Surface Tension Estimation of Steel above Boiling Temperature
Abstract
1. Introduction
2. Materials and Methods
2.1. Surface Wave Analysis
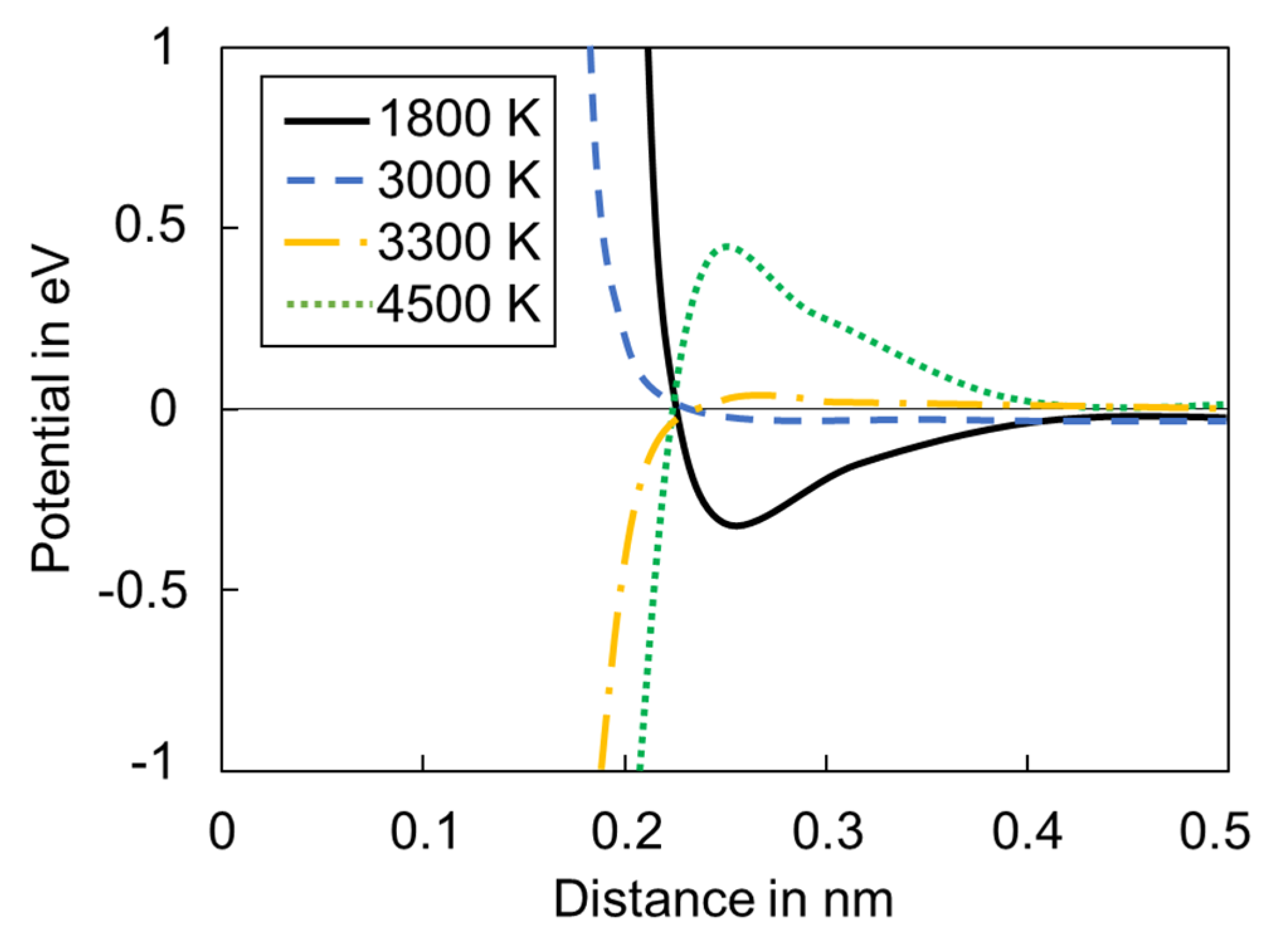
2.2. Ion Interaction Calculations
3. Results
3.1. Surface Waves
3.2. Calculations
3.3. Surface Tension
4. Discussion
5. Conclusions
Funding
Data Availability Statement
Conflicts of Interest
References
- Gatzen, M.; Radel, T.; Thomy, C.; Vollertsen, F. The role of zinc layer during wetting of aluminium on zinc-coated steel in laser brazing and welding. Phys. Procedia 2014, 56, 730–739. [Google Scholar] [CrossRef]
- Frostevarg, J.; Kaplan, A.F. Undercuts in laser arc hybrid welding. Phys. Procedia 2014, 56, 663–672. [Google Scholar] [CrossRef]
- Powell, J.; Ilar, T.; Frostevarg, J.; Torkamany, M.J.; Na, S.-J.; Petring, D.; Zhang, L.; Kaplan, A.F.H. Weld root instabilities in fiber laser welding. J. Laser Appl. 2015, 27, S29008. [Google Scholar] [CrossRef]
- Suder, W.; Ganguly, S.; Williams, S.; Yudodibroto, B. Root stability in hybrid laser welding. J. Laser Appl. 2017, 29, 022410. [Google Scholar] [CrossRef]
- Volpp, J.; Vollertsen, F. Keyhole stability during laser welding—Part I: Modeling and evaluation. Prod. Eng. 2016, 10, 443–457. [Google Scholar] [CrossRef]
- Siva Prasad, H.; Brueckner, F.; Volpp, J.; Kaplan, A.F. Laser metal deposition of copper on diverse metals using green laser sources. Int. J. Adv. Manuf. Technol. 2020, 107, 1559–1568. [Google Scholar] [CrossRef]
- Panwisawas, C.; Sovani, Y.; Turner, R.P.; Brooks, J.W.; Basoalto, H.C.; Choquet, I. Modelling of thermal fluid dynamics for fusion welding. J. Mater. Process. Technol. 2018, 252, 176–182. [Google Scholar] [CrossRef]
- Marchand, A.; Weijs, J.H.; Snoeijer, J.H.; Andreotti, B. Why is surface tension a force parallel to the interface? Am. J. Phys. 2011, 79, 999–1008. [Google Scholar] [CrossRef]
- Skapski, A.S. The surface tension of liquid metals. J. Chem. Phys. 1948, 16, 389–393. [Google Scholar] [CrossRef]
- Adam, N.K. Physics and Chemistry of Surfaces, 3rd ed.; Interscience Publishers: New York, NY, USA, 1941. [Google Scholar]
- Lennard-Jones, J.E.; Dent, B.M. The change in lattice spacing at a crystal boundary. Proc. R. Soc. Lond. Ser. A Contain. Pap. A Math. Phys. Character 1928, 121, 247–259. [Google Scholar]
- Penfold, J. The structure of the surface of pure liquids. Rep. Prog. Phys. 2001, 64, 777. [Google Scholar] [CrossRef][Green Version]
