Study of the Targeted Regulation of Rice Drying Characteristics and Quality
Abstract
1. Introduction
2. Materials and Methods
2.1. Materials
2.2. Drying Equipment and Procedure
2.3. Methodology
2.4. Indicator Determination
- (1)
- Determination of water content
- (2)
- Determination of waist burst rate and waist burst rate (ACP)
- (3)
- Determination of whole rice rate (HRY)
- (4)
- Resistant starch concentration
- (5)
- Fatty acid value determination
- (6)
- Protein content determination
- (7)
- Fat content determination
- (8)
- Determination of germination rate
- (9)
- Calculation of drying time
2.5. Response Surface Methodology
3. Results and Discussion
3.1. Evaluation of Regression Model and Analysis of Variance
3.2. Influence of Interaction among Various Factors on Test Indexes








3.2.1. Drying Characteristic Index
- (1)
- Influence of test factors on Dtn
- (2)
- Influence of test factors on germination rate (PG)
3.2.2. Processing Quality
- (1)
- Effects of test factors on ACP
- (2)
- Influence of test factors on HRY
3.2.3. Nutritional Quality
- (1)
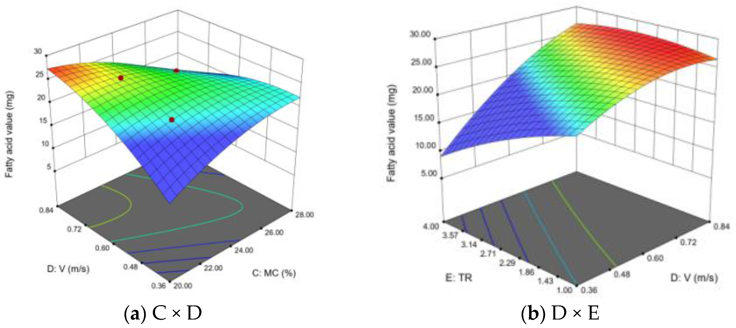
- Influence of test factors on fatty acid value (FAV)
- (2)
- Influence of test factors on resistant starch concentration (RSC)
- (3)
- Influence of test factors on the protein change value (PCV)
- (4)
- Effects of experimental factors on the fat change value (FCV)
3.3. Process Reference Chart
3.4. Parameter Optimization and Model Validation
4. Conclusions
Author Contributions
Funding
Data Availability Statement
Acknowledgments
Conflicts of Interest
Appendix A














References
- Rufino Franco, C.M.; Barbosa de Lima, A.G.; de Oliveira Farias, V.S.; Machado, E.A. Intermittent Drying of Rice Grains with Husk: Modelling and Experimentation. Dif. Found. 2020, 25, 9–36. [Google Scholar] [CrossRef]
- Xianzhe, Z.; Hui, L.; Liuyang, S.; Jinwu, W.; Lei, W.; Yong, Z. Study on the drying process of rice with variable temperature and hot air based on glass transition. JTCS Agric. Mach. 2020, 51, 10. [Google Scholar] [CrossRef]
- Jin, Y.; Yin, J.; Xie, H.; Zhang, Z. Reconstruction of Rice Drying Model and Analysis of Tempering Characteristics Based on Drying Accumulated Temperature. Appl. Sci. 2021, 11, 1113. [Google Scholar] [CrossRef]
- Jin, Y.; Wong, K.W.; Wu, Z.; Qi, D.; Wang, R.; Han, F.; Wu, W. Relationship between accumulated temperature and quality of paddy. Int. J. Food Prop. 2019, 22, 19–33. [Google Scholar] [CrossRef]
- Zhou, X.; Liu, L.; Fu, P.; Lyu, F.; Zhang, J.; Gu, S.; Ding, Y. Effects of infrared radiation drying and heat pump drying combined with tempering on the quality of long-grain paddy rice. Int. J. Food Sci. Technol. 2018, 53, 2448–2456. [Google Scholar] [CrossRef]
- Zhonghua, W.; Shanshan, W.; Xiaolin, D.; Lijuan, Z.; Zhongjie, Z. Numerical simulation and optimization of rice isothermal drying-slow quenching process. JFS 2019, 40, 7. [Google Scholar] [CrossRef]
- Zhonghua, W.; Bing, L.; Dandan, W.; Corning; Lijuan, Z. Study on drying retarding characteristics and crack generation law of rice. JTCS. Agricul. Mach. 2018, 49, 7. [Google Scholar] [CrossRef]
