Next Article in Journal
Learning Ad Hoc Cooperation Policies from Limited Priors via Meta-Reinforcement Learning
Previous Article in Journal
Optimum Transplanting Date for Rape Forage and Grain Yields in the Ridge Culture Place Planting System on the Yangtze River Delta
 
 
Font Type:
Arial Georgia Verdana
Font Size:
Aa Aa Aa
Line Spacing:
Column Width:
Background:
Article

The Impact of Psychological Health on Childhood Obesity: A Cross-Developmental Stage Analysis

by
Georgios Feretzakis
1,2,*,
Athanasia Harokopou
3,
Olga Fafoula
4,
Athina Balaska
5,
Antriana Koulountzou
4,
Efstathia Katoikou
6,
Athanasios Anastasiou
7,
Georgios Zagkavieros
6,
Ilias Dalainas
6 and
Georgios Gkritzelas
3
1
School of Science and Technology, Hellenic Open University, 263 35 Patras, Greece
2
Department of Quality Control, Research and Continuing Education, Sismanogleio General Hospital, 151 26 Marousi, Greece
3
Child and Adolescent Psychiatric Department, Penteli General Children’s Hospital, 152 36 Penteli, Greece
4
Pediatric Endocrinology Outpatient Clinic, Penteli General Children’s Hospital, 152 36 Penteli, Greece
5
Pediatric Clinic, Penteli General Children’s Hospital, 152 36 Penteli, Greece
6
Penteli General Children’s Hospital, 152 36 Penteli, Greece
7
Biomedical Engineering Laboratory, National Technical University of Athens, 157 80 Athens, Greece
*
Author to whom correspondence should be addressed.
Appl. Sci. 2024, 14(8), 3208; https://doi.org/10.3390/app14083208
Submission received: 17 February 2024 / Revised: 17 March 2024 / Accepted: 8 April 2024 / Published: 11 April 2024
(This article belongs to the Section Biomedical Engineering)

Abstract

This research ventures into the critical public health challenge of childhood obesity by exploring the dynamic interplay between psychological well-being and Body Mass Index (BMI) throughout various developmental stages of childhood. It delves into how emotional regulation, attachment dynamics, and social relationships correlate with obesity from early childhood to adolescence. Highlighting key findings, such as the negative correlation between psychological resilience and higher BMI in young children, the impact of social relationships on obesity risk during pre-adolescence, and the link between adaptive emotional strategies and higher BMI in adolescents, this study brings to the fore the nuanced relationship between psychological factors and obesity. Psychological metrics in this study were obtained via referenced questionnaires, leading up to the utilization of the interdisciplinary process of bioinformatics. Utilizing the interdisciplinary process of bioinformatics, this research synergizes psychometric and biomedical data to unearth psychological markers critical for crafting targeted, age-appropriate interventions. This study advocates for a holistic healthcare approach, emphasizing the integration of psychological support within obesity prevention and management strategies, thereby underscoring the indispensable role of psychological factors in the fight against childhood obesity. The application of bioinformatics methods to analyze complex datasets demonstrates how collaboration across medical specialties can enrich our understanding and response to childhood obesity, contributing significantly to the development of comprehensive, bioinformatics-enhanced healthcare solutions.

1. Introduction

Childhood obesity is a critical public health concern that has become increasingly prevalent, posing significant risks for chronic physical and mental health conditions [1]. This complex condition is influenced by an interplay of genetic, environmental, and behavioral factors, with emerging research highlighting the substantial impact of psychological health on a child’s risk of developing obesity [2]. The present study aims to dissect this intricate relationship by examining psychological predictors of childhood obesity, with a unique focus on how these factors interact across different developmental stages.
The psychological landscape of childhood obesity is nuanced, with various factors such as self-esteem, body image, and emotional regulation playing critical roles in children’s eating behaviors and physical activity levels [3]. However, despite the known associations between psychological distress and obesity, there is a lack of research systematically analyzing these factors through the developmental trajectory of childhood [4]. This research gap underscores the need for a study that not only identifies psychological predictors of obesity but also understands how they manifest and evolve from early childhood to adolescence.
Accordingly, this study is designed to fill the existing gap by investigating the psychological determinants of obesity in a developmental context. The objectives are to delineate the psychological characteristics that correlate with obesity and to track these associations through the critical stages of child development. Such an approach is critical for developing age-appropriate interventions and could have far-reaching implications for pediatric health care [5].
The literature points to a bidirectional relationship between obesity and psychological health, with obesity increasing the risk of psychological issues and vice versa [6]. Our study draws from this existing knowledge base, aiming to expand on it by using longitudinal data to trace the progression of psychological factors and their influence on body weight throughout childhood. This longitudinal aspect is vital, as it allows for the observation of how early psychological patterns may predict later obesity, potentially offering new insights into critical periods for intervention [7].
Psychological factors such as stress, anxiety, and depression have been shown to contribute to the development of obesity, often through mechanisms like emotional eating and reduced physical activity [8]. Yet, the impact of these factors may vary by developmental stage due to the evolving cognitive, emotional, and social capacities of children as they grow [9]. Recognizing these developmental differences is essential for tailoring interventions that are developmentally appropriate and thus more likely to be effective.
In addressing these issues, the study utilizes a bioinformatic approach to analyze complex datasets, applying advanced statistical methods to unravel the relationships between psychological health and obesity across different ages [10]. By situating the research within the broader context of bioinformatics and public health, this study not only seeks to elucidate the psychological aspects of childhood obesity but also to offer a data-driven foundation for future interventions [11]. The expected outcomes include the identification of psychological markers that could serve as targets for early prevention efforts, thus contributing to the overarching goal of reducing the prevalence and impact of childhood obesity [12].
In sum, this introduction lays the groundwork for a comprehensive analysis of the psychological determinants of childhood obesity, viewed through the lens of developmental stages. The findings from this research are anticipated to provide valuable insights for healthcare professionals and policymakers, informing strategies to combat the childhood obesity epidemic with a heightened awareness of the psychological dimensions involved [13].
The escalating issue of childhood obesity extends beyond individual choices, deeply influenced by environmental factors. This research suggests that psychological factors such as Affect Dysregulation and attachment styles play a pivotal role in determining the risk of obesity in children. It aims to explore these psychological aspects and to uncover their significant, yet often overlooked, impact on child health.
Affect Dysregulation, referring to the ability to regulate emotional responses, can indirectly influence children’s eating habits and stress management, which are closely linked to weight gain. Similarly, issues related to attachment anxiety and avoidance could lead to unhealthy eating behaviors and lifestyle choices in children. These psychological factors are believed to have varying effects throughout different stages of childhood and adolescence.
The study utilizes advanced bioinformatics tools to analyze complex datasets that include psychological evaluations and biometric measurements. This method helps identify patterns and correlations not easily detected through conventional statistical analysis. By applying bioinformatics, the research aims to offer a comprehensive perspective on how psychological health impacts and possibly forecasts obesity risk in children.
By bridging psychological constructs with physical health outcomes, the research is positioned to offer new perspectives on the prevention and management of childhood obesity. It stands to inform intervention strategies that can be implemented by healthcare professionals, targeting not just the children in clinical settings but also supporting parents in cultivating a home environment conducive to psychological and physical well-being.

