Next Article in Journal
A Study on Power Transmission Control for Applying MR Fluid Multi-Plate Clutch to Automobile Power Distribution Device
Previous Article in Journal
Effects of Occupational Hazards, Musculoskeletal Pain, and Work on the Overall Fatigue, Anxiety, and Depression of Female Nurses
 
 
Font Type:
Arial Georgia Verdana
Font Size:
Aa Aa Aa
Line Spacing:
Column Width:
Background:
Article

Analysis of the Relationships between Factors Contributing to Marine Casualties

by
Marzena Małyszko
Faculty of Navigation, Maritime University of Szczecin, Wały Chrobrego 1-2, 70-500 Szczecin, Poland
Appl. Sci. 2024, 14(9), 3870; https://doi.org/10.3390/app14093870
Submission received: 1 March 2024 / Revised: 24 March 2024 / Accepted: 27 March 2024 / Published: 30 April 2024
(This article belongs to the Section Marine Science and Engineering)

Abstract

This paper presents a model for assessing the impact of various factors on maritime accidents. This paper discusses the issue of maritime transport and its risks. The taxonomy of causes and consequences used in maritime transport is explained. Two mathematical principles were used, i.e., multi-criteria decision analysis (MCDA) and principal component analysis (PCA). The analyses were carried out using the Promethee/Gaia method. The connection between causes and accidents constituted the decision problem. The evaluation criteria, a set of actions and preferences, were identified based on the method principles. The results of this research include rankings of causal chains. They were analysed in multi-criteria and single-criteria dimensions. The outcomes are presented numerically and graphically. Such research contributes to improving safety at sea. It allows us to understand how a particular transport system works. Conclusions can be drawn and measures can be initiated to change the situation in the future.

1. Introduction

Maritime transport, like any other mode of transport, can result in many casualties. Marine casualties or marine incidents are events involving people, ships, equipment, cargo, and environmental conditions, etc. Investigating the causes of these events is an essential aspect for improving maritime safety. A ship is an object that is placed in a specific environment. Its functioning is determined by many processes, such as navigation, loading, manoeuvring, equipment operation, and management. At the centre of this system is the human element. Casualties at sea are often caused by a chain of events. Many elements have to be considered in multiple aspects. Therefore, investigating these circumstances is time-consuming and often problematic.
Casualty analysis and cause identification can prevent the future loss of life, protect against environmental pollution, and help to take better care of assets. The results of such research can help us to understand the local or global conditions of the maritime transport system. This can also be used to introduce new regulations, design better waterways, optimise the deployment of search and rescue forces and resources, or focus on improving relevant competencies [1].
The transport system structure consists of several elements (such as organisational, regulatory, and technical elements), interacting to varying degrees. The functioning of these elements is what makes the process run efficiently; otherwise, disruptions and accidents can occur.
Statistics are often used when assessing safety or risk. Producing statistics requires the collection of uniform data. In the maritime industry, national institutions collect these data and report them to international bodies. A problem that has been encountered was the use of different categories and groups for causes of accidents. This made it difficult to generalize the data and compare smaller and larger water areas. Therefore, appropriate classification schemes have been developed by the IMO (International Maritime Organisation) and other bodies.
Another problem is the way the data are analysed. The information is often presented as the number or frequency of incidents in terms of location, type of vessel, time of the year, or consequences, etc. The research has been mostly conducted according to only one selected criterion. Therefore, the results sometimes do not cover all aspects, as the data are examined separately.
In order to study the factors at multiple levels, appropriate extended methods are required. The problem must be adequately described and the data collected should be precise.
The representation of more complex problems is made possible using the Multi-Criteria Decision Analysis method (MCDA). Many aspects can be considered at the same time. This method is often used to search for optimal solutions or preferred actions. It uses statistics principles, so it can determine the relationships between the solutions. This basically involves checking the correlation between elements (actions) in the selected criteria. This method also simultaneously arranges the solutions according to all the criteria. This method takes into account the preferences of the decision-maker.
This approach is used across several industries. The maritime sector, including maritime safety and security or maritime search and rescue, can also be supported by this approach. The author proposes the use of mathematical methods and visualisations for the presentation of multi-layered data. It can facilitate and accelerate the identification of the cause of marine casualties. A deeper investigation can also contribute to more effective methods to improve the transport system and avoid future accidents. This requires the creation of a suitable model.
In this case, the problem is to find out to what extent the causes (set of factors) affect the maritime transport system in question (selected period and water area).
  • Literature overview (state-of-the-art)
Improving maritime safety is an ongoing issue. Strategies for improvement include analysing the causes of accidents, collecting statistical data, exchanging experiences, and using the lessons learned. Investigating the causes can be challenging, but it is possible with the involvement of appropriate methods and institutional efforts.
In Europe, one of the institutions collecting data and carrying out investigations is the EMSA (European Maritime Safety Agency) [2,3]. An example of a Polish institution is the PKBWM (Państwowa Komisja Badania Wypadków Morskich) [4,5]. It is important that the same assessment methods and taxonomy are adopted. In order to collect homogeneous data, it is necessary to use the same nomenclature, the division of waters, vessel types, hazard categories, as well as contributing factors. Since 2014, such standards have been applied by the EMSA and its associated countries. National and international institutions operate on the basis of relevant regulations [6,7,8].
Many scientific papers have addressed the topics of safety at sea, accident prevention, the impact of various factors, and the need for efforts to improve the situation. However, there are not many scientific papers on the use of the MCDA in relation to investigations into causes of accidents, especially in the maritime industry. Some examples of interesting studies are given below.
Research on ship collision risk factors using multi-criteria methods was conducted in the work presented in [9]. The authors studied evaluation criteria and other elements that lead to accidents. An evaluation of the parameters related to collisions using the MCDA was also conducted in the work presented in [10]. The proposal of a multidimensional framework for assessing, predicting, and mitigating potential hazards in the maritime sector was discussed in the work presented in [11]. The MCDA method has been used in mapping maritime transportation risks by combining it with geospatial techniques, as described in the work presented in [12].
Research on the relationships between traffic accident variables and the solutions to the decision problem can be found in the work presented in [13,14]. In his own work [15], the author investigated the suitability of rescue units for search and rescue operations using the MCDA.
Many statistical studies on the factors causing accidents at sea are analysed according to only one criterion. A statistical analysis of the number of accidents and the frequency of factors for passenger ships is presented in [16]. The influence of the human factor on navigational accidents has been analysed using various methods in the work presented in [17]. Statistical analysis related to groundings, hull failures, and collisions was also carried out in the work presented in [18]. Research on shipping and industry 4.0 in relation to maritime risk is discussed in the work presented in [19].
Organisational factors in marine accident analysis are discussed in the work presented in [20]. The authors emphasise the importance of the human factor. Research on the transformation of maritime technology, the impact of human error and the socio-economic factors, as well as future directions of maritime safety are discussed in the work presented in [21].
The application and description of the methods are presented in the following articles [22,23,24,25]. The method guide [26] was used in this article.
As demonstrated above, maritime transport is an extremely important aspect of today’s economy. It is a difficult topic because the maritime environment itself is usually challenging. Human presence at sea has always been associated with high risks. Our task is to study these phenomena and implement measures to protect life, environment, and property.

