Next Article in Journal
Impact of Rutting on Traffic Safety: A Synthesis of Research Findings
Next Article in Special Issue
Human Trajectory Imputation Model: A Hybrid Deep Learning Approach for Pedestrian Trajectory Imputation
Previous Article in Journal
Research on Response Postures of Subway Train in Straight Line Collision
Previous Article in Special Issue
Comparing User Acceptance in Human–Machine Interfaces Assessments of Shared Autonomous Vehicles: A Standardized Test Procedure
 
 
Font Type:
Arial Georgia Verdana
Font Size:
Aa Aa Aa
Line Spacing:
Column Width:
Background:
Article

Steering Assist Control for Bicycles with Variable Trail Effect

Department of Robotics and Mechatronics, Tokyo Denki University, Tokyo 120-8551, Japan
*
Authors to whom correspondence should be addressed.
Appl. Sci. 2025, 15(1), 251; https://doi.org/10.3390/app15010251
Submission received: 25 November 2024 / Revised: 25 December 2024 / Accepted: 25 December 2024 / Published: 30 December 2024
(This article belongs to the Special Issue Advances in Autonomous Driving and Smart Transportation)

Abstract

The purpose of this study is to realize a power steering control that restores the maneuverability of the bicycle by assisting in handlebar operation during loading according to the analysis of the effect of loading children and luggage in the front basket on maneuverability. Placing baggage and child in the front basket of a bicycle causes an increase in the moment of inertia around the handlebar axis and a change in the position of the center of gravity, and leads to a decrease in the maneuverability of the bicycle. To solve the issue, previous studies have contributed to improve the maneuverability by applying the assist torque proportional to the user’s steering one by a power steering mechanism. However, in general, bicycle steering is affected not only by handlebar operation but also by the roll angle of the bicycle body through the trail effect. Therefore, in this study, we propose to design a control system to realize the variable trail effect, which is related to the roll angle of the bicycle body, and use it as the steering assist. To verify the effectiveness of the proposed method, we developed a bicycle equipped with the power steering mechanism and implemented the proposed control algorithm. The behavior of the experimental bicycle during straight-line and slalom biking has been analyzed, and it has been shown that the control system with the variable trail effect can recover maneuverability when a weight is placed in the front basket.

1. Introduction

Bicycles are a familiar and affordable means of transportation, and are widely used all over the world. Users, young and old, men and women alike, ride bicycles for a variety of purposes, including short-distance transportation such as commuting to work or school, hobbies such as road racing and travel, and daily activities such as shopping and taking children to and from school. Bicycles have been appropriately improved according to their uses, especially in terms of ensuring their safety [1]. Electrically assisted bicycles are one of the fruits of these efforts. In Japan, the number of electrical power-assisted bicycles sold in 2022 exceeded that of ordinary bicycles, reaching 795,000 units. In addition, special bicycles to accommodate two infants in child seats attached to the handlebar and rear carrier of the bicycle have been developed and are becoming popular [2]. Research has also reported that electrical power-assisted bicycles are safer than conventional bicycles [3,4]. Furthermore, shared bicycle rides are getting increasingly popular, allowing people to use bicycles when and where they need them even if they do not own a bicycle [5,6,7,8]. In addition, forward-thinking attempts have sought to further improve the efficiency of bicycles, such as automated bicycle operation [9,10,11] and energy regeneration from the vibration generated during bicycle riding [12].
While the use of bicycles is increasing, the need to reduce bicycle accidents has been highlighted. Although bicycles are inherently unstable vehicles, they can be ridden as intended when the bicycle mechanism and the rider’s balance work cooperatively [13]. Therefore, the dynamics of bicycles have been analyzed by many researchers [1,2,14,15,16,17,18,19]. One of the factors leading to bicycle accidents such as falls is considered to be an increase in the moment of inertia around the handlebar and a change in the center of gravity position around the handlebar axis when baggage is placed in the front basket, or when an infant is carried in a child seat which is attached to the bicycle handlebar. It has been pointed out by [20,21,22,23] that an increase in the moment of inertia and a change in the center of gravity position require a larger steering torque than when nothing is placed in the front basket, which may result in reduced steering maneuverability. However, for riders such as the elderly or women who have difficulty in applying large steering torque, the load in the front basket may have a large impact on the steering operation. That is, it leads to the inability to make quick steering maneuvers, which causes fall accidents.
Our research group has paid attention to such a problem and has proposed a power steering system for bicycles that assists the rider in steering the bicycle in order to reduce the number of bicycle crashes [24]. Assistance in conventional electric bicycles has been supplying the additional biking torque generated by a motor [25,26,27,28].
However, in this study, we focus on the assist mechanism designed to assist the steering of the handlebar. As a previous study in this direction, Kowata et al. [24] developed an experimental power steering mechanism. In the power steering mechanism, the output shaft of the motor is linked to the handlebar shaft via gears, and the output torque of the motor is added to the steering torque by the rider. A disturbance observer designed for the mechanism, which is derived based on the equation of motion around the handlebar of the developed bicycle, estimates the rider’s steering torque. By supplying an assist torque proportional to the estimated steering torque, the system successfully reduces bicycle wobble even when a load is placed in the front basket. In another previous study, Iuchi et al. [29] achieved stable biking by designing a control system that cancels out the effect of baggage loaded on the front basket of the handlebar. The control system was designed based on the derived linearized model around the handlebar axis. The key of the control system is a disturbance observer which can estimate disturbances which cause the instability of the bicycle. According to the estimation, the assist torque is applied to the handlebar to cancel these disturbances even when some weight is loaded on the front basket. In addition, many other studies have sought to support the steering wheel operation [30,31,32,33,34]. Schwab et al. achieved stable bicycle riding by constructing a linear feedback control that simulates human operation on a bicycle handlebar [35]. In this study, the relationship between bicycle riding conditions and human steering input is simulated by a transfer function in quadratic standard form. The parameters of the transfer function are then obtained by system identification, and assistance for the steering of the handlebar torque is achieved.
These previous studies focused only on the steering assist by applying some torque to the bicycle handlebar axis. However, when actually riding a bicycle, the bicycle is steered not only by the handlebar but also by a mechanism called the “trail effect” in which the handlebar is automatically steered when the bicycle is inclined in the roll angle direction. This trail effect is closely related to the behavior of the turning bicycle [36,37], but loading baggage in the front basket also changes the trail effect [2]. Therefore, it is necessary to design and realize an assist control system that also takes the trail effect into account in order to recover and improve the bicycle’s maneuverability. Therefore, in this study, we propose a pseudo-variable trail effect generated by virtually relating the roll angle inclination of the bicycle by a feedback control. This feedback control suppresses the changes in the trail effect even when baggage is placed in the front basket or when an infant rides in the child seat. It thus contributes to realizing a steering assist control that restores the maneuverability. To achieve this purpose, we develop an electrically power-assisted bicycle that can provide steering assist and used it for demonstration experiments. Through demonstration experiments, we confirm the influence of the proposed method on the rider’s control over the bicycle. Also, to verify the effectiveness of the proposed method, we compare its effect with that of the conventional method [24] that applies the torque proportional to the human steering torque.

