Intelligent Dynamic Power Control with Cell Range Expansion for Small-Cells in 5G HetNets
Abstract
1. Introduction
2. System Model
2.1. System Topology and Channel Assignment
2.2. SINR Model, System Capacity and Outage Probability
3. Proposed Intelligent Dynamic Power Control with Cell Range Expansion
| Algorithm 1: Proposed DPC scheme with CRE. |
Require:
|
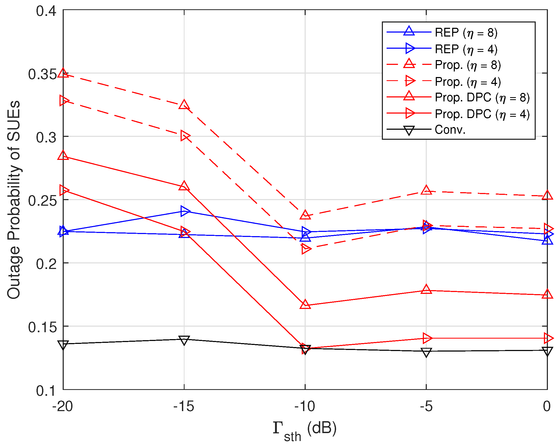
4. Simulation Results
5. Conclusions
Author Contributions
Funding
Data Availability Statement
Conflicts of Interest
References
- White Paper. Cisco Annual Internet Report-Cisco Annual Internet Report (2018–2023). Available online: https://www.cisco.com/c/en/us/solutions/collateral/executive-perspectives/annual-internet-report/white-paper-c11-741490.pdf (accessed on 2 March 2023).
- Ahmed, S.F.; Alam, M.S.B.; Afrin, S.; Rafa, S.J.; Taher, S.B.; Kabir, M.; Muyeen, S.M.; Gandomi, A.H. Toward a Secure 5G-Enabled Internet of Things: A Survey on Requirements, Privacy, Security, Challenges, and Opportunities. IEEE Access 2024, 12, 13125–13145. [Google Scholar] [CrossRef]
- Vaezi, M.; Azari, A.; Khosravirad, S.R.; Shirvanimoghaddam, M.; Azari, M.M.; Chasaki, D.; Popovski, P. Cellular, Wide-Area, and Non-Terrestrial IoT: A Survey on 5G Advances and the Road Toward 6G. IEEE Commun. Surv. Tutor. 2022, 24, 1117–1174. [Google Scholar] [CrossRef]
- Agarwal, B.; Togou, M.A.; Marco, M.; Muntean, G. A Comprehensive Survey on Radio Resource Management in 5G HetNets: Current Solutions, Future Trends and Open Issues. IEEE Commun. Surv. Tutor. 2022, 24, 2495–2534. [Google Scholar] [CrossRef]
- Sharma, S.; Wang, X. Toward massive machine type communications in ultra-dense cellular IoT networks: Current issues and machine learning-assisted solutions. IEEE Commun. Surv. Tutor. 2020, 22, 426–471. [Google Scholar] [CrossRef]
- Small Cell Forum, Release 7.0. Capacity Planning for HetNets. 2016. Available online: https://scf.io/en/documents/174_-_Capacity_planning_for_HetNets.php (accessed on 2 March 2023).
