Dielectric Properties and Magnetoelectric Effect of Bi7Fe3Ti3O21 Ceramic Material Doped with Gadolinium Ions
Abstract
1. Introduction
2. Materials and Methods
3. Results and Discussion
3.1. X-ray Diffraction
3.2. Scanning Electron Microscopy and X-ray Microanalysis (EDS)
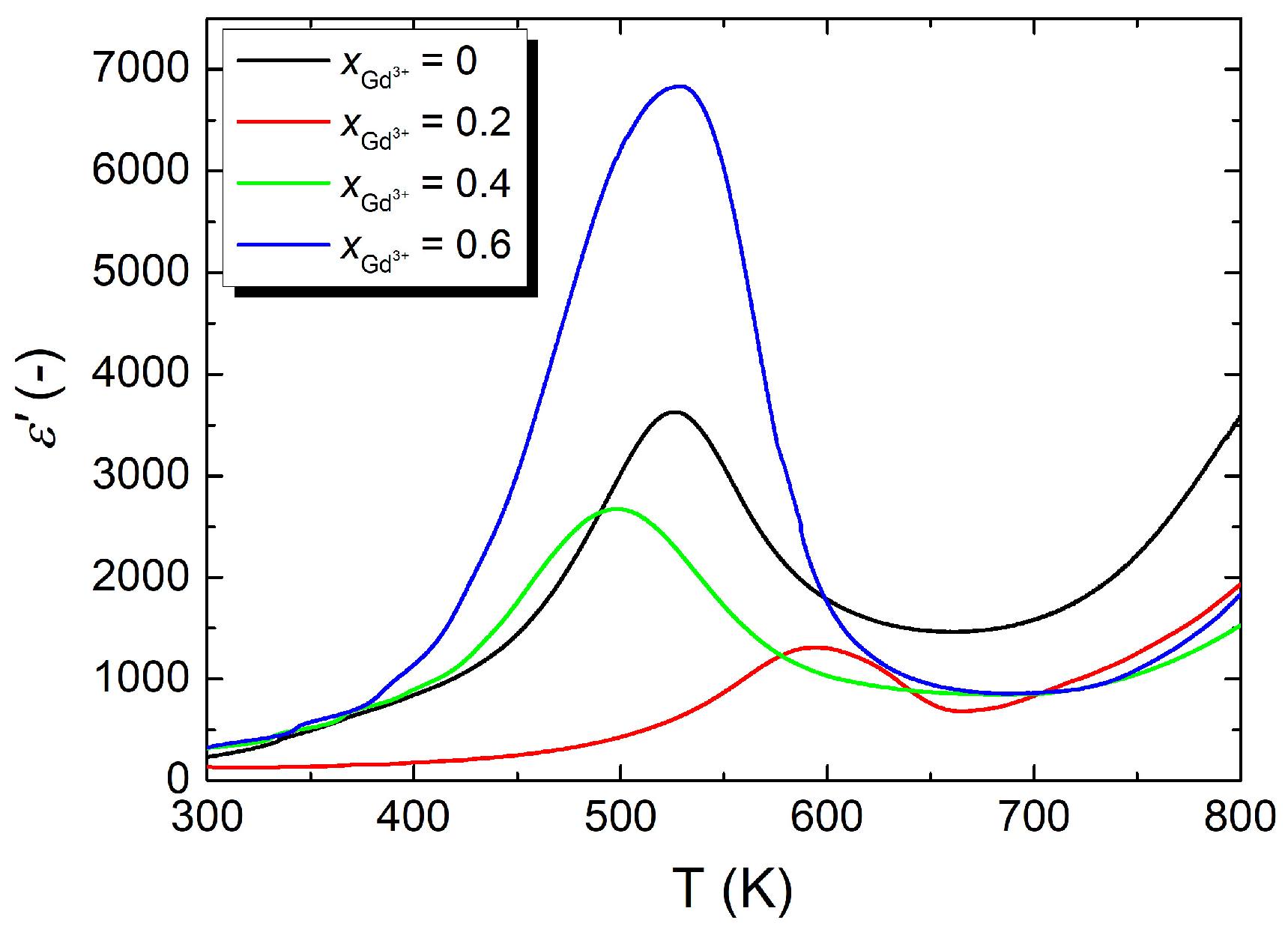
3.3. Dielectric Properties
3.4. The Magnetoelectric Effect
4. Conclusions
Author Contributions
Funding
Institutional Review Board Statement
Informed Consent Statement
Data Availability Statement
Conflicts of Interest
References
- Béa, H.; Gajek, M.; Bibes, M.; Barthélémy, A. Spintronics with multiferroics. J. Phys. Condens. Matter 2008, 20, 434221–434232. [Google Scholar] [CrossRef]
- Bibes, M.; Barthélémy, A. Oxide Spintronics. IEEE Trans. Electron Devices 2007, 54, 1003–1023. [Google Scholar] [CrossRef]
- Liang, X.; Chen, H.; Sun, N.X. Magnetoelectric materials and devices. APL Mater. 2021, 9, 041114–041141. [Google Scholar] [CrossRef]
- Liang, X.; Matyushov, A.; Hayes, P.; Schell, V.; Dong, C.; Chen, H.; He, Y.; Will-Cole, A.; Quandt, E.; Martins, P.; et al. Roadmap on Magnetoelectric Materials and Devices. IEEE Trans. Magn. 2021, 57, 400157. [Google Scholar] [CrossRef]
- Yakout, S.M. Spintronics: Future Technology for New Data Storage and Communication Devices. J. Supercond. Nov. Magn. 2020, 33, 2557–2580. [Google Scholar] [CrossRef]
- Faraz, A.; Arif, S. Magnetic-field-induced ferroelectric domain dynamics and in-plane polarization in odd and mixed layered Aurivillius structures. J. Appl. Phys. 2019, 126, 084104. [Google Scholar] [CrossRef]
- Liu, Z.; Chen, F.; Gao, Y.; Liu, Y.; Fang, P.; Wang, S. A novel synthetic route for magnetically retrievable Bi2WO6 hierarchical microspheres with enhanced visible photocatalytic performance. J. Mater. Chem. A 2013, 1, 7027–7030. [Google Scholar] [CrossRef]
- Zhang, Y.; Schultz, A.M.; Salvador, P.A.; Rohrer, G.S. Spatially selective visible light photocatalytic activity of TiO2/BiFeO3 heterostructures. J. Mater. Chem. 2011, 21, 4168–4174. [Google Scholar] [CrossRef]
- Guo, R.; Fang, L.; Dong, W.; Zheng, F.; Shen, M. Magnetically separable BiFeO3nanoparticles with a γ-Fe2O3 parasitic phase: Controlled fabrication and enhanced visible-light photocatalytic activity. J. Mater. Chem. 2011, 21, 18645–18652. [Google Scholar] [CrossRef]
- Li, X.; Ju, Z.; Li, F.; Huang, Y.; Xie, Y.; Fu, Z.; Knized, R.J.; Lu, Y. Visible light responsive Bi7Fe3Ti3O21 nanoshelf photocatalysts with ferroelectricity and ferromagnetism. J. Mater. Chem. A 2014, 2, 13366–13372. [Google Scholar] [CrossRef]
- Eerenstein, W.; Mathur, N.D.; Scott, J.F. Multiferroic and magnetoelectric materials. Nature 2006, 442, 759–765. [Google Scholar] [CrossRef] [PubMed]