- DiMasi, E.; Tostmann, H.; Ocko, B.M.; Pershan, P.S.; Deutsch, M. X-ray reflectivity study of temperature-dependent surface layering in liquid Hg. Phys. Rev. B 1998, 58, R13419. [Google Scholar] [CrossRef]
- Regan, M.J.; Kawamoto, E.H.; Lee, S.; Pershan, P.S.; Maskil, N.; Deutsch, M.; Magnussen, O.M.; Ocko, B.M.; Berman, L.E. Surface layering in liquid gallium: An X-ray reflectivity study. Phys. Rev. Lett. 1995, 75, 2498. [Google Scholar] [CrossRef] [PubMed]
- Zhao, M.; Chekmarev, D.S.; Cai, Z.H.; Rice, S.A. Structure of liquid Ga and the liquid-vapor interface of Ga. Phys. Rev. E 1997, 56, 7033. [Google Scholar] [CrossRef]
- Velasco, E.; Tarazona, P.; Reinaldo-Falagán, M.; Chacón, E. Low melting temperature and liquid surface layering for pair potential models. J. Chem. Phys. 2002, 117, 10777–10788. [Google Scholar] [CrossRef]
- Gogate, D.V.; Kothari, D.S.X.C. On the theory of surface tension of liquid metals. Lond. Edinb. Dublin Philos. Mag. J. Sci. 1935, 20, 1136–1144. [Google Scholar] [CrossRef]
- Sides, S.W.; Grest, G.S.; Lacasse, M.D. Capillary waves at liquid-vapor interfaces: A molecular dynamics simulation. Phys. Rev. E 1999, 60, 6708. [Google Scholar] [CrossRef]
- Israelachvili, J.N. Intermolecular and Surface Forces; Elsevier Science: Amsterdam, The Netherlands, 2010. [Google Scholar]
- Baskes, M.I. Modified embedded-atom potentials for cubic materials and impurities. Phys. Rev. B 1992, 46, 2727. [Google Scholar] [CrossRef] [PubMed]
- Evans, R. A pseudo-atom theory for the surface tension of liquid metals. J. Phys. C: Solid State Phys. 1974, 7, 2808. [Google Scholar] [CrossRef]
- Keene, B.J. Review of data for the surface tension of pure metals. Int. Mater. Rev. 1993, 38, 157–192. [Google Scholar] [CrossRef]
- Wille, G.; Millot, F.; Rifflet, J.C. Thermophysical properties of containerless liquid iron up to 2500 K. Int. J. Thermophys. 2002, 23, 1197–1206. [Google Scholar] [CrossRef]
- Morohoshi, K.; Uchikoshi, M.; Isshiki, M.; Fukuyama, H. Surface tension of liquid iron as functions of oxygen activity and temperature. ISIJ Int. 2011, 51, 1580–1586. [Google Scholar] [CrossRef]
- Klapczynski, V.; Le Maux, D.; Courtois, M.; Bertrand, E.; Paillard, P. Surface tension measurements of liquid pure iron and 304L stainless steel under different gas mixtures. J. Mol. Liq. 2022, 350, 118558. [Google Scholar] [CrossRef]
- Finke, B.R.; Simon, G. On the gas kinetics of laser-induced evaporation of metals. J. Phys. D Appl. Phys. 1990, 23, 67. [Google Scholar] [CrossRef]
- Padmavathi, D.A. Potential energy curves & material properties. Mater. Sci. Appl. 2011, 2, 97–104. [Google Scholar]