2. Materials and Methods

The Promethee method, which is an example of an MCDA problem-solving method, was used for this study. The MCDA method requires a precise definition of the basic elements. The background to the definition of these elements is the official classification and nomenclature of factors contributing to accidents. The key information is presented below.

2.1. MCDA

The proposed research model takes into account the principles of multi-criteria analysis and statistical principles. The aim of this study is to determine to what extent selected factors influence the occurrence of marine casualties. The Promehtee/Gaia method is an example of a method that makes this possible. The problem under investigation is defined by ‘actions’ (i.e., identified solutions to the problem) and ‘evaluation criteria’. The study is carried out according to certain mathematical rules (the decision-maker’s preferences).
The Promethee II (Preference Ranking Organization Method For the Enrichment Of Evaluations And Its Descriptive Complement Geometrical Analysis For Interactive Aid) is the outranking method. It uses set of actions, a family of criteria, and preferences, and is based on the principle of pairwise comparison of the actions. The method is used to solve decision-making problems. The method examines the extent to which the actions meet the preferences, or shows how strong their influence is. The method makes it possible to determine which criteria are dominant. All criteria are taken into account simultaneously. It is also possible to evaluate each criterion separately. The method has several advantages, as follows: the criteria can be expressed in different units, there are several preference functions to choose from, and thresholds can be used to change the calculation procedure. This method was developed in 1984 by J. Brans [23,24].
There are several steps in the method [26], such as: defining a set of actions, defining the assessment criteria, creating a multicriteria table, determining preferences, performing calculations, and interpreting the results. It is assumed that A is a set of n actions A = {a1, a2, a3,… an} and a consistent family of criteria f1 to fk is F = {f1, f2, f3fk}. Actions are possible solutions to a problem that need to be defined. The number of actions to be examined is finite. These actions will be assessed against each criterion. The criteria can be quantitative or qualitative. Quantitative criteria can have arbitrary units, and a scale should be created for qualitative criteria. These criteria are to be maximised or minimised. The assessment is carried out using a multi-criteria table. The rows of the table contain the actions (a1an), and the columns of the table contain the criteria (f1fk). The evaluation of each action f(a) is placed inside the table at the intersection of the rows and columns. The evaluations require inserting data for each action in each criterion. For example, if the criterion is ‘speed’, the value of speed achieved by the action (e.g., in km/h) should be inserted in the table.
An outranking relation is built on the basis of a preference index π . It is used to assess the dominance of action a over action b. The following Formula (1) applies:
π a , b = j = 1 k w j × P j a , b
where:
  • π ( a , b ) –preference index for action a relative to action b considering all the criteria.
  • w j –the weight allocated to jth criterion.
  • P j a , b –preference function for the jth criterion, when action a is compared to b.
  • j–set of criteria.
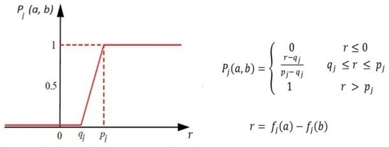
There are several preference functions P j a , b . The decision-maker shall choose the optimal function for every criterion. The functions are the following types: usual, level, U-shape, V-shape, linear, Gaussian. Actions will be compared r = fj(a) − fj(b) according to the selected function. The range of function is from 0 to 1, where 0 means no preference at all while 1 means a full preference. The linear and V-shape functions are the best for quantitative criteria (Figure 1). The thresholds (indifference threshold q and preference threshold p) are used for these functions. The thresholds are the values at which the evaluation type changes. Between thresholds, the function runs in a linear way. The indifference threshold is the largest deviation, which is considered as insignificant by the decision-maker and no outranging between the actions occurs. Both actions are considered to be the same. When the r is below this threshold, the function value is equal to 0. The V-shape function has the indifference threshold always set to zero (q = 0). The preference threshold (p) is the smallest deviation which is considered as sufficient in generating a full preference. When the r is greater than this threshold, the better action will receive a maximum score of 1.
The next step is to determine the outranking flows. There are three flows: the leaving flow (positive), the entering flow (negative), and the net flow. The leaving flow φ + a represents the preference of a given action over others. It is a global measurement of the strengths of action a (Formula (2)). The entering flow φ a represents the preference of all other variants over a given action. The negative preference flow measures how much other actions are preferred to action a. It is a global measurement of the weaknesses of action a (Formula (3)). The net preference flow φ a aggregates previous flows. Net flow can be positive or negative. The higher the net flow, the stronger the action (Formula (4)).
φ + a = π ( a , b )
φ a = π ( b , a )
φ a = φ + a + φ a
The ranking of actions (outcome) is built based on the net flow. Where φ a > φ b , action a is better (stronger or more preferred) over action b, the result is presented as a partial ranking (Promethee I–single assessment) or complete ranking (Promethee II–multicriteria single assessment).
In addition to the results obtained above, the GAIA (Geometrical Analysis for Interactive Aid) approach can be applied. The GAIA approach is based on the dimension-reduction technique PCA (Principal Components Analysis). The GAIA approach uses the graphical solution and allows the major features of decision problems to be represented. The following information can be found:
  • How much are the actions similar to each other?
  • Are there subsets of similar actions?
  • Is the impact of the action the same in each criterion?