2. Materials and Methods

This is an ongoing cross-sectional study of a pediatric clinical population conducted by the Child and Adolescent Psychiatric Department in collaboration with the Endocrinology Outpatient Clinic and the Pediatric Clinic of Penteli General Children’s Hospital. This study explored the links between psychological well-being and body weight among a diverse cohort of children aged 5–16 years. Our participants were divided into two groups based on their Body Mass Index (BMI): one consisting of overweight and obese children (experimental group) and the other comprising children with a BMI within the normal range (control group). Recruitment was conducted across hospital outpatient and inpatient settings to ensure representation across a broad demographic and health spectrum.
Before their participation, detailed information about the study’s aims and procedures was provided to both the children and their guardians by our research team. This briefing highlighted the investigation’s focus on the interconnections between psychological factors and body weight. Ethical adherence was a cornerstone of our methodology, with informed consent and child assent obtained in alignment with established ethical standards. Precise measurements of height, weight, and BMI complemented comprehensive documentation of each participant’s medical history.
To delve deeper into the psychological landscape, participants were asked to complete a sequence of self-report questionnaires. These tools were selected for their robustness in assessing critical psychological dimensions:
  • Strengths and Difficulties Questionnaire (SDQ) by Goodman R (1997), which provides insight into emotional and behavioral problems. (Emotional Problems Scale, Conduct Problems Scale, Hyperactivity Scale, Peer Problems Scale, Prosocial Scale, Total Difficulties score, Externalizing and Internalizing Scores) [14].
  • The Adolescent Anxiety and Avoidant Attachment Inventory (AAAAI) by Moretti (2015) examines the nuances of adolescent attachment (attachment anxiety, attachment avoidance) [15].
  • The Affect Regulation Checklist (ARC) by Moretti (2003) focuses on Affect Dysregulation and its roles in behavior (Affect Dysregulation, Affect Suppression, Adaptive Reflection) [16].
These instruments allowed for a multifaceted assessment of attachment quality, emotional regulation, and emotional or behavioral issues. By integrating these psychological constructs with biometric data, our study was poised to perform an in-depth analysis of the potential contributions of these factors to increased body weight among pediatric populations.
To address potential concerns related to the use of self-report questionnaires among participants across diverse developmental stages (8–10, 11–12, and 12–16 years), our study implemented specific methodological safeguards. Recognizing the critical challenge of ensuring accurate comprehension among younger cohorts, the questionnaires were carefully designed with age-appropriate wording and structured to facilitate understanding across the specified age ranges. To further mitigate risks associated with self-reporting and to enhance the reliability of our findings, a qualified specialist was made available during the administration of the questionnaires. This specialist was equipped to provide necessary clarifications tailored to the developmental level of the participants, ensuring that all questions were comprehended correctly without introducing bias. Such proactive measures underscore our commitment to methodological integrity, aiming to strengthen the validity of the responses obtained and to address potential limitations inherent in questionnaire-based research involving younger populations.
The collected data set the stage for a rigorous analysis aimed at unraveling the intricate dynamics between psychological health and obesity in children and adolescents. Through this methodological framework, our goal was to identify psychosocial markers for early intervention, potentially mitigating the risk and prevalence of childhood obesity. This approach reflects a commitment to advancing understanding in the field and contributing to the development of targeted strategies for promoting healthier outcomes in pediatric health.

