A PHREEQC-Based Tool for Planning and Control of In Situ Chemical Oxidation Treatment
Abstract
Featured Application
Abstract
1. Introduction
2. Model Concept
- Values representing the uncontaminated background groundwater are used in the PHREEQC model to simulate the effect of mixing with background water;
- The injection well and injection event: these data represent the volume, physical, and chemical parameters of the injection fluid, as well as the parameters describing the duration and rate of injection;
- Monitoring wells: these data include the chemical and physical parameters of groundwater measured in monitoring wells where injected fluid is expected to enter;
- Stagnant water, these data relate to the physical and chemical status of water stagnating in micropores. Parameters are not mandatory but, if available, they are used to simulate the physico-chemical interactions for this type of contamination.
- Through the Table;
- Through the charts presenting changes in the physical and chemical parameters for a given point on the flow path of injected fluid for all time steps and all the points along the flow path at a given time step;
- Through a map of the monitored area with the interpolation of simulated parameters.

| Parameter | Data Given for | |||
|---|---|---|---|---|
| 1 | 2 | 3 | 4 | |
| Date and time of the injection | X | |||
| Injection rate | X | |||
| Volume of the injected liquid | X | |||
| Mass of the injected oxidant | X | |||
| Mn concentration in the injected/assumed fluid | X | |||
| Length of the cell in model | X | |||
| Velocity of the natural groundwater flow | X | |||
| Simulation time for the post-injection period | X | |||
| Dispersivity | X | |||
| Should the mixing with stagnant water in micropores be simulated? | X | |||
| Diffusion coefficient in the region of the stagnant water | X | |||
| Radius of the region of the stagnant water | X | |||
| Shape of the region of the stagnant water | X | |||
| Porosity of the region of the stagnant water | X | |||
| Name of the well | X | |||
| Hydraulic conductivity | X | |||
| Radius of the well | X | |||
| Distance from the injection well | X | |||
| Depth of screen | X | |||
| X coordinate (longitude) | X | X | ||
| Y coordinate (latitude) | X | X | ||
| Water table level before the injection | X | |||
| Water table level in the well after the injection | X | |||
| Thickness of the saturated, contaminated layer (confined) | X | |||
| Thickness of the contaminated layer (unconfined) | X | |||
| Porosity | X | |||
| Dry bulk density | X | |||
| Pressure | X | |||
| Temperature of the groundwater/injected fluid | X | X | X | X |
| pH of the groundwater/injected fluid | X | X | X | X |
| Eh of the groundwater/injected fluid | X | X | X | X |
| Density of the groundwater/injected fluid | X | X | X | X |
| Toluene concentration in the groundwater | X | X | X | |
| Ethylobenzene concentration in the groundwater | X | X | X | |
| Benzene concentration in the groundwater | X | X | X | |
| Pce concentration in the groundwater | X | X | X | |
| Tce concentration in the groundwater | X | X | X | |
| Dce concentration in the groundwater | X | X | X | |
| Vc concentration in the groundwater | X | X | X | |
| NOD concentration in the groundwater | X | X | ||
| Ca | X | |||
| Fe | X | |||
| Mg | X | |||
| Mn | X | |||
| Na | X | |||
| K | X | |||
| Cl | X | |||
| SO4 | X | |||
| Alkalinity | X | |||
2.1. Simple Calculations of the Parameters Useful during the Design of the Injection (A1)
2.2. Simple Alarm (A2)
2.3. Visualisation of Data (A3)
- Parameters measured continuously with data loggers and CT2X™ (TempHion™ (Seametrics, Seattle, WA, USA) have been tested, but others can also be connected to the system). These sensors provide real-time information on temperature, Eh, pH, and conductivity;
- Parameters that are regularly measured in the field and linked to the modelling tool in the form of a separate Excel file. This dataset can contain a wide range of parameters such as pH, pE, temperature, electrical conductivity, the concentrations of COECs and background substances, the concentration of oxidising agents, etc. These data can be used to visualise the status of the remediation process;
- Parameters calculated with the hydrogeochemical model, such as the values of pH, pE, and temperature, as well as the concentrations of COECs and the oxidising agent, in the investigated case permanganate.
- Changes in parameters over time for a given distance between the injection site and the monitoring well;
- Changes in the parameters along the oxidant flow path at a given time;
- Comparison of the measured and calculated basic physico-chemical parameters such as pH, Eh, and temperature.
- Distance to the injection point for the time specified by the user;
- The travel time from the start of the injection to the current time (or to the last data recorded by the loggers) for each point on the path of the injected fluid flow;
- Travel time from the start of the injection to the current time (or the last recorded data) for an observation well. This option allows two types of data to be compared in one graph: values calculated with the PHREEQC model and the values measured by data loggers. Only three parameters (temperature, pE, and pH) can be displayed with this option as they are provided by both the model and the loggers.
2.4. Estimation of the Next Injection Based on Oxidant (Permanganate) Consumption and Groundwater Flow Velocity (A4)
- Flow velocity;
- Temperature;
- Oxidation-reduction potential, which is expressed as pE;
- pH.
