Next Article in Journal
Applied Maritime Engineering and Transportation Problems 2022
Next Article in Special Issue
Can the Functional Physical Fitness of Older People with Overweight or Obesity Be Improved through a Multicomponent Physical Exercise Program? A Chilean Population Study
Previous Article in Journal
Explainable Artificial Intelligence to Support Work Safety in Forestry: Insights from Two Large Datasets, Open Challenges, and Future Work
Previous Article in Special Issue
What Factors Influence the Injuries of Canoeists and Kayakers over the Years?
 
 
Font Type:
Arial Georgia Verdana
Font Size:
Aa Aa Aa
Line Spacing:
Column Width:
Background:
Article

Degree of Hamstring Extensibility and Its Relationship with Pelvic Tilt in Professional Cyclists

by
José M. Muyor
1,*,
Pedro A. López-Miñarro
2,
Fernando Alacid
3 and
Daniel López-Plaza
4
1
Department of Education, Health Research Centre, Laboratory of Kinesiology, Biomechanics and Ergonomics (KIBIOMER Lab), University of Almería, 04120 Almeria, Spain
2
Department of Physical Education, University of Murcia, 30100 Murcia, Spain
3
Department of Education, Health Research Centre, University of Almería, 04120 Almeria, Spain
4
Department of Education, University of Almería, 04120 Almeria, Spain
*
Author to whom correspondence should be addressed.
Appl. Sci. 2024, 14(9), 3912; https://doi.org/10.3390/app14093912
Submission received: 21 March 2024 / Revised: 30 April 2024 / Accepted: 2 May 2024 / Published: 3 May 2024
(This article belongs to the Special Issue Research of Sports Medicine on Health Care)

Abstract

The cyclist’s posture is typically characterized by a trunk flexion position to reach the handlebar of the bike. The pelvis serves as the base of the spine, and its tilt has been associated with the degree of extensibility of the hamstring, particularly in flexion postures of the trunk. The aim of this study was to determine whether, in professional cyclists, the degree of hamstring extensibility influences the pelvic tilt maintained while seated on the bicycle with support from the three handlebar grips of the road bike, as well as in other positions of the bicycle. To evaluate pelvic tilt, all participants were measured using the Spinal Mouse system. The results revealed statistically significant differences in pelvic tilt among the six positions assessed (p ≤ 0.05). Furthermore, the degree of hamstring extensibility of the hamstrings presented a strong and positive correlation with pelvic tilt in standing posture (r = 0.82), Sit-and-Reach (r = 0.76), and Toe-Touch (r = 0.88). However, the degree of hamstring extensibility showed no significant correlations with pelvic tilt in any posture maintained on the bicycle.

1. Introduction

Cycling efficiency is partially influenced by the posture assumed by the cyclist on the bicycle, as the rider must adopt an aerodynamic position to minimize air resistance as much as possible and ultimately save energy by optimizing performance [1]. In this stance, the cyclist adopts a forward-leaning position of the upper body, facilitating the placement or support of the hands on the handlebars, a common practice observed, especially during time trial events [2,3].
In general, a high prevalence of back pain, mainly in the lumbar and cervical regions, has been associated with the posture maintained by cyclists during prolonged training sessions and competitions [4]. Consequently, various studies have evaluated the spine sagittal curvatures and pelvic tilt of cyclists on their bikes [5,6,7,8,9,10,11]. Other investigations have analyzed the adaptations that cycling practice may induce in maximum trunk flexion postures compared to non-athletes [12].
The position of the pelvis and its relationship with the lumbar spine posture are key aspects of cycling as they influence aerodynamics and pedaling efficiency and have been associated with overuse injuries [13,14]. In fact, elite cyclists have a significantly greater capacity for anterior pelvic tilt in a seated position with extended knees (long sitting test) compared to non-cyclists [13]. This characteristic has been associated with adaptations to training [15]. Taking into account that hamstring muscles originate from ischial tuberosities and insert into the tibia and fibula, some authors have explored the relationship between hamstring extensibility and spinal morphology and pelvic tilt adopted by different population groups [16]. In this regard, Gajdosik et al. [16] reported that in the finger-to-floor test, men with shortened hamstring muscles exhibited a reduced range of pelvic motion compared to those without hamstring shortening. On the other hand, Preece et al. [17] reported that stretching the hip muscles can lead to immediate reductions in pelvic tilt during a relaxed bipedal stance.
Regarding cycling, in pursuit of minimizing aerodynamic resistance, cyclists adopt positions of maximal trunk flexion while pedaling on their bicycles [18]. However, according to performance level, the pelvic posture revealed no differences between competitive and recreational cyclists [9]. In this regard, there is a belief that cyclists with greater hamstring extensibility might achieve greater trunk flexion in the sustained posture on the bicycle. However, to date, we are not aware of studies that have evaluated such a condition in professional cyclists. In this sense, Muyor et al. [19] reported that the extensibility of hamstring muscles influenced the thoracic and pelvic tilt during maximal trunk flexion with the knees extended, but not when cyclists were seated on their bikes. However, these authors only evaluated a few postures on the bicycle, especially in the low handlebar grip position. Thus, it is not clear whether the degree of hamstring extensibility could influence pelvic tilt in the other two more used handlebar grips in cycling by professional cyclists, such as the transverse and the lever grip, as well as whether such hamstring extensibility could affect other postures outside of the bike.
Therefore, the aim of the current study is to determine whether, in professional cyclists, the degree of hamstring extensibility influences the pelvic tilt maintained while seated on the bicycle with support from the three handlebar grips of the road bike, as well as in other positions of the bicycle.