  • Are there any dominant criteria?
The GAIA plan is a two-dimensional representation of the multi-criteria problem. It uses two components (U and V) that are computed and displayed. This method defines a series of orthogonal dimensions (principal components) that keep as much information as possible on the relative positions of the actions in the k-dimensional space. The method uses the unicriterion net flow table, which is similar to the multi-criteria table, but contains more data. The rows of the table contain the actions (a1an), the columns of the table contain the unicriterion net flow (ϕj). The net preference flow ( ) is calculated according to Formulas (5) and (6):
j ( a ) = 1 n 1 b a [ P j a , b P j b , a ]
( a ) = j = 1 k w j   ×   j ( a )
where,
  • j (a)–unicriterion net flow.
  • P j a , b –preference function for the jth criterion, when action a is compared to b.
  • w j –the weight allocated to jth criterion.
  • j–set of criteria.
  • ( a ) –net preference flow.
In the Gaia plane, the actions are represented by points, criteria are represented by the axes, and the weight of the criteria are represented by the decision axes. The actions that are similar to each other appear close to each other on the plane. Those actions that are very different from each other appear far away from each other. The subsets of similar action can be identified. The criteria are the axes drawn from the centre of the plane. The criteria expressing similar preferences are represented by axes oriented in similar directions, while the conflicting preferences are represented by axes oriented in opposite directions. The length of the axis is representative of its relative discriminating power. The more discriminating the criterion, the longer the axis. The subset of criteria expressing similar preferences can thus be identified and the relative discriminating power of the criteria can be assessed. The position of the actions, with respect to the criteria axes, indicate how well the action is performing on the single criteria. Each action is projected orthogonally on the criterion. The projections show the relative performance of the actions on the selected criterion.

2.2. Taxonomy

The background to the conduct of marine casualty investigations by international institutions is the use of relevant accident categories. The following paragraphs highlight the most important aspects of the taxonomy.
Marine casualties differ due to the severity of consequences. They are divided into the following categories [6,8]: very serious accident (total loss of ship, loss of life, or severe damage to the environment); serious accident (severe damage to the ship, threat to the safety of crew, damage to the environment); less serious accident (minor impact on the environment or ship); and incidents (the events that could potentially have a negative impact on the safety).
A harmonised codification of the information is also used to investigate and report on the causes of casualties as shown in the work presented in [2,3,7,8]. This enables the links between the consequences of an event and its root causes to be explored. The assessment taxonomy (Figure 2) is based on the Accident Events indicators and the Contributing Factors (occurring at several levels). Indicators and factors lead to Casualty Events (such as collision, fire, grounding, loss of control, damage, flooding, hull failure, personal injury accident, etc.) and result in consequences (such as pollution, damage to the vessel, fatalities, etc.). Casualty Events may have one or more Accident Events. It is a sequence of causes linked to each other and forming an overall event. It is the undesirable situation affecting the people, the ship, the equipment, the environment, and it directly represents a marine casualty.
The Accident Event (AE) is an inappropriate condition occurring in a sequence of events that led to an accident. The AEs are divided into the following indicators: human action, system and equipment failure, other agent or vessel, hazardous materials, and unknown (not identified). The Contributing Factor (CF) is a condition that may have contributed to an accident event or worsened its consequence. The main groups of CFs are: Shipboard Operation, Shore Management, and External Environment. There are 21 contributing factors at the second level of analysis, as shown in Figure 3. Meanwhile, there are more than 180 contributing factors at the third and fourth levels of analysis. Due to the large number of factors, the EMSA structures the lower-level factors into unified categories: Human Behaviour, Environment, Rules and Procedures, and Tools and Equipment. In general, a CF is a situation that may have triggered AE or worsened its consequences (e.g., human–machine interaction, inadequate lighting). It is a factor that helps to clarify the Accident Event.
The shipboard operation focuses primarily on the factors related to safety on the ship, the functioning of the crew in certain conditions, competences, the correctness of procedures, the operation of devices and the use of equipment. Shore management focuses on principles, legal aspects, and organising. The external environment is the impact of environment or hydrometeorological conditions in which the ship is located.
The ship (along with the crew, equipment, cargo) performs many activities, like bunkering, mooring, loading, sailing. The ship operates in some certain environmental conditions (e.g., storm, fog, strong current) and must meet certain requirements (e.g., collision regulations, fuel economy, schedule keeping). The failure of any of these components can result in an accident. A detailed description of the actions and criteria developed for the model under study is given in p. 3.2.
The ships are classified according to their purpose: cargo ship, passenger ship, fishing vessel, service ship and others. A cargo ship is designed for the carriage of various types of cargo, goods or products, and up to a maximum of 12 passengers. A passenger ship is a ship designed to transport more than 12 passengers. A fishing vessel is a vessel equipped or used commercially for catching fish or other living resources at sea. A service ship is a ship designed for special services (towing, dredging, search and rescue tasks). Other ships are, e.g., inland waterway vessels, recreational crafts, navy ships.