3. Results
3.1. Study Site and Injection Details
3.2. Testing the ISCO Modelling Tool
3.2.1. Basic Calculations for the ISCO Area—Part A1 of the Tool
3.2.2. Simple Alarm—Part A2 of the Tool
3.2.3. Data Visualisation—Parts A3 and A4 of the Tool
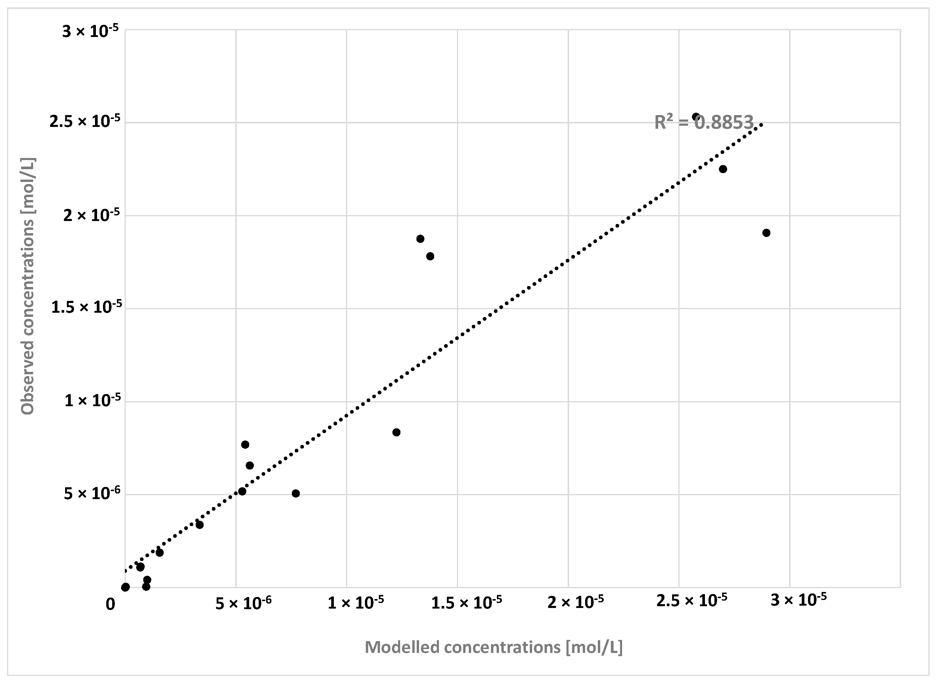
3.2.4. Calibration of the Geochemical Model
4. Discussion and Conclusions
- The widely used PHREEQC code, Excel, and the Python programming language were combined to create a user-friendly and intuitive tool for researchers and practitioners in the field of in situ chemical oxidation;
- The concept of the tool is feedback-orientated, i.e., it is intended to provide the expert on site with direct feedback;
- The use of real-time and regular monitoring and modelling provides scientists, practitioners, and managers with a good knowledge base and helps to improve the effectiveness of remedial measures;
- The proposed tool was successfully tested at the contaminated site to check all functions. The tool informs about the unexpected conditions (alarm), the arrival of the oxidant (visualisation), and the time needed to reduce COEC and to consume the oxidant (geochemical model);
- The developed tool helps to address two phenomena that are crucial for the remediation and fate of solutes: heterogeneity and the rebound of contaminants;
- The geochemical model was successfully calibrated, and the kinetic data were slightly modified during the process. The adjusted values could also be valuable for researchers as they fit the field conditions better than the values determined under controllable laboratory conditions;
- The development of tools that are free, based on open-source software, and are open to change is crucial for reducing costs and sharing experiences.
Supplementary Materials
Author Contributions
Funding
Institutional Review Board Statement
Informed Consent Statement
Data Availability Statement
Acknowledgments
Conflicts of Interest
References
- Environmental Protection Agency (EEA). Progress in Management of Contaminated Sites (csi 015) Assessment. 2007. Available online: https://www.eea.europa.eu/data-and-maps/indicators/progress-in-management-of-contaminated-sites-3/assessment (accessed on 16 February 2024).
- Van Liedekerke, M.; Prokop, G.; Rabl-Berger, S.; Kibblewhite, M.; Louwagie, G. Progress in the Management of Contaminated Sites in Europe; EUR 26376; Publications Office of the European Union: Luxembourg, 2014; 68p. [Google Scholar]
- Doust, H.G.; Huang, J.C. The fate and transport of hazardous chemicals in the subsurface environment. Water Sci. Technol. 1992, 25, 169–176. [Google Scholar] [CrossRef]
- US EPA. Engineered Approaches to In Situ Bioremediation of Chlorinated Solvents: Fundamentals and Field Applications; EPA-542-R-00-008; US EPA: Cincinnati, OH, USA, 2000.