2. Materials and Methods

2.1. Participants

A total of 14 professional cyclists (age: 19.29 ± 0.46; weight: 68.52 ± 5.25 kg, height: 1.77 m; BMI: 21.82 ± 0.90) voluntarily participated in this study. The inclusion criteria were (1) being professional cyclists; (2) training on a regular basis (4 to 7 days per week); (3) training > 3 h per day; and (4) having at least 5 years of cycling experience. The exclusion criteria were (1) having undergone spinal or hamstring surgery; (2) being diagnosed with any spinal pathology or lower extremity injury; and (3) having any limitation due to discomfort (muscle soreness or overload) to perform any posture necessary for this study. All participants were instructed to avoid vigorous physical activity and training sessions 24 h before testing. The study procedures were approved by the University of Almería Research Ethics Committee (Ref. UALBIO2022/025) in accordance with the principles of the Declaration of Helsinki. Before participating in the investigation, each athlete was informed of the procedures and signed a written informed consent form.

2.2. Procedure and Measurements

The pelvic tilt was assessed using the Spinal Mouse® instrument (Idiag, Fehraltdorf, Switzerland). This is a non-invasive electronic device using computer-assisted technology, which has demonstrated high validity and reliability for the assessment of spinal morphotype and pelvic tilt in the sagittal plane [20,21,22].
The procedure for identifying the spinous processes, positioning of the participants, and movement of the Spinal Mouse® followed the protocol recommended by Mannion et al. [22]. Before the assessment, the main researcher identified and marked the location of the seventh cervical vertebra (C7) and the beginning of the intergluteal crease (approximately S3) with a dermal pencil. For the recording of pelvic tilt, Spinal Mouse® was guided from C7 to S3 along the middle line of the spinal column. Immediately, the data were transmitted to a computer via Bluetooth, and the pelvic tilt data were recorded in Medimouse® software (Idiag, Fehraltdorf, Switzerland, https://www.medi-mouse.com/) for subsequent analysis. Positive values corresponded to an anterior pelvic tilt (forward inclination), while negative values represented a posterior pelvic tilt (backward inclination). Each posture was evaluated three times, and the arithmetic mean of the values from the three evaluations and their standard deviations were used for subsequent statistical analysis. An intraclass correlation coefficient (ICC) ≥ 0.90 was achieved among the three measurements made for each of the evaluated postures.
All participants were assessed in a random order on the bike and were provided with at least 5 min of rest between positions. Cyclists were asked to remove their jerseys for assessment, wearing their own cycling shorts and automatic cycling shoes with specific cleats. The bicycles used were their own, maintaining their individual setup used in training and competitions. The laboratory temperature was standardized to 24 degrees Celsius for all tests.
A general warm-up was provided by a researcher, consisting of 5 min of cycling at a cadence of 90 revolutions per minute (rpm) on a cycling trainer (PowerBeam Protrainer ANT+, CycleOps, Madison, WI, USA) [23]. The resistance maintained during pedaling was controlled using the Borg Rating of Perceived Exertion (RPE) scale of 6–20 points at a moderate intensity (12–13 points).

2.2.1. Standing Posture

Participants were instructed to stand barefoot, without a maillot, and wearing their cycling shorts below the sacral area to prevent interference with the movement of the Spinal Mouse®. The assessment was performed with the head of the cyclist facing forward, arms hanging by the sides, knees normally extended, and feet shoulder-width apart.