- Tang, K.; Kawka, P.; Buckius, R. Geometric optics applied to rough surfaces coated with an absorbing thin film. J. Thermophys. Heat Transf. 1999, 13, 169–176. [Google Scholar] [CrossRef]
- Schott, P.; de Beaucoudrey, N.; Bourlier, C. Reflectivity of one-dimensional rough surfaces using the ray tracing technique with multiple reflections. In Proceedings of the International Geoscience and Remote Sensing Symposium, Toulouse, France, 21–25 July 2003; Volume 7, pp. 4214–4216. [Google Scholar]
- Tostmann, H.; DiMasi, E.; Pershan, P.S.; Ocko, B.M.; Shpyrko, O.G.; Deutsch, M. Surface structure of liquid metals and the effect of capillary waves: X-ray studies on liquid indium. Phys. Rev. B 1999, 59, 783. [Google Scholar] [CrossRef]
- Knight, C.J. Theoretical modeling of rapid surface vaporization with back pressure. AIAA J. 1979, 17, 519–523. [Google Scholar] [CrossRef]
- Drelich, J.; Fang, C.; White, C.L. Measurement of interfacial tension in fluid-fluid systems. Encycl. Surf. Colloid Sci. 2002, 3, 3158–3163. [Google Scholar]
- Schuster, J.M.; Schvezov, C.E.; Rosenberger, M.R. Influence of experimental variables on the measure of contact angle in metals using the sessile drop method. Procedia Mater. Sci. 2015, 8, 742–751. [Google Scholar] [CrossRef]
- Trinh, E.H.; Marston, P.L.; Robey, J.L. Acoustic measurement of the surface tension of levitated drops. J. Colloid Interface Sci. 1988, 124, 95–103. [Google Scholar] [CrossRef]
- Egry, I.; Lohoefer, G.; Jacobs, G. Surface tension of liquid metals: Results from measurements on ground and in space. Phys. Rev. Lett. 1995, 75, 4043. [Google Scholar] [CrossRef] [PubMed]
- Fahimi, K.; Mädler, L.; Ellendt, N. Measurement of surface tension with free-falling oscillating molten metal droplets: A numerical and experimental investigation. Exp. Fluids 2023, 64, 133. [Google Scholar] [CrossRef]
- Ozawa, S.; Suzuki, S.; Hibiya, T.; Fukuyama, H. Influence of oxygen partial pressure on surface tension and its temperature coefficient of molten iron. J. Appl. Phys. 2011, 109, 014902. [Google Scholar] [CrossRef]
- Leitner, T.; Klemmer, O.; Pottlacher, G. Bestimmung der temperaturabhängigen Oberflächenspannung des Eisen-Nickel-Systems mittels elektromagnetischer Levitation. tm-Tech. Mess. 2017, 84, 787–796. [Google Scholar] [CrossRef]
- Kolevzon, V. Temperature dependence of surface tension and capillary waves at liquid metal surfaces. J. Exp. Theor. Phys. 1998, 87, 1105–1109. [Google Scholar] [CrossRef]