2.1. Psychological Measures and BMI in Early Childhood (8–11 Years Old)

The dataset consists of 36 children, which includes 26 girls and 10 boys. Within the group, 23 children are classified as ‘Healthy’, 6 as ‘Overweight’, and 7 as ‘Obese’. The mean and standard deviation (SD) of Body Mass Index (BMI) for the ‘Healthy’ category is 16.39 ± 1.24, for the ‘Overweight’ category is 20.17 ± 1.06, and for the ‘Obese’ category is 23.29 ± 1.47. Across all categories, the overall mean BMI is 18.36 with an SD of ±3.06.
The dataset contains several variables that are associated with both psychological measures and biometric data of children aged between 8 and 11 years. The variables included in the dataset are as follows:

2.1.1. Psychological Metrics

  • Affect Dysregulation Score
This score quantifies a child’s difficulty in managing emotional responses to various stimuli. High scores indicate greater challenges in emotional regulation, potentially leading to adverse reactions in stressful situations or difficulties in calming down after an emotional event. Affect Dysregulation is associated with a variety of mental health issues and can impact physical health and behavior, including eating habits and activity levels [17].
2.
Affect Suppression Score
This reflects the extent to which individuals consciously attempt to suppress their emotional expressions. Higher scores suggest a greater tendency toward hiding or inhibiting emotional displays, which can be a coping strategy to manage social interactions but may also lead to psychological distress and physical health problems if overused [18].
3.
Adaptive Reflection Score
This measures the ability to reflect on and adaptively manage one’s emotions and thoughts. This involves a more mindful approach to dealing with emotional experiences, promoting better emotional intelligence, problem-solving, and coping strategies. High scores indicate a healthier emotional processing style that can mitigate stress-related impacts on health and behavior [19].

2.1.2. Biometric and Demographic Data

  • BMI Category: This categorizes the child’s weight status based on BMI calculations, divided into “Healthy”, “Overweight”, and “Obese” categories according to standardized pediatric BMI percentiles [20]. This source provides guidelines for interpreting BMI in children and adolescents, defining the thresholds for various weight statuses categories.
  • BMI (Body Mass Index): A numerical value calculated from a child’s weight and height, which provides a reliable indicator of body fatness for most children and adolescents. BMI is used to screen for weight categories that may lead to health problems but are not indicative of the body fatness or health of an individual [21].
  • BMI Percentile: This represents the child’s BMI relative to peers of the same age and sex, providing a percentile ranking that indicates the distribution of BMI in a reference population. This helps in understanding whether a child is within the expected range of body weight for their age group [22]. This document details the methodology behind the growth charts used to determine BMI percentiles for children and adolescents.
  • Gender: This indicates the biological sex of the child (male or female). This demographic variable is crucial for interpreting BMI percentiles, which vary by gender, and can also be relevant in the analysis of psychological measures due to differences in emotional expression and regulation across genders [23].
These detailed attribute descriptions, grounded in psychological and biometric research, provide a comprehensive understanding of the dataset’s variables. The population represented in this dataset comprises children in the pre-adolescent developmental stage, a critical period where psychological and physical health patterns begin to emerge and solidify. These data could be used to explore the relationships between psychological well-being and obesity risk in children.
This dataset allows for the analysis of how psychological factors related to obesity during this developmental stage and could be instrumental in identifying early predictors of obesity. It may also help in understanding how emotional regulation skills are associated with weight status in children. For a more complete methodology, additional details about how the scores were obtained, the sample size, the geographical location, and the socio-economic background of the participants would also be necessary.
The dataset for children aged 8–11 years old encompasses a variety of psychological and biometric measures, collected through questionnaires. This data subset specifically aims to investigate the interplay between psychological well-being and physical health, as indicated by Body Mass Index (BMI) categories and percentiles, across 36 participants.
Numerically, the dataset details scores on Affect Dysregulation and Suppression, as well as Adaptive Reflection abilities. On average, children exhibit a moderate level of Affect Dysregulation (mean = 2.65, SD = 0.89) and Suppression (mean = 2.35, SD = 0.82), with Adaptive Reflection also showing a moderate mean score of 3.20 (SD = 0.87). The BMI values range from 13.5 to 26.1, with an average BMI of 18.36 (SD = 3.10), reflecting a broad spectrum of body weights. The BMI percentiles, ranging from 6 to 98.3, with a mean of 62.65 (SD = 29.17), further contextualizing the children’s BMI concerning age and gender norms.
Categorically, the dataset reveals ‘Healthy’ as the predominant BMI Category, represented by 23 of the 36 children, indicating a majority within normal weight parameters for their age group. Gender distribution within this cohort leans towards females, comprising 26 out of 36 participants.

2.1.3. Methodological Approach

In the present study, we analyzed the data collected from questionnaires filled out by children aged 8–11. These questionnaires encompassed a range of psychological measures, including Affect Dysregulation score, Affect Suppression score, and Adaptive Reflection. Alongside these psychological metrics, data on the children’s Body Mass Index (BMI) categories, specific BMI values, and BMI percentiles were collected. The BMI categories were encoded into numerical values for analytical purposes: Healthy (0), Overweight (1), and Obese (2). The calculation of Body Mass Index (BMI) adhered to established formulas, which take into account the child’s weight and height. Subsequently, the derived BMI was contextualized using a percentile growth chart, which benchmarks an individual’s BMI against population standards adjusted for age and sex. This comparison enabled the categorization of children and adolescents into distinct weight status groups based on percentile ranges: a ‘Healthy weight’ classification corresponds to a BMI between the 5th and less than the 85th percentile, ‘Overweight’ is assigned for BMIs from the 85th to less than the 95th percentile, and ‘Obesity’ is designated for a BMI at or above the 95th percentile, as defined by clinical growth charts [20]. A Spearman correlation analysis was conducted to explore the relationship between children’s psychological measures and their BMI categories, aiming to uncover any significant associations that could illuminate the interplay between psychological well-being and physical health in this age group.