2.2.2. Maximal Trunk Flexion While Sitting with Extended Knees (Sit and Reach)

Cyclists were seated on the ground and extended knees and legs together so that the soles of their feet were flat against the end of a box (height = 32 cm). With their palms down, the athletes were asked to place one hand over the other and slowly, with maximal trunk flexion, slide their hands forward as far as possible. A second examiner supervised the maintenance of the resulting position for approximately 5 s.

2.2.3. Maximum Trunk Flexion in a Standing Position with Extended Knees (Toe-Touch)

While standing on a box with their knees extended and legs together similar to the SR procedure, participants were asked to slide their hands along the box, maintaining their knees as straight as possible and maintaining the resulting position for approximately 5 s (controlled by the second examiner).

2.2.4. On-Bicycle Positions

In all postures, participants were instructed to pedal for a period of 5 min at a cadence of 90 rpm during assessment. Three positions were evaluated: (a) with hands resting on the transverse handlebar; (b) with hands placed on the handlebar brake lever support; and (c) with hands resting on the lower handlebar.

2.2.5. Hamstring Extensibility

The degree of extensibility of the hamstring was assessed using the passive straight leg raise (PSLR) test. For this purpose, cyclists lay in a supine position on a bench with their lower limbs at 0° hip flexion. A limb was held by an assisting examiner who prevented pelvic retroversion, lateralization of the limb opposite to the one being evaluated, and knee flexion. Meanwhile, a second examiner placed a Uni-Level Isomed inclinometer (ISOMED, Inc., Portland, OR, USA) at 0° on the distal tibia of the limb under evaluation. Subsequently, this limb was raised, always maintaining knee extension, until maximum hip flexion was achieved, which was determined if any of the following three conditions occurred: (1) the cyclist reported discomfort or pain in the hamstring area of the evaluated limb; (2) the examiner felt resistance and/or the impossibility of continuing to raise the limb; or (3) the assisting examiner noticed a posterior rotation of the hip and/or flexion of the knee of the limb opposite to the one being evaluated.

2.3. Statistical Analysis

The hypothesis of normality was analyzed using the Shapiro–Wilk test, while the homogeneity of variance was examined by Levene’s test. Since the data were normally distributed (p > 0.05), parametric analyses were performed. Descriptive statistics that include means and standard deviations (SDs) were calculated for all variables. A one-way ANOVA with repeated measures was used to compare pelvic tilt in all six positions analyzed. The significance of repeated multivariate measurements was verified by Wilk’s lambda, Pillai’s trace, Hotelling’s trace, and Roy’s greatest root tests with consistent results. When significant differences were identified for the main effect of the ANOVA, a post hoc comparison with Bonferroni corrections was performed for multiple comparisons to allocate the differences between groups. Partial eta-squared (η2p) was used to estimate the effect size, and the level of significance was set at p ≤ 0.05. Pearson’s product-moment correlation coefficients (r) were used to determine the relationship between hamstring muscle extensibility (measured with the PSLR test) with respect to pelvic tilt. The R-square (R2) and regression line (least squares) were calculated for each pair of variables (pelvic tilt in each posture and hamstring extensibility).
The sample size and statistical power were calculated with the software program G*Power v.3.1 for Mac OS X (v. 14.4.1, Apple Inc., Cupertino, EE.UU.) [24]. The statistical power was >0.9 for all the variables analyzed with the sample size used in the current study. IBM SPSS software v.29 (IBM, Armonk, NY, USA) was used for statistical analyses.

