Prediction and Optimization of Heat Transfer Performance of Premixed Methane Impinging Flame Jet Using the Kriging Model and Genetic Algorithm
Abstract
1. Introduction
2. Experimental Methods
3. Numerical Simulation
3.1. The Governing Equations
3.2. Computational Domain, Boundary Conditions, and Mesh Setup
3.3. Numerical Models
3.4. Mesh Independence Testing
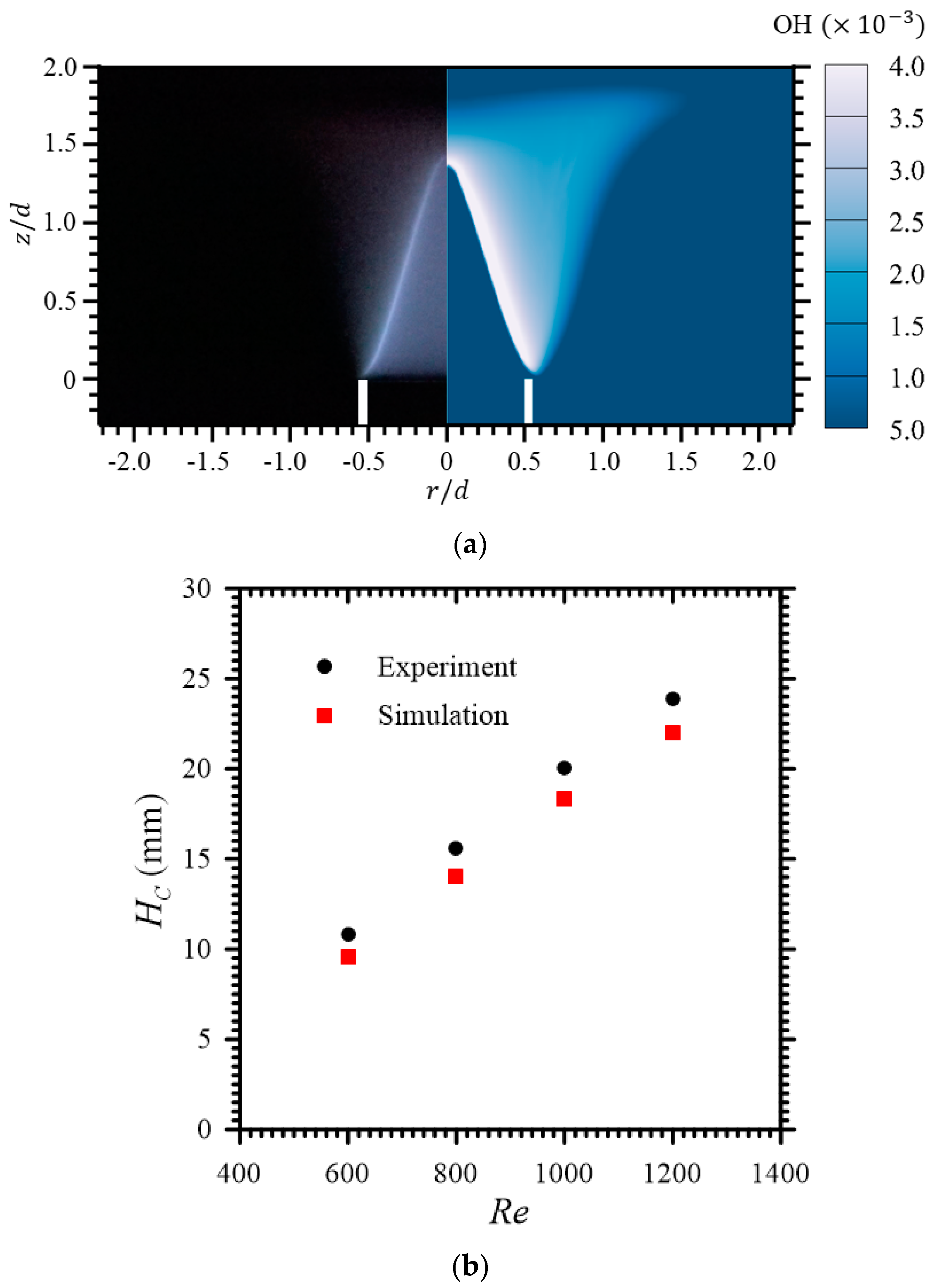
3.5. Model Validation
4. Surrogate–Based Optimization (SBO)
4.1. Orthogonal Array
4.2. Kriging Model
4.3. Infilling Criteria
4.4. Genetic Algorithm
- (1)
- Generate the initial population: Randomly generate chromosomes (individuals), with each chromosome using binary coding to represent different parameters of the problem, and evaluate the fitness of each chromosome.