2. Materials and Methods

This section describes the goals to be achieved, the experimental setup, the proposed control law, and the analysis and signal processing to verify its effectiveness.

2.1. Task and Goals

This study addresses the two following points to be clarified:
  • Degradation of bicycle maneuverability caused by carrying a load in the front basket or an infant in a child seat;
  • A power steering mechanism for bicycles and an assist control method to recover from the deterioration of bicycle maneuverability caused by the load.
Since the assist control proposed in the previous study applies a torque, proportional to the rider’s steering torque, to the handlebar shaft, so it may further accelerate the unstable behavior even if the rider’s steering makes the bicycle unstable.
Therefore, this study focuses on the trail effect. The trail effect is one of the inherent mechanisms of bicycles that automatically steers the front wheel when the bicycle is inclined in the roll angle direction. It generates centrifugal force as the bicycle begins to turn and prevents it from falling over. Hence, we propose to achieve steering assist by controlling the trail effect to be variable. The effectiveness of the proposed control law is verified through comparative verification with the proportional assist methods of previous studies.

2.2. Bicycle with Power Steering Mechanism

The system configuration of the bicycle with a power steering mechanism developed in this study is shown in Figure 1. An IMU to measure angles and angular velocities in three axes is attached under the seat of the bicycle. The IMU shown in Figure 2, AU7684N; a MEMS IMU manufactured by Tama Seiki (Nagano, Japan), is used in this study. It can measure angular velocity in three axes with a resolution of −200 to 200 deg/s, the roll angle, and the azimuth angle of a bicycle in the range of −180 to 180 deg, and the pitch angle in the range of −90 to 90 deg. The IMU has a resolution of 16 bits and a sampling rate of output data at 200 Hz.
The bicycle speed is estimated by counting changes in the magnetic force measured by a hall sensor, and the magnetic force is generated by magnets placed at 4 degree intervales on the rear wheel. A motor with rotary encoder, shown in Figure 3, attached to the handlebars can generate an assist torque, and can also measure the handlebar angle. The motor comes from a MAXON EC motor, EC-4 pole 30 motor, with a head gear, GP42C 15NM 3ST KL, and tacho MR 1000 rotary encoder (Bad Homburg vor der Höhe, Germany). This encoder can measure the handlebar angle with a resolution of 4.86 × 10 3 deg. The SGI-100A strain gauge manufactured by KYOWA (Tokyo, Japan) is attached to the handlebars axis to measure the steering torque applied by a rider to the handlebars up to ±65 Nm.

2.3. Steering Assist Control

Bicycles are inherently unstable vehicles, and many studies have been conducted on their stability [1,14,15]. For such an unstable vehicle, the rider rides as intended when the bicycle mechanism and the rider’s balance cooperate [13]. However, for riders such as the elderly and women who have difficulty in applying large steering torque, the load luggage in the front basket of the bicycle handlebar may have a significant impact on steering operation [2]. Therefore, this study examines what kind of handlebar assist control would make it easier for a person to operate a bicycle with a load in the front basket.
So two types of steering assist control are implemented on the experimental bicycle equipped with the power steering mechanism shown in the previous section. The first of the steering assist control is “proportional assist control”. It generates an assist torque proportional to the steering torque applied by the rider to the handlebars. The second one is “variable trail control”. It comes from the mechanism of the caster angle and the offset of the front wheel of the bicycle. They make the trail effect, in which the front wheel is automatically steered in the tilting direction when the bicycle tilts the roll angle. In this study, we make the trail effect pseudo-variable by the control law.
Strain gauges are attached to the handlebar shaft of this experimental bicycle to measure the rider’s steering torque in real time. In the proportional assist control, the assist torque is calculated by multiplying the steering torque measured by the strain gauges by gains. The calculated assist torque is 1.5 times the steering torque input to the bicycle handlebar axle. Its block diagram is shown in Figure 4. The assist torque calculated by the proportional assist control is generated by the motor in the power steering mechanism. This torque is applied to the handlebar shaft via gears and is combined with the rider’s steering torque.
The IMU mounted on the bicycle can measure the roll angle and roll angular velocity in real time. The intersection point between the handlebar axis and the ground is offset from the ground contact point of the front wheel due to the caster angle and the offset of the bicycle. Due to this geometry of the front wheel, the front wheel of the bicycle is automatically steered by tilting the body, which is called the trail effect. As mentioned, the trail effect is determined by the geometry of the front wheel, but in the experimental machine with the power steering mechanism, the trail effect can be varied by using the motor to generate a torque around the handlebar axis in response to the roll angle and angular velocity of the vehicle body.
Therefore, we propose to a steering assist control for the power steering mechanism by adjusting the trail effect to a desirable amount. The block diagram is shown in Figure 5. The variable trail control allows the desired steering angle to be calculated from the roll angle and roll angular velocity of the bicycle. The motor torque applied to the handlebar axis is determined by a PD feedback control of the difference between the desired steering angle and the current rider’s steering angle. In the control system, the desired steering angle is set to three times, the roll angle of the vehicle body and 0.3 times the roll angular velocity. The proportional gain and differential gain of the PD feedback controller are set to 40 and 0.0002, respectively.