- Siegrist, R.L.; Crimi, M.; Simpkin, T.J. (Eds.) In Situ Chemical Oxidation for Groundwater Remediation; Springer Science+Business Media, LLC: New York, NY, USA, 2011. [Google Scholar]
- Sharma, I. Bioremediation techniques for polluted environment: Concept, advantages, limitations, and prospects. In Trace Metals in the Environment-New Approaches and Recent Advances; IntechOpen: London, UK, 2020. [Google Scholar]
- Alori, E.T.; Gabasawa, A.I.; Elenwo, C.E.; Agbeyegbe, O.O. Bioremediation techniques as affected by limiting factors in soil environment. Front. Soil Sci. 2022, 2, 937186. [Google Scholar] [CrossRef]
- Ossai, I.C.; Ahmed, A.; Hassan, A.; Hamid, F.S. Remediation of soil and water contaminated with petroleum hydrocarbon: A review. Environ. Technol. Innov. 2020, 17, 100526. [Google Scholar] [CrossRef]
- Krembs, F.J. Critical Analysis of the Field Scale Application of In Situ Chemical Oxidation for the Remediation of Contaminated Groundwater. Master’s Thesis, Colorado School of Mines, Golden CO, USA, 2008; 223p. [Google Scholar]
- Ciampi, P.; Esposito, C.; Cassiani, G.; Deidda, G.P.; Rizzetto, P.; Papini, M.P. A field-scale remediation of residual light non-aqueous phase liquid (LNAPL): Chemical enhancers for pump and treat. Environ. Sci. Pollut. Res. 2021, 28, 35286–35296. [Google Scholar] [CrossRef]
- Trulli, E.; Morosini, C.; Rada, E.C.; Torretta, V. Remediation in situ of hydrocarbons by combined treatment in a contaminated alluvial soil due to an accidental spill of LNAPL. Sustainability 2016, 8, 1086. [Google Scholar] [CrossRef]
- Interstate Technology & Regulatory Council. Technical and Regulatory Guidance for In Situ Chemical Oxidation of Contaminated Soil and Groundwater, 2nd ed.; Interstate Technology & Regulatory Council: Washington, DC, USA, 2005. [Google Scholar]
- Liptak, L.; Nay, M.; Stewart, B. Peroxone Demonstration, Performance and Cost Evaluation; Aberdeen Proving Ground: Harford County, MD, USA, 1998. [Google Scholar]
- Huling, S.G.; Pivetz, B.E. Engineering Issue Paper: In-Situ Chemical Oxidation; EPA 600-R-06-072; U.S. EPA: Cincinnati, OH, USA, 2006.
- REGENESIS. Principles of Chemical Oxidation Technology for the Remediation of Groundwater and Soil, RegenOx™ Design and Application Manual—Version 2.0; REGENESIS: San Clemente, CA, USA, 2007. [Google Scholar]
- Tsitonaki, A.; Petri, B.; Crimi, M.; Mosbaek, H.A.N.S.; Siegrist, R.L.; Bjerg, P.L. In situ chemical oxidation of contaminated soil and groundwater using persulfate: A review. Crit. Rev. Environ. Sci. Technol. 2010, 40, 55–91. [Google Scholar] [CrossRef]
- Devi, P.; Das, U.; Dalai, A.K. In-situ chemical oxidation: Principle and applications of peroxide and persulfate treatments in wastewater systems. Sci. Total Environ. 2016, 571, 643–657. [Google Scholar] [CrossRef]
- Yang, Z.H.; Verpoort, F.; Dong, C.D.; Chen, C.W.; Chen, S.; Kao, C.M. Remediation of petroleum-hydrocarbon contaminated groundwater using optimized in situ chemical oxidation system: Batch and column studies. Process Saf. Environ. Prot. 2020, 138, 18–26. [Google Scholar] [CrossRef]
- Wei, K.H.; Ma, J.; Xi, B.D.; Yu, M.D.; Cui, J.; Chen, B.L.; Li, Y.; Gu, Q.-B.; He, X.S. Recent progress on in-situ chemical oxidation for the remediation of petroleum contaminated soil and groundwater. J. Hazard. Mater. 2022, 432, 128738. [Google Scholar] [CrossRef]
- Seol, Y.; Zhang, H.; Schwartz, F.W. A review of in situ chemical oxidation and heterogeneity. Environ. Eng. Geosci. 2003, 9, 37–49. [Google Scholar] [CrossRef]
- Pac, T.J.; Baldock, J.; Brodie, B.; Byrd, J.; Gil, B.; Morris, K.A.; Nelson, D.; Parikh, J.; Santos, P.; Singer, M.; et al. In situ chemical oxidation: Lessons learned at multiple sites. Remediat. J. 2019, 29, 75–91. [Google Scholar] [CrossRef]
- Baciocchi, R.; D’Aprile, L.; Innocenti, I.; Massetti, F.; Verginelli, I. Development of technical guidelines for the application of in-situ chemical oxidation to groundwater remediation. J. Clean. Prod. 2014, 77, 47–55. [Google Scholar] [CrossRef]
- Huling, S.G.; Ross, R.R.; Prestbo, K.M. In Situ Chemical Oxidation: Permanganate Oxidant Volume Design Considerations. Ground Water Monit Remediat. 2017, 37, 78–86. [Google Scholar] [CrossRef] [PubMed]
- Dangi, M.B.; Urynowicz, M.A.; Schultz, C.L.; Budhathoki, S. A comparison of the soil natural oxidant demand exerted by permanganate, hydrogen peroxide, sodium persulfate, and sodium percarbonate. Environ. Chall. 2022, 7, 100456. [Google Scholar] [CrossRef]
- McGachy, L.; Sedlak, D.L. From Theory to Practice: Leveraging Chemical Principles to Improve the Performance of Peroxydisulfate-Based In Situ Chemical Oxidation of Organic Contaminants. Environ. Sci. Technol. 2023, 58, 17–32. [Google Scholar] [CrossRef]
- Pac, T.; Cohen, E.; Crimi, M.; Dombrowski, P.; Duffy, B.; Lee, M.; Klemmer, M.; Pittenger, D.S.; Robinson, L. Remedial safety in in-situ chemical oxidation, crucial to success. Remediat. J. 2022, 32, 195–209. [Google Scholar] [CrossRef]
- Watts, R.J. Enhanced Reactant-Contaminant Contact through the Use of Persulfate In Situ Chemical Oxidation (ISCO); SERDP Project ER-1489; Washington State University: Pullman WA, USA, 2011. [Google Scholar]
- Bellamy, W.D.; Hickman, P.A.; Ziemba, N. Treatment of VOC-contaminated groundwater by hydrogen peroxide and ozone oxidation. J. Water Pollut. Control Federation 1991, 63, 120–128. [Google Scholar]
- Gates, D.D.; Siegrist, R.L. In situ chemical oxidation of trichloroethylene using hydrogen peroxide. J. Environ. Eng. 1995, 121, 639–644. [Google Scholar] [CrossRef]
- US EPA. Field Applications of In Situ Remediation Technologies: Chemical Oxidation; EPA 542-R-98-008; US EPA: Washington, DC, USA, 1998.