3. Results

The descriptive data of the pelvic tilt at six different positions in professional cyclists are presented in Table 1. Significant differences were observed between pelvic tilt in the six evaluated positions, demonstrating a large effect size, F(1.54) = 74.18, p < 0.001, and η2p = 0.851, β − 1 = 1.
Post hoc analysis of the comparison among the six postures is summarixed in Table 2. Significant differences were observed among all postures examined (p ≤ 0.05). Pelvic tilt significantly increased its anterior inclination, especially in lower and transverse handlebar and Toe-Touch positions in comparison with the others (p ≤ 0.001), from the Transverse handlebar grip (approximately 25°) through the grip on the Brake lever support (approximately 29°) to the Lower handlebar grip (approximately 36°). Conversely, the Sit-and-Reach and Toe-Touch comparison revealed no significant pelvic tilt. Considering that the sacral inclination in the bipedal position was approximately 12°, in the positions of maximum trunk flexion with the knees extended, both in the sitting position (Sit-and-Reach) and from a bipedal stance (Toe-Touch), the pelvis was in a posterior tilt (backward inclination).
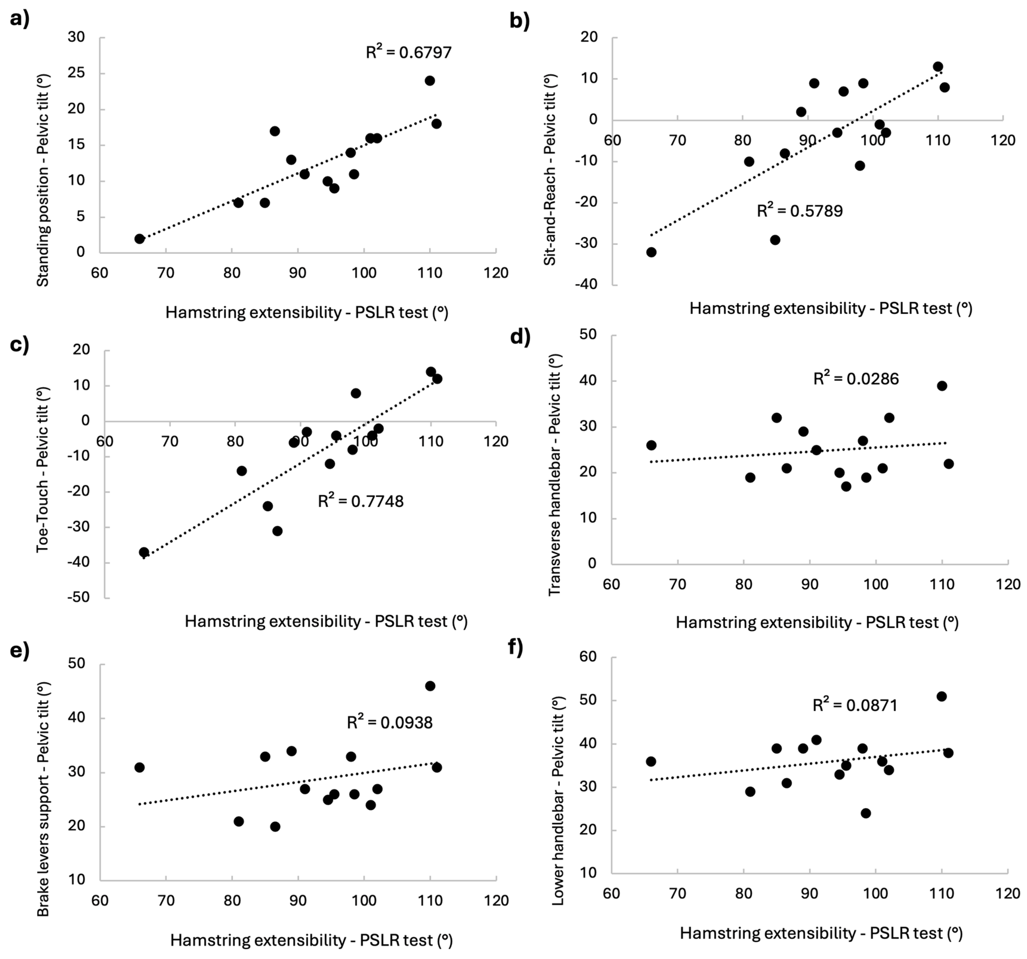
The pairwise correlations between hamstring extensibility and pelvic tilt in the six positions are shown in Figure 1. The cyclists exhibited an average passive hip flexion angle, as assessed by the PSLR test, of 93.93° ± 10.31° for the left limb and 93.07° ± 13.77° for the right limb. Since there were no statistically significant differences between the values of both limbs, the mean values were used for the analyses and correlations between the variables. Significantly strong and positive correlations were identified between the extensibility of the hamstring muscles and three specific postures on land, with correlation coefficients of 0.82 (p ≤ 0.001) for pelvic tilt in Standing, 0.76 (p ≤ 0.01) in Seat-and-Reach, and 0.88 (p ≤ 0.001) in Toe-Touch.
The interrelationship of pelvic tilt values among all six postures analyzed is presented in Table 3. Pelvic tilt in the Sit-and-Reach test demonstrated a very strong correlation with those reached in the Toe-Touch test, with a coefficient of 0.86 (p ≤ 0.001). Furthermore, a remarkably high correlation was observed among the three handlebar postures, observing correlation coefficients between 0.75 and 0.82 (p ≤ 0.01). However, no statistically significant correlations were found between hamstring extensibility and pelvic tilt in any of the three handlebar grips evaluated on the bicycle.