- (2)
- Selection: Mainly performed through tournament selection, selecting chromosomes with higher fitness for subsequent operations.
- (3)
- Crossover: Select two chromosomes to perform a two–point crossover operation to generate a new chromosome.
- (4)
- Mutation: Randomly transform some chromosome genes to introduce genetic diversity.
- (5)
- Selection and update: Update the population according to fitness, eliminate chromosomes with low fitness, and retain chromosomes with high fitness into the next generation.
- (6)
- Termination condition: Repeat the above process until the set number of generations is reached and the optimal generation is obtained.
5. Results and Discussion
5.1. Optimization of the KM
5.2. Effects of the Parameters on
5.2.1. The Effect of on
5.2.2. The Effect of on
5.2.3. The Effect of on
5.3. Sensitivity Analysis
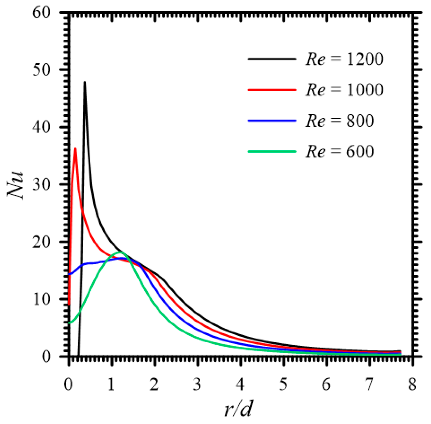
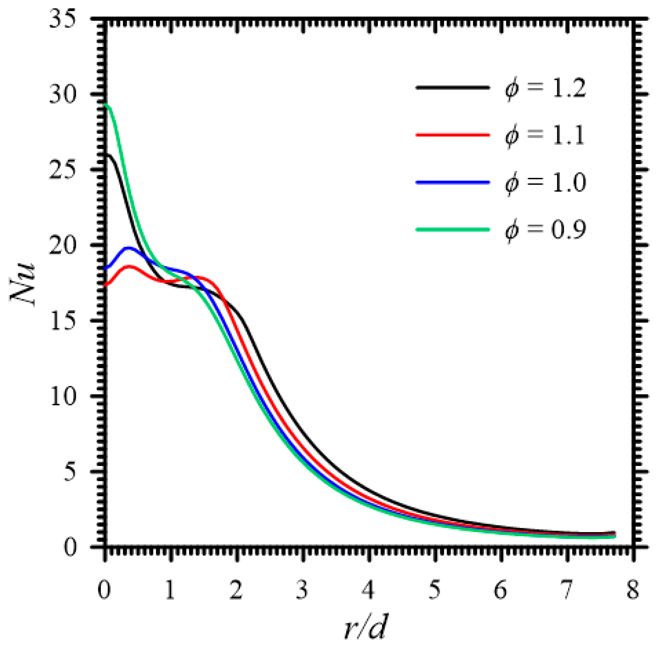
5.4. The Effect of and on the Flow, Temperature, and Heat Transfer Characteristics of the PMIFJ
5.5. The Optimized Solution for
6. Conclusions
- The KM with good prediction ability is obtained through twenty sample points (sixteen initial points and four infilled points). Compared with six checking points more sensitive to , the maximum relative errors are all within 1%. Moreover, this method reduces the simulated times of CFD by 75.3%.
- From the response surface plots, it is known that of the PMIFJ shows an upward trend with the increase in , the increase in , and the decrease in . Moreover, the effect of is more significant with increasing .
- The sensitivity analysis points out that the ranking of operating parameters affecting global heat transfer performance is , which means that the inlet velocity is the main key parameter, followed by the fuel–to–air ratio.