- Mahmood, N.; Liu, Y.; Munir, Z.; Zhang, Y.; Niazi, B.M.K. Effects of hot air assisted radio frequency drying on heating uniformity, drying characteristics and quality of paddy. LWT-Food Sci. Technol. 2022, 158, 113131. [Google Scholar] [CrossRef]
- Mahmood, N.; Liu, Y.; Saleemi, M.A.; Munir, Z.; Zhang, Y.; Saeed, R. Investigation of Physicochemical and Textural Properties of Brown Rice by Hot Air Assisted Radio Frequency Drying. Food Bioprocess Technol. 2023, 16, 1555–1569. [Google Scholar] [CrossRef]
- Behera, G.; Sutar, P.P. Starch gelatinization and drying of paddy using microwave rotary drum dryer: Optimization, kinetics, and cooking studies. Drying Technol. 2020, 39, 965–981. [Google Scholar] [CrossRef]
- Chen, J.; Wu, W.; Cheng, R.; Jin, Y.; Liu, Z. Optimization of hot air drying process of corn using genetic algorithm and response surface methodology. Int. J. Food Prop. 2020, 23, 753–764. [Google Scholar] [CrossRef]
- Jin, Y.; Yin, J.; Xie, H.; Zhang, Z. Investigation of a Precise Control Scheme for Rice Quality. Appl. Sci. 2023, 13, 7532. [Google Scholar] [CrossRef]
- Jin, Y.; Wong, K.W.; Yang, D.; Zhang, Z.; Wu, W.; Yin, J. A neural network model used in continuous grain dryer control system. Drying Technol. 2021, 40, 1901–1922. [Google Scholar] [CrossRef]
- Wu, W.; Jin, Y.; Zhang, Y.; Han, F.; Xu, Y.; Chen, L.; Qin, X.; Wu, Y.; Liu, E.; Wang, T.; et al. The Utility Model Relates to a Vertical Moisture Heat Controlled Speed Thin Layer Drying Test Bed. CN105486073B, 13 April 2016. [Google Scholar]
- GB/T 14489.1-2008; Oilseeds—Determination of Moisture and Volatile Matter Content. Standardization Administration of China: Beijing, China, 2008.
- GB/T 5496-1985; Inspection of Grain and Oilseeds--Methods for Determination of Yellow-Coloured Rice and Cracked Kernels. Standardization Administration of China: Beijing, China, 1985.
- GB/T 21719-2008; Determination of Head Rice Yield of Paddy. Standardization Administration of China: Beijing, China, 2008.
- NY/T 2638-2014; Determination of Resistant Starch in Rice and Its Products—Spectrophotometric Method. Standardization Administration of China: Beijing, China, 2014.
- GB/T 29405-2012; Inspection of Grain and Oils—Determination of Fat Acidity of Cereal and Cereal Products—Instrumental Analysis Method. Standardization Administration of China: Beijing, China, 2012.
- GB/T 24897-2010; Inspection of Grain and Oils—Crude Protein Determination in Rice—Near-Infrared Method. Standardization Administration of China: Beijing, China, 2010.
- Bertotto, M.M.; Gastón, A.; Sánchez Sarmiento, G.; Gove, B. Effect of drying conditions on the quality of IRGA 424 rice. J. Sci. Food Agric. 2018, 99, 1651–1659. [Google Scholar] [CrossRef] [PubMed]
- Wang, D.; Li, C.; Zhang, B.; Ma, J.; Jin, H. Development of germinating rate model and influencing parameters for paddy rice drying in a deep fixed-bed. TCS. Agricul. Engin. 2009, 25, 266–270. [Google Scholar]