3. Case Study

3.1. Case Characteristics

This case study includes 23,814 marine casualties reported to the EMSA between 2014 and 2022 and considers ships flying the flag of one of the 27 European Union countries. The average number of events per year is around 2600. During this period, 2.7% of events were considered to be a very serious accident, 28.5% were considered to be a serious accident, almost 54% were considered to be a less serious accident, and 15% were considered to be incidents. More than 27,000 vessels were involved in these events, of which 184 suffered a total loss and almost 550 situations resulted in pollution. In total, 604 people lost their lives. The data and various analyses are included in the report presented in [3], and this source was mainly used in this study.
This study will verify how the chain causes are related to each other according to the different accident indicators and what their overall impact on the problem is. Statistical data and the assessment taxonomy adopted by the EMSA were used for this study. This study uses the assumptions of the MCDA method and the PCA method. The results are analysed in two ways (multi-criteria and single criteria analysis).

3.2. Assessment Criteria and Actions

In accordance with the selected methodology, the author identified seven actions (i.e., solutions to the problem) and defined four evaluation criteria.
The actions (A1–A7) represent the respective groups of causes. They are associated with the contributing factors. They represent a combination of the different levels of the accident causal sequence. The root causes from the fourth, third, and second levels are structured into four categories. They may have an impact on the main contributing factors. The list of actions is shown in Table 1, and are as follows: action A1 is a set of errors caused by the behaviour of a person onboard the vessel; action A2 is a set of causes also triggered by a person, but outside the vessel; action A3 is the negative impact of the surroundings on the vessel; action A4 is the negative impact of the surroundings on the management element outside the vessel; action A5 represents the destructive impact of external environmental conditions; action A6 represents the causes related to inadequate shore management procedures and rules; and action A7 represents the causes related to defects or the failures of the ship’s facilities and equipment.
Colour coding was used for graphical solutions. The actions related to ship operations are colour-coded in pink, the actions related to shore management are colour-coded in grey, and the actions related to the external environment are colour-coded in green.
Human behaviour causes affect both the crews on board and the shore teams operating the vessels. Some examples include emergency responses and decision-making skills. Incorrect decisions can result in a vessel accident. The environment affects all three factors. Some examples include hydrometeorological conditions and phenomena, physical stress, fatigue, and working conditions. The causes related to rules and procedures are mainly linked to the law, management, and regulatory activities, as well as the training of shore-based personnel. The tools and equipment used on board are also an important aspect. Their failure can contribute to an accident.
All actions are assessed in each criterion (C1–C4) and compared to each other, according to the established preferences (described in p. 3.3). The model examines the degree to which a given set of factors influences the occurrence of marine accidents. The assessment criteria are represented by AE indicators. These criteria are defined as follows: human action (C1); system and equipment failure (C2); other agent or vessel (C3); and hazardous materials (C4). The criterion C1 defines the interaction between a human and other components of the system. This criterion refers to inappropriate individual action that results in an error. It concerns technical, environmental, and organisational areas. Criterion C2 occurs when all or part of the system or device stops working correctly and causes disruption. The causes can be a technical error, hardware, or software failure. Criterion C3 describes situations where another object causes an accident, such as improper navigation by another ship. The criterion determines the impact of the cargo carried by the ship. The cargo can have different physical and chemical properties (e.g., explosive, corrosive) and require appropriate packaging, stowage, and segregation [27]. Adverse reactions of these substances can lead to human death, damage to the ship, and environmental pollution.
The source data included in the work presented in [3] are presented in various forms and include information on marine casualties, indicators, and factors. The accidents usually have several causes. More than one vessel is often involved in an accident. For this study, the data of each ship involved in accidents were used. On this basis, a multi-criteria table was developed (Table 2). This table shows the percentage of each action in the assessment criteria. The data represent the distribution of CFs in different types of AEs. The values are expressed as a percentage of contributing factors. These data were analysed separately for each vessel. For example, the set of CFs labelled A5 (External Environment) occurred in 48.8% of cases for criterion C3 (Other agent or vessel).