- US EPA. Ground Water Cleanup: Overview of Operating Experience at 28 Sites; EPA 542-R-99-006; US EPA: Washington, DC, USA, 1999.
- Yan, Y.E.; Schwartz, F.W. Oxidative degradation and kinetics of chlorinated ethylenes by potassium permanganate. J. Contam. Hydrol. 1999, 37, 343–365. [Google Scholar] [CrossRef]
- Gates-Anderson, D.D.; Siegrist, R.L.; Cline, S.R. Comparison of potassium permanganate and hydrogen peroxide as chemical oxidants for organically contaminated soils. J. Environ. Eng. 2001, 127, 337–347. [Google Scholar] [CrossRef]
- Interstate Technology & Regulatory Council. Technical and Regulatory Guidance for In Situ Chemical Oxidation of Contaminated Soil and Groundwater, 1st ed.; Interstate Technology & Regulatory Council: Washington, DC, USA, 2001. [Google Scholar]
- Siegrist, R.L. Principles and Practices of In Situ Chemical Oxidation Using Permanganate; Battelle Press: Columbus, OH, USA, 2001. [Google Scholar]
- Kim, J.; Choi, H. Modelling in situ ozonation for the remediation of nonvolatile PAH contaminated unsaturated soils. J. Contam. Hydrol. 2002, 55, 261–285. [Google Scholar] [CrossRef] [PubMed]
- NRC. Contaminants in the Subsurface: Source Zone Assessment and Remediation; National Academies Press: Washington, DC, USA, 2005. [Google Scholar]
- Bennedsen, L.R. In situ chemical oxidation: The mechanisms and applications of chemical oxidants for remediation purposes. In Chemistry of Advanced Environmental Purification Processes of Water; Elsevier: Amsterdam, The Netherlands, 2014; pp. 13–74. [Google Scholar]
- Clayton, W.S. Ozone and contaminant transport during in-situ ozonation. In Physical, Chemical, and Thermal Technologies: Remediation; Hinchee, G.B., Wickramanayake, R.E., Eds.; Battelle Press: Columbus, OH, USA, 1998; pp. 389–395. [Google Scholar]
- Hsu, I.-Y.; Masten, S.J. Modelling transport of gaseous ozone in unsaturated soils. J. Environ. Eng. 2001, 127, 546–554. [Google Scholar] [CrossRef]
- Sung, M.; Huang, C.P. In situ removal of 2-chlorophenol from unsaturated soils by ozonation. Environ. Sci. Technol. 2002, 36, 2911–2918. [Google Scholar] [CrossRef] [PubMed]
- Shin, W.-T.; Garanzuay, X.; Yiacoumi, S.; Tsouris, C.; Gu, B.; Mahinthakumar, G. Kinetics of soil ozonation: An experimental and numerical investigation. J. Contam. Hydrol. 2004, 72, 227–243. [Google Scholar] [CrossRef] [PubMed]
- Khan, N.A.; Carroll, K.C. Natural attenuation method for contaminant remediation reagent delivery assessment for in situ chemical oxidation using aqueous ozone. Chemosphere 2020, 247, 125848. [Google Scholar] [CrossRef] [PubMed]
- Hood, E.D. Permanganate Flushing of DNAPL Source Zones: Experimental and Numerical Investigation. Ph.D. Thesis, University of Waterloo, Waterloo, ON, USA, 2000. [Google Scholar]
- Zhang, H.; Schwartz, F.W. Simulating the in situ oxidative treatment of chlorinated ethylenes by potassium permanganate. Water Resour. Res. 2000, 36, 3031–3042. [Google Scholar] [CrossRef]
- Reitsma, S.; Dai, Q.L. Reaction-enhanced mass transfer and transport from non-aqueous phase liquid source zones. J. Contam. Hydrol. 2001, 49, 49–66. [Google Scholar] [CrossRef] [PubMed]
- Forsey, S.P. In Situ Chemical Oxidation of Creosote/Coal Tar Residuals: Experimental and Numerical Investigation. Ph.D. Thesis, University of Waterloo, Waterloo, ON, USA, 2004. [Google Scholar]
- Heiderscheidt, J.L. DNAPL Source Zone Depletion during In Situ Chemical Oxidation (ISCO): Experimental and Modelling Studies. Ph.D. Thesis, Colorado School of Mines, Golden, CO, USA, 2005. [Google Scholar]
- Mundle, K.; Reynolds, R.A.; West, M.R.; Kueper, B.H. Concentration rebound following in situ chemical oxidation in fractured clay. Groundwater 2007, 45, 692–702. [Google Scholar] [CrossRef] [PubMed]
- Henderson, T.H.; Ulrich, K.; Mayer, K.U.; Parker, B.L.; Al, T.A. Three-dimensional density dependent flow and multicomponent reactive transport modelling of chlorinated solvent oxidation by potassium permanganate. J. Contam. Hydrol. 2009, 106, 195–211. [Google Scholar] [CrossRef]