- Veenachary, V.V.; Ramana, E.V.; Babu, S.N.; Puli, V.S.; Saha, S.; Srinivasan, G.; Prasad, G.; Prasad, N.V. Magnetoelectric Properties of Aurivillius-Layered Perovskites. Crystals 2024, 14, 299. [Google Scholar] [CrossRef]
- Sun, S.; Liu, C.; Wang, G.; Chen, Z.; Chen, T.; Peng, R.; Lu, Y. Structural and Physical Properties of Mixed-Layer Aurivillius-Type Multiferroics. J. Am. Ceram. Soc. 2016, 99, 3033–3038. [Google Scholar] [CrossRef]
- Lisnevskaya, I.V.; Butova, V.V.; Rusalev, Y.V.; Shapovalov, V.V.; Zahran, H.Y.; Yahia, I.S.; Soldatov, A.V. The effect of heterovalent doping on the stability and properties of multiferroic Aurivillius phases. Appl. Phys. A 2020, 126, 168. [Google Scholar] [CrossRef]
- Frit, B.; Mercurio, J.P. The crystal chemistry and dielectric properties of the Aurivillius family of complex bismuth oxides with perovskite-like layered structures. J. Alloys Compd. 1992, 188, 27–35. [Google Scholar] [CrossRef]
- Kennedy, B.J.; Kubota, Y.; Hunter, B.A.; Ismunandar; Kato, K. Structural phase transitions in the layered bismuth oxide Ba-Bi4Ti4O15. Solid State Commun. 2003, 126, 653–658. [Google Scholar] [CrossRef]
- Achary, S.N.; Patwe, S.J.; Krishna, P.S.R.; Shinde, A.B.; Tyagi, A.K. Cation disorder and structural studies on Bi4−xNdxTi3O12 (0.0≤x≤2.0). Pramana 2008, 71, 935–940. [Google Scholar] [CrossRef]
- Zhang, Z.; Yan, H.; Dong, X.; Wang, Y. Preparation and electrical properties of bismuth layer-structured ceramic BifDNbOg solid solution. Mater. Res. Bull. 2003, 38, 241–248. [Google Scholar] [CrossRef]
- Shannon, R.D. Revised Effective Ionic Radii and Systematic Studies of Interatomie Distances in Halides and Chaleogenides. Acta Cryst. 1976, A32, 751. [Google Scholar] [CrossRef]
- Szalbot, D.; Bartkowska, J.A.; Adamczyk-Habrajska, M.; Chełkowska, G.; Pawełczyk, M.; Bara, M.; Dzik, J. Magnetoelectric properties of multiferroic Aurivillius type Bi7Fe3Ti3O21 ceramics. Process. Appl. Ceram. 2020, 14, 218–222. [Google Scholar] [CrossRef]
- Szalbot, D.; Bartkowska, J.A.; Feliksik, K.; Bara, M.; Chrunik, M.; Adamczyk-Habrajska, M. Correlation between structure, microstructure, and dielectric properties of Bi7Fe3Ti3O21 ceramics obtained in different conditions. Arch. Metall. Mater. 2020, 65, 879–884. [Google Scholar] [CrossRef]
- Rietveld, H.M. A Profile Refinement Method for Nuclear and Magnetic Structures. J. Appl. Crystallogr. 1969, 2, 65–71. [Google Scholar] [CrossRef]
- Krzhizhanovskaya, M.; Filatov, S.; Gusarov, V.; Paufler, P.; Bubnova, R.; Morozov, M.; Meyer, D.C. Aurivillius phases in the Bi4Ti3O12/BiFeO3 system: Thermal behaviour and crystal structure. Z. Anorg. Allg. Chem. 2005, 631, 1603–1608. [Google Scholar] [CrossRef]