3.3. Assessment Features and Preferences

According to the MCDA approach, the preferences (such as: the weight and the direction of the criterion, the thresholds, and the type of preference function) are determined for each criterion.
For this case study, the V-shape function is used for all criteria. As explained earlier, the linear functions are the most favourable for numerical data. Such functions allow a proportional comparison of values. The indifference threshold is set to 0 and the preference threshold is set to the maximum score of the criterion assessment. In such a configuration, the function will run linearly from the lower limit to the upper limit. All criteria are maximised. The weights of the criteria (C1–C4) correspond to the proportion of each AE indicator (respectively: 67.7%; 19.9%; 8.1%; 4.3%, as determined on the basis of the EMSA report [3]).

4. Results

The results of the calculations are presented numerically and graphically in the form of the rankings: Table 3, Figure 4, as well as the plains: Figure 5a,b and Figure 6a,b. The Promethee ranking sorts the actions in relation to the net flow (φ) obtained during the calculation. The ranking range is from −1 to 1. The higher the (φ) value, the more the action meets the preferences. This means that it has the lager impact on the problem, considering all criteria simultaneously. The ranking order, together with the value of (φ), is shown in Table 3. The weakest actions are placed on the left, the strongest are placed on the right.
Figure 4 allows for a quick assessment of the dominance of an action over the others. The actions are distributed along the φ-axis. Larger gaps indicate a greater difference in the final evaluation. The actions located close to each other obtained similar results. Their impact is also similar. Action A1 (ship operations affected by human behaviour) comes first. It has a big lead over the next action. Action A1 is the strongest factor. It has the greatest impact on the occurrence of accidents. In second place is action A3 (the impact of the environment on ship operations). A short distance away is action A6 (the impact of rules and procedures on shore management). These three groups of causes dominate and are responsible for the occurrence of the highest number of casualty events. The remaining actions (A7, A5, A4 and A2) scored almost equally lower. They have less influence on the occurrence of the problem.
A small number of actions (decisions or solutions to the problem) allows for quick analysis. This is the case here. The number of actions is only seven. This also be very useful to identify subgroups of actions when analysing a larger number of actions. A subgroup is a group of actions that have obtained close results. This approach can also be applied in this case. Three subgroups were identified: the first subgroup contains only one component A1, the second subgroup contains components A3 and A6, and the third subgroup contains components A7, A5, A4, and A2.
Figure 5 and Figure 6 show the results of the GAIA calculations. The plain presents three-dimensional evaluation in a two-axis dimension. The main element is the resultant vector (red), which leads into the north-eastern quadrant. It is the outcome of a multi-criteria assessment of the actions and shows the direction of the preference. The actions (A1–A7) are represented by points. The criteria (C1–C4) are represented by axes (blue). The plain allows several things to be checked at the same time. First of all, the different relationships between the actions in both multi-criteria and single-criteria evaluations are visible. This includes verifying whether the action is equally strong in all criteria and in the final assessment, as well as whether there are subgroups of actions. This will help to find the causes that are strongest for a given problem or dominate only in certain areas of the problem.
The final ranking is determined by the order in which the actions are distributed along the resultant vector (Figure 5a). This can be obtained by an orthogonal projection of the action on an extended axis of the preference vector. The ranking begins on the side where the end of the vector is located. The order is as follows: A1-A3-A6-A7-A5-A2-A4. Action A1 is located near the end of the resultant vector and the criteria axes C1 and C2. It is the strongest action and has the greatest impact on the multi-criteria assessment. Action A3 is located near the end of the C4 criterion axis. Action A6 is located in the centre. These two actions have a medium impact on the multi-criteria evaluation. The weakest factors are A7, A5, A4, and A2. Action A5 is located near the end of the C3 criterion axis. The remaining factors form a subgroup, located in the south-west quadrant. Moreover, the actions A1, A3, A6, and A5 are distributed far apart from each other and in different quadrants. This indicates that they do not have congruence in the individual criteria. Their strength varied in the single criteria assessments.
The Criteria C1 and C2 are dominant. They are located close to each other and run similarly to the resultant vector. An examination of the positions of all actions in relation to each axis of the criterion is called a single analysis. The result of this analysis for criterion C1 and C2 is similar. The other two criteria go in opposite directions, which implies different preferences.
Figure 5b shows the single analysis of criterion C1. By projecting the actions onto the extended axis, we obtain the order of the actions in this criterion. The closer to the eastern side, the greater the importance of the action. The actions A1, A3, and A6 are the strongest in this criterion. Action A1 also has a large distance from the next actions. This confirms its strength in the criterion. The other actions are at the end of the axis. As the axis of criterion C2 runs almost identically, the outcomes are similar to C1.
Figure 6a shows the single analysis of criterion C3. The most significant action here is action A5. It is located closest to the end of the criterion axis. It is followed by the actions A6 and A1. There is a large distance between action A5 and the subsequent actions. However, action A5 is considered weak in the overall assessment.
Figure 6b shows the analysis of criterion C4. The actions A1 and A3 are located at the beginning of the axis. The next significant action is A6 (lies on the axis). Further away are the actions A7, A2, and A4. Action A5 has the lowest impact in this criterion.
The use of the PCA method in GAIA is related to the quality of the data presented. The quality can be reduced depending on the mapping of the graph. In this case, the quality is high enough that to rely on the results. However, a deviation from the Promethee ranking was noted. The positions of the last two actions (A2 and A4) are swapped. Their final values are almost identical, so discrepancies are possible in this case. This hardly affects the final assessment. Both actions can be treated as a subgroup.