- Danyang, W.; Jie, W.; Wenze, Y.; Zhipeng, W.; Benhua, Z.; Bo, X.; Hong, G. Research on drying characteristics of rice and construction of dynamic model. J. Shenyang Agric. Univ. 2021. [Google Scholar]
- Shen, L.; Gao, M.; Zhu, Y.; Liu, C.; Wang, L.; Kamruzzaman, M.; Liu, C.; Zheng, X. Microwave drying of germinated brown rice: Correlation of drying characteristics with the final quality. Innovative Food Sci. Emerg. Technol. 2021, 70, 102673. [Google Scholar] [CrossRef]
- Huang, W.; Song, E.; Lee, D.; Seo, S.; Lee, J.; Jeong, J.; Chang, Y.-H.; Lee, Y.-M.; Hwang, J. Characteristics of functional brown rice prepared by parboiling and microwave drying. J. Stored Prod. Res. 2021, 92, 101796. [Google Scholar] [CrossRef]
- Wang, D.; Wang, J.; Q IU, S.; zhan, T.; tao, D.; Zhang, B. Optimization and experiment of process parameters of rice drying with hot air. JTCS. Agricul. Mach. 2021, 37, 285–292. [Google Scholar]
- Dong, J.; Liu, J.; Tao, F.; Xu, X.; Wang, J. Spatio-temporal changes in annual accumulated temperature in China and the effects on cropping systems, 1980s to 2000. Clim. Res. 2009, 40, 37–48. [Google Scholar] [CrossRef]
- Mukhopadhyay, S.; Siebenmorgen, T.J.; Mauromoustakos, A. Effect of tempering approach following cross-flow drying on rice milling yields. Drying Technol. 2019, 37, 2137–2151. [Google Scholar] [CrossRef]
- Nanvakenari, S.; Movagharnejad, K.; Latifi, A. Multi-objective optimization of hybrid microwave-fluidized bed drying conditions of rice using response surface methodology. J. Stored Prod. Res. 2022, 97, 101956. [Google Scholar] [CrossRef]
- Liu, T.; Zhang, B.; Wang, L.; Zhao, S.; Qiao, D.; Zhang, L.; Xie, F. Microwave reheating increases the resistant starch content in cooked rice with high water contents. Int. J. Biol. Macromol. 2021, 184, 804–811. [Google Scholar] [CrossRef] [PubMed]
- You, H.; Liang, C.; Zhang, O.; Xu, H.; Xu, L.; Chen, Y.; Xiang, X. Variation of resistant starch content in different processing types and their starch granules properties in rice. Carbohydr. Polym. 2022, 276, 118742. [Google Scholar] [CrossRef] [PubMed]
- Meza, S.L.R.; Cañizares, L.; Dannenberg, B.; Peres, B.B.; Rodrigues, L.A.; Mardade, C.; de Leon, M.A.; Gaioso, C.A.; Egea, I.; de Oliveira, M. Sustainable rice bran protein: Composition, extraction, quality properties and applications. Trends Food Sci. Technol. 2024, 145, 104355. [Google Scholar] [CrossRef]
- Abd Rahim, F.N.; Ibadullah, W.Z.W.; Saari, N.; Brishti, F.H.; Mustapha, N.A.; Ahmad, N.; Arulrajah, B. The effect of alkaline extraction and drying techniques on the physicochemical, structural properties and functionality of rice bran protein concentrates. Int. J. Biol. Macromol. 2023, 242, 124908. [Google Scholar] [CrossRef] [PubMed]
- Singh, T.P.; Sogi, D.S. Comparative study of structural and functional characterization of bran protein concentrates from superfine, fine and coarse rice cultivars. Int. J. Biol. Macromol. 2018, 111, 281–288. [Google Scholar] [CrossRef] [PubMed]
- Donghao, Z.; Yeon-bae., C.; Laufi; Jihong, W. Research progress on the relationship between rice protein and rice taste quality. JFS 2023, 44, 270–277. [Google Scholar]