2.2. Navigating the Transitional Years: Psychological and Biometric Profiles in Pre-Teens (11–12 Years Old)

The dataset consists of 15 children, which includes 8 girls and 7 boys. Within the group, 7 children are classified as ‘Healthy’, 5 as ‘Overweight’, and 3 as ‘Obese’. The mean and standard deviation (SD) of Body Mass Index (BMI) for the ‘Healthy’ category is 18.99 ± 0.91, for the ‘Overweight’ category is 22.40 ± 0.92, and for the ‘Obese’ category is 31.43 ± 4.00. Across all categories, the overall mean BMI is 22.61 with an SD of ±5.06.
The dataset encompasses a variety of variables that intricately combine psychological assessments with biometric information for children aged 11 to 12 years. This comprehensive collection of data includes the following key elements:

2.2.1. Psychological Metrics

Apart from the Affect Dysregulation, Affect Suppression, and Adaptive Reflection scores that are described in Section 2.1.1, we also evaluated the following metrics:
  • Attachment Anxiety: This quantifies the extent of a child’s apprehension about being abandoned or rejected by attachment figures. Children with high levels of attachment anxiety may exhibit clinginess, neediness, or excessive seeking of reassurance, potentially affecting their ability to form healthy, independent relationships [24].
  • Attachment Avoidance: This assesses the extent to which a child distances themselves from emotional closeness and interdependence in relationships. Avoidant attachments can manifest as a preference for solitude, difficulty in trusting others, and a reluctance to express needs or seek comfort [25].
  • Emotional Problems Scale: This identifies the prevalence and intensity of internalizing emotional issues, including symptoms of anxiety, depression, and mood dysregulation. Recognizing these problems early can lead to timely interventions that may prevent the development of more serious mental health conditions [26].
  • Conduct Problems Scale: This evaluates the presence of externalizing behavioral problems, such as aggression, defiance, and antisocial behavior. This scale helps identify children who may benefit from behavioral interventions to improve social functioning and prevent escalation into more severe conduct disorders [27].
  • Hyperactivity Scale: This measures signs of excessive activity, impulsivity, and difficulty maintaining attention. Hyperactivity and attentional challenges are characteristic of ADHD but can also occur in other contexts. Addressing these symptoms can improve academic performance and social interactions [28].
  • Peer Problems: This scores the extent of difficulties a child encounters in forming and maintaining peer relationships. Challenges in this area can impact self-esteem, social skills development, and overall well-being, highlighting the importance of supportive interventions [29].
  • Prosocial Scale: This assesses the frequency and quality of positive, altruistic behaviors directed toward others, such as sharing, helping, and showing concern. Prosocial behavior is linked to social acceptance, relationship building, and emotional well-being [30].
  • Total Difficulty Score: This provides an overall assessment of a child’s emotional and behavioral challenges, integrating data across various domains. This comprehensive score can guide clinicians, educators, and parents in understanding the child’s needs and planning appropriate support or interventions [14].
  • Externalizing Score: This highlights behaviors that are outwardly directed and potentially disruptive, including aggressive actions and defiance. Identifying these behaviors early allows for targeted interventions that can help manage these tendencies and support positive social interactions [31].
  • Internalizing Score: This focuses on inwardly directed behaviors and emotions, such as withdrawal, anxiety, and depressive symptoms, offering insights into the child’s internal emotional state and potential need for psychological support [32].

2.2.2. Biometric and Demographic Data

Please refer to Section 2.1.2 for a detailed overview of the biometric and demographic data, including BMI Category, BMI, and BMI percentile. The criteria and methodologies outlined in that section apply equally to this age group, providing a consistent basis for evaluating weight status and its potential health implications across different developmental stages.
The dataset for children aged 11–12 years provides a detailed examination of various psychological measures, biometric data, and BMI measurements. Numerically, the dataset encompasses 15 entries, with measures such as Affect Dysregulation score and Affect Suppression score averaging at 2.27 and 2.48, respectively, indicating a range of emotional regulation capabilities among the children. Adaptive reflection scores average at 3.5, suggesting a moderate level of reflective thinking. The attachment anxiety and attachment avoidance scores hover around 1.96 and 2.04, pointing to varied levels of attachment-related anxieties and avoidance behaviors.
The Emotional Problems Scale and Conduct Problems Scale average scores are 2.33 and 2.13, respectively. The Hyperactivity Scale averages at 3.07, with Peer Problems averaging at 0.87, indicating a relatively low level of peer-related issues. The Prosocial Scale, with an average of 8.4, suggests a high level of prosocial behavior, and the Total Difficulty score averages at 8.4. The Externalizing score and Internalizing score averages at 5.2 and 3.2, respectively, highlighting externalized behaviors and internalized emotions. The BMI data, with an average of 22.61 and a percentile average of 81.55, indicate a diverse range of physical well-being among the children.
Categorically, the dataset reveals that most children fall into the “Healthy” BMI Category, with females slightly outnumbering males. This comprehensive dataset not only provides insight into the psychological well-being of children aged 11–12 but also correlates these findings with their physical health, represented by BMI and its percentile. These data underscore the intricate interplay between psychological health and physical well-being in children, serving as a valuable resource for further research into child development and health.