2.4. Experimental Conditions

To verify the effectiveness of the proposed control method, riding experiments have been conducted on the developed bicycle in which each control law is implemented. The experimental environment is shown in Figure 6. Marker cones were placed on a flat, asphalt-paved road surface with 8 m width and 24 m length, as shown in Figure 7. The effect of carrying baggage in the front basket of the bicycle or sitting child on the front child seat is expected to affect the bicycle behavior when it is steered for changing direction. Therefore, the slalom route in Figure 7 was chosen as the experimental route in which the rider on the bicycle bikes between the marker cones. The marker cones are spaced 1 m apart from each other. This allows the bicycles to follow the same route.
The experimental conditions in this study are shown in Table 1, where “∘” means “conducted” and “−” means “not conducted”. The following combinations are considered: whether or not there is a load (12 kg) in the front basket, and whether or not proportional assist control or variable trail control is implemented to the power steering mechanism.
In the riding experiment, three male subjects between the ages of 20 and 30 years old performed slalom biking, as above described, three times under each of the conditions in Table 1. The data measured during the biking are the roll angle of the bicycle body, roll angular velocity, handlebar angle, handlebar angular velocity, and biking speed. These data are analyzed based on the signal processing described in the next section.

2.5. Signal Processing

Since this research focuses on steering assist, the investigation of its effect requires an analysis of the steering angle during biking. In this direction, the proposed steering assist control is considered much more effective in the section where the bicycle handlebar is steered when biking along the slalom route shown in Figure 7. Therefore, it is necessary to identify the section of the measured data where the bicycle biking direction is changed according to the yaw angle profile.

2.5.1. Identification of the Section Where the Bicycle Biking Direction

During bicycle riding, the steering angle, its angular velocity, bicycle body roll angle, roll angular velocity, and yaw angle are measured in real time. The yaw angle of a bicycle fluctuates greatly during a turn because the direction of motion of the bicycle is constantly changing. On the other hand, when traveling straight, the bicycle does not change its direction of travel, so the yaw angle fluctuates very little. Since we can distinguish between “turning”, a section with a large slope of the yaw angle profile, and “straight” biking, a section with a small slope, the time interval during straight biking can be identified from the intersection of the two lines approximating the yaw angle profiles in turning and straight ahead. Based on this, we analyze Figure 8.
Figure 8 shows the yaw angle during a slalom biking test with a 12 kg weight in the front basket. The yaw angle increases until about 4 s after the start, which is when the vehicle is turning around the first marker cone. After that, there is a section where the yaw angle does not change until about 8 s. Here, the bicycle is traveling almost straight from the first marker cone to the second marker cone. If one looks closely at the data in this section, it can be seen that the yaw angle waves finely. This is due to the steering oscillation which occurs when the bicycle goes straight ahead after turning around the maker cone since it may be caused by the fluctuation due to the increase in the moment of inertia and the change of the center of gravity by the weight put on the front basket. Similarly, the data after 8 s are analyzed. The yaw angle decreases from about 8 to 10 s, when the vehicle is turning around the second marker cone. There is then a section where the yaw angle does not change until about 13 s. Here, the bicycle is traveling straight from the second marker cone to the third marker cone. The data in this section show that the yaw angle overshoots the target of 40 deg by about 20 deg. Thereafter, the yaw angle increases from 13 to 15 s. Thus, the bicycle is turning around the third marker cone. In addition, from 15 to 18 s, the change in yaw angle is gradual. Here, the bicycle is traveling straight from the third marker cone to the fourth marker cone. Similarly, when this section is checked, overshoot occurs up to around 180 deg while the target is 150 deg. After that, the rider is unable to suppress the vibration of the steering wheel and moves into a turn. We consider extracting the steering angle profile corresponding to the section of straight travel determined from the analysis of Figure 8.
Once the time interval during which the bicycle is traveling straight ahead after turning is identified, we focus on the profile of the handlebar steering angle corresponding to the time interval. Figure 9 shows the steering angle corresponding to the time interval identified by Figure 8.

2.5.2. Trend Removal

The trend component of the handlebar steering angle corresponds to the inevitable steering required to change the bicycle’s direction. On the other hand, the fluctuation from which the trend component is removed represents the handlebar steering operated in an oscillatory manner. This fluctuation of the steering implies the unstable operation of the bicycle. Thus, only the trend component is removed and only the vibrationally operated handle is observed. There are various methods for calculating trend components [38,39]. Among them, the moving average filter can calculate the trend component without phase delay. Therefore, the moving average filter is used to calculate the trend component. Figure 9 shows that the fluctuation of the handlebar operation is 2 Hz. Therefore, we use a moving average filter to take out the fluctuations lower than 2 Hz. The bicycle has a sampling frequency of 2 m. Thus, the window size of the moving average filter was determined to be 1000. The fluctuation signal obtained as the result of removing the trend component from the original steering handle angle is shown in Figure 10.