- Cha, K.Y.; Borden, R.C. Impact of injection system design on ISCO performance with permanganate—Mathematical modelling results. J. Contam. Hydrol. 2011, 128, 33–46. [Google Scholar] [CrossRef]
- Versteegen, F. Modelling Feedback Driven Remediation, a Modelling Study for the Monitoring of Efficiency, during KMnO4-Based In-Situ Chemical Oxidation of PCE Contamination; Deltares, Department Soil & Groundwater Systems: Utrecht, The Netherlands, 2011. [Google Scholar]
- Li, Y.; Yang, K.; Liao, X.; Cao, H.; Cassidy, D.P. Quantification of oxidant demand and consumption for in situ chemical oxidation design: In the case of potassium permanganate. Water Air Soil Pollut. 2018, 229, 355. [Google Scholar] [CrossRef]
- Evans, P.J.; Dugan, P.; Nguyen, D.; Lamar, M.; Crimi, M. Slow-release permanganate versus unactivated persulfate for long-term in situ chemical oxidation of 1, 4-dioxane and chlorinated solvents. Chemosphere 2019, 221, 802–811. [Google Scholar] [CrossRef] [PubMed]
- Chang, H.; Seaman, J.C.; Murphy, T.; Brown, S.; Mills, G. Laboratory and Modelling Efforts to Refine the use of In Situ Chemical Oxidation for Addressing Residual VOC Plumes on the Savannah River Site. In Proceedings of the 2011 Georgia Water Resources Conference, Athens, GA, USA, 11–13 April 2011. [Google Scholar]
- Peluffo, M.; Pardo, F.; Santos, A.; Romero, A. Use of different kinds of persulfate activation with iron for the remediation of a PAH-contaminated soil. Sci. Total Environ. 2016, 563–564, 649–656. [Google Scholar] [CrossRef] [PubMed]
- Chang, Y.-C.; Peng, Y.-P.; Chen, K.-F.; Chen, T.-Y.; Tang, C.-T. The effect of different in situ chemical oxidation (ISCO) technologies on the survival of indigenous microbes and the remediation of petroleum hydrocarbon-contaminated soil. Process Saf. Environ. Prot. 2022, 163, 105–115. [Google Scholar] [CrossRef]
- Han, M.; Wang, H.; Jin, W.; Chu, W.; Xu, Z. The performance and mechanism of iron-mediated chemical oxidation: Advances in hydrogen peroxide, persulfate and percarbonate oxidation. J. Environ. Sci. 2023, 128, 181–202. [Google Scholar] [CrossRef] [PubMed]
- Li, Y.; Chen, L.; Liu, Y.; Liu, F.; Fallgren, P.H.; Jin, S. Effects of bioaugmentation on sorption and desorption of benzene, 1, 3, 5-trimethylbenzene and naphthalene in freshly-spiked and historically-contaminated sediments. Chemosphere 2016, 162, 1–7. [Google Scholar] [CrossRef] [PubMed]
- Ranc, B.; Faure, P.; Croze, V.; Simonnot, M.O. Selection of oxidant doses for in situ chemical oxidation of soils contaminated by polycyclic aromatic hydrocarbons (PAHs): A review. J. Hazard. Mater. 2016, 312, 280–297. [Google Scholar] [CrossRef] [PubMed]
- Haselow, J.S.; Siegrist, R.L.; Crimi, M.; Jarosch, T. Estimating the total oxidant demand for in situ chemical oxidation design. Remediat. J. J. Environ. Cleanup Costs Technol. Tech. 2003, 13, 5–16. [Google Scholar] [CrossRef]
- Barcelona, M.J.; Holm, T.R. Oxidation-reduction capacities of soil. Environ. Sci. Technol. 1991, 25, 1565–1572. [Google Scholar] [CrossRef]
- Mumford, K.G.; Thomson, N.R.; Allen-King, R.M. Bench-scale investigation of permanganate natural oxidant demand kinetics. Environ. Sci. Technol. 2005, 39, 2835–2840. [Google Scholar] [CrossRef]
- Hønning, J. Use of In Situ Chemical Oxidation with Permanganate in PCE-Contaminated Clayey till with Sand Lenses; Institute of Environment & Resources, Technical University of Denmark: Lyngby, Denmark, 2007. [Google Scholar]
- Borden, R.C.; Simpkin, T.; Lieberman, M.T. User’s Guide, Design Tool for Planning Permanganate Injection Systems; ESTCP Project ER-0626; ESTCP: Alexandria, VA, USA, 2010. [Google Scholar]
- Illangasekare, T.H.; Marr, J.M.; Siegrist, R.L.; Glover, K.C.; Moreno-Barbero, E.; Heiderscheidt, J.L.; Saenton, S.; Matthew, M.; Kaplan, A.R.; Kim, Y.; et al. Mass Transfer from Entrapped DNAPL Sources Undergoing Remediation: Characterization Methods and Prediction Tools SERDP Project No. CU-1294; Colorado School of Mines: Golden, CO, USA, 2006. [Google Scholar]
- Parkhurst, D.L.; Appelo, C.A.J. User’s Guide to PHREEQC (Version 2); Inv. Rep. 99-4259; USGS. Water Resour: Reston, VA, USA, 1999.