2.2.3. Methodological Approach

The study utilized data collected through questionnaires completed by children, focusing on a range of psychological measures including Affect Dysregulation score, Affect Suppression score, Adaptive Reflection, attachment anxiety, attachment avoidance, Emotional Problems Scale, Conduct Problems Scale, Hyperactivity Scale, Peer Problems, Prosocial Scale, Total Difficulty score, Externalizing score, and Internalizing score. In addition, data on the children’s BMI Category, BMI, and BMI percentile were included to explore potential correlations. The BMI categories were encoded into numerical values (HEALTHY: 0, OVERWEIGHT: 1, OBESE: 2) to facilitate statistical analysis. Spearman’s rank correlation coefficient was used to assess the relationship between the psychological measures and the BMI Category Code, providing insights into how these variables may be interconnected.

2.3. Beyond the Threshold: Delving into the Psychological and Biometric Terrain of Early Adolescents (12–16 Years Old)

The dataset consists of 32 children, which includes 16 girls and 16 boys. Within the group, 18 children are classified as ‘Healthy’, 7 as ‘Overweight’, and 7 as ‘Obese’. The mean and standard deviation (SD) of Body Mass Index (BMI) for the ‘Healthy’ category is 20.26 ± 1.73, for the ‘Overweight’ category is 23.69 ± 0.90, and for the ‘Obese’ category is 28.46 ± 1.56. Across all categories, the overall mean BMI is 22.80 with an SD of ±3.63.
This dataset integrates a broad array of variables, merging psychological evaluations and biometric indicators for children aged 12–16 years of age. It meticulously compiles the following critical components.

2.3.1. Psychological Metrics

The metrics that have been evaluated for this age group are the same as those described in Section 2.2.1.

2.3.2. Biometric and Demographic Data

For insights into the biometric and demographic data such as BMI Category, BMI, and BMI percentile, please see the comprehensive explanations provided in Section 2.1.2. The guidelines and approaches detailed there are uniformly applicable to this demographic segment as well, ensuring a uniform framework for assessing weight status and related health considerations throughout varying developmental phases.

2.3.3. Methodological Approach

For the dataset related to children above 12 years of age, encompassing various psychological measures and biometric data, we conducted a comprehensive analysis. This dataset, derived from questionnaires and biometric measures of the children, comprised 32 participants. The psychological assessments included Affect Dysregulation score, Affect Suppression score, Adaptive Reflection, attachment anxiety, attachment avoidance, Emotional Problems Scale, Conduct Problems Scale, Hyperactivity Scale, Peer Problems, Prosocial Scale, Total Difficulty score, Externalizing score, and Internalizing score. Additionally, it included biometric data: BMI and BMI percentile, alongside the categorical variables of BMI Category and Gender.
The numerical analysis revealed a mean Affect Dysregulation score of approximately 2.74, with a standard deviation suggesting moderate variability among participants. The Affect Suppression score averaged around 2.82, indicating a slight variation in how individuals suppress negative emotions. The Adaptive Reflection scores, reflecting the capacity for mentalization or understanding the mental states that underlie behavior, averaged 2.91. The attachment-related measures varied, with attachment anxiety averaging around 1.85 and attachment avoidance at about 2.86, hinting at the diverse attachment styles present within the sample.
The emotional and behavioral problem scales showed a range of responses, with the Emotional Problems Scale averaging 3.53 and the Conduct Problems Scale at 3.19. The hyperactivity scores averaged 4, suggesting varying degrees of attentional focus among the children. Social functioning, as measured by the Peer Problems Scale, had a mean score of 2.13, and the Prosocial Scale, indicating positive social behavior, averaged 7.72. The Total Difficulty score, a composite measure of psychological difficulties, was 12.84 on average, with Externalizing and Internalizing scores highlighting the external and internal psychological focus faced by the participants. The biometric data revealed an average BMI of 22.8, with a BMI percentile mean of 73.06, suggesting a healthy weight status for the majority but also indicating the presence of overweight and obese children in the cohort.
Categorically, the dataset was almost evenly split between genders, with a slight majority of male participants. The BMI Category distribution showed that most children were classified as healthy, with fewer instances of being overweight and obese.
This detailed dataset offers a nuanced view of the psychological and biometric profiles of children above 12 years of age, highlighting the interplay between mental health, social functioning, and physical health status. These findings underscore the importance of considering a wide range of factors when assessing the well-being of adolescents, pointing towards the need for holistic approaches to their health and development.
This dataset captures critical psychological and physical health variables during a pivotal developmental stage. The included psychological assessments cover a range of emotional and behavioral domains, which can be instrumental in understanding the multifaceted nature of childhood obesity. The attachment styles may provide insights into the children’s interpersonal relationships and how these might affect or be affected by their weight status.

3. Results

This section delves into the intricate relationships between psychological health and obesity across different developmental stages, employing bioinformatics techniques for data analysis.