- Shmyrov, A.; Mizev, A.; Shmyrova, A.; Mizeva, I. Capillary wave method: An alternative approach to wave excitation and to wave profile reconstruction. Phys. Fluids 2019, 31, 012101. [Google Scholar] [CrossRef]
- Nikolić, D.; Nešić, L. Determination of surface tension coefficient of liquids by diffraction of light on capillary waves. Eur. J. Phys. 2012, 33, 1677. [Google Scholar] [CrossRef]
- Minami, Y. Surface tension measurement of liquid metal with inelastic light-scattering spectroscopy of a thermally excited capillary wave. Appl. Phys. B 2014, 117, 969–972. [Google Scholar] [CrossRef]
- Bennett, T.D.; Grigoropoulos, C.P.; Krajnovich, D.J. Near-threshold laser sputtering of gold. J. Appl. Phys. 1995, 77, 849–864. [Google Scholar] [CrossRef]
- Shen, L.; Denner, F.; Morgan, N.; van Wachem, B.; Dini, D. Capillary waves with surface viscosity. J. Fluid Mech. 2018, 847, 644–663. [Google Scholar] [CrossRef]
- Chen, M.; Yang, C.; Guo, Z.Y. A Monte Carlo simulation on surface tension of liquid nickel. Mater. Sci. Eng. A 2000, 292, 203–206. [Google Scholar] [CrossRef]
- Heinz, H.; Vaia, R.A.; Farmer, B.L.; Naik, R.R. Accurate simulation of surfaces and interfaces of face-centered cubic metals using 12− 6 and 9− 6 Lennard-Jones potentials. J. Phys. Chem. C 2008, 112, 17281–17290. [Google Scholar] [CrossRef]
- Belashchenko, D.K.; Kravchunovskaya, N.E.; Ostrovski, O. Molecular dynamics calculation of surface tension of liquid metals using the embedded atom model. Calphad 2010, 34, 45–50. [Google Scholar] [CrossRef]
- Chen, M.; Yang, C.; Guo, Z.Y. Surface tension of Ni-Cu alloys: A molecular simulation approach. Int. J. Thermophys. 2001, 22, 1295–1302. [Google Scholar] [CrossRef]
- Yousefi, E.; Sun, Y.; Kunwar, A.; Guo, M.; Moelans, N.; Seveno, D. Surface tension of aluminum-oxygen system: A molecular dynamics study. Acta Mater. 2021, 221, 117430. [Google Scholar] [CrossRef]
- Hou, H.Y.; Chen, G.L.; Chen, G.; Shao, Y.L. A molecular dynamics simulation on surface tension of liquid Ni and Cu. Comput. Mater. Sci. 2009, 46, 516–519. [Google Scholar] [CrossRef]
- Volpp, J. Surface tension of steel at high temperatures. SN Appl. Sci. 2023, 5, 237. [Google Scholar] [CrossRef]
- Assael, M.J.; Kakosimos, K.; Banish, R.M.; Brillo, J.; Egry, I.; Brooks, R.; Quested, P.N.; Mills, K.C.; Nagashima, A.; Sato, Y.; et al. Reference data for the density and viscosity of liquid aluminum and liquid iron. J. Phys. Chem. Ref. Data 2006, 35, 285–300. [Google Scholar] [CrossRef]