- It is found that the height of the premixed cone and the scope of the high temperature post–flame region will significantly affect the behavior of local heat transfer.
- The parameter combination to determine the maximum global heat transfer performance through GA is 1.2, 1200, and 1.5, which means that the PMIFJ is at slightly rich–fuel and high–velocity conditions and its premixed cone slightly hits the impingement plate.
Author Contributions
Funding
Institutional Review Board Statement
Informed Consent Statement
Data Availability Statement
Acknowledgments
Conflicts of Interest
Nomenclatures
| Symbol | |
| Area | |
| Number of test runs | |
| Coefficient of constant term | |
| Coefficients of each multi-order term | |
| Factor level | |
| Specific heat of water | |
| Factor number | |
| Heat exchanger diameter | |
| Mass diffusion coefficient | |
| Thermal diffusion coefficient | |
| Nozzle diameter | |
| Expectation | |
| Energy | |
| Enthalpy | |
| Relative error | |
| Correlation matrix | |
| Spatial correlation function | |
| Correlation vector | |
| Gravity acceleration | |
| Distance of nozzle–to–plate | |
| Height of the premixed cone | |
| Local convective heat transfer coefficient | |
| Thermal conductivity | |
| Diffusion flux | |
| Latin square | |
| Molar mass | |
| Mass flow rate | |
| Nth species | |
| Total mesh points along the radial direction | |
| Total mesh points along the axial direction | |
| Local Nusselt number | |
| Average Nusselt number | |
| Number of variables | |
| Number of sample points | |
| Mesh points in the central flame region along the radial direction | |
| Mesh points in the central flame region along the axial direction | |
| Static pressure | |
| Simulated value of CFD | |
| Volume flow rate | |
| Total heat transfer rate | |
| Local heat flux | |
| Nozzle radius | |
| Net productivity | |
| Reynolds number | |
| Radial direction | |
| Radial mesh size | |
| Heat source | |
| Predicted value of the KM | |
| Mean square error | |
| Temperature | |
| Velocity vector | |
| Velocity of nozzle exit | |
| Radial velocity component | |
| Axial velocity component | |
| Net productivity | |
| Molar fraction | |
| Variable or parameter | |
| Mass fraction | |
| Unknown objective function of | |
| Local deviation | |
| Axial direction | |
| Axial mesh size | |
| Unit vector of 1 | |
| Greek Symbols | |
| Constant mean | |
| Unknown correlation parameter | |
| Dynamic viscosity | |
| Density | |
| Process variance of the spatial correlation function scalar | |
| Stress tensor | |
| Equivalence ratio | |
| Subscripts | |
| Actual | |
| Adiabatic flame | |
| Atmospheric pressure | |
| Species | |
| lnlet | |
| Mixture | |
| Maximum | |
| Outlet | |
| Stoichiometric | |
| Wall | |
References
- Morad, M.; Momeni, A.; Fordoei, E.E.; Ashjaee, M. Experimental and numerical study on heat transfer characteristics for methane/air flame impinging on a flat surface. Int. J. Therm. Sci. 2016, 110, 229–240. [Google Scholar] [CrossRef]
- Hindasageri, V.; Vedula, R.P.; Prabhu, S.V. A novel method of estimation of adiabatic wall temperature for impinging premixed flame jets. Int. J. Heat Mass Transf. 2014, 77, 185–193. [Google Scholar] [CrossRef]