5. Discussion

It can be noted that both the ranking and the plains enable the identification of the most important and less important contributing factors to maritime casualties. Based on the results obtained, a flowchart was developed (Figure 7). It provides an overview of the outcomes. The rankings are arranged vertically. The first column is the ranking of the actions in the multi-criteria (MC) assessment. The next columns are the partial rankings for each criterion (single assessment). The connections indicating a new position were used between actions. Key findings include the following:
-
In terms of actions:
  • The set of causes related to human behaviour on board (action A1) has the greatest impact on the occurrence of casualty events. Action A1 was ranked first in the overall assessment and in most criteria.
  • The influence of environmental factors related to shipboard operations and shore-based management related to procedures and rules is also noticeable. The actions A3 and A6 are almost always at the top of the rankings.
  • The impact of weather phenomena (action A5) is strong in relation to the criterium C3 (other agent or vessel). However, action A3 has little significance in the other criteria as well as in the overall assessment.
  • The lowest values were observed in shore management related to human behaviour and the environment. The actions A2 and A4 appear at the bottom of most partial rankings and the overall ranking.
-
In terms of criteria:
  • Human actions and system or equipment failures (C1 and C2) are dominant. The rankings are in the same order. The distances between the actions are equivalent. The results also coincide with the multi-criteria evaluation. Shipboard operations, in relation to human behaviour and environment of the shore management, interact to the greatest extent. At the end of the ranking are the sets of causes linked to shore management in relation to human behaviour and the external environment.
  • Other agent or vessel (criterion C3) has a radically different ranking order. However, the weight of this criterion is not great, and it does not significantly affect the overall outcome.
Human errors related to ship operations were the biggest problem in European waters between 2014 and 2022. The following main chains of the causes can be identified: crew resource management, emergency preparedness, maintenance, personnel and manning, design, and system acquisition. There were also other factors causing a significant number of accidents. In particular, it is the impact of the shore management in terms of the environment, principles, and rules. The following important aspects were noted: physical stress, social environment and workplace conditions, emergency preparedness, maintenance policy, occupational health management, operations management, organisation, and general management, as well as regulatory activities.
Generally, the first-level factors are present to varying degrees in the criteria. The bar chart (Figure 8a) shows the percentage share of each CFs. This chart does not take into account the weight of the criterion or other preferences. The values are determined based on the frequency of occurrence of the factor. The shipboard operations account for the largest percentage in three criteria. The share of shore management is almost equal in each criterion. The external environment has a high share in the criterion related to other ships.
The radar chart in Figure 8b presents the strength with which a given CF affects the model. This radar chart takes into account the importance of a given AE indicator. One can see the great strength of shipboard operations in the overall assessment (size of the entire pink field) and in the criterion C1 (numerical value).

6. Conclusions

The human element is a key factor in maritime safety. The IMO takes the view that: ”The human element is a complex multi-dimensional issue that affects maritime safety, security and marine environmental protection involving the entire spectrum of human activities performed by ships’ crews, shore-based management, regulatory bodies and others. All need to co-operate to address human element issues effectively” [28]. Corrective actions should be primarily directed to improve the skills of crews, improve working conditions, and train shore personnel. There is a need to improve safety and working standards. The activities of international organisations and the exchange of experience should be supported. Research activities to minimise risks should continue.
The proposed research model takes into account different computational methods. The approach can be applied to varying degrees in safety improvement efforts. Both the use of MCDA and PCA can help to solve the research problem. The concept is flexible. It has its limitations but also many advantages. The computational model is able to cope when data are missing or uncertain. It is possible to analyse many actions in different respects. Key limitations of the method include the need to collect a large amount of data. The data must come from verified sources. An accurate causal taxonomy must be maintained. A family of consistent criteria should be carefully considered when developing other models. This will ensure a complete evaluation of the model. The model proposed in this study can be applied to the conditions of a water area. It can be applied to both large and small transport systems. The search for relationships between factors can support efforts to improve conditions in the maritime shipping sector and identify system weaknesses.
A review of the literature indicates that the MCDA method has been used effectively in transport research. The approach proposed by the author is also based on known methods, but the method of presentation is new. The creation of causal sequences based on an accident taxonomy provides a wide range of research possibilities. The possibility of selecting evaluation criteria by experts allows different aspects of the problem to be investigated. Each problem can be seen from multiple points of view and existing links between the factors can be identified. The results allow new solutions to be developed, which leads to the protection of human life and the environment.

Funding

The APC was funded by the Maritime University of Szczecin (1/S/KRiZR/24).

Institutional Review Board Statement

Not applicable.

Informed Consent Statement

Not applicable.

Data Availability Statement

Source data based on reports [3].

Conflicts of Interest

The author declare no conflicts of interest.

