisation Parameters
3.2. Dual-Objective Optimisation Parameters
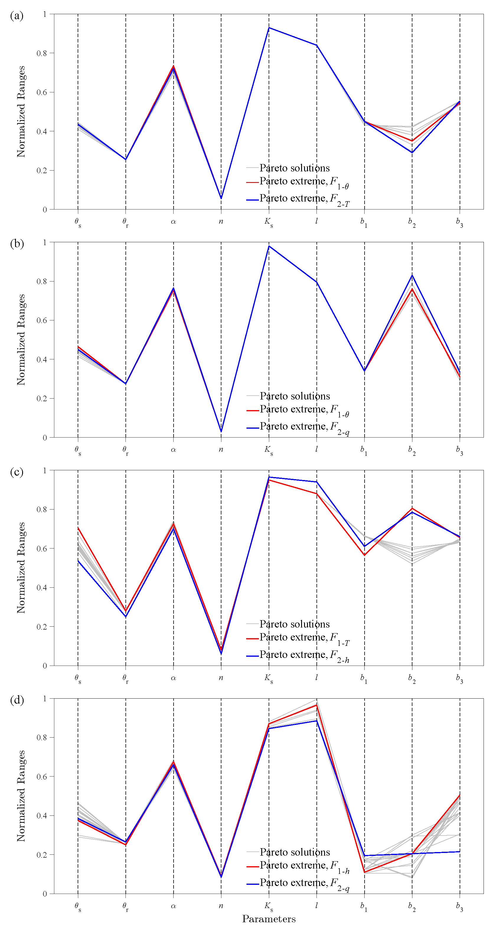
3.3. Multi-Objective Optimisation Parameters
4. Discussion
4.1. Total Liquid and Vapor Flux
4.2. Heat Flux
5. Conclusions
Author Contributions
Funding
Data Availability Statement
Conflicts of Interest
References
- Saito, H.; Šimůnek, J.; Mohanty, B.P. Numerical analysis of coupled water, vapor, and heat transport in the vadose zone. Vadose Zone J. 2006, 5, 784–800. [Google Scholar] [CrossRef]
- Yang, H.Q.; Zhang, L. Bayesian back analysis of unsaturated hydraulic parameters for rainfall-induced slope failure: A review. Earth-Sci. Rev. 2024, 251, 104714. [Google Scholar] [CrossRef]
- Vrugt, J.A.; Gupta, H.V.; Bastidas, L.A.; Bouten, W.; Sorooshian, S. Effective and efficient algorithm for multiobjective optimization of hydrologic models. Water Resour. Res. 2003, 39, 8. [Google Scholar] [CrossRef]
- Liu, X.; Wang, Y. Bayesian selection of slope hydraulic model and identification of model parameters using monitoring data and subset simulation. Comput. Geotech. 2021, 139, 104428. [Google Scholar] [CrossRef]
- Braud, I.; De Condappa, D.; Soria, J.M.; Haverkamp, R.; Angulo-Jaramillo, R.; Galle, S.; Vauclin, M. Use of scaled forms of the infiltration equation for the estimation of unsaturated soil hydraulic properties (the Beerkan method). Eur. J. Soil Sci. 2005, 56, 361–374. [Google Scholar] [CrossRef]
- Hopmans, J.; Schukking, H.; Torfs, P. Two-dimensional steady state unsaturated water flow in heterogeneous soils with autocorrelated soil hydraulic properties. Water Resour. Res. 1988, 24, 2005–2017. [Google Scholar] [CrossRef]
- Hopmans, J.W.; Šimůnek, J.; Romano, N.; Durner, W. 3.6. 2. Inverse Methods. Methods Soil Anal. Part Phys. Methods 2002, 5, 963–1008. [Google Scholar]
- Vrugt, J.A.; Ter Braak, C.J.; Clark, M.P.; Hyman, J.M.; Robinson, B.A. Treatment of input uncertainty in hydrologic modeling: Doing hydrology backward with Markov chain Monte Carlo simulation. Water Resour. Res. 2008, 44, 12. [Google Scholar] [CrossRef]
- Wöhling, T.; Vrugt, J.A. Multiresponse multilayer vadose zone model calibration using Markov chain Monte Carlo simulation and field water retention data. Water Resour. Res. 2011, 47, 4. [Google Scholar] [CrossRef]
- Shin, Y.; Mohanty, B.P.; Ines, A.V. Estimating effective soil hydraulic properties using spatially distributed soil moisture and evapotranspiration. Vadose Zone J. 2013, 12, vzj2012–0094. [Google Scholar] [CrossRef]
- Finsterle, S.; Kowalsky, M.B. A truncated Levenberg–Marquardt algorithm for the calibration of highly parameterized nonlinear models. Comput. Geosci. 2011, 37, 731–738. [Google Scholar] [CrossRef][Green Version]
- Finsterle, S.; Zhang, Y. Solving iTOUGH2 simulation and optimization problems using the PEST protocol. Environ. Model. Softw. 2011, 26, 959–968. [Google Scholar] [CrossRef]