- Kadam, A.R.; Parida, R.K.; Hindasageri, V.; Kumar, G. Heat transfer distribution of premixed methane-air laminar flame jets impinging on ribbed surfaces. Appl. Therm. Eng. 2019, 163, 114352. [Google Scholar] [CrossRef]
- Zhen, H.; Zhang, L.; Wei, Z.; Chen, Z.; Huang, Z. A numerical study of the heat transfer of an impinging round-jet methane Bunsen flame. Fuel 2019, 251, 730–738. [Google Scholar] [CrossRef]
- Wu, C.-Y.; Chen, K.-H.; Yang, S.Y. Experimental study of porous metal burners for domestic stove applications. Energy Convers. Manag. 2014, 77, 380–388. [Google Scholar] [CrossRef]
- Hindasageri, V.; Kuntikana, P.; Vedula, R.P.; Prabhu, S.V. An experimental and numerical investigation of heat transfer distribution of perforated plate burner flames impinging on a flat plate. Int. J. Therm. Sci. 2015, 94, 156–169. [Google Scholar] [CrossRef]
- Hua, J.; Pan, J.; Li, F.; Fan, B.; Li, Z.; Ojo, A.O. Heat transfer characteristics of premixed methane-air flame jet impinging on a hemispherical surface. Fuel 2023, 343, 127698. [Google Scholar] [CrossRef]
- Zhen, H.; Chen, K.; Chen, Z.; Wei, Z.; Fu, L. Heat transfer analysis of impinging flames using field synergy principle. Case Stud. Therm. Eng. 2023, 43, 102807. [Google Scholar] [CrossRef]
- Chander, S.; Ray, A. Flame impingement heat transfer: A review. Energy Convers. Manag. 2005, 46, 2803–2837. [Google Scholar] [CrossRef]
- Remie, M.; Särner, G.; Cremers, M.; Omrane, A.; Schreel, K.; Aldén, L.; De Goey, L. Heat-transfer distribution for an impinging laminar flame jet to a flat plate. Int. J. Heat Mass Transf. 2008, 51, 3144–3152. [Google Scholar] [CrossRef]
- Hindasageri, V.; Vedula, R.P.; Prabhu, S.V. Heat transfer distribution for impinging methane–air premixed flame jets. Appl. Therm. Eng. 2014, 73, 461–473. [Google Scholar] [CrossRef]
- Parida, R.K.; Kadam, A.R.; Vasudeva, M.; Hindasageri, V. Heat transfer characterisation of impinging flame jet over a wedge. Appl. Therm. Eng. 2021, 196, 117277. [Google Scholar] [CrossRef]
- Baukal, C.E.; Gebhart, B. Surface condition effects on flame impingement heat transfer. Exp. Therm. Fluid Sci. 1997, 15, 323–335. [Google Scholar] [CrossRef]
- Cremers, M.; Remie, M.; Schreel, K.; de Goey, L. Thermochemical heat release of laminar stagnation flames of fuel and oxygen. Int. J. Heat Mass Transf. 2010, 53, 952–961. [Google Scholar] [CrossRef]
- Zhang, Y.; BRAY, K.C. Characterization of impinging jet flames. Combust. Flame 1998, 116, 671–674. [Google Scholar] [CrossRef]
- Chao, Y.-C.; Wu, C.-Y. A study of the interaction between a jet flame and a lateral wall. Combust. Sci. Technol. 2000, 158, 93–113. [Google Scholar] [CrossRef]
- Chen, W.-L.; Currao, G.; Wu, C.-Y.; Evan, B.; Mao, C.-Y.; Tsai, S.-W.; Yu, C.-Y. A Study on an Unpressurized Medium-Temperature-Differential Stirling Engine Integrated with a New Spiral-Patterned Flat-Flame Burner and a New Spiral-Finned Hot-End Plate. Int. J. Energy Res. 2023, 2023, 8827094. [Google Scholar] [CrossRef]
- Wu, C.-Y.; Currao, G.M.; Chen, W.-L.; Chang, C.-Y.; Hu, B.-Y.; Wang, T.-H.; Chen, Y.-C. The application of an innovative integrated Swiss-roll-combustor/Stirling-hot-end component on an unpressurized Stirling engine. Energy Convers. Manag. 2021, 249, 114831. [Google Scholar] [CrossRef]