- Patterson, A.L. The Scherrer Formula for X-ray Particle Size Determination. Phys. Rev. 1939, 56, 978. [Google Scholar] [CrossRef]
- Kinoshita, K.; Yamaji, A. Grain-size effects on dielectric properties in barium-titanate ceramics. J. Appl. Phys. 1976, 47, 371–373. [Google Scholar] [CrossRef]
- Ghayour, H.; Abdellahi, M. A brief review of the effect of grain size variation on the electrical properties of BaTiO3-based ceramics. Powder Technol. 2016, 292, 84–93. [Google Scholar] [CrossRef]
- Das, R.; Choudhary, R.N.P. Dielectric relaxation and magnetoelectric characteristics of lead-free double perovskite: Sm2NiMnO6. J. Adv. Ceram. 2019, 8, 174–185. [Google Scholar] [CrossRef]
- Bartkowska, J.A.; Dercz, J. The determination of the magnetoelectric coupling coefficient from the temperature dependences of the dielectric permittivity for the multiferroic ceramics Bi5Ti3FeO15. J. Exp. Theor. Phys. 2013, 144, 1004–1008. [Google Scholar] [CrossRef]
- Alcantara, O.F.; Gehring, G.A. Magnetoelectric effect in antiferromagnetic crystals. Adv. Phys. 1980, 29, 731. [Google Scholar] [CrossRef]
- Janssen, T.; Tjion, J.A. One-dimensional model for a crystal with displacive modulation. Phys. Rev. B 1981, 24, 2245. [Google Scholar] [CrossRef]
- Gao, X.S.; Liu, J.M.; Li, Q.C.; Liu, Z.G. A Monte-Carlo study of magnetoelectric coupling system. Ferroelectrics 2001, 252, 69. [Google Scholar] [CrossRef]
- Yu, Z.; Meng, X.; Zheng, Z.; Lu, Y.; Chen, H.; Huang, C.; Sun, H.; Liang, K.; Ma, Z.; Qi, Y.; et al. Room temperature multiferroic properties of rare-earth-substituted Aurivillius phase Bi5Ti3Fe0.7Co0.3O15 ceramics. Mater. Res. Bull. 2019, 115, 235–241. [Google Scholar] [CrossRef]









| Valence | Coordination Number | Ionic Radii Å [19] | |
|---|---|---|---|
| Gd3+ | III | 6 | 0.94 |
| Bi3+ | III | 6 | 1.03 |
| Source | x | Mmol [g/mol] | a [Å] | b [Å] | c [Å] | V [Å3] | ρ [g/cm3] | χ2 |
|---|---|---|---|---|---|---|---|---|
| Ref. [23] | 0 | 2109.986 | 5.4699(3) | 5.4924(3) | 57.551(3) | 1729.0(2) | 8.106(1) | 6.50 |
| This work | 2109.986 | 5.4837(2) | 5.4970(4) | 57.447(4) | 1731.7(2) | 8.0932(7) | 2.34 | |
| 0.2 | 2099.640 | 5.4725(3) | 5.4858(4) | 57.531(4) | 1727.2(2) | 8.0747(8) | 1.99 | |
| 0.4 | 2089.294 | 5.4773(3) | 5.5026(4) | 57.574(5) | 1735.2(2) | 7.9975(9) | 1.68 | |
| 0.6 | 2078.948 | 5.4695(3) | 5.4978(5) | 57.591(8) | 1731.8(3) | 7.974(2) | 1.47 |
| Gd3+ | BGFT-x | |||
|---|---|---|---|---|
| Oxide Formula | Theoretical Oxide Content (%) | Determined Oxide Content from EDS (mag. 1000) (%) | The Difference between the Theoretical and Determined Oxide Content (%) | |