- Cockett, R.; Kang, S.; Heagy, L.J.; Pidlisecky, A.; Oldenburg, D.W. SimPEG: An open source framework for simulation and gradient based parameter estimation in geophysical applications. Comput. Geosci. 2015, 85, 142–154. [Google Scholar] [CrossRef]
- Scharnagl, B.; Vrugt, J.; Vereecken, H.; Herbst, M. Inverse modelling of in situ soil water dynamics: Investigating the effect of different prior distributions of the soil hydraulic parameters. Hydrol. Earth Syst. Sci. 2011, 15, 3043–3059. [Google Scholar] [CrossRef]
- Vereecken, H.; Huisman, J.; Bogena, H.; Vanderborght, J.; Vrugt, J.; Hopmans, J. On the value of soil moisture measurements in vadose zone hydrology: A review. Water Resour. Res. 2008, 44, 4. [Google Scholar] [CrossRef]
- Mertens, J.; Stenger, R.; Barkle, G. Multiobjective inverse modeling for soil parameter estimation and model verification. Vadose Zone J. 2006, 5, 917–933. [Google Scholar] [CrossRef]
- Wöhling, T.; Vrugt, J.A. Combining multiobjective optimization and Bayesian model averaging to calibrate forecast ensembles of soil hydraulic models. Water Resour. Res. 2008, 44, 12. [Google Scholar] [CrossRef]
- Caldwell, T.G.; Wöhling, T.; Young, M.H.; Boyle, D.P.; McDonald, E.V. Characterizing disturbed desert soils using multiobjective parameter optimization. Vadose Zone J. 2013, 12, 1–23. [Google Scholar] [CrossRef]
- Zadeh, K.S. Multi-objective optimization in variably saturated fluid flow. J. Comput. Appl. Math. 2009, 223, 801–819. [Google Scholar] [CrossRef][Green Version]
- Wöhling, T.; Vrugt, J.A.; Barkle, G.F. Comparison of three multiobjective optimization algorithms for inverse modeling of vadose zone hydraulic properties. Soil Sci. Soc. Am. J. 2008, 72, 305–319. [Google Scholar] [CrossRef]
- Werisch, S.; Grundmann, J.; Al-Dhuhli, H.; Algharibi, E.; Lennartz, F. Multiobjective parameter estimation of hydraulic properties for a sandy soil in Oman. Environ. Earth Sci. 2014, 72, 4935–4956. [Google Scholar] [CrossRef]
- Zhou, H.; Zhao, W.Z. Evolution of soil-water states in the vadose zone of a desert soil after an extreme rainfall event and its impact on the ecosystem. Hydrogeol. J. 2021, 29, 2127–2147. [Google Scholar] [CrossRef]
- Deb, S.K.; Shukla, M.K.; Sharma, P.; Mexal, J.G. Coupled liquid water, water vapor, and heat transport simulations in an unsaturated zone of a sandy loam field. Soil Sci. 2011, 176, 387–398. [Google Scholar] [CrossRef]
- Gao, W.; Liu, X.; Zheng, C.; Lu, Y.; He, J.; He, Y. Comparison of the soil water, vapor, and heat dynamics between summer maize and bare fields in arid and semi-arid areas. Agronomy 2023, 13, 1171. [Google Scholar] [CrossRef]