- Chander, S.; Ray, A. Influence of burner geometry on heat transfer characteristics of methane/air flame impinging on flat surface. Exp. Heat Transf. 2006, 19, 15–38. [Google Scholar] [CrossRef]
- Milson, A.; Chigier, N. Studies of methane and methane-air flames impinging on a cold plate. Combust. Flame 1973, 21, 295–305. [Google Scholar] [CrossRef]
- Hargrave, G.; Fairweather, M.; Kilham, J. Forced convective heat transfer from premixed flames—Part 1: Flame structure. Int. J. Heat Fluid Flow. 1987, 8, 55–63. [Google Scholar] [CrossRef]
- Hargrave, G.; Fairweather, M.; Kilham, J. Forced convective heat transfer from premixed flames—Part 2: Impingement heat transfer. Int. J. Heat Fluid Flow. 1987, 8, 132–138. [Google Scholar] [CrossRef]
- Kwok, L. Heat transfer characteristics of slot and round premixed impinging flame jets. Exp. Heat Transf. 2003, 16, 111–137. [Google Scholar] [CrossRef]
- Kuntikana, P.; Prabhu, S. Air jet impingement technique for thermal characterisation of premixed methane–air impinging flame jets. Appl. Therm. Eng. 2016, 99, 905–918. [Google Scholar] [CrossRef]
- Dong, L.L.; Cheung, C.S.; Leung, C.W. Heat transfer characteristics of an impinging butane/air flame jet of low Reynolds number. Exp. Heat Transf. 2001, 14, 265–282. [Google Scholar]
- Chander, S.; Ray, A. Experimental and numerical study on the occurrence of off-stagnation peak in heat flux for laminar methane/air flame impinging on a flat surface. Int. J. Heat Mass Transf. 2011, 54, 1179–1186. [Google Scholar] [CrossRef]
- Hindasageri, V.; Kuntikana, P.; Tajik, A.R.; Vedula, R.P.; Prabhu, S.V. Axis switching in impinging premixed methane-air flame jets. Appl. Therm. Eng. 2016, 107, 144–153. [Google Scholar] [CrossRef]
- Singh, P.; Chander, S. Study of flow field and heat transfer characteristics for an interacting pair of counter-rotating dual-swirling impinging flames. Int. J. Therm. Sci. 2019, 144, 191–211. [Google Scholar] [CrossRef]
- Singh, P.; Velamati, R.K.; Prathap, C.; Mohammad, A.; Chander, S. Study of flow patterns and impingement heat transfer for an annular array of eight co-rotating dual-swirling flames. Int. J. Heat Mass Transf. 2019, 144, 118657. [Google Scholar] [CrossRef]
- Laguillo, S.; Ochoa, J.S.; Tizne, E.; Pina, A.; Ballester, J.; Ortiz, A. CO emissions and temperature analysis from an experimental and numerical study of partially premixed methane flames impinging onto a cooking pot. J. Nat. Gas Sci. Eng. 2021, 88, 103771. [Google Scholar] [CrossRef]
- Shakerian, M.; Karrabi, M.; Gheibi, M.; Fathollahi-Fard, A.M.; Hajiaghaei-Keshteli, M. Evaluating the Performance of a Solar Distillation Technology in the Desalination of Brackish Waters. Processes 2022, 10, 1626. [Google Scholar] [CrossRef]
- Wang, J.; Hu, K.; Tang, K.; Xing, Y.; Xiao, Y.; Liu, Y.; Yan, Y.; Yang, D. Numerical simulation on thermoelectric cooling of core power devices in air conditioning. Appl. Sci. 2023, 13, 7274. [Google Scholar] [CrossRef]