- Kim, S.-J. Dynamic channel assignment with consideration of interference and fairness for dense small-cell networks. IEICE Trans. Fundam. Electron. Commun. Comp. Sci. 2018, 101, 1984–1987. [Google Scholar] [CrossRef]
- Kim, S.-J.; Bae, S.-H. Interference-aware dynamic channel assignment scheme for enterprise small-cell networks. IEICE Trans. Commun. 2018, E101-B, 2453–2461. [Google Scholar] [CrossRef]
- Kamel, M.; Hamouda, W.; Youssef, A. Ultra-dense networks: A survey. IEEE Commun. Surv. Tutor. 2016, 18, 2522–2545. [Google Scholar] [CrossRef]
- Teng, Y.; Liu, M.; Yu, F.R.; Leung, V.C.; Song, M.; Zhang, Y. Resource Allocation for Ultra-Dense Networks: A Survey, Some Research Issues and Challenges. IEEE Commun. Surv. Tutor. 2019, 21, 2134–2168. [Google Scholar] [CrossRef]
- Damnjanovic, A.; Montojo, J.; Wei, Y.; Ji, T.; Luo, T.; Vajapeyam, M.; Yoo, T.; Song, O.; Malladi, D. A survey on 3GPP heterogeneous networks. IEEE Wirel. 2011, 18, 10–21. [Google Scholar] [CrossRef]
- Gupta, A.; Jha, R.K. A Survey of 5G Network: Architecture and Emerging Technologies. IEEE Access 2015, 3, 1206–1232. [Google Scholar] [CrossRef]
- Lai, W.K.; Liu, J.K. Cell Selection and Resource Allocation in LTE-Advanced Heterogeneous Networks. IEEE Access 2018, 6, 72978–72991. [Google Scholar] [CrossRef]
- Abbas, Z.H.; Muhammad, F.; Jiao, L. Analysis of Load Balancing and Interference Management in Heterogeneous Cellular Networks. IEEE Access 2017, 5, 14690–14705. [Google Scholar] [CrossRef]
- Park, J.B.; Kim, K.S. Load-Balancing Scheme with Small-Cell Cooperation for Clustered Heterogeneous Cellular Networks. IEEE Trans. Veh. Technol. 2018, 67, 633–649. [Google Scholar] [CrossRef]
- Ye, Q.; Rong, B.; Chen, Y.; Al-Shalash, M.; Caramanis, C.; Andrews, J.G. User Association for Load Balancing in Heterogeneous Cellular Networks. IEEE Tran. Wirel. Commun. 2013, 12, 2706–2716. [Google Scholar] [CrossRef]
- Peng, M.; Wang, C.; Li, J.; Xiang, H.; Lau, V. Recent Advances in Underlay Heterogeneous Networks: Interference Control, Resource Allocation, and Self-Organization. IEEE Commun. Surv. Tutor. 2015, 17, 700–729. [Google Scholar] [CrossRef]
- Xu, Y.; Gui, G.; Gacanin, H.; Adachi, F. A Survey on Resource Allocation for 5G Heterogeneous Networks: Current Research, Future Trends, and Challenges. IEEE Commun. Surv. Tutor. 2021, 23, 668–695. [Google Scholar] [CrossRef]
- Hu, H.; Zhang, B.; Hong, Q.; Chu, X.; Zhang, J. Coverage Analysis of Reduced Power Subframes Applied in Heterogeneous Networks With Subframe Misalignment Interference. IEEE Wirel. Commun. Lett. 2018, 7, 752–755. [Google Scholar] [CrossRef]
- Ding, M.; López-Pérez, D.; Xue, R.; Vasilakos, A.V.; Chen, W. On Dynamic Time-Division-Duplex Transmissions for Small-Cell Networks. IEEE Trans. Veh. Technol. 2016, 65, 8933–8951. [Google Scholar] [CrossRef]
- Hu, H.; Weng, J.; Zhang, J. Coverage Performance Analysis of FeICIC Low-Power Subframes. IEEE Trans. Wirel. Commun. 2016, 15, 5603–5614. [Google Scholar] [CrossRef]
- Zhang, Y.; Cui, Z.; Cui, Q.; Yu, X.; Liu, Y.; Xie, W.; Zhao, Y. Energy Efficiency Analysis of Heterogeneous Cellular Networks With Extra Cell Range Expansion. IEEE Access 2017, 5, 11003–11014. [Google Scholar] [CrossRef]