2.5.3. Time Section Running in a Straight Line

In Figure 10, the corresponding steering angle profile is also extracted using the time interval during which the bicycle is traveling in a straight line after the turn. The extracted data are shown in Figure 11. Frequency analysis will be performed on the extracted data to analyze the fluctuation of the steering. The results are given in the next section.

3. Results

Based on the signal processing described in the previous section, we analyze the bicycle steering angle during slalom biking and show that the proposed steering assist control is effective in the case with a load in the front basket. A rider may only partially mishandle the handlebars of a bicycle. Therefore, we extract from the handlebar angle data only those areas where the rider is not operating the handlebars well. The extracted sections are defined as the sections where handlebar angle overshoot occurs. We extract three large amplitude points for each situation in the section selected for analysis. The data extracted in this experiment are shown in Table 2.
Figure 12, Figure 13 and Figure 14 show the steering angle profile during the slalom biking for each rider. Each figure contains three time series of the steering angle with blue, red, and yellow charts representing the first, second, and third trial biking, respectively. As explained in the previous section, based on the change in yaw angle, we focus on the steering angles when the bicycle returns to straight biking after turning a corner. The framed area in each graph corresponds to such a situation. The green frame indicates the first corner, followed by the blue and purple frames indicating the second and third corners. Correspondingly, the labels data1, data2, and data3 in Table 2 correspond to the blue, orange, and yellow charts in the graph, respectively. In the same manner, the labels 1, 2, and 3 in the “corner” column mean the first, second, and third corners, respectively.
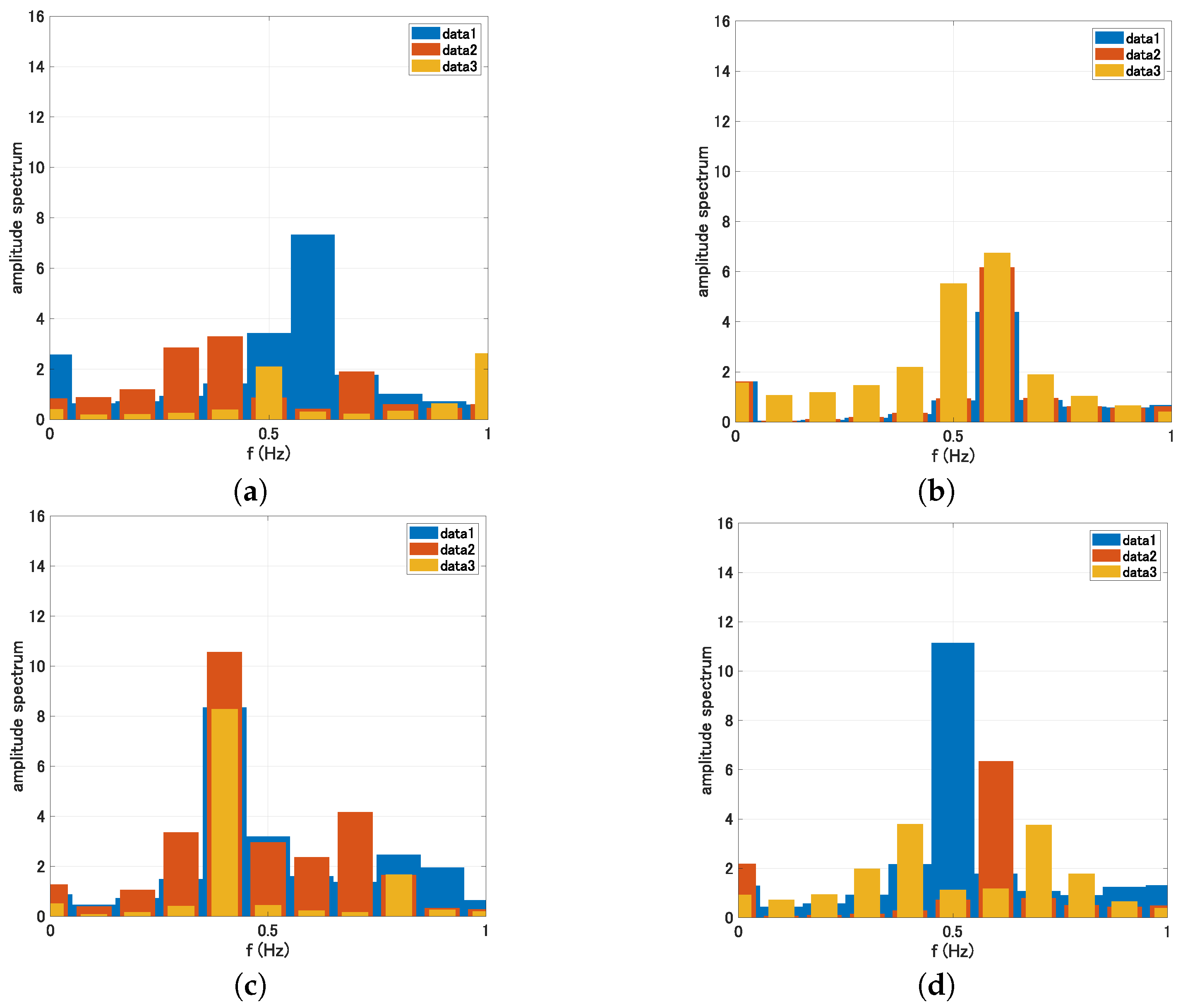
As the first investigation, we evaluate the steering angle profiles without and with a 12 kg load in the front basket. In other words, that is to check the influence of the load put in the front basket on the steering angles. For this purpose, the trend component of the steering angles’ profile is removed from the steering angle of the area enclosed by the frame. And, its frequency characteristics are analyzed by FFT. The results of the frequency analysis based on FFT are shown in Figure 15a–d. As in Figure 12, Figure 13 and Figure 14, blue, red, and yellow charts indicate the first, second, and third trial runs, respectively.
For the first rider, it can be seen that the steering angles during biking with a load have increased the vibration components of 0.6–0.8 Hz by 7 deg compared to the steering angles in the case of no load. In the case of the second rider, similarly to that of the first rider, the steering angles during biking with load show increased vibration components of 0.6–0.8 Hz and 0.4 Hz by up to 4 deg compared to the steering angles in the case of no load. In the case of the third rider, the steering angles in the case with the load show a significant increase in the low frequency component of 0.4 Hz compared to the steering wheel steering in case of no load. The above results confirm that, regardless of the rider, placing a load in the front basket causes the fluctuation of the steering when steering back from a turn to straight ahead. This leads to bicycle wobble.
Next, we verify the effect of applying the assist control when a load is placed in the front basket. For comparison, we evaluate both results of the proportional assist control proposed in the previous study and the variable trail control proposed in this study. In the case of the first rider, the proportional assist control reduced the vibration components except for 0.6–0.8 Hz, showing a behavior similar to that of the no load case, but the vibration components remained in the 0.6–0.8 Hz. The time-series profiles of the steering angle contain a maximum overshoot of 22°. On the other hand, the variable trail control reduces the peak vibration component in the 0.6–0.8 Hz by 4 deg. Indeed, the time-series profiles of the steering angle demonstrate that the maximum overshoot is reduced by up to 16°, and the overshoot quickly disappeared. In the case of the second rider, both the proportional assist control and the variable trail control worked effectively to reduce fluctuations by about 4°, and there was little fluctuation and no overshoot of the steering. The reason seems that this rider is an excellent rider who can steer the bicycle by shifting their body weight according to corners, and their intention to steer the bicycle fits the bicycle mechanism, including the trail effect. This implies that the bicycle can be regarded as not in need of assist control.
In the case of the third rider, as with the first rider, the proportional assist control reduced the vibration components other than 0.5–0.6 Hz, but did not reduce the peak vibration components in the 0.5–0.6 Hz range. The time series profiles of the steering angle revealed the maximum overshoot of 16°. On the other hand, the variable trail control reduced the peak of the large vibration components over the wide range. The time-series profiles of steering angles show no overshoot, confirming that the proposed assist control is working effectively.
As a result of the observation of the experiments, we confirm that the presence of a load in the front basket of the bicycle causes a significant overshoot in the time-series profile of handlebar steering, which returns to a straight line after turning a corner. In addition, from frequency component analysis, we confirm that the vibration component increased in 0.4–0.7 Hz and fluctuation occurred in handlebar steering. These phenomena come from an increase in inertial force during steering due to an increase in the moment of inertia of the handlebar steering, as expected in the beginning of the study, and an increase in the effect of the automatic steering of the front wheel due to the trail effect caused by the change in the center of gravity position far from the steering wheel axis.
Next, we evaluate the results of applying the assist control to the bicycle with the load placed on the front basket. The proportional assist control generated a vibration component of 12 deg after the control as in the case of no control from Figures 15 and 17. However, vibration components outside of the frequency bands prone to proportionally assisted controlled vibration were reduced. In other words, only simple handlebar fluctuation remained, which may lead to a reduction in the vibration of the bicycle roll angle as stated in the previous study. In contrast, the variable trail control proposed in this study can reduce the overshoot itself in handlebar steering. Furthermore, the frequency component analysis showed that vibration peaks were suppressed over the wide range. In particular, it should be remarked that the variable trail control reduced vibration by an average of 4 deg, regardless of the rider from Figure 15, Figure 16 and Figure 17. Therefore, the variable trail control reduced the overshoot of the steering angle compared to the proportional assist control. From the above, it can be concluded that the variable trail control is very effective in restoring bicycle maneuverability.