3.1. Analysis in Early Childhood (Ages 8–11)

In the cohort of children aged 8–11, our Spearman correlation analysis examined the relationship between psychological well-being and BMI categories. Across the board for all three psychological measures under study, the analysis yielded negative correlations. Specifically, the Affect Dysregulation score negatively correlated with the BMI Category Code, displaying a coefficient of –0.083. This suggests a slight inverse relationship, where higher dysregulation scores may be marginally associated with lower BMI categories. The Affect Suppression score showed a more marked negative correlation at −0.127, insinuating that greater Affect Suppression could correlate with lower BMI categories. Similarly, Adaptive Reflection presented a negative correlation with a coefficient of −0.106, indicating that children with better Adaptive Reflection abilities might relate to healthier BMI categories.
These correlations were not statistically significant, with p-values spanning from 0.461 to 0.630, suggesting that the observed relationships may not be robust within the current sample. A heatmap was constructed to visually represent these findings (Figure 1), elucidating the direction and degree of associations among the variables studied. The intensity of the colors on the heatmap corresponds to the strength of the correlation, with cooler tones reflecting negative correlations. Notably, this visual tool underscores a modest negative correlation between Adaptive Reflection and the BMI Category Code (r = −0.11), pointing to the potential for children who are more reflectively adaptive to fall into lower BMI categories. Conversely, the Affect Suppression score’s weak negative correlation with the BMI Category Code (r = −0.13) signals a negligible association with BMI categories.
While these findings do not indicate strong evidence for a significant relationship between the psychological measures examined and BMI categories, they nevertheless hint at a pattern where emotional and cognitive processing may be linked with body weight classification. The consistently negative correlation coefficients, although statistically non-significant, suggest the need for further investigation into how emotional regulation and self-reflective capacities interact with obesity risk factors. This potential association could offer a deeper understanding of the multifaceted influences on childhood obesity and emphasize the importance of addressing psychological well-being in weight management strategies for children.
The pattern indicated by the negative correlations, though not confirmed by this study, raises interesting questions about the relationship between a child’s emotional health and their BMI Category. It suggests an avenue for future research where the role of psychological factors in physical health outcomes can be explored more comprehensively. Considering the formative nature of early childhood in setting the stage for lifelong habits and health, these preliminary indications reinforce the value of incorporating psychological evaluations into comprehensive health assessments for children. This integrated approach, acknowledging both mental and physical aspects of health, may lead to more personalized, effective, and empathetic interventions in the management and prevention of obesity in young children.
Figure 2 presents a comparative visualization of the average psychological scores across BMI categories for children aged 8–11. The bar graphs depict a trend where the Affect Dysregulation and Affect Suppression scores do not vary significantly across the BMI categories. However, the Adaptive Reflection scores show a slight decrease from the Healthy to Overweight and Obese categories. The graph indicates that while children’s ability to regulate and suppress affect might not differ markedly with their BMI status, their Adaptive Reflection abilities may be inversely related to higher BMI categories. This pattern suggests that children who are overweight or obese might experience challenges in effectively reflecting on and adapting to situations, which is an aspect worth exploring further in the context of obesity interventions.

3.2. Insights into Pre-Adolescence (Ages 11–12)

The analysis delved into the intricate connections between psychological measures and BMI categories among pre-adolescents aged 11–12. Our findings revealed a spectrum of correlation strengths, shedding light on how various psychological aspects may influence or reflect obesity risk in children. Notably, certain psychological factors such as attachment avoidance (−0.403) and Peer Problems (0.437) demonstrated noteworthy correlations with BMI categories. These results suggest a significant link, indicating that children experiencing difficulties in these areas might be at an increased risk of obesity. Additionally, the Emotional Problems Scale (0.398) and Internalizing score (0.416) exhibited strong correlations, pointing towards a potential association between emotional distress, internalizing behaviors, and variations in BMI.
Conversely, certain measures, like Adaptive Reflection (−0.179) and Prosocial Scale (−0.135), showed negative correlations. This pattern hints at an interesting dynamic: higher capabilities in reflective thinking and prosocial behavior might correlate with healthier BMI categories, suggesting that these psychological strengths could play a protective role against obesity.
Our comprehensive analysis extended to examining the interrelationships between a broad set of psychological variables and BMI categories, as visually represented in our heatmap (Figure 3). This visual aid highlights the Spearman correlation coefficients, offering a direct insight into the complex web of associations. The heatmap’s color intensity variation—ranging from negative to positive correlations—emphasizes the strength of these relationships, facilitating a deeper understanding of how psychological factors intertwine with BMI categorizations.
Despite the intriguing correlations observed, it is crucial to note that none reached statistical significance, with p-values ranging from 0.103 to 0.880. This outcome accentuates the complex interplay between psychological factors and BMI, suggesting a nuanced relationship that warrants further investigation. Particularly, the varied correlation strengths observed with the BMI Category Code underscore the multifaceted nature of obesity’s psychological underpinnings. Our analysis, especially the significant negative correlation noted between Adaptive Reflection and Affect Suppression score, underscores the importance of emotional processing skills in childhood development and health.
The lack of statistically significant correlations should not detract from the importance of these findings. Instead, it underscores the critical need for a multifaceted approach to addressing childhood obesity, one that incorporates a broad spectrum of psychological influences. The intricate relationships highlighted by our heatmap reinforce the necessity of considering psychological factors in the development of interventions aimed at combating obesity. By acknowledging the complex interactions that shape physical health outcomes, we can move towards more comprehensive, effective strategies that address the psychological and the physical aspects of obesity in children.
In Figure 4, we present a series of bar graphs that detail the average scores of twelve psychological measures as stratified by BMI Category for the children aged 11–12 in our study. Notably, the bar graphs illustrate that children with an ‘Obese’ BMI Category tend to have higher average scores on the Conduct Problems Scale, and Hyperactivity Scale and Total Difficulty score and Externalizing score, which may suggest a link between behavioral challenges and increased BMI. In contrast, the ‘Healthy’ BMI Category is associated with higher scores on the Adaptive Reflection and Prosocial Scales, potentially indicating better emotional regulation and social behaviors in children within normal weight ranges. These visual trends underscore the necessity of a multifaceted approach to childhood obesity that considers not only physical but also psychological dimensions. The differences in average scores across BMI categories emphasize the interrelated nature of mental health and obesity, hinting at the complex causative pathways that require further research and comprehensive intervention strategies.
This figure displays the mean scores of various psychological measures for children aged 11–12, categorized by BMI status. Each bar graph denotes the average score for a specific psychological construct, with comparisons drawn among children classified as ‘Healthy’, ‘Overweight’, and ‘Obese’. The visualized data underscore the potential links between psychological well-being and BMI categories, indicating focal points for targeted interventions. The bar graphs are annotated with the number of participants in each category, providing a clear and quantifiable reference for the depicted mean scores.