- Zhen, L. Correlation between physical and chemical properties of rice and eating quality. JGO 2017, 30, 89–92. [Google Scholar] [CrossRef]
- Qingyu, Z.; Hui, G.; Bolui, C.; Qun, S. Quality change and dynamics of rice during storage. JFS 2020, 41, 204–212. [Google Scholar]
- Yin, X.; Yang, M.; Li, G.; Zhang, X.; Zhou, Y.; Yang, L. Optimization of thin layer hot air drying process of rice and mathematical model fitting. JFS 2017, 38, 198–205. [Google Scholar]




| Name of Instrument and Equipment | Manufacturing Enterprise |
|---|---|
| BC-2 Thin-layer Drying Test Bench | Changchun JIDA Scientific Instrument Equipment Co., Ltd., Changchun City, China. |
| AL204-IC Model 1/10,000 Balance | Mettler-Toledo (Changzhou) Instrument Co., Ltd., Changzhou, China. |
| BLH-3250 grain elevator | Zhejiang Bethlehem Instrument Equipment Co., Ltd., Taizhou City, China. |
| CM-5 Minolta Spectrophotometer | Konica Minolta Holdings, Inc., Tokyo, Japan. |
| DPCZ-II type amylose tester | Beijing Zhihai Electronic Instrument Co., Ltd., Beijing, China. |
| DGG-9250GD type electric heating constant temperature blower drying oven | Shanghai Senxin Laboratory Instrument Co., Ltd., Shanghai, China. |
| controlled tube grinder | IKA Works GmbH & Co., Staufen, Germany. |
| OS-200 Rail-Type Oscillator | Hangzhou Aosheng Instrument Co., Ltd., Hangzhou, China. |
| TG16K Centrifuge | Changsha Dongwang Experimental Instrument Co., Ltd., Changsha, China. |
| HS153 Moisture Analyzer | Mettler-Toledo (Changzhou) Instrument Co., Ltd., Changzhou, China. |
| Factor | Symbol | Encoded and Unencoded Values | ||||
|---|---|---|---|---|---|---|
| −α = 2.378 | −1 | 0 | 1 | α = 2.378 | ||
| dry medium temperature (°C) | T | 35 | 40.8 | 45 | 49.2 | 55 |
| relative medium humidity (%) | RH | 30 | 35.8 | 40 | 44.2 | 50 |
| initial water content (%) | MC | 20 | 22.3 | 24 | 25.7 | 28 |
| hot air speed (m/s) | V | 0.36 | 0.5 | 0.6 | 0.7 | 0.84 |
| slow sophomore | TR | 1 | 1.9 | 2.5 | 3.1 | 4 |
| Runs | T (°C) | RH (%) | MC (%) | V (m/s) | TR | Dtn (min) | ACP (%) | HRY (%) | FAV (mg) | RSC (μg/g) | PG (%) | PCV (g/100 g) | FCV (g/100 g) |
|---|---|---|---|---|---|---|---|---|---|---|---|---|---|
| 1 | 40.8 | 35.8 | 22.3 | 0.5 | 1.9 | 154.17 | 5.00 | 71.00 | 25.81 | 172.86 | 93.69 | 0.77 | 0.57 |
| 2 | 49.2 | 35.8 | 22.3 | 0.5 | 1.9 | 113.95 | 4.64 | 70.88 | 26.03 | 163.37 | 94.38 | 0.73 | 0.32 |
| 3 | 40.8 | 44.2 | 22.3 | 0.5 | 1.9 | 204.10 | 5.92 | 69.00 | 23.72 | 161.88 | 92.75 | 0.87 | 0.42 |
| 4 | 49.2 | 44.2 | 22.3 | 0.5 | 1.9 | 176.18 | 4.53 | 70.00 | 23.92 | 162.69 | 93.31 | 0.80 | 0.56 |
| 5 | 40.8 | 35.8 | 25.7 | 0.5 | 1.9 | 201.64 | 4.35 | 70.13 | 27.38 | 212.39 | 94.13 | 0.83 | 1.05 |
| 6 | 49.2 | 35.8 | 25.7 | 0.5 | 1.9 | 139.25 | 3.50 | 70.13 | 26.35 | 212.56 | 95.00 | 0.88 | 0.70 |
| 7 | 40.8 | 44.2 | 25.7 | 0.5 | 1.9 | 261.51 | 5.30 | 70.00 | 25.34 | 163.78 | 92.75 | 0.85 | 0.57 |
| 8 | 49.2 | 44.2 | 25.7 | 0.5 | 1.9 | 207.32 | 3.61 | 71.00 | 25.18 | 177.64 | 93.13 | 0.92 | 0.47 |