- Prommer, H.; Post, V.E.A. A Reactive Multicomponent Model for Saturated Porous Media, Version 2.0, User’s Manual; National Ground Water Association: Westerville, OH, USA, 2010. [Google Scholar]
- Zhai, Y.; Cao, X.; Jiang, Y.; Sun, K.; Hu, L.; Teng, Y.; Wang, J.; Li, J. Further discussion on the influence radius of a pumping well: A parameter with little scientific and practical significance that can easily be misleading. Water 2021, 13, 2050. [Google Scholar] [CrossRef]
- ISCOKIN Database. Available online: https://zenodo.org/records/3596102 (accessed on 8 March 2024).
- Jones, L.J. The Impact of NOD Reaction Kinetic on Treatment Efficiency. Master’s Thesis, University of Waterloo, Waterloo, ON, Canada, 2007. [Google Scholar]
- Urynowicz, M.A.; Balu, B.; Udayasankar, U. Kinetics of Natural Oxidant Demand by Permanganate in Aquifer Solids. J. Contam. Hydrol. 2008, 96, 187–194. [Google Scholar] [CrossRef] [PubMed]
- Lemaire, J.; Buès, M.; Kabeche, T.; Hanna, K.; Simonnot, M.O. Oxidant selection to treat an aged PAH contaminated soil by in situ chemical oxidation. J. Environ. Chem. Eng. 2013, 1, 1261–1268. [Google Scholar] [CrossRef]
- Cronk, G. Optimization of a chemical oxidation tratment train process for groundwater remediation. In Proceedings of the Battelle 5th International Conference on Remediation of Chlorinated and Recalcitrant Compounds, Monterey, CA, USA, 25 May 2006. [Google Scholar]
- Bardos, R.P.; Bakker, L.M.; Slenders, H.L.; Nathanail, C.P. Sustainability and remediation. In Dealing with Contaminated Sites: From Theory towards Practical Application; Springer: Dordrecht, The Netherlands, 2010; pp. 889–948. [Google Scholar]
- Seyedpour, S.M.; Janmaleki, M.; Henning, C.; Sanati-Nezhad, A.; Ricken, T. Contaminant transport in soil: A comparison of the Theory of Porous Media approach with the microfluidic visualisation. Sci. Total Environ. 2019, 686, 1272–1281. [Google Scholar] [CrossRef]
- Khan, S.; Naushad, M.; Lima, E.C.; Zhang, S.; Shaheen, S.M.; Rinklebe, J. Global soil pollution by toxic elements: Current status and future perspectives on the risk assessment and remediation strategies—A review. J. Hazard. Mater. 2021, 417, 126039. [Google Scholar] [CrossRef]
- McInerny, G.J.; Chen, M.; Freeman, R.; Gavaghan, D.; Meyer, M.; Rowland, F.; Spiegelhalter, D.J.; Stefaner, M.; Tessarolo, G.; Hortal, J. Information visualisation for science and policy: Engaging users and avoiding bias. Trends Ecol. Evol. 2014, 29, 148–157. [Google Scholar] [CrossRef] [PubMed]
- Azpurua, M.; Dos Ramos, K. A comparison of spatial interpolation methods for estimation of average electromagentic field magnitude. Prog. Electromagn. Res. 2010, 14, 135–145. [Google Scholar] [CrossRef]
- Yu, A.; Chung, C.; Yim, A. Matplotlib 2. x By Example; Packt Publishing Ltd.: Birmingham, UK, 2017. [Google Scholar]
- Van Rossum, G.; Drake, F.L. Python Tutorial, Release 2.7.3; Python Software Foundation: Wilmington, DE, USA, 2012. [Google Scholar]
- Lu, G.Y.; Wong, D.W. An adaptive inverse-distance weighting spatial interpolation technique. Comput. Geosci. 2008, 34, 1044–1055. [Google Scholar] [CrossRef]
- Chen, F.W.; Liu, C.W. Estimation of the spatial rainfall distribution using inverse distance weighting (IDW) in the middle of Taiwan. Paddy Water Environ. 2012, 10, 209–222. [Google Scholar] [CrossRef]
- Masroor, K.; Fanaei, F.; Yousefi, S.; Raeesi, M.; Abbaslou, H.; Shahsavani, A.; Hadei, M. Spatial modelling of PM2. 5 concentrations in Tehran using Kriging and inverse distance weighting (IDW) methods. J. Air Pollut. Health 2020, 5, 89–96. [Google Scholar]
- Shukla, K.; Kumar, P.; Mann, G.S.; Khare, M. Mapping spatial distribution of particulate matter using Kriging and Inverse Distance Weighting at supersites of megacity Delhi. Sustain. Cities Soc. 2020, 54, 101997. [Google Scholar] [CrossRef]
- Dethlefsen, F.; Haase, C.; Ebert, M.; Dahmke, A. Uncertainties of geochemical modeling during CO2 sequestration applying batch equilibrium calculations. Environ. Earth Sci. 2012, 65, 1105–1117. [Google Scholar] [CrossRef]