3.3. Adolescent Analysis (above 12 Years)

Our analysis revealed varied correlations between psychological measures and BMI categories. Notably, the Affect Dysregulation score (−0.281) and Affect Suppression score (−0.191) were negatively correlated with BMI categories, suggesting a decrease in these psychological problems as the BMI Category increases. Conversely, the Peer Problems (0.210) and Internalizing score (0.138) showed positive correlations, indicating an increase in these issues with higher BMI categories. The Adaptive Reflection (0.085) and Total Difficulty score (0.092) also displayed positive but weak correlations with BMI categories. In Figure 5, we present a heatmap of Spearman correlation coefficients that provides a visual summary of the relationships between a range of psychological variables and BMI Category Codes in children above the age of 12. The heatmap illustrates both the magnitude and the direction of correlations, with warmer colors (red) representing stronger positive correlations and cooler colors (blue), signifying stronger negative correlations. For instance, the scale of Emotional Problems shows a notable positive correlation with the BMI Category Code, suggesting that children with higher scores in emotional problems tend to have a higher BMI Category. In contrast, variables such as Affect Dysregulation and Internalizing scores exhibit negative correlations with the BMI Category Code, indicating an inverse relationship. This nuanced portrayal aids in identifying patterns and potential areas of focus for interventions aimed at addressing obesity and psychological distress in children.
This heatmap displays the Spearman correlation coefficients among various psychological measures and BMI Category Codes for children above 12 years of age. The color intensity represents the strength and direction of the correlation, with red indicating positive relationships and blue indicating negative relationships.
The Spearman correlation analysis performed on the dataset for children above the age of 12 revealed that the psychological measures studied did not show statistically significant correlations with the Body Mass Index (BMI) scores. The p-values for these correlations ranged from 0.118 to 0.790. The correlation coefficients varied from −0.281554 to 0.210402, indicating diverse, yet non-significant, relationships between the psychological constructs examined and BMI.
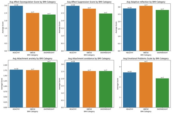
Figure 6 illustrates the average scores for various psychological measures across different Body Mass Index (BMI) categories among children above 12 years of age. The bar graphs represent the mean scores for Affect Dysregulation, Affect Suppression, Adaptive Reflection, attachment anxiety, attachment avoidance, and the Emotional Problems Scale, delineated by the BMI categories of Healthy, Overweight, and Obese. This visual representation allows for an immediate comparison of psychological patterns across the spectrum of weight status, hinting at the interrelation between psychological well-being and obesity in children.
Figure 7 continues the exploration of psychological dimensions related to BMI categories, presenting the average scores for Conduct Problems, Hyperactivity, Peer Problems, Prosocial Behavior, Total Difficulty, Externalizing Behaviors, and Internalizing Behaviors. Each bar graph provides insights into how children within each BMI classification score on these psychological measures, suggesting trends that may indicate broader behavioral and emotional challenges associated with childhood obesity. These plots underscore the potential impact of various psychosocial factors on children’s physical health outcomes.
The results of this research indicate some preliminary correlations between psychometric tests and biometric data across categories. These findings illuminate potential pathways through which psychological well-being and physical health intersect in the context of childhood obesity. However, further analysis is essential to delineate the pathological or normal nature of these characteristics, providing a foundation for more targeted interventions.

4. Discussion

The intricate relationship between psychological well-being and physical health during childhood underscores the potential of bioinformatics in revolutionizing public health and pediatric practices. This study leverages advanced data analytics to elucidate the complex dynamics underpinning obesity in children and adolescents, marking a significant stride toward integrative healthcare solutions.