| 9 | 40.8 | 35.8 | 22.3 | 0.7 | 1.9 | 131.56 | 4.13 | 71.88 | 26.26 | 199.89 | 91.19 | 1.17 | 0.75 |
| 10 | 49.2 | 35.8 | 22.3 | 0.7 | 1.9 | 98.21 | 4.86 | 71.00 | 27.20 | 165.74 | 90.88 | 1.07 | 0.40 |
| 11 | 40.8 | 44.2 | 22.3 | 0.7 | 1.9 | 169.36 | 4.24 | 70.00 | 25.20 | 182.82 | 92.94 | 1.23 | 0.64 |
| 12 | 49.2 | 44.2 | 22.3 | 0.7 | 1.9 | 150.66 | 4.01 | 70.00 | 26.36 | 188.34 | 92.00 | 1.13 | 0.64 |
| 13 | 40.8 | 35.8 | 25.7 | 0.7 | 1.9 | 195.37 | 5.08 | 70.00 | 24.66 | 178.44 | 93.00 | 0.98 | 0.87 |
| 14 | 49.2 | 35.8 | 25.7 | 0.7 | 1.9 | 128.74 | 4.63 | 70.00 | 24.69 | 153.74 | 92.06 | 0.91 | 0.45 |
| 15 | 40.8 | 44.2 | 25.7 | 0.7 | 1.9 | 249.30 | 4.72 | 69.88 | 22.30 | 160.98 | 95.06 | 1.08 | 0.43 |
| 16 | 49.2 | 44.2 | 25.7 | 0.7 | 1.9 | 182.38 | 4.30 | 71.13 | 21.19 | 163.80 | 92.81 | 0.91 | 0.35 |
| 17 | 40.8 | 35.8 | 22.3 | 0.5 | 3.1 | 141.73 | 4.11 | 71.00 | 22.31 | 169.24 | 90.88 | 0.99 | 0.13 |
| 18 | 49.2 | 35.8 | 22.3 | 0.5 | 3.1 | 93.57 | 4.86 | 70.00 | 22.06 | 158.77 | 92.13 | 1.02 | 0.28 |
| 19 | 40.8 | 44.2 | 22.3 | 0.5 | 3.1 | 178.29 | 4.61 | 70.00 | 20.19 | 161.17 | 90.31 | 0.96 | 0.33 |
| 20 | 49.2 | 44.2 | 22.3 | 0.5 | 3.1 | 124.18 | 4.50 | 70.00 | 21.02 | 171.62 | 89.69 | 0.99 | 0.70 |
| 21 | 40.8 | 35.8 | 25.7 | 0.5 | 3.1 | 187.62 | 4.19 | 69.75 | 21.44 | 223.59 | 94.13 | 1.09 | 0.41 |
| 22 | 49.2 | 35.8 | 25.7 | 0.5 | 3.1 | 122.63 | 3.73 | 69.13 | 22.05 | 220.01 | 94.94 | 1.16 | 0.37 |
| 23 | 40.8 | 44.2 | 25.7 | 0.5 | 3.1 | 224.72 | 4.52 | 70.13 | 21.81 | 175.54 | 92.75 | 1.03 | 0.13 |
| 24 | 49.2 | 44.2 | 25.7 | 0.5 | 3.1 | 160.29 | 3.98 | 71.00 | 22.81 | 189.06 | 92.94 | 1.12 | 0.45 |
| 25 | 40.8 | 35.8 | 22.3 | 0.7 | 3.1 | 121.54 | 4.06 | 70.88 | 25.71 | 208.26 | 90.88 | 1.12 | 0.16 |
| 26 | 49.2 | 35.8 | 22.3 | 0.7 | 3.1 | 77.00 | 5.26 | 70.13 | 25.00 | 173.99 | 91.25 | 1.05 | 0.16 |
| 27 | 40.8 | 44.2 | 22.3 | 0.7 | 3.1 | 139.52 | 3.99 | 70.00 | 23.16 | 214.31 | 91.88 | 1.10 | 0.36 |
| 28 | 49.2 | 44.2 | 22.3 | 0.7 | 3.1 | 105.28 | 4.16 | 70.00 | 23.71 | 213.52 | 90.94 | 0.98 | 0.83 |
| 29 | 40.8 | 35.8 | 25.7 | 0.7 | 3.1 | 167.81 | 4.85 | 70.13 | 22.51 | 213.12 | 94.75 | 1.11 | 0.19 |
| 30 | 49.2 | 35.8 | 25.7 | 0.7 | 3.1 | 104.19 | 5.62 | 68.88 | 22.96 | 165.30 | 95.13 | 1.13 | 0.11 |
| 31 | 40.8 | 44.2 | 25.7 | 0.7 | 3.1 | 186.78 | 4.55 | 71.00 | 21.17 | 170.90 | 95.69 | 1.08 | 0.04 |
| 32 | 49.2 | 44.2 | 25.7 | 0.7 | 3.1 | 133.07 | 5.04 | 71.00 | 20.57 | 165.50 | 95.38 | 1.06 | 0.26 |
| 33 | 35 | 40 | 24 | 0.6 | 2.5 | 228.91 | 5.38 | 71.00 | 22.14 | 156.58 | 91.56 | 1.04 | 0.72 |
| 34 | 55 | 40 | 24 | 0.6 | 2.5 | 104.65 | 5.30 | 71.00 | 21.55 | 146.56 | 90.50 | 1.03 | 0.73 |
| 35 | 45 | 30 | 24 | 0.6 | 2.5 | 110.23 | 5.17 | 70.00 | 24.17 | 169.58 | 92.88 | 1.06 | 0.65 |
| 36 | 45 | 50 | 24 | 0.6 | 2.5 | 223.53 | 5.08 | 69.88 | 22.16 | 153.98 | 92.25 | 1.03 | 0.70 |
| 37 | 45 | 40 | 20 | 0.6 | 2.5 | 92.57 | 5.29 | 71.00 | 23.61 | 158.06 | 90.00 | 0.88 | 0.13 |
| 38 | 45 | 40 | 28 | 0.6 | 2.5 | 184.06 | 5.39 | 69.88 | 22.92 | 178.35 | 96.13 | 0.90 | 0.08 |
| 39 | 45 | 40 | 24 | 0.36 | 2.5 | 173.97 | 2.85 | 70.88 | 22.64 | 192.14 | 95.00 | 1.10 | 0.60 |