4. Conclusions

In this study, a steering assist control has been proposed and realized to recover from the deterioration of maneuverability, which is caused by the increase in the moment of inertia around the bicycle handlebar axis and the shift in the center of gravity when luggage is placed in the front basket of the bicycle handle or when a child is seated in the child seat. These previous studies only focused on the steering assist by applying some torque to the bicycle handlebar axis. However, when actually riding a bicycle, the bicycle is steered not only by the handlebar but also by a mechanism called the “trail effect” in which the handlebar is automatically steered when the bicycle is inclined in the roll angle direction. Therefore, we considered it is necessary to design and realize an assist control system that also takes the trail effect into account in order to recover and improve bicycle maneuverability. An experimental bicycle equipped with a power steering mechanism was developed with the two following types of control method: the control method to apply an assist torque proportional to the steering torque generated by the user to the handlebars, and the control method to realize a variable trail effect in which the front wheel is steered in conjunction with the roll angle of the bicycle. The investigation of changes in bicycle behavior depend on the load, and it has been found that the overshoot of the steering angle increased as the load increased, although there were individual differences. The effectiveness of the proportional assist control and the variable trail control in assisting bicyclists with a load has been verified through experiments using the developed bicycle. The results show that the variable trail control reduced the overshoot of the steering angle when the bicycle turns compared to that of the proportional control. The frequency analysis of the steering angle also confirms that the variable trail control attenuates the vibration caused by the swing of the handlebars when the bicycle turns. From them, it has been concluded that variable trail control, which also takes trail effects into account, is more effective in restoring the maneuverability of bicycles. As a future work, model-based assist control will be investigated to improve the steering assist by incorporating not only the trail effect but also the dynamics of bicycles, such as the gyroscopic effect.