- Singh, R.; Murthy, C.S.R. Techniques for Interference Mitigation Using Cooperative Resource Partitioning in Multitier LTE HetNets. IEEE Syst. J. 2018, 12, 843–853. [Google Scholar] [CrossRef]
- Gopalam, S.; Hanly, S.V.; Whiting, P. Distributed User Association and Resource Allocation Algorithms for Three Tier HetNets. IEEE Trans. Wirel. Commun. 2020, 19, 7913–7926. [Google Scholar] [CrossRef]
- Dhungana, Y.; Tellambura, C. Multichannel Analysis of Cell Range Expansion and Resource Partitioning in Two-Tier Heterogeneous Cellular Networks. IEEE Trans. Wirel. Commun. 2016, 15, 2394–2406. [Google Scholar] [CrossRef]
- Liu, C.; Li, M.; Hanly, S.V.; Whiting, P. Joint Downlink User Association and Interference Management in Two-Tier HetNets With Dynamic Resource Partitioning. IEEE Trans. Veh. Technol. 2017, 66, 1365–1378. [Google Scholar] [CrossRef]
- Zhao, Y.; Xia, H.; Zeng, Z.; Wu, S. Joint Clustering-based Resource Allocation and Power Control in Dense Small Cell Networks. In Proceedings of the IEEE/CIC International Conference on Communications in China (ICCC), Shenzhen, China, 2–4 November 2015; pp. 1–5. [Google Scholar] [CrossRef]
- Daeinabi, A.; Sandrasegaran, K.; Zhu, X. Performance Evaluation of Cell Selection Techniques for Picocells in LTE-Advanced Networks. In Proceedings of the 10th International Conference on Electrical Engineering/Electronics, Computer, Telecommunications and Information Technology, Krabi, Thailand, 15–17 May 2013; pp. 1–6. [Google Scholar] [CrossRef]
- Kshatriya, S.N.S.; Yerrapareddy, S.R.; Akhtar, N.; Milleth, J.K. A Novel Power Control Scheme for Macro-Pico Heterogeneous Networks with Biased Association. In Proceedings of the IEEE International Conference on Communications Workshops (ICC), Budapest, Hungary, 9–13 June 2013; pp. 1117–1122. [Google Scholar] [CrossRef]
- Sun, Y.; Wang, Z.; Fang, Y.; Wu, Y. Resource management with multilevel interference mitigation in Heterogeneous Network. In Proceedings of the International Wireless Communications and Mobile Computing Conference (IWCMC), Nicosia, Cyprus, 4–8 August 2014; pp. 1183–1187. [Google Scholar] [CrossRef]
- Zhou, H.; Xia, H.; Guo, C.; Wu, Y. Energy-Efficient Time-Power Domain Resources Allocation for Macro-Pico Heterogeneous Networks. In Proceedings of the International Symposium on Wireless Personal Multimedia Communications (WPMC), Sydney, NSW, Australia, 7–10 September 2014; pp. 526–530. [Google Scholar] [CrossRef]
- Matsuoka, S.; Kikuchi, K.; Otsuka, H. Performance Analysis of Cooperative Control between CSO on CRE and Transmission Power for Pico-eNB in HetNet. In Proceedings of the Sixth International Conference on Ubiquitous and Future Networks (ICUFN), Shanghai, China, 8–11 July 2014; pp. 505–506. [Google Scholar] [CrossRef]
- Dong, A.; Luo, X.; Du, Q. Dynamic power control of pico base stations in cooperation clusters towards amorphous coverage. In Proceedings of the International Conference on Information and Communications Technologies (ICT 2015), Xi’an, China, 24–26 April 2015; pp. 1–8. [Google Scholar] [CrossRef]
- Gong, Y.; Gu, X.; Zhao, X.; Li, W.; Zhang, L. Adaptive Frequency-domain Interference Coordination Combined with CRE in Heterogeneous Network. In Proceedings of the IEEE 16th International Conference on Communication Technology (ICCT), Hangzhou, China, 18–20 October 2015; pp. 719–724. [Google Scholar] [CrossRef]