4. Discussion

One of the main objectives of this study was to compare and correlate the pelvic tilt and the hamstring extensibility between different postures, both upright standing and maximum trunk flexion with extended knees, from a seated position and standing, as well as on the bicycle using the three most widely used handlebar grips by cyclists. The analyses revealed that professional cyclists exhibited a pelvic tilt when standing of approximately 12°. However, in the Sit-and-Reach and Toe-Touch positions, the pelvis was positioned in retroversion. On the other hand, the pelvis significantly increases its anterior tilt as the support of the handlebars becomes more distal and lower in relation to the height of the saddle. Taking into account that the pelvis constitutes the foundation of the vertebral column, the current findings highlighted the influence of pelvic tilt disposition in cycling and thus sagittal balance in both normal and pathological conditions of the vertebral column [25].
The results obtained in the current investigation are consistent with previous studies analyzing pelvic tilt in cycling. A previous investigation analyzing spinal curvatures in competitive cyclists reported that in a standing position, the pelvic tilt showed a mean value of around 15° [26], which closely mirrors the findings of the current study. In addition, consistent with the findings of the present study, other authors noted that, on bicycles, the pelvis significantly increased its anterior tilt from the highest to the lowest handlebar grip [10]. However, no correlation analysis between the degree of hamstring extensibility and pelvic posture was performed by those authors.
When analyzing pelvic tilt, the degree of extensibility of the hamstring is considered a reference since the origin of this musculature is located in the ischial bone. Thus, people with hamstring shortness may frequently exhibit a pelvis retroversion predisposition, while improving hamstring extensibility may be useful for decreasing lumbar flexion and increasing hip flexion when trunk flexion movements or stoop lifting tasks are performed [27]. Therefore, examining the relationship between the degree of hamstring extensibility and pelvic tilt in the standing position and on the most commonly used handlebar grips in cycling is paramount to understanding the role of the pelvic position in cycling.
In the present study, a significantly strong and positive correlation was observed between the degree of hamstring extensibility and pelvic tilt in the standing, Sit-and-Reach, and Toe-Touch postures. However, no strong or significant correlation was identified between the degree of hamstring extensibility and the three postures evaluated on the bicycle. Perhaps, due to the typical cyclist’s position on the bicycle (knee not fully extended at the lowest point of the pedal stroke), the tension on the hamstring muscles at their ischial tuberosity insertion may be alleviated. This situation could justify the absence of a strong and significant correlation in specific bike positions, such as those observed in postures involving maximum trunk flexion with extended knees.
Specifically, McEvoy et al. [15] reported that cyclists had a greater anterior pelvic tilt capacity than non-cyclists. These authors justified their findings due to the greater adaptability of cyclists to trunk flexion postures. Similarly to the findings identified in the present investigation, Muyor et al. [19] observed a significant relationship between pelvic tilt in the Sit-and-Reach posture and the degree of hamstring extensibility, but not in postures adopted on the bicycle. In a recent study of well-trained road cyclists, Holliday and Swart [28] determined that increased hamstring flexibility allows for greater anterior pelvic tilt, which, combined with lower handlebar height, optimally positions the lower limb muscles for force generation. However, comparisons must be treated with caution since a different test (Knee Extension Angle, KEA) was utilized than the one used in the current investigation.
The current study exhibits several limitations. The first is the small sample size of cyclists. However, the evaluated cyclists were in the Professional Continental category, reducing the possibility of extensive recruitment. Another limitation was the static assessment of pelvic tilt. Recently, it has been determined that the pelvis has a dynamic and cyclical movement, closely related to the position of the pedal during the pedaling cycle [26]. In addition, saddle set-up was not evaluated in the current study. The analysis of hamstring extensibility and pelvic tilt considering the saddle position with respect to leg height would have added valuable information to this study.
Taking into consideration the findings of the current study, the degree of hamstring extensibility does not impact the pelvic inclination maintained while cycling across the three handlebar grips most utilized by professional cyclists. The outcomes of this investigation may provide valuable insights for coaches and cyclists when making decisions regarding physical exercises involving maximal trunk flexion with extended knees. Furthermore, more studies are required to analyze the influence of hamstring extensibility not only on performance variables, such as force production during pedaling, but also on the prevention of spinal injuries in cyclists.

5. Conclusions

In professional cyclists, the degree of hamstring extensibility revealed a strong and positive correlation with pelvic tilt in standing postures and in maximum trunk flexion from sitting and standing with extended knees (Sit-and-Reach and Toe-Touch, respectively). Conversely, no statistically significant correlations were identified between the degree of hamstring extensibility and the pelvic tilt over the specific posture maintained on the bike such as the transverse grip, with support on the brake lever stand or the low grip.