| 40 | 45 | 40 | 24 | 0.84 | 2.5 | 129.75 | 3.33 | 71.00 | 23.59 | 196.05 | 95.00 | 1.28 | 0.50 |
| 41 | 45 | 40 | 24 | 0.6 | 1 | 202.09 | 3.03 | 70.00 | 26.46 | 208.66 | 92.94 | 0.90 | 0.51 |
| 42 | 45 | 40 | 24 | 0.6 | 4 | 122.12 | 3.15 | 70.00 | 22.05 | 230.36 | 93.13 | 1.05 | −0.17 |
| 43 | 45 | 40 | 24 | 0.6 | 2.5 | 150.10 | 4.87 | 69.50 | 25.22 | 188.33 | 95.00 | 1.22 | 0.27 |
| 44 | 45 | 40 | 24 | 0.6 | 2.5 | 145.30 | 5.06 | 69.50 | 24.39 | 191.52 | 94.25 | 1.19 | 0.10 |
| 45 | 45 | 40 | 24 | 0.6 | 2.5 | 145.90 | 5.06 | 70.00 | 25.43 | 191.94 | 93.50 | 1.15 | 0.23 |
| 46 | 45 | 40 | 24 | 0.6 | 2.5 | 147.10 | 4.81 | 70.00 | 25.94 | 205.98 | 93.75 | 1.08 | 0.48 |
| 47 | 45 | 40 | 24 | 0.6 | 2.5 | 154.60 | 4.94 | 69.50 | 26.00 | 206.62 | 94.25 | 1.14 | 0.29 |
| 48 | 45 | 40 | 24 | 0.6 | 2.5 | 140.20 | 5.19 | 69.50 | 26.03 | 212.79 | 93.75 | 1.15 | 0.16 |
| 49 | 45 | 40 | 24 | 0.6 | 2.5 | 149.70 | 4.87 | 69.50 | 25.22 | 188.33 | 95.00 | 1.22 | 0.27 |
| 50 | 45 | 40 | 24 | 0.6 | 2.5 | 143.60 | 5.06 | 69.50 | 24.39 | 191.52 | 94.25 | 1.19 | 0.10 |
| 51 | 45 | 40 | 24 | 0.6 | 2.5 | 139.40 | 5.06 | 70.00 | 25.43 | 191.94 | 93.50 | 1.15 | 0.23 |
| 52 | 45 | 40 | 24 | 0.6 | 2.5 | 150.10 | 4.81 | 70.00 | 26.42 | 205.98 | 93.75 | 1.08 | 0.48 |
| 53 | 45 | 40 | 24 | 0.6 | 2.5 | 145.30 | 4.94 | 69.50 | 25.94 | 206.62 | 94.25 | 1.14 | 0.29 |
| 54 | 45 | 40 | 24 | 0.6 | 2.5 | 145.90 | 5.19 | 69.50 | 26.00 | 212.79 | 93.75 | 1.15 | 0.16 |
| 55 | 45 | 40 | 24 | 0.6 | 2.5 | 147.10 | 5.06 | 69.50 | 24.39 | 191.52 | 94.25 | 1.19 | 0.10 |
| 56 | 45 | 40 | 24 | 0.6 | 2.5 | 154.60 | 5.06 | 70.00 | 25.43 | 191.94 | 93.50 | 1.15 | 0.23 |
| 57 | 45 | 40 | 24 | 0.6 | 2.5 | 140.20 | 4.81 | 70.00 | 26.42 | 205.98 | 93.75 | 1.08 | 0.48 |
| 58 | 45 | 40 | 24 | 0.6 | 2.5 | 149.70 | 4.94 | 69.50 | 26.51 | 206.62 | 94.25 | 1.14 | 0.29 |
| 59 | 45 | 40 | 24 | 0.6 | 2.5 | 143.60 | 4.91 | 69.50 | 26.98 | 212.79 | 93.75 | 1.15 | 0.16 |
| Response | Polynomial Regression Model Equation | R2 | CV (%) |
|---|---|---|---|
| Dtn | 0.9896 | 3.2 | |
| PG | 0.9482 | 0.47 | |
| ACP | 0.9631 | 3.33 | |
| HRY | 0.8977 | 0.35 | |
| FAV | 0.8909 | 3.25 | |
| RSC | 0.9081 | 4.34 | |
| PCV | 0.8901 | 4.56 | |
| FCV | 0.9080 | 22.66 |
| Indicators | Source of Variation | Sum of Squares | Degree of Freedom | Mean Square | F Value | p Value | |
|---|---|---|---|---|---|---|---|
| Dtn | Model | 87,902.35 | 20 | 4395.12 | 180.68 | <0.0001 | Significant |
| Residual error | 924.36 | 38 | 24.33 | ||||
| Loss of approximation term | 596.02 | 22 | 27.09 | 1.32 | 0.2877 | Not significant | |
| Error | 328.34 | 16 | 20.52 | ||||
| ACP | Model | 23.68 | 20 | 1.18 | 49.64 | <0.0001 | Significant |
| Residual error | 0.9065 | 38 | 0.0239 | ||||
| Loss of approximation term | 0.6593 | 22 | 0.03 | 1.94 | 0.089 | Not significant | |
| Error | 0.2472 | 16 | 0.0154 | ||||
| HRY | Model | 20.6 | 20 | 1.03 | 16.67 | <0.0001 | Significant |
| Residual error | 2.35 | 38 | 0.0618 | ||||
| Loss of approximation term | 1.38 | 22 | 0.0626 | 1.03 | 0.483 | Not significant | |