- Kim, J.-S.; Lee, W.-J.; Pham, V.C.; Choi, J.-H. A Numerical Study on Fuel Injection Optimization for a ME-GI Dual-Fuel Marine Engine Based on CFD Analysis. Appl. Sci. 2022, 12, 3614. [Google Scholar] [CrossRef]
- Wu, C.-Y. Numerical modeling of hydrogen catalytic reactions over a circular bluff body. Int. J. Hydrogen Energy 2022, 47, 37204–37217. [Google Scholar] [CrossRef]
- Li, H.; Qi, T.; Zhang, Y. Effect of furnace structure on burden distribution and gas flow in sinter vertical cooling furnace. Appl. Sci. 2023, 13, 11268. [Google Scholar] [CrossRef]
- Zhao, Z.; Xi, L.; Gao, J.; Xu, L.; Li, Y. Numerical Study on Cooling Performance of a Steam-Cooled Blade Based on Response Surface Method. Appl. Sci. 2023, 13, 6625. [Google Scholar] [CrossRef]
- Li, S.; Deng, Z.; Liu, J.; Liu, D. Multi-objective optimization of plate-fin heat exchangers via non-dominated sequencing genetic algorithm (NSGA-II). Appl. Sci. 2022, 12, 11792. [Google Scholar] [CrossRef]
- Chen, R.-B.; Wang, Y.; Wu, C.J. Finding optimal points for expensive functions using adaptive RBF-based surrogate model via uncertainty quantification. J. Glob. Optim. 2020, 77, 919–948. [Google Scholar] [CrossRef]
- Wu, C.-Y.; Wang, B.-W.; Wu, T.-H.; Chang, S.-P. Using Kriging surrogate model to analyze hydrogen generation with dimethyl ether in partial oxidation catalytic fluidized bed reactor. Int. J. Hydrogen Energy 2024, 54, 467–482. [Google Scholar] [CrossRef]
- Namura, N.; Shimoyama, K.; Obayashi, S. Kriging surrogate model with coordinate transformation based on likelihood and gradient. J. Glob. Optim. 2017, 68, 827–849. [Google Scholar] [CrossRef]
- Wang, J.; Wang, C.; Zhao, J. Frequency response function-based model updating using Kriging model. Mech. Syst. Signal Process. 2017, 87, 218–228. [Google Scholar] [CrossRef]
- Du, D.; He, E.; Li, F.; Huang, D. Using the hierarchical Kriging model to optimize the structural dynamics of rocket engines. Aerosp. Sci. Technol. 2020, 107, 106248. [Google Scholar] [CrossRef]
- Meckesheimer, M.; Barton, R.R.; Simpson, T.W.; Booker, A.J. Computationally inexpensive metamodel assessment strategies. In Proceedings of the International Design Engineering Technical Conferences and Computers and Information in Engineering Conference, Pittsburgh, PA, USA, 9–12 September 2001. [Google Scholar]
- E442-05; Standard Test Method for Measuring Heat Flux Using a Water-Cooled Calorimeter. (Reapproved 2011). ASTM International: West Conshohocken, PA, USA, 2011; pp. 1–5.
- Wei, Z.; Zhen, H.; Leung, C.W.; Cheung, C.S.; Huang, Z. Experimental and numerical study on the emission characteristics of laminar premixed biogas-hydrogen impinging flame. Fuel 2017, 195, 1–11. [Google Scholar] [CrossRef]
- Smith, G.P.; Golden, D.M.; Frenklach, M.; Moriarty, N.W.; Eiteneer, B.; Goldenberg, M.; Bowman, C.T.; Hanson, R.K.; Song, S.; Gardiner, W.C., Jr.; et al. GRI-Mech 3.0. Available online: http://www.me.berkeley.edu/gri_mech/ (accessed on 8 March 2023).
- Pope, S.B. Computationally efficient implementation of combustion chemistry using in situ adaptive tabulation. Combust. Theor. Model. 1997, 1, 41–63. [Google Scholar] [CrossRef]
- Mikofski, M.A.; Williams, T.C.; Shaddix, C.R.; Blevins, L.G. Flame height measurement of laminar inverse diffusion flames. Combust. Flame 2006, 146, 63–72. [Google Scholar] [CrossRef]