- Lu, T.; Zheng, C.; Zhou, B.; Wu, J.; Wang, X.; Zhao, Y.; Liu, X.; Yuan, W. Response of Liquid Water and Vapor Flow to Rainfall Events in Sandy Soil of Arid and Semi-Arid Regions. Agronomy 2023, 13, 2424. [Google Scholar] [CrossRef]
- Bandai, T.; Ghezzehei, T.A. Forward and inverse modeling of water flow in unsaturated soils with discontinuous hydraulic conductivities using physics-informed neural networks with domain decomposition. Hydrol. Earth Syst. Sci. 2022, 26, 4469–4495. [Google Scholar] [CrossRef]
- Oikawa, K.; Saito, H. Inverse analysis of soil hydraulic parameters of layered soil profiles using physics-informed neural networks with unsaturated water flow models. Vadose Zone J. 2024, 23, e20375. [Google Scholar] [CrossRef]
- Wang, Y.; Shi, L.; Hu, X.; Song, W.; Wang, L. Multiphysics-Informed Neural Networks for Coupled Soil Hydrothermal Modeling. Water Resour. Res. 2023, 59, e2022WR031960. [Google Scholar] [CrossRef]
- Deb, K.; Agrawal, S.; Pratap, A.; Meyarivan, T. A fast elitist non-dominated sorting genetic algorithm for multi-objective optimization: NSGA-II. In Proceedings of the Parallel Problem Solving from Nature PPSN VI: 6th International Conference, Paris, France, 18–20 September 2000; Proceedings 6. Springer: Berlin/Heidelberg, Germany, 2000; pp. 849–858. [Google Scholar]
- Zhao, X.; Su, T.; Liu, X.; Zhang, X. Multi-objective optimization of main bearing assembly structure based on improved NSGA-II. Energy Sci. Eng. 2022, 10, 43–63. [Google Scholar] [CrossRef]
- Carles-Bou, J.L.; Galán, S.F. Self-adaptive polynomial mutation in NSGA-II. Soft Comput. 2023, 27, 17711–17727. [Google Scholar] [CrossRef]
- Vrugt, J.A.; Robinson, B.A. Improved evolutionary optimization from genetically adaptive multimethod search. Proc. Natl. Acad. Sci. USA 2007, 104, 708–711. [Google Scholar] [CrossRef]
- Besalatpour, A.A.; Pourreza-Bilondi, M.; Aghakhani Afshar, A. Parallelization of AMALGAM algorithm for a multi-objective optimization of a hydrological model. Appl. Water Sci. 2023, 13, 241. [Google Scholar] [CrossRef]
- Stahn, P.; Busch, S.; Salzmann, T.; Eichler-Löbermann, B.; Miegel, K. Combining global sensitivity analysis and multiobjective optimisation to estimate soil hydraulic properties and representations of various sole and mixed crops for the agro-hydrological SWAP model. Environ. Earth Sci. 2017, 76, 1–19. [Google Scholar] [CrossRef]
- Choudhary, R.; Athira, P. Effect of root zone soil moisture on the SWAT model simulation of surface and subsurface hydrological fluxes. Environ. Earth Sci. 2021, 80, 620. [Google Scholar] [CrossRef]
- Shin, S.; Her, Y.; Muñoz-Carpena, R.; Khare, Y.P. Multi-parameter approaches for improved ensemble prediction accuracy in hydrology and water quality modeling. J. Hydrol. 2023, 622, 129458. [Google Scholar] [CrossRef]