- Zhao, Y.; Xia, H.; Zeng, Z.; Liu, F.; Han, R.; Du, C. Joint Resource Block Assignment and Power Control In Macro-Pico Heterogeneous Networks. In Proceedings of the 15th IEEE International Conference on Communication Technology, Guilin, China, 17–19 November 2013; pp. 286–921. [Google Scholar] [CrossRef]
- Jo, Y.; Kim, H.; Lim, J.; Hong, D. Self-Optimization of Coverage and System Throughput in 5G Heterogeneous Ultra-Dense Networks. IEEE Wirel. Commun. Lett. 2020, 9, 285–288. [Google Scholar] [CrossRef]
- Liu, D.; Wang, L.; Chen, Y.; Elkashlan, M.; Wong, K.K.; Schober, R.; Hanzo, L. User Association in 5G Networks: A Survey and an Outlook. IEEE Commun. Surv. Tutor. 2016, 18, 1018–1044. [Google Scholar] [CrossRef]
- Shaddad, R.Q.; Alsarori, N.A.; Alzylai, M.O.; Shami, T.M. Biased User Association in 5G Heterogeneous Networks. In Proceedings of the 2021 International Conference of Technology, Science and Administration, Taiz, China, 1–4 March 2021; pp. 286–921. [Google Scholar] [CrossRef]
- Yoo, H.; Moon, J.; Na, J.; Hong, E. User Association and Load Balancing Based on Monte Carlo Tree Search. IEEE Access 2023, 11, 126087–126097. [Google Scholar] [CrossRef]
- 3rd Generation Partnership Project (3GPP). TR 36.814 V9.0.0 [2009-05], Further Advancements for E-UTRA Physical Layer Aspects. Available online: https://www.3gpp.org/ftp/Specs/archive/36_series/36.814/36814-900.zip (accessed on 18 September 2023).
- 3rd Generation Partnership Project (3GPP). R4-092042 [2009-05], Simulation Assumptions and Parameters for FDD HeNB RF Requirements. Available online: https://www.3gpp.org/ftp/tsg_ran/WG4_Radio/TSGR4_51/Documents/R4-092042.zip (accessed on 2 March 2023).












| Reference | Duplex Mode | Almost Blank Subframe (ABS) | Split Subchannels | Power Control | Power Control Devices (Active) | Target Devices (Passive) |
|---|---|---|---|---|---|---|
| [27] | TDD | √ | √ | Dynamic | MBS | CUE |
| [28] | TDD | √ | n/a | Static | MBS | CUE |
| [29] | TDD | √ | n/a | Dynamic | MBS, SBS | CUE |
| [30] | TDD | √ | n/a | Dynamic | MBS | CUE |
| [31] | TDD | √ | n/a | Dynamic | SBS | CUE |
| [32] | FDD | n/a | n/a | Static | SBS | CUE |
| [33] | FDD | n/a | √ | Dynamic | SBS | CUE |
| [34] | FDD | n/a | √ | Dynamic | MBS | CUE |
| [35] | FDD | n/a | √ | Dynamic | MBS | CUE |
| [36] | FDD | n/a | √ | Dynamic | SBS | CUE |
| Proposed | FDD | n/a | √ | Dynamic | SBS | CUE, SUE |
| Notations | Descriptions |
|---|---|
| Set of macro base stations (MBSs) | |
| Set of small-cell base stations (SBSs) | |
| Set of macro user equipments (MUEs) | |
| Set of small-cell user equipments (SUEs) | |
| Set of total subchannels | |
| SINR of MUE n serviced by MBS m at subchnnel k | |
| SINR of SUE t serviced by SBS s in the coverage of MBS m at subchnnel k | |
| Channel gain between MBS m and MUE n | |
| Channel gain between SBS s and SUE t in the coverage of MBS m | |
| Transmission power of MBSs | |
| Transmission power of SBSs | |
| Maximum transmission power of SBSs | |
| RSRP between MBS m and MUE n | |
| RSRP between SBS s and SUE t in the coverage of MBS m | |