Author Contributions

Conceptualization, J.M.M., P.A.L.-M., F.A. and D.L.-P.; methodology, J.M.M. and P.A.L.-M.; software, J.M.M.; validation, J.M.M., P.A.L.-M., F.A. and D.L.-P.; formal analysis, J.M.M.; investigation, J.M.M., P.A.L.-M., F.A. and D.L.-P.; resources, J.M.M.; data curation, J.M.M.; writing—original draft preparation, J.M.M.; writing—review and editing, J.M.M., P.A.L.-M., F.A. and D.L.-P.; visualization, J.M.M., P.A.L.-M., F.A. and D.L.-P.; supervision, J.M.M., P.A.L.-M., F.A. and D.L.-P.; project administration, J.M.M.; funding acquisition, J.M.M. All authors have read and agreed to the published version of the manuscript.

Funding

This research was funded by the University of Almeria Mobility Grants (Reference EST2022/028).

Institutional Review Board Statement

The study was conducted in accordance with the Declaration of Helsinki and was approved by the Institutional Review Board of the University of Almería (protocol code UALBIO2022/025).

Informed Consent Statement

Informed consent was obtained from all subjects involved in the study.

Data Availability Statement

The data presented in this study are available on request from the corresponding author. The data are not publicly available due to privacy restrictions.

Conflicts of Interest

The authors declare no conflicts of interest.