- Neupane, R.P.; Ficklin, D.L.; Knouft, J.H.; Ehsani, N.; Cibin, R. Hydrologic responses to projected climate change in ecologically diverse watersheds of the Gulf Coast, United States. Int. J. Climatol. 2019, 39, 2227–2243. [Google Scholar] [CrossRef]
- Zhang, X.; Srinivasan, R.; Liew, M.V. On the use of multi-algorithm, genetically adaptive multi-objective method for multi-site calibration of the SWAT model. Hydrol. Processes Int. J. 2010, 24, 955–969. [Google Scholar] [CrossRef]
- Ouyang, Q.; Lu, W.; Hou, Z.; Zhang, Y.; Li, S.; Luo, J. Chance-constrained multi-objective optimization of groundwater remediation design at DNAPLs-contaminated sites using a multi-algorithm genetically adaptive method. J. Contam. Hydrol. 2017, 200, 15–23. [Google Scholar] [CrossRef]
- Femeena, P.; Sudheer, K.; Cibin, R.; Chaubey, I. Spatial optimization of cropping pattern for sustainable food and biofuel production with minimal downstream pollution. J. Environ. Manag. 2018, 212, 198–209. [Google Scholar] [CrossRef]
- Saberi, E.; Khashei Siuki, A.; Pourreza-Bilondi, M.; Shahidi, A. Development of a simulation–optimization model with a multi-objective framework for automatic design of a furrow irrigation system. Irrig. Drain. 2020, 69, 603–617. [Google Scholar] [CrossRef]
- Kandelous, M.M.; Kamai, T.; Vrugt, J.A.; Šimůnek, J.; Hanson, B.; Hopmans, J.W. Evaluation of subsurface drip irrigation design and management parameters for alfalfa. Agric. Water Manag. 2012, 109, 81–93. [Google Scholar] [CrossRef]
- Huang, Z.; Zhang, L.; Cheng, S.; Zhang, J.; Xia, X. Back-analysis and parameter identification for deep excavation based on Pareto multiobjective optimization. J. Aerosp. Eng. 2015, 28, A4014007. [Google Scholar] [CrossRef]
- Van Genuchten, M.T. A closed-form equation for predicting the hydraulic conductivity of unsaturated soils. Soil Sci. Soc. Am. J. 1980, 44, 892–898. [Google Scholar] [CrossRef]
- Mualem, Y. A new model for predicting the hydraulic conductivity of unsaturated porous media. Water Resour. Res. 1976, 12, 513–522. [Google Scholar] [CrossRef]
- De Ghislain, M. Quantitative Hydrogeology; Groundwater Hydrology for Engineers; Academic Press: New York, NY, USA, 1986. [Google Scholar]
- Chung, S.O.; Horton, R. Soil heat and water flow with a partial surface mulch. Water Resour. Res. 1987, 23, 2175–2186. [Google Scholar] [CrossRef]
- Liebethal, C.; Huwe, B.; Foken, T. Sensitivity analysis for two ground heat flux calculation approaches. Agric. For. Meteorol. 2005, 132, 253–262. [Google Scholar] [CrossRef]
- Gao, Z.; Russell, E.S.; Missik, J.E.; Huang, M.; Chen, X.; Strickland, C.E.; Clayton, R.; Arntzen, E.; Ma, Y.; Liu, H. A novel approach to evaluate soil heat flux calculation: An analytical review of nine methods. J. Geophys. Res. Atmos. 2017, 122, 6934–6949. [Google Scholar] [CrossRef]