References

  1. IMO. International Aeronautical and Maritime Search and Rescue Manual; IMO VEGA Database: Online, 2022; Volume 1. [Google Scholar]
  2. EMSA, European Maritime Safety Agency. Annual Overview of Marine Casualties and Incidents. 2022. Available online: https://www.emsa.europa.eu/newsroom/latest-news/item/4867-annual-overview-of-marine-casualties-and-incidents-2021.html (accessed on 5 January 2024).
  3. EMSA, European Maritime Safety Agency. Annual Overview of Marine Casualties and Incidents. 2023. Available online: https://www.emsa.europa.eu/newsroom/latest-news/item/5055-annual-overview-of-marine-casualties-and-incidents-report-published.html (accessed on 18 January 2024).
  4. PKBWM, Państwowa Komisja Badania Wypadków Morskich. Roczna Analiza: Wypadki i Incydenty Morskie, Szczecin. 2021. Available online: https://pkbwm.gov.pl/wp-content/uploads/2022/03/PKBWM_Roczna-Analiza-2021-wypadki-i-incydenty-morskie-1.pdf (accessed on 1 February 2024).
  5. PKBWM, Państwowa Komisja Badania Wypadków Morskich. Roczna Analiza: Wypadki i Incydenty Morskie, Szczecin. 2022. Available online: https://pkbwm.gov.pl/wp-content/uploads/2023/03/PKBWM_Roczna-Analiza-2022-wypadki-i-incydenty-morskie.pdf (accessed on 3 February 2024).
  6. EU Directive 2009/18/EC; Official Journal of the European Union. European Union: Brussels, Belgium, 2009.
  7. IMO. Resolution, A.1075(28) Guidelines to Assists Investigators in the Implementation of the Casualty Investigation Code; IMO: London, UK, 2013. [Google Scholar]
  8. IMO. Resolution MSC.255(84) Adoption of the Code of the International Standards and Recommended Practices for a Safety Investigation into a Marine Casualty or Marine Incident (Casualty Investigation Code); IMO: London, UK, 2008. [Google Scholar]
  9. Silveira, P.; Teixeira, A.P.; Figueira, J.R.; Soares, C.G. A multicriteria outranking approach for ship collision risk assessment. Reliab. Eng. Syst. Saf. 2021, 214, 107789. [Google Scholar] [CrossRef]
  10. Yu, Q.; Teixeira, A.P.; Liu, K.; Soares, C.G. Framework and application of multi-criteria ship collision risk assessment. Ocean. Eng. 2022, 250, 111006. [Google Scholar] [CrossRef]
  11. Vander Hoorn, S.; Knapp, S. A multi-layered risk exposure assessment approach for the shipping industry. Transp. Res. Part A Policy Pract. 2015, 78, 21–33. [Google Scholar] [CrossRef][Green Version]
  12. Zhou, X.; Cheng, L.; Li, M. Assessing and mapping maritime transportation risk based on spatial fuzzy multi-criteria decision making: A case study in the South China sea. Ocean. Eng. 2020, 208, 107403. [Google Scholar] [CrossRef]
  13. Ait-Mlouk, A.; Agouti, T. DM-MCDA: A web-based platform for data mining and multiple criteria decision analysis: A case study on road accident. SoftwareX 2019, 10, 100323. [Google Scholar] [CrossRef]
  14. Farhat, Z.; Karouni, A.; Daya, B.; Chauvet, P. An Improved Approach to Analyze Accidents and Promote Road Safety using Association Rule Mining and Multi-Criteria Decision Analysis Methods. Recent Adv. Comput. Sci. Commun. 2019, 13, 731–746. [Google Scholar] [CrossRef]
  15. Wielgosz, M.; Malyszko, M. Multi-Criteria Selection of Surface Units for SAR Operations at Sea Supported by AIS Data. Remote Sens. 2021, 13, 3151. [Google Scholar] [CrossRef]
  16. Eliopoulou, E.; Alissafaki, A.; Papanikolaou, A. Statistical Analysis of Accidents and Review of Safety Level of Passenger Ships. J. Mar. Sci. Eng. 2023, 11, 410. [Google Scholar] [CrossRef]
  17. Kasyk, L.; Wolnowska, A.E.; Pleskacz, K.; Kapuscinski, T. The Analysis of Social and Situational Systems as Components of Human Errors Resulting in Navigational Accidents. Appl. Sci. 2023, 13, 6780. [Google Scholar] [CrossRef]
  18. Pilatis, A.N.; Pagonis, D.-N.; Serris, M.; Peppa, S.; Kaltsas, G. A Statistical Analysis of Ship Accidents (1990–2020) Focusing on Collision, Grounding, Hull Failure, and Resulting Hull Damage. J. Mar. Sci. Eng. 2024, 12, 122. [Google Scholar] [CrossRef]
  19. Sepehri, A.; Vandchali, H.R.; Siddiqui, A.W.; Montewka, J. The impact of shipping 4.0 on controlling shipping accidents: A systematic literature review. Ocean. Eng. 2022, 243, 110162. [Google Scholar] [CrossRef]
  20. Hetherington, C.; Flin, R.; Mearns, K. Safety in shipping: The human element. J. Saf. Res. 2006, 37, 401–411. [Google Scholar] [CrossRef] [PubMed]
  21. Luo, M.; Shin, S.H. Half-century research developments in maritime accidents: Future directions. Accid. Anal. Prev. 2019, 123, 448–460. [Google Scholar] [CrossRef] [PubMed]