| x = 0.2 | Bi2O3 | 76 | 77 | 1 |
| Gd2O3 | 2 | 3 | 1 | |
| TiO2 | 11 | 10 | 1 | |
| Fe2O3 | 11 | 10 | 1 | |
| x = 0.4 | Bi2O3 | 74 | 75 | 1 |
| Gd2O3 | 3 | 5 | 2 | |
| TiO2 | 12 | 10 | 2 | |
| Fe2O3 | 11 | 10 | 1 | |
| x = 0.6 | Bi2O3 | 72 | 72 | 0 |
| Gd2O3 | 5 | 7 | 2 | |
| TiO2 | 12 | 10 | 2 | |
| Fe2O3 | 11 | 11 | 0 | |
| Bi7−xGdxFe3Ti3O21 | ||
|---|---|---|
| x | Tmax [K] | ε’max |
| 0 | 524 | 3623 |
| 0.2 | 579 | 1312 |
| 0.4 | 498 | 2674 |
| 0.6 | 529 | 6835 |
| Bi7−xGdxFe3Ti3O21 | ||
|---|---|---|
| [K] | ||
| 0.2 | 982 | 149 |
| 0.4 | 2258 | 207 |
| 0.6 | 6417 | 167 |
| 1000 Hz | 10,000 Hz | 100,000 Hz | 1,000,000 Hz | |
|---|---|---|---|---|
| Gd3+ ions | α [10−9 s/m] | |||
| x = 0 | 1.49 | 3.49 | 5.22 | 8.62 |
| x = 0.2 | 9.28 | 11.73 | 11.45 | 12.58 |
| x = 0.4 | 1.50 | 2.97 | 7.00 | 9.80 |
| x = 0.6 | 1.28 | 2.85 | 6.93 | 10.24 |
Disclaimer/Publisher’s Note: The statements, opinions and data contained in all publications are solely those of the individual author(s) and contributor(s) and not of MDPI and/or the editor(s). MDPI and/or the editor(s) disclaim responsibility for any injury to people or property resulting from any ideas, methods, instructions or products referred to in the content. |
© 2024 by the authors. Licensee MDPI, Basel, Switzerland. This article is an open access article distributed under the terms and conditions of the Creative Commons Attribution (CC BY) license (https://creativecommons.org/licenses/by/4.0/).
Share and Cite
Szalbot, D.; Bartkowska, J.A.; Makowska, J.; Chrunik, M.; Osińska, K.; Adamczyk-Habrajska, M. Dielectric Properties and Magnetoelectric Effect of Bi7Fe3Ti3O21 Ceramic Material Doped with Gadolinium Ions. Appl. Sci. 2024, 14, 3920. https://doi.org/10.3390/app14093920
Szalbot D, Bartkowska JA, Makowska J, Chrunik M, Osińska K, Adamczyk-Habrajska M. Dielectric Properties and Magnetoelectric Effect of Bi7Fe3Ti3O21 Ceramic Material Doped with Gadolinium Ions. Applied Sciences. 2024; 14(9):3920. https://doi.org/10.3390/app14093920
Chicago/Turabian StyleSzalbot, Diana, Joanna A. Bartkowska, Jolanta Makowska, Maciej Chrunik, Katarzyna Osińska, and Małgorzata Adamczyk-Habrajska. 2024. "Dielectric Properties and Magnetoelectric Effect of Bi7Fe3Ti3O21 Ceramic Material Doped with Gadolinium Ions" Applied Sciences 14, no. 9: 3920. https://doi.org/10.3390/app14093920
APA StyleSzalbot, D., Bartkowska, J. A., Makowska, J., Chrunik, M., Osińska, K., & Adamczyk-Habrajska, M. (2024). Dielectric Properties and Magnetoelectric Effect of Bi7Fe3Ti3O21 Ceramic Material Doped with Gadolinium Ions. Applied Sciences, 14(9), 3920. https://doi.org/10.3390/app14093920