- Mosai, A.K.; Tokwana, B.C.; Tutu, H. Computer simulation modelling of the simultaneous adsorption of Cd, Cu and Cr from aqueous solutions by agricultural clay soil: A PHREEQC geochemical modelling code coupled to parameter estimation (PEST) study. Ecol. Model. 2022, 465, 109872. [Google Scholar] [CrossRef]
- Poort, J.; De Zwart, H.; Wasch, L.; Shoeibi Omrani, P. The H2020 REFLECT Project: D4. 3 Impact of Geochemical Uncertainties on Fluid Production and Scaling Prediction; GFZ German Research Centre for Geosciences: Potsdam, Germany, 2022. [Google Scholar]
- Igunnu, E.T.; Chen, G.Z. Produced water treatment technologies. Int. J. Low-Carbon Technol. 2014, 9, 157–177. [Google Scholar] [CrossRef]
- Dadrasnia, A.; Agamuthu, P. Diesel fuel degradation from contaminated soil by Dracaena reflexa using organic waste supplementation. J. Jpn. Pet. Inst. 2013, 56, 236–243. [Google Scholar] [CrossRef][Green Version]
- Uddin, S.; Fowler, S.W.; Saeed, T.; Jupp, B.; Faizuddin, M. Petroleum hydrocarbon pollution in sediments from the Gulf and Omani waters: Status and review. Mar. Pollut. Bull. 2021, 173, 112913. [Google Scholar] [CrossRef] [PubMed]
- Haider, F.U.; Ejaz, M.; Cheema, S.A.; Khan, M.I.; Zhao, B.; Liqun, C.; Salim, M.A.; Naveed, M.; Khan, N.; Nunez-Delgado, A.; et al. Phytotoxicity of petroleum hydrocarbons: Sources, impacts and remediation strategies. Environ. Res. 2021, 197, 111031. [Google Scholar] [CrossRef]
- Gatsios, E.; García-Rincón, J.; Rayner, J.L.; McLaughlan, R.G.; Davis, G.B. LNAPL transmissivity as a remediation metric in complex sites under water table fluctuations. J. Environ. Manag. 2018, 215, 40–48. [Google Scholar] [CrossRef] [PubMed]
- Kuppusamy, S.; Maddela, N.R.; Megharaj, M.; Venkateswarlu, K. Case studies on remediation of sites contaminated with total petroleum hydrocarbons. In Total Petroleum Hydrocarbons: Environmental Fate, Toxicity, and Remediation; Springer: Berlin/Heidelberg, Germany, 2020; pp. 225–256. [Google Scholar]
- Verardo, E.; Atteia, O.; Rouvreau, L.; Siade, A.; Prommer, H. Identifying remedial solutions through optimal bioremediation design under real-world field conditions. J. Contam. Hydrol. 2021, 237, 103751. [Google Scholar] [CrossRef]
- Syafiuddin, A.; Boopathy, R.; Hadibarata, T. Challenges and solutions for sustainable groundwater usage: Pollution control and integrated management. Curr. Pollut. Rep. 2020, 6, 310–327. [Google Scholar] [CrossRef]
- Ambaye, T.G.; Chebbi, A.; Formicola, F.; Prasad, S.; Gomez, F.H.; Franzetti, A.; Vaccari, M. Remediation of soil polluted with petroleum hydrocarbons and its reuse for agriculture: Recent progress, challenges, and perspectives. Chemosphere 2022, 293, 133572. [Google Scholar] [CrossRef] [PubMed]
- Da Silva, M.L.B.; Corseuil, H.X. Groundwater microbial analysis to assess enhanced BTEX biodegradation by nitrate injection at a gasohol-contaminated site. Int. Biodeterior. Biodegrad. 2012, 67, 21–27. [Google Scholar] [CrossRef]
- Balland-Bolou-Bi, C.; Brondeau, F.; Jusselme, M. Can Natural Attenuation be Considered as an Effective Solution for Soil Remediation? IntechOpen: Soil Contamination—Recent Advances and Future Perspectives. 2022. Available online: https://www.intechopen.com/online-first/84766 (accessed on 13 March 2024).
- Lv, H.; Su, X.; Wang, Y.; Dai, Z.; Liu, M. Effectiveness and mechanism of natural attenuation at a petroleum-hydrocarbon contaminated site. Chemosphere 2018, 206, 293–301. [Google Scholar] [CrossRef] [PubMed]
- Keely, J.F. Performance Evaluations of Pump-and-Treat Remediations 1. In EPA Environmental Engineering Sourcebook; CRC Press: Boca Raton, FL, USA, 2019; pp. 31–57. [Google Scholar]
- Cleland, J.; Leggett, H.; Sandars, J.; Costa, M.J.; Patel, R.; Moffat, M. The remediation challenge: Theoretical and methodological insights from a systematic review. Med. Educ. 2013, 47, 242–251. [Google Scholar] [CrossRef] [PubMed]
- Zhang, T.; Lowry, G.V.; Capiro, N.L.; Chen, J.; Chen, W.; Chen, Y.; Dionysiou, D.; Elliot, D.W.; Ghosal, S.; Hofmann, T.; et al. In situ remediation of subsurface contamination: Opportunities and challenges for nanotechnology and advanced materials. Environ. Sci. Nano 2019, 6, 1283–1302. [Google Scholar] [CrossRef]