- Vrugt, J.A. Markov chain Monte Carlo simulation using the DREAM software package: Theory, concepts, and MATLAB implementation. Environ. Model. Softw. 2016, 75, 273–316. [Google Scholar] [CrossRef]
- Willmott, C.J. Some comments on the evaluation of model performance. Bull. Am. Meteorol. Soc. 1982, 63, 1309–1313. [Google Scholar] [CrossRef]











| Parameter | Unit | Bounds | Description | |
|---|---|---|---|---|
| Lower | Upper | |||
| cm3 cm−3 | 0.004 | 0.02 | Residual water content | |
| cm3 cm−3 | 0.25 | 0.4 | Saturated water content | |
| cm−1 | 0.01 | 0.15 | Inverse air-entry potential | |
| n | - | 1.48 | 2.95 | Shape parameter |
| cm3 d−1 | 10.0 | 1000.0 | Saturated conductivity | |
| l | - | −1.0 | 1.0 | Pore connectivity |
| W cm−1 °C−1 (10−4) | 120.0 | 140.0 | Empirical parameter | |
| W cm−1 °C−1 (10−4) | −520.0 | −500.0 | Empirical parameter | |
| W cm−1 °C−1 (10−4) | 1500.0 | 1520.0 | Empirical parameter | |
| Parameters | Objectives | |||
|---|---|---|---|---|
| θ | T | h | q | |
| 0.014 | 0.010 | 0.015 | 0.018 | |
| 0.291 | 0.316 | 0.288 | 0.288 | |
| 0.071 | 0.108 | 0.058 | 0.099 | |
| n | 1.558 | 1.716 | 1.607 | 1.500 |
| 457.088 | 512.861 | 457.088 | 977.237 | |
| l | 0.160 | 0.440 | 0.700 | 0.520 |
| 127.900 | 133.500 | 129.100 | 135.700 | |
| −503.500 | −509.900 | −510.000 | −516.600 | |
| 1511.000 | 1511.100 | 1503.900 | 1512.000 | |
| Objectives | Water content | Temperature | Matric potential | Heat flux | |||||||||||||
|---|---|---|---|---|---|---|---|---|---|---|---|---|---|---|---|---|---|
| R2 | RMSE | MAE | d | R2 | RMSE | MAE | d | R2 | RMSE | MAE | d | R2 | RMSE | MAE | d | ||
| (-) | (cm3 cm−3) | (cm3 cm−3) | (-) | (-) | (°C) | (°C) | (-) | (-) | (cm) | (cm) | (-) | (-) | (W m−2) | (W m−2) | (-) | ||
| Single objective | 0.9982 | 0.0029 | 0.0021 | 0.9995 | 0.7782 | 1.8464 | 0.9178 | 0.9420 | 0.9939 | 3.6807 | 2.2879 | 0.9985 | 0.8474 | 9.0681 | 5.3401 | 0.9640 | |
| T | 0.6036 | 0.0426 | 0.0305 | 0.9299 | 0.7528 | 1.9490 | 1.2046 | 0.9334 | 0.6392 | 28.2524 | 26.3085 | 0.9094 | 0.7356 | 11.9364 | 8.4791 | 0.9359 | |
| h | 0.9981 | 0.0029 | 0.0023 | 0.9995 | 0.8258 | 1.6361 | 0.8799 | 0.9549 | 0.9952 | 3.2485 | 2.5555 | 0.9988 | 0.8838 | 7.9141 | 4.9206 | 0.9713 | |
| q | 0.9872 | 0.0077 | 0.0042 | 0.9968 | 0.7053 | 2.1281 | 1.1582 | 0.9202 | 0.9651 | 8.7809 | 7.9963 | 0.9918 | 0.7627 | 11.3079 | 6.1655 | 0.9366 | |
| Dual objectives | + T | 0.9989 | 0.0022 | 0.0013 | 0.9997 | 0.7734 | 1.8662 | 0.9219 | 0.9366 | 0.9955 | 3.1408 | 1.9755 | 0.9989 | 0.8564 | 8.7953 | 4.7795 | 0.9633 |
| + h | 0.9992 | 0.0020 | 0.0011 | 0.9998 | 0.8505 | 1.5159 | 0.7552 | 0.9630 | 0.9961 | 2.9391 | 2.2157 | 0.9990 | 0.9016 | 7.2803 | 4.2576 | 0.9765 | |
| + q | 0.9989 | 0.0023 | 0.0013 | 0.9997 | 0.7937 | 1.7805 | 0.8576 | 0.9481 | 0.9958 | 3.0450 | 1.4455 | 0.9990 | 0.8322 | 9.5089 | 5.0446 | 0.9578 | |