- Masuda, S.; Sawada, S. Molecular dynamics study of size effect on surface tension of metal droplets. Eur. Phys. J. D 2011, 61, 637–644. [Google Scholar] [CrossRef]
- Buff, F.P. Spherical interface. II. Molecular theory. J. Chem. Phys. 1955, 23, 419–427. [Google Scholar] [CrossRef]
- Le Maux, D.; Klapczynski, V.; Courtois, M.; Pierre, T.; Le Masson, P. Surface tension of liquid Fe, Nb and 304L SS and effect of drop mass in aerodynamic levitation. J. Mater. Sci. 2022, 57, 12094–12106. [Google Scholar] [CrossRef]
- Israelachvili, J.; Min, Y.; Akbulut, M.; Alig, A.; Carver, G.; Greene, W.; Kristiansen, K.; Meyer, E.; Pesika, N.; Rosenberg, K.; et al. Recent advances in the surface forces apparatus (SFA) technique. Rep. Prog. Phys. 2010, 73, 036601. [Google Scholar] [CrossRef]
- Celestini, F.; Ercolessi, F.; Tosatti, E. Can liquid metal surfaces have hexatic order? Phys. Rev. Lett. 1997, 78, 3153. [Google Scholar] [CrossRef]






| Parameter | Value | Deviation | Ref./Origin |
|---|---|---|---|
| Frequency f in Hz | measured | ±10 | Pixel resolution |
| Wavelength in m | measured | ±2.00 × 10−6 | Pixel resolution |
| Density ρ in kg/m3 | 7.874 | ±0.063 | [52] |
| Gravity constant g in m/s2 | 9.81 | ±1.26 × 10−3 | Committee on Data for Science and Technology (CODATA) |
Disclaimer/Publisher’s Note: The statements, opinions and data contained in all publications are solely those of the individual author(s) and contributor(s) and not of MDPI and/or the editor(s). MDPI and/or the editor(s) disclaim responsibility for any injury to people or property resulting from any ideas, methods, instructions or products referred to in the content. |
© 2024 by the author. Licensee MDPI, Basel, Switzerland. This article is an open access article distributed under the terms and conditions of the Creative Commons Attribution (CC BY) license (https://creativecommons.org/licenses/by/4.0/).
Share and Cite
Volpp, J. Surface Tension Estimation of Steel above Boiling Temperature. Appl. Sci. 2024, 14, 3778. https://doi.org/10.3390/app14093778
Volpp J. Surface Tension Estimation of Steel above Boiling Temperature. Applied Sciences. 2024; 14(9):3778. https://doi.org/10.3390/app14093778
Chicago/Turabian StyleVolpp, Joerg. 2024. "Surface Tension Estimation of Steel above Boiling Temperature" Applied Sciences 14, no. 9: 3778. https://doi.org/10.3390/app14093778
APA StyleVolpp, J. (2024). Surface Tension Estimation of Steel above Boiling Temperature. Applied Sciences, 14(9), 3778. https://doi.org/10.3390/app14093778