Author Contributions

Resources, Y.S. and K.K.; Writing—original draft, T.K.; Writing—review & editing, M.I. All authors have read and agreed to the published version of the manuscript.

Funding

This study was partially supported by JSPS KAKENHI Grant Number 24K01008.

Institutional Review Board Statement

Not applicable.

Informed Consent Statement

Not applicable.

Data Availability Statement

The original contributions presented in this study are included in the article. Further inquiries can be directed to the corresponding author.

Conflicts of Interest

The authors declare no conflicts of interest. The funders had no role in the design of the study; in the collection, analyses, or interpretation of data; in the writing of the manuscript; or in the decision to publish the results.

References

  1. Schwab, A.L.; Kooijman, J.D.G.; Meijaard, J.P. Some recent developments in bicycle dynamics and control. In Proceedings of the Fourth European Conference on Structural Control, Russian Academy of Sciences, Moscow, Russia, 8–12 September 2008; pp. 695–702. [Google Scholar]
  2. Takimoto, S.; Iwase, M.; Shiino, K.; Kihara, T. Trail Control of Bicycle for Improving Stability and Maneuverability. In Proceedings of the 2023 International Conference on Mechatronics, Control and Robotics (ICMCR), Jeju, Korea, 18–20 February 2023; pp. 70–75. [Google Scholar] [CrossRef]
  3. Schepers, J.P.; Fishman, E.; den Hertog, P.; Klein Wolt, K.; Schwab, A.L. The safety of electrically assisted bicycles compared to classic bicycles. Accid. Anal. Prev. 2014, 73, 174–180. [Google Scholar] [CrossRef] [PubMed]
  4. Chen, C.-K.; Chu, T.-D.; Zhang, X.-D. Modeling and Control of an Active Stabilizing Assistant System for a Bicycle. Sensors 2019, 19, 248. [Google Scholar] [CrossRef] [PubMed]
  5. Sankaran, G.; Palomino, M.A.; Knahl, M.; Siestrup, G. Towards a System Dynamics Framework for Human–Machine Learning Decisions: A Case Study of New York Citi Bike. Appl. Sci. 2024, 14, 10647. [Google Scholar] [CrossRef]
  6. Bian, L.; Hu, Q.; Zhang, X.; Wu, X.; Tan, M. Dynamic Investigations of Shared Bicycle Operators’ Competition Based on Profit Maximization. Appl. Sci. 2024, 14, 9223. [Google Scholar] [CrossRef]
  7. Fishman, E.; Washington, S.; Haworth, N. Bike Share: A Synthesis of the Literature. Transp. Rev. 2013, 33, 148–165. [Google Scholar] [CrossRef]
  8. Eren, E.; Uz, V.E. A review on bike-sharing: The factors affecting bike-sharing demand. Sustain. Cities Soc. 2020, 54, 101882. [Google Scholar] [CrossRef]
  9. Mavungu, M. Control and Trajectory Planning of an Autonomous Bicycle Robot. Computation 2022, 10, 194. [Google Scholar] [CrossRef]
  10. Hatano, R.; Tani, T.; Wada, T.; Iwase, M. Precise bicycle modeling and model-based stabilization control on state dependent Riccati equation. In Proceedings of the 2017 IEEE Conference on Control Technology and Applications (CCTA), Maui, HI, USA, 27–30 August 2017; pp. 369–376. [Google Scholar] [CrossRef]
  11. Wakatsuki, Y.; Hatano, R.; Iwase, M. Stabilization control for inverted pendulum simulating behavior of circling bicycle. In Proceedings of the 2014 13th International Conference on Control Automation Robotics & Vision (ICARCV), Singapore, 10–12 December 2014; pp. 882–887. [Google Scholar] [CrossRef]
  12. Doria, A.; Marconi, E.; Moro, F. Energy Harvesting from Bicycle Vibrations by Means of Tuned Piezoelectric Generators. Electronics 2020, 9, 1377. [Google Scholar] [CrossRef]
  13. Yoshida, K.; Sato, K.; Yamanaka, Y. Simple Degree-of-Freedom Modeling of the Random Fluctuation Arising in Human-Bicycle Balance. Appl. Sci. 2019, 9, 2154. [Google Scholar] [CrossRef]
  14. Sharp, R.S. On the Stability and Control of the Bicycle. ASME Appl. Mech. Rev. 2008, 61, 060803. [Google Scholar] [CrossRef]
  15. Hatano, R.; Tani, T.; Iwase, M. Stability analysis and autonomous stabilization control of a bicycle based on a three-dimensional detailed physical model. In Proceedings of the IECON 2016—42nd Annual Conference of the IEEE Industrial Electronics Society, Florence, Italy, 23–26 October 2016; pp. 324–329. [Google Scholar] [CrossRef]
  16. Polack, P.; Altché, F.; d’Andréa-Novel, B.; de La Fortelle, A. The kinematic bicycle model: A consistent model for planning feasible trajectories for autonomous vehicles? In Proceedings of the 2017 IEEE Intelligent Vehicles Symposium (IV), Los Angeles, CA, USA, 11–14 June 2017; IEEE: Piscataway, NJ, USA, 2017; pp. 812–818. [Google Scholar]
  17. Kooijman, J.D.; Schwab, A.L.; Meijaard, J.P. Experimental validation of a model of an uncontrolled bicycle. Multibody Syst. Dyn. 2008, 19, 115–132. [Google Scholar] [CrossRef]
  18. Åström, K.J.; Klein, R.E.; Lennartsson, A. Bicycle dynamics and control. Control Syst. Mag. 2005, 25, 26–47. [Google Scholar]
  19. He, Q.; Fan, X.; Ma, D. Full bicycle dynamic model for interactive bicycle simulator. J. Comput. Inf. Sci. Eng. 2005, 5, 373–380. [Google Scholar] [CrossRef]