| T + h | 0.9977 | 0.0033 | 0.0023 | 0.9994 | 0.7696 | 1.8817 | 0.9640 | 0.9395 | 0.9956 | 3.1219 | 1.7753 | 0.9989 | 0.8209 | 9.8223 | 5.7008 | 0.9541 | |
| T + q | 0.9897 | 0.0069 | 0.0045 | 0.9974 | 0.6339 | 2.3719 | 1.2725 | 0.9041 | 0.9620 | 9.1720 | 7.7235 | 0.9906 | 0.6752 | 13.2280 | 8.0669 | 0.9199 | |
| h + q | 0.9970 | 0.0037 | 0.0028 | 0.9992 | 0.7947 | 1.7763 | 0.9576 | 0.9443 | 0.9929 | 3.9562 | 3.2066 | 0.9982 | 0.8447 | 9.1477 | 5.6618 | 0.9600 | |
| Triple objectives | + T + h | 0.9991 | 0.0020 | 0.0010 | 0.9998 | 0.8356 | 1.5896 | 0.7706 | 0.9553 | 0.9961 | 2.9379 | 1.8042 | 0.9990 | 0.8698 | 8.3764 | 4.2948 | 0.9668 |
| + T + q | 0.9985 | 0.0026 | 0.0017 | 0.9996 | 0.7450 | 1.9798 | 0.9820 | 0.9315 | 0.9908 | 4.5088 | 3.7727 | 0.9977 | 0.8108 | 10.0968 | 5.1854 | 0.9542 | |
| + h + q | 0.9922 | 0.0060 | 0.0035 | 0.9981 | 0.7675 | 1.8903 | 1.0459 | 0.9392 | 0.9858 | 5.5961 | 4.6843 | 0.9965 | 0.7774 | 10.9513 | 6.7942 | 0.9428 | |
| T + h + q | 0.9988 | 0.0024 | 0.0016 | 0.9997 | 0.7535 | 1.9463 | 1.0468 | 0.9357 | 0.9944 | 3.5117 | 1.8927 | 0.9986 | 0.8374 | 9.3606 | 5.7414 | 0.9581 | |
| Quadruple objectives | + T + h + q | 0.9978 | 0.0031 | 0.0017 | 0.9994 | 0.6740 | 2.2382 | 1.1746 | 0.9139 | 0.9915 | 4.3464 | 3.5257 | 0.9978 | 0.6959 | 12.8007 | 7.3208 | 0.9249 |
| Objectives | Water content | Temperature | Matric potential | Heat flux | |||||||||||||
|---|---|---|---|---|---|---|---|---|---|---|---|---|---|---|---|---|---|
| R2 | RMSE | MAE | d | R2 | RMSE | MAE | d | R2 | RMSE | MAE | d | R2 | RMSE | MAE | d | ||
| (-) | (cm3 cm−3) | (cm3 cm−3) | (-) | (-) | (°C) | (°C) | (-) | (-) | (cm) | (cm) | (-) | (-) | (W m−2) | (W m−2) | (-) | ||
| Single objective | 0.9992 | 0.0018 | 0.0013 | 0.9998 | 0.9247 | 1.0114 | 0.3189 | 0.9831 | 0.9984 | 1.5473 | 0.5297 | 0.9996 | 0.7456 | 5.6261 | 2.4430 | 0.9419 | |
| T | 0.1144 | 0.0602 | 0.0372 | 0.8457 | 0.9339 | 0.9479 | 0.5167 | 0.9844 | 0.1369 | 36.0365 | 35.5943 | 0.8221 | 0.5883 | 7.1569 | 4.9660 | 0.9128 | |
| h | 0.9986 | 0.0024 | 0.0019 | 0.9997 | 0.9639 | 0.7007 | 0.2000 | 0.9913 | 0.9958 | 2.5136 | 2.2685 | 0.9989 | 0.8471 | 4.3624 | 2.0102 | 0.9665 | |
| q | 0.9837 | 0.0082 | 0.0049 | 0.9959 | 0.9833 | 0.4766 | 0.1359 | 0.9959 | 0.9412 | 9.4034 | 9.3593 | 0.9856 | 0.9114 | 3.3200 | 1.6473 | 0.9779 | |
| Dual objectives | + T | 0.9997 | 0.0011 | 0.0008 | 0.9999 | 0.9594 | 0.7429 | 0.1873 | 0.9896 | 0.9973 | 2.0057 | 1.7926 | 0.9993 | 0.8383 | 4.4848 | 1.8254 | 0.9622 |
| + h | 0.9995 | 0.0015 | 0.0007 | 0.9999 | 0.8766 | 1.2950 | 0.4507 | 0.9660 | 0.9959 | 2.4808 | 1.8535 | 0.9990 | 0.4823 | 8.0257 | 3.9287 | 0.8769 | |
| + q | 0.9996 | 0.0013 | 0.0007 | 0.9999 | 0.9664 | 0.6758 | 0.2113 | 0.9914 | 0.9981 | 1.6891 | 0.8120 | 0.9995 | 0.8646 | 4.1043 | 2.0305 | 0.9648 | |