- Viskanta, R. Heat transfer to impinging isothermal gas and flame jets. Exp. Therm. Fluid Sci. 1993, 6, 111–134. [Google Scholar] [CrossRef]
- Costa, S.C.; Malico, I. Numerical investigation of the heat transfer characteristics of propane/air flames impinging on a cylindrical surface. Appl. Therm. Eng. 2022, 206, 118109. [Google Scholar] [CrossRef]
- Zhang, L.; Cao, G.; Feng, K.; Jia, Y.; Zhang, Z. Improvement of multi-hole airflow impingement on flow and heat transfer characteristics inside a turbine vane cavity. Appl. Sci. 2021, 11, 9924. [Google Scholar] [CrossRef]
- Lee, J.; Lee, H.; Park, H.; Cho, G.; Kim, D.; Cho, J. Design optimization of a vane type pre-swirl nozzle. Eng. Appl. Comput. Fluid. Mech. 2021, 15, 164–179. [Google Scholar] [CrossRef]
- Wang, G.; Huang, L.; Wang, L.; Zhao, F.; Li, Y.; Wan, R. A metamodeling with CFD method for hydrodynamic optimisations of deflectors on a multi-wing trawl door. Ocean Eng. 2021, 232, 109045. [Google Scholar] [CrossRef]
- Zhang, K.; Wei, W.; Sun, Y.; Wu, Q.; Tang, M.; Lu, M. Design and Optimization of the Inlet Header Structure in Microchannel Heat Exchanger Based on Flow Distribution Uniformity. Appl. Sci. 2022, 12, 6604. [Google Scholar] [CrossRef]
- Kwon, H.; Park, S.; Choi, J.; Han, J. A Study on the Optimization of the Louver Fin Heat Exchanger for Fuel Cell Electric Vehicle Using Genetic Algorithm. Appl. Sci. 2023, 13, 2539. [Google Scholar] [CrossRef]
- Holland, J.H. Genetic algorithms. Sci. Am. 1992, 267, 66–73. [Google Scholar] [CrossRef]
- Goldberg, D.E. Genetic Algorithms in Search, Optimization, and Machine Learning; Addison-Wesley: Boston, MA, USA, 1989. [Google Scholar]
- Zhao, Z.; Wong, T.; Leung, C.W. Impinging premixed butane/air circular laminar flame jet––influence of impingement plate on heat transfer characteristics. Int. J. Heat Mass Transf. 2004, 47, 5021–5031. [Google Scholar] [CrossRef]
- Wei, Z.; Zhen, H.; Leung, C.W.; Cheung, C.S.; Huang, Z. Heat transfer characteristics and the optimized heating distance of laminar premixed biogas-hydrogen Bunsen flame impinging on a flat surface. Int. J. Hydrogen Energy 2015, 40, 15723–15731. [Google Scholar] [CrossRef]
- Tolstoguzov, R.; Chikishev, L. Temperature field measurements between a Bunsen flame and flat a cold plate by using PLIF. J. Phys. Conf. Ser. 2022, 2233, 012014. [Google Scholar]
- Hou, S.-S.; Ko, Y.-C. Effects of heating height on flame appearance, temperature field and efficiency of an impinging laminar jet flame used in domestic gas stoves. Energy Convers. Manag. 2004, 45, 1583–1595. [Google Scholar] [CrossRef]
















| Mesh Number | ||||
|---|---|---|---|---|
| 20,856 | 163 | 130 | 36 | 75 |
| 36,946 | 198 | 188 | 51 | 111 |
| 42,536 | 229 | 188 | 68 | 111 |
| 78,634 | 423 | 188 | 201 | 111 |
| 103,434 | 423 | 247 | 201 | 148 |
| Case | |||
|---|---|---|---|
| 1 | 0.9 | 600 | 1.5 |
| 2 | 0.9 | 800 | 2.0 |
| 3 | 0.9 | 1000 | 2.5 |
| 4 | 0.9 | 1200 | 3.0 |
| 5 | 1.0 | 600 | 2.0 |
| 6 | 1.0 | 800 | 1.5 |
| 7 | 1.0 | 1000 | 3.0 |
| 8 | 1.0 | 1200 | 2.5 |
| 9 | 1.1 | 600 | 2.5 |
| 10 | 1.1 | 800 | 3.0 |