  22. Anagnostopoulos, K.; Giannopoulou, M.; Roukounis, Y. Multicriteria Evaluation of Transportation Infrastructure Projects: An Application of PROMETHEE and GAIA Methods. WIT Trans. Built Environ. 2003, 64, 10. [Google Scholar] [CrossRef]
  23. Brans, J.; Mareschal, B.; Vincke, P. Promethee: A new family of outranking methods in multicriteria analysis. Oper. Res’84. 1984, s.408–s.421. [Google Scholar]
  24. Brans, J.; Vincke, P.; Mareschal, B. How to select and how to rank projects. The Promethee method. Eur. J. Oper. Res. 1986, 24, 228–238. [Google Scholar] [CrossRef]
  25. Qbahman, L.; Duleba, S. Review of PROMETHEE method in transportation. Prod. Eng. Arch. 2021, 27, 69–74. [Google Scholar] [CrossRef]
  26. Mareschal, B. Visual PROMETHEE User Manual (Including Tutorials). 2015. Available online: https://www.researchgate.net/publication/275348613_Visual_PROMETHEE_User_Manual_including_tutorials?channel=doi&linkId=553a0f2d0cf226723aba4a84&showFulltext=true#fullTextFileContent (accessed on 3 February 2024). [CrossRef]
  27. IMO. IMDG Code; IMO Publishing: London, UK, 2022. [Google Scholar]
  28. IMO Website. Available online: https://www.imo.org/en/OurWork/HumanElement/Pages/Default.aspx (accessed on 10 December 2023).
Figure 1. Linear type of preference function.
Figure 1. Linear type of preference function.
Applsci 14 03870 g001
Figure 2. Simplified assessment taxonomy.
Figure 2. Simplified assessment taxonomy.
Applsci 14 03870 g002
Figure 3. Contributing factors on the second level.
Figure 3. Contributing factors on the second level.
Applsci 14 03870 g003
Figure 4. Promethee ranking.
Figure 4. Promethee ranking.
Applsci 14 03870 g004
Figure 5. GAIA Plane: (a) Multicriteria assessment; (b) Single assessment of criterion C1.
Figure 5. GAIA Plane: (a) Multicriteria assessment; (b) Single assessment of criterion C1.
Applsci 14 03870 g005
Figure 6. GAIA Plane: (a) Single assessment of criterion C3; (b) Single assessment of criterion C4.
Figure 6. GAIA Plane: (a) Single assessment of criterion C3; (b) Single assessment of criterion C4.
Applsci 14 03870 g006
Figure 7. Rankings flowchart.
Figure 7. Rankings flowchart.
Applsci 14 03870 g007
Figure 8. Distribution of contributing factors: (a) percentage share in criteria; (b) strength in criteria.
Figure 8. Distribution of contributing factors: (a) percentage share in criteria; (b) strength in criteria.
Applsci 14 03870 g008
Table 1. Description of the actions.
Table 1. Description of the actions.
ActionContributing FactorsStructured Sub-Factors
A1Shipboard operationHuman behaviour
A2Shore Management
A3Shipboard operationEnvironment
A4Shore Management
A5External Environment
A6Shore managementRules and procedures
A7Shipboard operationsTools and equipment
Applsci 14 03870 i001Shipboard operation; Applsci 14 03870 i002Shore Management; Applsci 14 03870 i003External Environment.
Table 2. Assessment of the actions.
Table 2. Assessment of the actions.
Criteria
ActionC1
Human
Action
C2
System & Equipment Failure
C3
Other Agent
or Vessel
C4
Hazardous
Materials
A150.844.112.921.0
A22.812.25.46.5
A318.213.710.033.8
A45.53.75.08.9
A53.63.048.81.6
A611.614.915.916.1
A77.58.42.112.1
Table 3. Ranking of the actions.
Table 3. Ranking of the actions.
A2A4A5A7A6A3A1
φ−0.2200−0.2178−0.1765−0.16350.03310.07940.7315
Disclaimer/Publisher’s Note: The statements, opinions and data contained in all publications are solely those of the individual author(s) and contributor(s) and not of MDPI and/or the editor(s). MDPI and/or the editor(s) disclaim responsibility for any injury to people or property resulting from any ideas, methods, instructions or products referred to in the content.

Share and Cite

MDPI and ACS Style

Małyszko, M. Analysis of the Relationships between Factors Contributing to Marine Casualties. Appl. Sci. 2024, 14, 3870. https://doi.org/10.3390/app14093870

AMA Style

Małyszko M. Analysis of the Relationships between Factors Contributing to Marine Casualties. Applied Sciences. 2024; 14(9):3870. https://doi.org/10.3390/app14093870

Chicago/Turabian Style

Małyszko, Marzena. 2024. "Analysis of the Relationships between Factors Contributing to Marine Casualties" Applied Sciences 14, no. 9: 3870. https://doi.org/10.3390/app14093870

APA Style

Małyszko, M. (2024). Analysis of the Relationships between Factors Contributing to Marine Casualties. Applied Sciences, 14(9), 3870. https://doi.org/10.3390/app14093870

Note that from the first issue of 2016, this journal uses article numbers instead of page numbers. See further details here.

Article Metrics

Back to TopTop