References

  1. Merkes, P.F.J.; Menaspà, P.; Abbiss, C.R. Reducing Aerodynamic Drag by Adopting a Novel Road-Cycling Sprint Position. Int. J. Sport. Physiol. Perform. 2019, 14, 733–738. [Google Scholar] [CrossRef] [PubMed]
  2. Fintelman, D.M.; Sterling, M.; Hemida, H.; Li, F.X. Optimal Cycling Time Trial Position Models: Aerodynamics versus Power Output and Metabolic Energy. J. Biomech. 2014, 47, 1894–1898. [Google Scholar] [CrossRef] [PubMed]
  3. De Vey Mestdagh, K. Personal Perspective in Search of an Optimum Cycling Posture. Appl. Ergon. 1998, 29, 325–334. [Google Scholar] [CrossRef] [PubMed]
  4. Marsden, M.; Schwellnus, M. Lower Back Pain in Cyclists: A Review of Epidemiology, Pathomechanics and Risk Factors. Int. Sport. J. 2010, 11, 216–225. [Google Scholar]
  5. Brand, A.; Sepp, T.; Klöpfer-Krämer, I.; Müßig, J.A.; Kröger, I.; Wackerle, H.; Augat, P. Upper Body Posture and Muscle Activation in Recreational Cyclists: Immediate Effects of Variable Cycling Setups. Res. Q. Exerc. Sport 2020, 91, 298–308. [Google Scholar] [CrossRef] [PubMed]
  6. Van Hoof, W.; Volkaerts, K.; O’Sullivan, K.; Verschueren, S.; Dankaerts, W. Comparing Lower Lumbar Kinematics in Cyclists with Low Back Pain (Flexion Pattern) versus Asymptomatic Controls—Field Study Using a Wireless Posture Monitoring System. Man. Ther. 2012, 17, 312–317. [Google Scholar] [CrossRef] [PubMed]
  7. Streisfeld, G.M.; Bartoszek, C.; Creran, E.; Inge, B.; McShane, M.D.; Johnston, T. Relationship Between Body Positioning, Muscle Activity, and Spinal Kinematics in Cyclists With and Without Low Back Pain: A Systematic Review. Sport. Health 2017, 9, 75–79. [Google Scholar] [CrossRef] [PubMed]
  8. Bini, R.R.; Dagnese, F.; Rocha, E.; Silveira, M.C.; Carpes, F.P.; Mota, C.B. Three-Dimensional Kinematics of Competitive and Recreational Cyclists across Different Workloads during Cycling. Eur. J. Sport Sci. 2016, 16, 553–559. [Google Scholar] [CrossRef]
  9. Muyor, J.M. The Influence of Handlebar-Hands Position on Spinal Posture in Professional Cyclists. J. Back Musculoskelet. Rehabil. 2015, 28, 167–172. [Google Scholar] [CrossRef]
  10. Schulz, S.J.; Gordon, S.J. Riding Position and Lumbar Spine Angle in Recreational Cyclists: A Pilot Study. Int. J. Exerc. Sci. 2010, 3, 174–181. [Google Scholar]
  11. Holliday, W.; Fisher, J.; Theo, R.; Swart, J. Static versus Dynamic Kinematics in Cyclists: A Comparison of Goniometer, Inclinometer and 3D Motion Capture. Eur. J. Sport Sci. 2017, 17, 1129–1142. [Google Scholar] [CrossRef]
  12. Muyor, J.M.; López-Miñarro, P.Á.; Alacid, F. Comparison of Sagittal Lumbar Curvature between Elite Cyclists and Non-Athletes. Sci. Sport. 2013, 28, e167–e173. [Google Scholar] [CrossRef]
  13. Mueller, P.; McEvoy, M.; Everett, S. The Long Sitting Screening Test in Elite Cyclists. J. Sci. Med. Sport 2005, 8, 369–374. [Google Scholar] [CrossRef]
  14. Burnett, A.F.; Cornelius, M.W.; Dankaerts, W.; O’Sullivan, P.B. Spinal Kinematics and Trunk Muscle Activity in Cyclists: A Comparison between Healthy Controls and Non-Specific Chronic Low Back Pain Subjects—A Pilot Investigation. Man. Ther. 2004, 9, 211–219. [Google Scholar] [CrossRef]
  15. McEvoy, M.; Wilkie, K.; Williams, M. Anterior Pelvic Tilt in Elite Cyclist—A Comparative Matched Pairs Study. Phys. Ther. Sport 2007, 8, 22–29. [Google Scholar] [CrossRef]
  16. Gajdosik, R.L.; Hatcher, C.K.; Whitsell, S. Influence of Short Hamstring Muscles on the Pelvis and Lumbar Spine in Standing and during the Toe-Touch Test. Clin. Biomech. 1992, 7, 38–42. [Google Scholar] [CrossRef]
  17. Preece, S.J.; Tan, Y.F.; Alghamdi, T.D.A.; Arnall, F.A. Comparison of Pelvic Tilt before and after Hip Flexor Stretching in Healthy Adults. J. Manip. Physiol. Ther. 2021, 44, 289–294. [Google Scholar] [CrossRef]
  18. Fintelman, D.M.; Sterling, M.; Hemida, H.; Li, F.-X. Effect of Different Aerodynamic Time Trial Cycling Positions on Muscle Activation and Crank Torque. Scand. J. Med. Sci. Sport. 2016, 26, 528–534. [Google Scholar] [CrossRef] [PubMed]
  19. Muyor, J.M.; López-Miñarro, P.Á.; Alacid, F. The Relationship between Hamstring Muscle Extensibility and Spinal Postures Varies with the Degree of Knee Extension. J. Appl. Biomech. 2013, 29, 678–686. [Google Scholar] [CrossRef]
  20. Guermazi, M.; Ghroubi, S.; Kassis, M.; Jaziri, O.; Keskes, H.; Kessomtini, W.; Hammouda, I.B.; Elleuch, M.H. Validity and Reliability of Spinal Mouse® to Assess Lumbar Flexion. Ann. Réadaptation Médecine Phys. 2006, 49, 172–177. [Google Scholar] [CrossRef] [PubMed]
  21. Post, R.B.; Leferink, V.J. Spinal Mobility: Sagittal Range of Motion Measured with the SpinalMouse, a New Non-Invasive Device. Arch. Orthop. Trauma Surg. 2004, 124, 187–192. [Google Scholar] [CrossRef] [PubMed]
  22. Mannion, A.F.; Knecht, K.; Balaban, G.; Dvorak, J.; Grob, D. A New Skin-Surface Device for Measuring the Curvature and Global and Segmental Ranges of Motion of the Spine: Reliability of Measurements and Comparison with Data Reviewed from the Literature. Eur. Spine J. 2004, 13, 122–136. [Google Scholar] [CrossRef] [PubMed]
  23. Lucía, A.; Hoyos, J.; Chicharro, J.L. Preferred Pedalling Cadence in Professional Cycling. Med. Sci. Sport. Exerc. 2001, 33, 1361–1366. [Google Scholar] [CrossRef] [PubMed]
  24. Faul, F.; Erdfelder, E.; Lang, A.-G.; Buchner, A. G* Power 3: A Flexible Statistical Power Analysis Program for the Social, Behavioral, and Biomedical Sciences. Behav. Res. Methods 2007, 39, 175–191. [Google Scholar] [CrossRef]
  25. Berthonnaud, E.; Dimnet, J.; Roussouly, P.; Labelle, H. Analysis of the Sagittal Balance of the Spine and Pelvis Using Shape and Orientation Parameters. J. Spinal Disord. Tech. 2005, 18, 40–47. [Google Scholar] [CrossRef] [PubMed]
  26. Muyor, J.M.; Antequera-Vique, J.A.; Oliva-Lozano, J.M.; Arrabal-Campos, F.M. Evaluation of Dynamic Spinal Morphology and Core Muscle Activation in Cyclists—A Comparison between Standing Posture and on the Bicycle. Sensors 2022, 22, 9346. [Google Scholar] [CrossRef] [PubMed]
  27. Kang, M.-H.; Jung, D.-H.; An, D.-H.; Yoo, W.-G.; Oh, J.-S. Acute Effects of Hamstring-Stretching Exercises on the Kinematics of the Lumbar Spine and Hip during Stoop Lifting. J. Back Musculoskelet. Rehabil. 2013, 26, 329–336. [Google Scholar] [CrossRef]
  28. Holliday, W.; Swart, J. Performance Variables Associated with Bicycle Configuration and Flexibility. J. Sci. Med. Sport 2021, 24, 312–317. [Google Scholar] [CrossRef]
Figure 1. Correlation and linear regression between hamstring extensibility and pelvic tilt in the six positions analyzed: (a) Standing position; (b) Sit-and-Reach; (c) Toe-and-Touch; (d) Transverse handlebar; (e) Brake lever support; (f) Lower handlebar.
Figure 1. Correlation and linear regression between hamstring extensibility and pelvic tilt in the six positions analyzed: (a) Standing position; (b) Sit-and-Reach; (c) Toe-and-Touch; (d) Transverse handlebar; (e) Brake lever support; (f) Lower handlebar.
Applsci 14 03912 g001
Table 1. Mean and standard deviations, and lower and upper limit (95% IC) of pelvic tilt degrees (°) in the six evaluated postures.
Table 1. Mean and standard deviations, and lower and upper limit (95% IC) of pelvic tilt degrees (°) in the six evaluated postures.
PosturesMean ± SD (°)Lower Limit–Upper Limit (95% CI) (°)
1. Standing12.50 ± 5.579.28–15.71
2. Sit-and-Reach−3.50 ± 13.71−11.41–4.41
3. Toe-Touch−7.93 ± 14.97−16.57–0.71
4. Transverse handlebar24.94 ± 6.3021.58–28.56
5. Brake lever support28.86 ± 6.5925.04–32.66
6. Lower handlebar36.07 ± 6.2832.44–39.69
Table 2. Pairwise comparison of pelvic tilt between postures.
Table 2. Pairwise comparison of pelvic tilt between postures.
Postures23456
1. Standing**************
2. Sit-and-ReachNS*********
3. Toe-Touch *********
4. Transverse handlebar ****
5. Brake lever support ***
6. Lower handlebar
* p ≤ 0.05; ** p ≤ 0.01; *** p ≤ 0.001; NS: not significant.
Table 3. Pairwise correlations of all six postures.
Table 3. Pairwise correlations of all six postures.
123456
1. Standing0.63 *0.63 *0.380.370.44
2. Sit-and-Reach 0.86 ***0.100.100.13
3. Toe-Touch 0.130.360.25
4. Transverse handlebar 0.81 ***0.75 **
5. Brake lever support 0.82 ***
6. Lower handlebar
* p ≤ 0.05; ** p ≤ 0.01; *** p ≤ 0.001.
Disclaimer/Publisher’s Note: The statements, opinions and data contained in all publications are solely those of the individual author(s) and contributor(s) and not of MDPI and/or the editor(s). MDPI and/or the editor(s) disclaim responsibility for any injury to people or property resulting from any ideas, methods, instructions or products referred to in the content.