  20. Kooijman, J.D.G.; Meijaard, J.P.; Papadopoulos, J.M.; Ruina, A.; Schwab, A.L. A Bicycle can be Self Stable without Gyroscopic or Caster Effects. Science 2011, 332, 339–342. [Google Scholar] [CrossRef] [PubMed]
  21. Jones, D.E.H. The stability of the bicycle. Phys. Today 1970, 23, 34–40. [Google Scholar] [CrossRef]
  22. Papadopoulos, J.M. Bicycle Steering Dynamics and Self-Stability: A Summary Report on Work in Progress; Cornell Bicycle Research Project; Cornell University: Ithaca, NY, USA, 1987. [Google Scholar]
  23. Ji, Y.; Huang, Y.; Zeng, J.; Ren, L.; Chen, Y. A Physical–Data-Driven Combined Strategy for Load Identification of Tire Type Rail Transit Vehicle. Reliab. Eng. Syst. Saf. 2024, 253, 110493. [Google Scholar] [CrossRef]
  24. Kowata, T.; Sato, N.; Iwase, M. Power steering system for electrically assisted bicycles riding with toddlers—Experimental implementation and verification. In Proceedings of the 2013 IEEE/RSJ International Conference on Intelligent Robots and Systems, Tokyo, Japan, 3–7 November 2013; pp. 679–684. [Google Scholar] [CrossRef]
  25. Zhang, S.-P.; Tak, T.-O. Efficiency Evaluation of Electric Bicycle Power Transmission Systems. Sustainability 2021, 13, 10988. [Google Scholar] [CrossRef]
  26. Ho, P.J.; Yi, C.P.; Lin, Y.J.; Chung, W.D.; Chou, P.H.; Yang, S.C. Torque Measurement and Control for Electric-Assisted Bike Considering Different External Load Conditions. Sensors 2023, 23, 4657. [Google Scholar] [CrossRef]
  27. Lim, O.T. A deep learning approach for optimize dynamic and required power in electric assisted bicycle under a structure and operating parameters. Appl. Energy 2023, 347, 121457. [Google Scholar]
  28. Lozinski, J.; Heidary, S.H.; Brandon, S.C.; Komeili, A. An Adaptive Pedaling Assistive Device for Asymmetric Torque Assistant in Cycling. Sensors 2023, 23, 2846. [Google Scholar] [CrossRef] [PubMed]
  29. Iuchi, K.; Murakami, T. An Approach to fusion control of stabilization control and human input in Electric Bicycle. In Proceedings of the IECON 2006—32nd Annual Conference on IEEE Industrial Electronics, Paris, France, 6–10 November 2006; pp. 3211–3216. [Google Scholar]
  30. Dialynas, G.; Happee, R.; Schwab, A.L. Design and implementation of a steer-by-wire bicycle. In Proceedings of the International Cycling Safety, Barcelona, Spain, 10–11 October 2018. [Google Scholar]
  31. Draukšas, S. Using Model Predictive Control on a Steer-by-Wire Bicycle for Performance Assistance. Ph.D. Thesis, Delft University of Technology, Delft, The Netherlands, 2022. [Google Scholar]
  32. Schwab, A.L.; Appleman, N. Dynamics and Control of a Steer-by-Wire Bicycle. In Proceedings of the Bicycle and Motorcycle Dynamics 2013 Symposium on the Dynamics and Control of Single Track Vehicles, Narashino, Japan, 11–13 November 2013. [Google Scholar]
  33. Valenzano, L. Modelling and Enhanced Stability of a Steer by Wire Bicycle. Ph.D. Thesis, Polytechnic University of Turin, Torino, Italy, 2024. [Google Scholar]
  34. Alizadehsaravi, L.; Moore, J.K. Bicycle balance assist system reduces roll and steering motion for young and older bicyclists during real-life safety challenges. PeerJ 2023, 11, e16206. [Google Scholar] [CrossRef] [PubMed]
  35. Schwab, A.L.; De Lange, P.D.; Happee, R.; Moore, J.K. Rider control identification in bicycling using lateral force perturbation tests. Proc. Inst. Mech. Eng. Part J.—Multi-Body Dyn. 2013, 227, 390–406. [Google Scholar] [CrossRef]
  36. Arakawa, H.; Tan, J.T.C.; Suda, Y. Investigation of the effects on vehicle dynamics by caster angle and trail of front wheel under passive steering. In Proceedings of the Transportation and Logistics Conference, Belgrade, Serbia, 21–23 May 2015; pp. 135–138. [Google Scholar]
  37. Tan, J.T.; Arakawa, H.; Yoshihiro, S.U. Steering dynamics of tilting narrow track vehicle with passive front wheel design. J. Phys. Conf. Ser. 2016, 744, 012218. [Google Scholar] [CrossRef]
  38. King, R.G.; Rebelo, S.T. Low frequency filtering and real business cycles. J. Econ. Dyn. Control 1993, 17, 207–231. [Google Scholar] [CrossRef]
  39. Kim, S.-J.; Koh, K.; Boyd, S.; Gorinevsky, D. Trend Filtering. SIAM Rev. 2009, 51, 339–360. [Google Scholar] [CrossRef]
Figure 1. System configuration of experimental bicycle with power steering mechanism.
Figure 1. System configuration of experimental bicycle with power steering mechanism.
Applsci 15 00251 g001
Figure 2. IMU:AU7684N mounted on experimental bicycle.
Figure 2. IMU:AU7684N mounted on experimental bicycle.
Applsci 15 00251 g002
Figure 3. DC motor in power steering mechanism to generate assist torque.
Figure 3. DC motor in power steering mechanism to generate assist torque.
Applsci 15 00251 g003
Figure 4. Block diagram (proportional assist control).
Figure 4. Block diagram (proportional assist control).
Applsci 15 00251 g004
Figure 5. Block diagram (variable trail assist control).