- Grifoni, M.; Franchi, E.; Fusini, D.; Vocciante, M.; Barbafieri, M.; Pedron, F.; Rosellini, I.; Petruzzelli, G. Soil remediation: Towards a resilient and adaptive approach to deal with the ever-changing environmental challenges. Environments 2022, 9, 18. [Google Scholar] [CrossRef]














| Process | Second-Order Rate Constant [M−1s−1] | |
|---|---|---|
| PCE oxidation 1 | 0.038 | |
| TCE oxidation 1 | 0.67 | |
| DCE oxidation 1 | 2.32 | |
| VC oxidation 1 | 0.014–0.029 | |
| Benzene oxidation 1 | 7 × 10−6 | |
| Toluene oxidation 1 | 5.7 × 10−4 | |
| Ethylbenzene oxidation 1 | 0.007 | |
| NOD (organic matter) Oxidation 1 | Fast fraction | 2.54 × 10−10 |
| Slow fraction | 1.15 × 10−14 | |
| Parameters | Range [Source] |
|---|---|
| Temperature | Above 15 °C (10–15 °C is a typical for ambient water [5]) |
| pH | 2.5–12.5 [5] |
| Eh | +200 to +600 mV [75] |
| Contaminated Area | ||
|---|---|---|
| Parameter | Values * | |
| Groundwater level | 1.33 ÷ 1.53 (avg. 1.45) m bgl. | |
| pH | 6.4 ÷ 8.2 (avg. 7.41) | |
| ORP | −286 ÷ 98 (avg. 35) mV | |
| Dissolved oxygen | 1.3 ÷ 2.9 (avg. 2.16) mg/L | |
| DOC | 75 ÷ 3710 (avg. 548) mg/L | |
| Eh | −0.286 ÷ 0.098 (avg. −0.035) V | |
| EC | 756 ÷ 5070 (avg. 1883) μS/cm | |
| Groundwater temperature | 9.8 ÷ 13.5 (avg. 11.8) °C | |
| Thickness of the contaminated layer | 1.5 m | |
| Depth to the impervious layer | 25 m | |
| Hydraulic conductivity | 7.25 × 10−8 ÷ 3.27 × 10−6 (avg. 9.4 × 10−7) m/s | |
| Porosity | 0.35 | |
| Dry bulk density | 1700 kg/m3 | |
| Toluene | 0.014 ÷ 0.17 (avg. 0.037) mg/L | |
| Ethylobenzene | 0.21 ÷ 6.8 (avg. 1.81) mg/L | |
| Benzene | 0.02 ÷ 0.002 (avg. 0.013) mg/L | |
| PCE | 0.05 mg/L | |
| TCE | 0.05 mg/L | |
| DCE | 0.05 ÷ 7.3 (avg. 1.26) mg/L | |
| VC | 0.05 ÷ 0.32 (avg. 0.12) mg/L | |
| NOD | 3792 mg/L | |
| C-chlorides | 220 ÷ 1080 (avg. 391) mg/L | |
| Parameter | Water in micropores | Clean Groundwater |
| Temperature | 14.7 °C | 12.7 °C |
| pH | 6.24 | 6.55 |
| Eh | 0.084 V | −0.061 V |
| Toluene | 0.8 mg/L | - |
| Ethylobenzene | 3.3 mg/L | - |
| Benzene | 0.05 mg/L | - |
| PCE | 1.7 mg/L | - |
| TCE | 0.4 mg/L | - |
| DCE | 10 mg/L | - |
| VC | 0.05 mg/L | 12.7 °C |
| Injection Parameter | Values | |
| Volume of the injected fluid | 1.2 m3 | |
| Concentration of the oxidant | 83 kg/m3 | |
| pH of the injected fluid | 7 | |
| Pe of the injected fluid | 15 | |
| Velocity of the natural lateral flow | 20 m/year | |
| COEC | Initial Second-Order Rate Constant [M−1s−1] | Second-Order Rate Constant after Calibration [M−1s−1] |
|---|---|---|
| Benzene | 7 × 10−6 | Mean 8.25 × 10−6 Median 7.25 × 10−6 |
| Toluene | 5.7 × 10−4 | Mean 1.4−4 Median 1 × 10−4 |
| Ethylbenzene | 0.007 | Mean 1.2−4 Median 7 × 10−5 |
Disclaimer/Publisher’s Note: The statements, opinions and data contained in all publications are solely those of the individual author(s) and contributor(s) and not of MDPI and/or the editor(s). MDPI and/or the editor(s) disclaim responsibility for any injury to people or property resulting from any ideas, methods, instructions or products referred to in the content. |
© 2024 by the authors. Licensee MDPI, Basel, Switzerland. This article is an open access article distributed under the terms and conditions of the Creative Commons Attribution (CC BY) license (https://creativecommons.org/licenses/by/4.0/).
Share and Cite
Samborska-Goik, K.; Ulańczyk, R.; Krupanek, J.; Pogrzeba, M. A PHREEQC-Based Tool for Planning and Control of In Situ Chemical Oxidation Treatment. Appl. Sci. 2024, 14, 3600. https://doi.org/10.3390/app14093600
Samborska-Goik K, Ulańczyk R, Krupanek J, Pogrzeba M. A PHREEQC-Based Tool for Planning and Control of In Situ Chemical Oxidation Treatment. Applied Sciences. 2024; 14(9):3600. https://doi.org/10.3390/app14093600
Chicago/Turabian StyleSamborska-Goik, Katarzyna, Rafał Ulańczyk, Janusz Krupanek, and Marta Pogrzeba. 2024. "A PHREEQC-Based Tool for Planning and Control of In Situ Chemical Oxidation Treatment" Applied Sciences 14, no. 9: 3600. https://doi.org/10.3390/app14093600
APA StyleSamborska-Goik, K., Ulańczyk, R., Krupanek, J., & Pogrzeba, M. (2024). A PHREEQC-Based Tool for Planning and Control of In Situ Chemical Oxidation Treatment. Applied Sciences, 14(9), 3600. https://doi.org/10.3390/app14093600