| Error | 0.9706 | 16 | 0.0607 | ||||
| FAV | Model | 192.41 | 20 | 9.62 | 15.51 | <0.0001 | Significant |
| Residual error | 23.57 | 38 | 0.6201 | ||||
| Loss of approximation term | 14.04 | 22 | 0.638 | 1.07 | 0.4518 | Not significant | |
| Error | 9.53 | 16 | 0.5956 | ||||
| RSC | Model | 24,650.42 | 20 | 1232.52 | 18.77 | <0.0001 | Significant |
| Residual error | 2495.09 | 38 | 65.66 | ||||
| Loss of approximation term | 1083.19 | 22 | 49.24 | 0.558 | 0.8987 | Not significant | |
| Error | 1411.9 | 16 | 88.24 | ||||
| PG | Model | 130.86 | 20 | 6.54 | 34.8 | <0.0001 | Significant |
| Residual error | 7.14 | 38 | 0.188 | ||||
| Loss of approximation term | 3.66 | 22 | 0.1663 | 0.7637 | 0.7259 | Not significant | |
| Error | 3.49 | 16 | 0.2178 | ||||
| PCV | Model | 0.7995 | 15 | 0.0533 | 23.23 | <0.0001 | Significant |
| Residual error | 0.0987 | 43 | 0.0023 | ||||
| Loss of approximation term | 0.0710 | 27 | 0.0026 | 1.52 | 0.1917 | Not significant | |
| Error | 0.0277 | 16 | 0.0017 | ||||
| FCV | Model | 3.12 | 17 | 0.1834 | 23.80 | <0.0001 | Significant |
| Residual error | 0.3159 | 41 | 0.0077 | ||||
| Loss of approximation term | 0.0580 | 25 | 0.0023 | 0.1440 | 1.0000 | Not significant | |
| Error | 0.2579 | 16 | 0.0161 |
| Factor F-Score | Dtn | ACP | HRY | FAV | RSC | PG | PCV | FCV |
|---|---|---|---|---|---|---|---|---|
| A-T | 131.11 | 31.87 | 6.98 | 22.94 | 31.05 | 0.1502 | 4.10 | 13.25 |
| B-RH | 113.66 | 3.83 | 113.75 | 28.13 | 31.80 | 24.53 | 15.10 | 62.43 |
| C-MC | 154.66 | 8.08 | 25.35 | 6.09 | 0.8578 | 92.37 | 67.16 | 14.06 |
| D-V | 39.28 | 77.60 | 3.30 | 46.05 | 59.99 | 31.43 | 80.40 | 7.43 |
| E-TR | 83.81 | 13.38 | 24.45 | 115.15 | 17.60 | 65.02 | 5.89 | 4.11 |
| Trial Group | Dtn (min) | ACP (%) | HRY (%) | FAV (mg) | RSC (μg/g) | PG (%) | PCV (g/100 g) | FCV (g/100 g) |
|---|---|---|---|---|---|---|---|---|
| 1 | 165.82 | 3.46 | 68.90 | 21.05 | 193.51 | 97.30 | 7.73 | 2.24 |
| 2 | 159.92 | 3.51 | 69.26 | 20.22 | 196.51 | 93.79 | 8.01 | 2.68 |
| 3 | 158.53 | 3.63 | 69.96 | 19.96 | 200.33 | 95.18 | 8.89 | 2.49 |
| 4 | 161.67 | 3.46 | 72.39 | 21.02 | 189.53 | 93.86 | 8.96 | 2.42 |
| Average test value | 161.49 | 3.52 | 70.13 | 20.56 | 194.97 | 95.03 | 8.40 | 2.46 |
| Model predicted value | 157.60 | 3.48 | 70.45 | 20.93 | 193.64 | 94.15 | 8.53 | 2.37 |
| Model error | 2.47% | 1.18% | −0.46% | −1.78% | 0.69% | 0.93% | −1.54% | 3.71% |
| Indicators | Trial Group | T (°C) | RH (%) | MC (%) | V (m/s) | TR | Predicted Value | Actual Value | Error |
|---|---|---|---|---|---|---|---|---|---|
| Dtn (min) | 1 | 38.2 | 33.1 | 22.5 | 0.44 | 1.9 | 157.52 | 160.84 | 2.11% |
| 2 | 51 | 40.5 | 22.1 | 0.75 | 2.9 | 80.69 | 84.98 | 5.32% | |
| 3 | 42.4 | 49 | 22.8 | 0.73 | 3.6 | 149.3 | 144.18 | −3.43% | |
| 4 | 47.6 | 40.4 | 23.2 | 0.4 | 1.5 | 183.52 | 178.47 | −2.75% | |
| ACP (%) | 1 | 51.2 | 36.2 | 22.4 | 0.57 | 3.3 | 5.04 | 5.21 | 3.33% |
| 2 | 50.5 | 31.2 | 26.2 | 0.83 | 1.5 | 4.35 | 4.48 | 3.08% | |
| 3 | 40.9 | 46.3 | 20.2 | 0.46 | 2 | 6.88 | 6.52 | −5.16% | |