Figure 5. Block diagram (variable trail assist control).
Applsci 15 00251 g005
Figure 6. Experimental environment: marker cones are placed for making the slalom route.
Figure 6. Experimental environment: marker cones are placed for making the slalom route.
Applsci 15 00251 g006
Figure 7. Slalom route: each rider bikes following the route.
Figure 7. Slalom route: each rider bikes following the route.
Applsci 15 00251 g007
Figure 8. Yaw angle profile indicates the straight biking section.
Figure 8. Yaw angle profile indicates the straight biking section.
Applsci 15 00251 g008
Figure 9. Handlebar steering angle during slalom biking with a 12 kg load.
Figure 9. Handlebar steering angle during slalom biking with a 12 kg load.
Applsci 15 00251 g009
Figure 10. Fluctuation obtained by subtracting a trend from a handlebar steering angle by moving average.
Figure 10. Fluctuation obtained by subtracting a trend from a handlebar steering angle by moving average.
Applsci 15 00251 g010
Figure 11. Extracted data.
Figure 11. Extracted data.
Applsci 15 00251 g011
Figure 12. Handle angle (rider 1).
Figure 12. Handle angle (rider 1).
Applsci 15 00251 g012
Figure 13. Handle angle (rider 2).
Figure 13. Handle angle (rider 2).
Applsci 15 00251 g013
Figure 14. Handle angle (rider 3).
Figure 14. Handle angle (rider 3).
Applsci 15 00251 g014
Figure 15. (a) Frequency component without loading (rider 1). (b) Frequency components during variable trail control (rider 1). (c) Frequency components when loaded (rider 1). (d) Frequency components during proportional assist control (rider 1).
Figure 15. (a) Frequency component without loading (rider 1). (b) Frequency components during variable trail control (rider 1). (c) Frequency components when loaded (rider 1). (d) Frequency components during proportional assist control (rider 1).
Applsci 15 00251 g015
Figure 16. (a) Frequency component without loading (rider 2). (b) Frequency components during variable trail control (rider 2). (c) Frequency components when loaded (rider 2). (d) Frequency components during proportional assist control (rider 2).
Figure 16. (a) Frequency component without loading (rider 2). (b) Frequency components during variable trail control (rider 2). (c) Frequency components when loaded (rider 2). (d) Frequency components during proportional assist control (rider 2).
Applsci 15 00251 g016
Figure 17. (a) Frequency component without loading (rider 3). (b) Frequency components during variable trail control (rider 3). (c) Frequency components when loaded (rider 3). (d) Frequency components during proportional assist control (rider 3).
Figure 17. (a) Frequency component without loading (rider 3). (b) Frequency components during variable trail control (rider 3). (c) Frequency components when loaded (rider 3). (d) Frequency components during proportional assist control (rider 3).
Applsci 15 00251 g017
Table 1. Riding experiment conditions: ∘ conducted; − not conducted.
Table 1. Riding experiment conditions: ∘ conducted; − not conducted.
LoadNo ControlProportionalVariable Trail
No load
12 kg weight
Table 2. Measurement data and labels to distinguish each data.
Table 2. Measurement data and labels to distinguish each data.
Rider 1Rider 2Rider 3
SituationDataCornerDataCornerDataCorner
No loaddata12data11data11
data13data13data12
data22data21data23
12 kg weightdata21data12data11
data22data13data23
data32data33data32
Variable trail controldata11data12data22
data22data21data31
data32data31data32
Proportional assist controldata11data11data21
data12data12data22
data13data21data31
Disclaimer/Publisher’s Note: The statements, opinions and data contained in all publications are solely those of the individual author(s) and contributor(s) and not of MDPI and/or the editor(s). MDPI and/or the editor(s) disclaim responsibility for any injury to people or property resulting from any ideas, methods, instructions or products referred to in the content.

Share and Cite

MDPI and ACS Style

Kihara, T.; Sugasawa, Y.; Kuriyama, K.; Iwase, M. Steering Assist Control for Bicycles with Variable Trail Effect. Appl. Sci. 2025, 15, 251. https://doi.org/10.3390/app15010251

AMA Style

Kihara T, Sugasawa Y, Kuriyama K, Iwase M. Steering Assist Control for Bicycles with Variable Trail Effect. Applied Sciences. 2025; 15(1):251. https://doi.org/10.3390/app15010251

Chicago/Turabian Style

Kihara, Takaatsu, Yuzuki Sugasawa, Keigo Kuriyama, and Masami Iwase. 2025. "Steering Assist Control for Bicycles with Variable Trail Effect" Applied Sciences 15, no. 1: 251. https://doi.org/10.3390/app15010251

APA Style

Kihara, T., Sugasawa, Y., Kuriyama, K., & Iwase, M. (2025). Steering Assist Control for Bicycles with Variable Trail Effect. Applied Sciences, 15(1), 251. https://doi.org/10.3390/app15010251

Note that from the first issue of 2016, this journal uses article numbers instead of page numbers. See further details here.

Article Metrics

Back to TopTop