Share and Cite

MDPI and ACS Style

Muyor, J.M.; López-Miñarro, P.A.; Alacid, F.; López-Plaza, D. Degree of Hamstring Extensibility and Its Relationship with Pelvic Tilt in Professional Cyclists. Appl. Sci. 2024, 14, 3912. https://doi.org/10.3390/app14093912

AMA Style

Muyor JM, López-Miñarro PA, Alacid F, López-Plaza D. Degree of Hamstring Extensibility and Its Relationship with Pelvic Tilt in Professional Cyclists. Applied Sciences. 2024; 14(9):3912. https://doi.org/10.3390/app14093912

Chicago/Turabian Style

Muyor, José M., Pedro A. López-Miñarro, Fernando Alacid, and Daniel López-Plaza. 2024. "Degree of Hamstring Extensibility and Its Relationship with Pelvic Tilt in Professional Cyclists" Applied Sciences 14, no. 9: 3912. https://doi.org/10.3390/app14093912

APA Style

Muyor, J. M., López-Miñarro, P. A., Alacid, F., & López-Plaza, D. (2024). Degree of Hamstring Extensibility and Its Relationship with Pelvic Tilt in Professional Cyclists. Applied Sciences, 14(9), 3912. https://doi.org/10.3390/app14093912

Note that from the first issue of 2016, this journal uses article numbers instead of page numbers. See further details here.

Article Metrics

Back to TopTop