| T + h | 0.9977 | 0.0031 | 0.0022 | 0.9994 | 0.9558 | 0.7749 | 0.2440 | 0.9884 | 0.9977 | 1.8661 | 1.3625 | 0.9994 | 0.8417 | 4.4387 | 2.2352 | 0.9593 | |
| T + q | 0.9924 | 0.0056 | 0.0038 | 0.9981 | 0.9346 | 0.9429 | 0.3452 | 0.9845 | 0.9490 | 8.7572 | 8.4028 | 0.9877 | 0.6694 | 6.4132 | 3.7018 | 0.9349 | |
| h + q | 0.9963 | 0.0039 | 0.0033 | 0.9991 | 0.9796 | 0.5259 | 0.2160 | 0.9949 | 0.9944 | 2.9027 | 2.4805 | 0.9986 | 0.9015 | 3.5012 | 2.1797 | 0.9753 | |
| Triple objectives | + T + h | 1.0000 | 0.0004 | 0.0002 | 1.0000 | 0.9931 | 0.3059 | 0.0664 | 0.9982 | 0.9989 | 1.2671 | 1.2175 | 0.9997 | 0.9701 | 1.9273 | 0.7494 | 0.9922 |
| + T + q | 0.9995 | 0.0015 | 0.0010 | 0.9999 | 0.9717 | 0.6196 | 0.1306 | 0.9930 | 0.9906 | 3.7644 | 3.6603 | 0.9977 | 0.8839 | 3.8015 | 1.3168 | 0.9735 | |
| + g + q | 0.9847 | 0.0079 | 0.0049 | 0.9962 | 0.9844 | 0.4610 | 0.1609 | 0.9964 | 0.9687 | 6.8582 | 6.6648 | 0.9921 | 0.9631 | 2.1417 | 0.9544 | 0.9916 | |
| T + h + q | 0.9997 | 0.0011 | 0.0007 | 0.9999 | 0.9853 | 0.4472 | 0.1430 | 0.9962 | 0.9984 | 1.5399 | 1.1770 | 0.9996 | 0.9167 | 3.2189 | 1.5279 | 0.9785 | |
| Quadruple objectives | + T + h + q | 0.9994 | 0.0016 | 0.0009 | 0.9998 | 0.9319 | 0.9615 | 0.3769 | 0.9840 | 0.9934 | 3.1595 | 2.7531 | 0.9983 | 0.7167 | 5.9375 | 3.1921 | 0.9417 |
Disclaimer/Publisher’s Note: The statements, opinions and data contained in all publications are solely those of the individual author(s) and contributor(s) and not of MDPI and/or the editor(s). MDPI and/or the editor(s) disclaim responsibility for any injury to people or property resulting from any ideas, methods, instructions or products referred to in the content. |
© 2025 by the authors. Licensee MDPI, Basel, Switzerland. This article is an open access article distributed under the terms and conditions of the Creative Commons Attribution (CC BY) license (https://creativecommons.org/licenses/by/4.0/).
Share and Cite
Zhang, J.; Li, N. Simultaneous Estimation of Soil Hydraulic and Thermal Properties Based on Multiobjective Optimization Algorithms. Appl. Sci. 2025, 15, 337. https://doi.org/10.3390/app15010337
Zhang J, Li N. Simultaneous Estimation of Soil Hydraulic and Thermal Properties Based on Multiobjective Optimization Algorithms. Applied Sciences. 2025; 15(1):337. https://doi.org/10.3390/app15010337
Chicago/Turabian StyleZhang, Jiachen, and Na Li. 2025. "Simultaneous Estimation of Soil Hydraulic and Thermal Properties Based on Multiobjective Optimization Algorithms" Applied Sciences 15, no. 1: 337. https://doi.org/10.3390/app15010337
APA StyleZhang, J., & Li, N. (2025). Simultaneous Estimation of Soil Hydraulic and Thermal Properties Based on Multiobjective Optimization Algorithms. Applied Sciences, 15(1), 337. https://doi.org/10.3390/app15010337