| Path loss between MBS m and MUE n | |
| Path loss between SBS s and SUE t in the coverage of MBS m | |
| Indicator variable to assign subchannel k from MBS m to MUE n | |
| Indicator variable to assign subchannel k from SBS s of MBS m to SUE t | |
| Capacity of MUE n served by MBS m | |
| Capacity of SUE t served by SBS s in the coverage of MBS m | |
| Outage probability of MUEs | |
| Outage probability of SUEs (including CUEs) | |
| Given target SINR threshold for outage probability | |
| Given target SINR threshold for SUEs in the inner and outer zones | |
| W | Bandwidth per subchannel |
| Given CRE bias for SBSs | |
| Inter-site distance between MBSs | |
| Antenna gain of MBSs | |
| Maximum antenna gain of MBSs | |
| Maximum attenuation of MBSs | |
| White noise power |
| Parameter | Value |
|---|---|
| Cellular layout | Hexagonal grid, 3 sectors per cell |
| Carrier Frequency | 2 GHz |
| Bandwith | 10 MHz |
| Traffic model | Full buffer (continuous traffic) |
| Number of RBs | 50 |
| Inter site distance () | 500 m [40] |
| SBS radius | 40 m |
| Number of MBSs (M) | 7 |
| Number of SBSs per cell site (S) | 4 |
| Number of MUEs per cell site (N) | 30 |
| Number of SUEs per SBS (T) | 10 |
| Total transmission power of MBSs | 46 dBm [41] |
| Total transmission power of SBSs | 30∼37 dBm [41] |
| Path loss from MBSs to MUEs | dB [41] |
| Path loss from SBSs to SUEs | dB [41] |
| Minimum distance between MBSs and SBSs | 75 m [41] |
| Minimum distance between SBSs and SBSs | 40 m [41] |
| Minimum distance between MBSs and MUEs | 35 m [41] |
| Minimum distance between SBSs and SUEs | 10 m [41] |
| Given threshold of SUEs () | −20 ∼ 0 dB |
| Given target threshold () | −10 dB |
| Given CRE bais () | 4, 8 dB |
| Power control value for the REP scheme () | [35] |
| and | 14 dB, 20 dB [41] |
| Terminal noise level () | −174 dBm/Hz |
Disclaimer/Publisher’s Note: The statements, opinions and data contained in all publications are solely those of the individual author(s) and contributor(s) and not of MDPI and/or the editor(s). MDPI and/or the editor(s) disclaim responsibility for any injury to people or property resulting from any ideas, methods, instructions or products referred to in the content. |
© 2024 by the authors. Licensee MDPI, Basel, Switzerland. This article is an open access article distributed under the terms and conditions of the Creative Commons Attribution (CC BY) license (https://creativecommons.org/licenses/by/4.0/).
Share and Cite
Ban, I.; Kim, S.-J. Intelligent Dynamic Power Control with Cell Range Expansion for Small-Cells in 5G HetNets. Appl. Sci. 2024, 14, 3789. https://doi.org/10.3390/app14093789
Ban I, Kim S-J. Intelligent Dynamic Power Control with Cell Range Expansion for Small-Cells in 5G HetNets. Applied Sciences. 2024; 14(9):3789. https://doi.org/10.3390/app14093789
Chicago/Turabian StyleBan, Ilhak, and Se-Jin Kim. 2024. "Intelligent Dynamic Power Control with Cell Range Expansion for Small-Cells in 5G HetNets" Applied Sciences 14, no. 9: 3789. https://doi.org/10.3390/app14093789
APA StyleBan, I., & Kim, S.-J. (2024). Intelligent Dynamic Power Control with Cell Range Expansion for Small-Cells in 5G HetNets. Applied Sciences, 14(9), 3789. https://doi.org/10.3390/app14093789