| 4 | 46.5 | 32.7 | 24.2 | 0.77 | 2.2 | 4.8 | 4.98 | 3.85% | |
| HRY (%) | 1 | 53 | 35.5 | 22.4 | 0.79 | 1.1 | 72.81 | 74.93 | 2.91% |
| 2 | 54.1 | 47.9 | 26.7 | 0.6 | 3.2 | 73.67 | 70.90 | −3.76% | |
| 3 | 47.7 | 47.5 | 21.9 | 0.5 | 1.9 | 69.23 | 65.90 | −4.81% | |
| 4 | 46.7 | 35.6 | 26.1 | 0.77 | 1.7 | 70.38 | 71.75 | 1.95% | |
| FAV (mg) | 1 | 40.1 | 38.9 | 24.3 | 0.75 | 1.8 | 24.21 | 23.73 | −1.97% |
| 2 | 42.8 | 33.6 | 22.7 | 0.4 | 3.2 | 19.38 | 18.56 | −4.21% | |
| 3 | 45.3 | 31.7 | 24.4 | 0.57 | 1.6 | 26.96 | 26.06 | −3.32% | |
| 4 | 41.5 | 41.1 | 20.7 | 0.66 | 1.7 | 26.21 | 27.19 | 3.73% | |
| RSC (μg/g) | 1 | 39.6 | 39.2 | 25.7 | 0.41 | 3.1 | 213.27 | 214.91 | 0.77% |
| 2 | 42.8 | 41.5 | 20 | 0.59 | 2.6 | 160.81 | 160.83 | 0.01% | |
| 3 | 52.2 | 34.5 | 22.7 | 0.42 | 1.1 | 148.51 | 153.04 | 3.05% | |
| 4 | 48.9 | 44.8 | 20.7 | 0.51 | 3.4 | 161.59 | 167.86 | 3.88% | |
| PG (%) | 1 | 35.7 | 44.1 | 20.8 | 0.38 | 2.5 | 90.24 | 87.45 | −3.09% |
| 2 | 54.9 | 36.3 | 27.8 | 0.82 | 1.4 | 96 | 101.20 | 5.42% | |
| 3 | 38.7 | 48.3 | 24.5 | 0.63 | 2.5 | 92.73 | 98.16 | 5.86% | |
| 4 | 45 | 38.7 | 20 | 0.66 | 2.6 | 94.09 | 95.80 | 1.82% | |
| PCV (g/100 g) | 1 | 50.2 | 32.9 | 21.1 | 0.61 | 2.5 | 87.7 | 92.96 | 6.00% |
| 2 | 54.2 | 32.7 | 21.6 | 0.46 | 1 | 23.61 | 23.57 | −0.17% | |
| 3 | 39.2 | 33.8 | 24.8 | 0.41 | 3.2 | 108.5 | 103.75 | −4.38% | |
| 4 | 42.5 | 32.6 | 25 | 0.54 | 2.5 | 102.42 | 107.42 | 4.88% | |
| FCV (g/100 g) | 1 | 39.2 | 47.8 | 24 | 0.43 | 2.5 | 65.84 | 65.01 | −1.26% |
| 2 | 36.5 | 35 | 25.8 | 0.58 | 1 | 214.31 | 206.25 | −3.76% | |
| 3 | 43 | 38.9 | 23.3 | 0.63 | 2.9 | 17.88 | 17.63 | −1.40% | |
| 4 | 36.7 | 41 | 21.4 | 0.71 | 2.4 | 61.39 | 64.19 | 4.56% |
Disclaimer/Publisher’s Note: The statements, opinions and data contained in all publications are solely those of the individual author(s) and contributor(s) and not of MDPI and/or the editor(s). MDPI and/or the editor(s) disclaim responsibility for any injury to people or property resulting from any ideas, methods, instructions or products referred to in the content. |
© 2024 by the authors. Licensee MDPI, Basel, Switzerland. This article is an open access article distributed under the terms and conditions of the Creative Commons Attribution (CC BY) license (https://creativecommons.org/licenses/by/4.0/).
Share and Cite
Li, J.; Yi, X.; Jin, Y. Study of the Targeted Regulation of Rice Drying Characteristics and Quality. Appl. Sci. 2024, 14, 3587. https://doi.org/10.3390/app14093587
Li J, Yi X, Jin Y. Study of the Targeted Regulation of Rice Drying Characteristics and Quality. Applied Sciences. 2024; 14(9):3587. https://doi.org/10.3390/app14093587
Chicago/Turabian StyleLi, Jinquan, Xiaokang Yi, and Yi Jin. 2024. "Study of the Targeted Regulation of Rice Drying Characteristics and Quality" Applied Sciences 14, no. 9: 3587. https://doi.org/10.3390/app14093587
APA StyleLi, J., Yi, X., & Jin, Y. (2024). Study of the Targeted Regulation of Rice Drying Characteristics and Quality. Applied Sciences, 14(9), 3587. https://doi.org/10.3390/app14093587