| 11 | 1.1 | 1000 | 1.5 |
| 12 | 1.1 | 1200 | 2.0 |
| 13 | 1.2 | 600 | 3.0 |
| 14 | 1.2 | 800 | 2.5 |
| 15 | 1.2 | 1000 | 2.0 |
| 16 | 1.2 | 1200 | 1.5 |
| No. | ||||
|---|---|---|---|---|
| Initial points | ||||
| 1 | 0.9 | 600 | 1.5 | 1.652 |
| 2 | 0.9 | 800 | 2.0 | 2.126 |
| 3 | 0.9 | 1000 | 2.5 | 2.582 |
| 4 | 0.9 | 1200 | 3.0 | 3.022 |
| 5 | 1.0 | 600 | 2.0 | 1.705 |
| 6 | 1.0 | 800 | 1.5 | 2.228 |
| 7 | 1.0 | 1000 | 3.0 | 2.654 |
| 8 | 1.0 | 1200 | 2.5 | 3.157 |
| 9 | 1.1 | 600 | 2.5 | 1.836 |
| 10 | 1.1 | 800 | 3.0 | 2.367 |
| 11 | 1.1 | 1000 | 1.5 | 2.943 |
| 12 | 1.1 | 1200 | 2.0 | 3.437 |
| 13 | 1.2 | 600 | 3.0 | 2.021 |
| 14 | 1.2 | 800 | 2.5 | 2.648 |
| 15 | 1.2 | 1000 | 2.0 | 3.251 |
| 16 | 1.2 | 1200 | 1.5 | 3.806 |
| Infilled ponits | ||||
| 17 | 1.2 | 1200 | 3.0 | 3.779 |
| 18 | 0.9 | 1200 | 1.5 | 3.099 |
| 19 | 0.9 | 600 | 3.0 | 1.609 |
| 20 | 1.2 | 600 | 1.5 | 2.063 |
| Checking points | ||||
| 21 | 1.2 | 700 | 1.5 | 2.369 |
| 22 | 1.2 | 900 | 1.5 | 2.964 |
| 23 | 1.2 | 1100 | 1.5 | 3.540 |
| 24 | 1.15 | 1200 | 1.5 | 3.592 |
| 25 | 1.05 | 1200 | 1.5 | 3.320 |
| 26 | 0.95 | 1200 | 1.5 | 3.133 |
| No. | ||||||
|---|---|---|---|---|---|---|
| 21 | 1.2 | 700 | 1.5 | 2.369 | 3.369 | 0.02 |
| 22 | 1.2 | 900 | 1.5 | 2.964 | 2.974 | 0.33 |
| 23 | 1.2 | 1100 | 1.5 | 3.540 | 3.541 | 0.02 |
| 24 | 1.15 | 1200 | 1.5 | 3.592 | 3.621 | 0.81 |
| 25 | 1.05 | 1200 | 1.5 | 3.320 | 3.309 | 0.33 |
| 26 | 0.95 | 1200 | 1.5 | 3.133 | 3.129 | 0.41 |
| 0.213 | 0.474 | 0.001 |
Disclaimer/Publisher’s Note: The statements, opinions and data contained in all publications are solely those of the individual author(s) and contributor(s) and not of MDPI and/or the editor(s). MDPI and/or the editor(s) disclaim responsibility for any injury to people or property resulting from any ideas, methods, instructions or products referred to in the content. |
© 2024 by the authors. Licensee MDPI, Basel, Switzerland. This article is an open access article distributed under the terms and conditions of the Creative Commons Attribution (CC BY) license (https://creativecommons.org/licenses/by/4.0/).
Share and Cite
Chen, X.-X.; Chen, R.-B.; Wu, C.-Y. Prediction and Optimization of Heat Transfer Performance of Premixed Methane Impinging Flame Jet Using the Kriging Model and Genetic Algorithm. Appl. Sci. 2024, 14, 3731. https://doi.org/10.3390/app14093731
Chen X-X, Chen R-B, Wu C-Y. Prediction and Optimization of Heat Transfer Performance of Premixed Methane Impinging Flame Jet Using the Kriging Model and Genetic Algorithm. Applied Sciences. 2024; 14(9):3731. https://doi.org/10.3390/app14093731
Chicago/Turabian StyleChen, Xiang-Xin, Ray-Bing Chen, and Chih-Yung Wu. 2024. "Prediction and Optimization of Heat Transfer Performance of Premixed Methane Impinging Flame Jet Using the Kriging Model and Genetic Algorithm" Applied Sciences 14, no. 9: 3731. https://doi.org/10.3390/app14093731
APA StyleChen, X.-X., Chen, R.-B., & Wu, C.-Y. (2024). Prediction and Optimization of Heat Transfer Performance of Premixed Methane Impinging Flame Jet Using the Kriging Model and Genetic Algorithm. Applied Sciences, 14(9), 3731. https://doi.org/10.3390/app14093731