4.1. Early Childhood (Ages 8–11): Leveraging Bioinformatics for Personalized Obesity Prevention

The foundational years of early childhood represent a pivotal stage in the development of physical health, emotional well-being, and lifestyle habits. Our application of bioinformatics techniques to this critical period has highlighted negative correlations between psychological well-being and Body Mass Index (BMI) categories. While these correlations did not reach statistical significance, with p-values ranging from 0.461405 to 0.630325, they offer a nuanced perspective on the subtle interconnections between psychological factors and obesity in early childhood. This understanding provides a valuable direction for the development of tailored obesity prevention strategies that can be personalized to the needs of individual children.
Incorporating bioinformatics into early childhood obesity prevention strategies enables the extraction of profound insights from complex behavioral data. By understanding the intricate links between psychological states such as affect regulation and Adaptive Reflection with physical health indicators, we can devise comprehensive, evidence-based interventions. These interventions are rooted in an in-depth comprehension of each child’s unique behavioral and emotional landscape and hold the promise of fostering sustainable lifestyle changes that are paramount not only for preventing obesity but also for establishing a lifelong trajectory of health and well-being.
As our study suggests, the future of pediatric healthcare may be significantly enhanced by the integration of bioinformatics, providing a powerful approach to designing highly personalized interventions. Moving forward, it is critical to continue refining these bioinformatic models and the associated digital health platforms. Collaborative efforts that bring together pediatricians, psychologists, data scientists, and technology developers are essential in advancing these innovative tools. Ensuring that these interventions are accessible, user-friendly, and effective will require ongoing research, development, and user engagement.
The integration of bioinformatics into pediatric healthcare marks a significant step towards a future where childhood obesity can be preemptively addressed. This approach not only aligns with the immediate goal of managing pediatric obesity but also echoes a broader commitment to nurturing healthier futures for our youngest generations. By effectively leveraging the insights gained from bioinformatics analyses, we can build robust, adaptable, and engaging platforms that resonate with children and their families, empowering them to take proactive steps towards health and well-being during these formative years.

4.2. Pre-Adolescence (Ages 11–12): Integrating Bioinformatics in Understanding Social Dynamics and Cognitive Behaviors

The transition from childhood to adolescence is a critical developmental period marked by profound changes in social relationships, emotional processing, and self-identity. Our study, situated at the intersection of bioinformatics and pediatric health, has illuminated the complex ways in which social relationships and emotional bonds during pre-adolescence could potentially influence Body Mass Index (BMI) categories and, by extension, obesity risk. While our Spearman correlation analysis did not yield statistically significant results, the varied correlation coefficients, from −0.402629 to 0.437186, highlight a nuanced potential link between these psychological factors and obesity risk in children.
Harnessing the analytical power of bioinformatics to scrutinize social network data has allowed us to obtain valuable insights into the complex interplay between peer interactions, emotional behaviors, and lifestyle choices such as eating behaviors and physical activity levels. Although the results did not reach statistical significance, with p-values ranging from 0.103194 to 0.879571, they suggest subtle patterns of association that may inform the development of targeted interventions. These patterns emphasize the potential of social dynamics as a pivotal factor in obesity prevention, indicating that interventions could be significantly enhanced by focusing on the social environment of pre-adolescents [33].
The application of bioinformatics allows for the nuanced analysis of large-scale datasets, enabling us to capture the subtleties of social relationships and their impact on health behaviors. Our methodology has the capability to identify complex patterns of social connectivity, isolation, or peer influence, which can be challenging to discern through traditional means. This approach advocates for a paradigm shift towards interventions rooted deeply in understanding and leveraging social dynamics to foster healthier behaviors and prevent obesity.
Additionally, the correlation coefficients observed—particularly the negative correlations between Adaptive Reflection and BMI—underscore the importance of cognitive and emotional skills in managing health and nutrition. Despite the lack of statistical significance, these findings invite the exploration of interactive, web-based interventions tailored to the unique psychological profiles of pre-adolescents. Digital interventions that offer personalized strategies to enhance decision-making, problem-solving, and emotional regulation skills can be optimized through bioinformatics techniques to analyze behavioral and emotional data, ensuring maximum relevance and impact [34].
The potential of bioinformatics extends beyond data analysis to the development of digital platforms that deliver interventions in an engaging, accessible, and effective manner. Integrating game design principles, social networking elements, and interactive learning modules can captivate the interest of pre-adolescents, encouraging active participation and sustained engagement. The adaptability of such programs allows for continuous refinement based on real-time data and feedback, enhancing their effectiveness in fostering healthy behaviors and attitudes toward nutrition and physical activity.
In essence, the pre-adolescent phase is a window of opportunity for impactful interventions that can alter the trajectory toward obesity. While the current study did not find significant correlations, the results contribute to our understanding of the complex web of social, emotional, and cognitive factors that are intertwined with obesity. Acknowledging the intricate nature of these relationships, we can develop more comprehensive, effective, and personalized strategies that combat obesity while supporting the overall well-being and development of children as they navigate the challenging transition to adolescence.

4.3. Adolescence (12–16 Years Old): Bioinformatics and the Complex Landscape of Obesity and Psychological Health

In the adolescent phase, the landscape of obesity is intertwined with the psychological and social dimensions of health. Our exploration into this critical period reveals a nuanced narrative that diverges from conventional perspectives on obesity and psychological well-being. Utilizing the advanced methodologies of bioinformatics to dissect the intricate web of behavioral and emotional data, our study uncovers a compelling association: a higher Body Mass Index (BMI) may not solely be a marker of health risk but also an indicator of adaptive emotional strategies. This revelation challenges the stigma often associated with obesity and opens new avenues for leveraging supportive technologies aimed at enhancing resilience and self-esteem among adolescents grappling with obesity-related issues [10].
The intricate relationship between increased BMI and psychological adaptability underscores the complexity of adolescent obesity. Far from being a straightforward issue of caloric imbalance, obesity in adolescents emerges as a multifaceted phenomenon, where psychological resilience plays a critical role. Adolescents with a higher BMI may develop sophisticated coping mechanisms to navigate the social challenges and emotional turmoil often associated with obesity. This adaptive capacity highlights the potential for interventions that not only address physical health but also bolster psychological resilience, facilitating a more holistic approach to obesity management.
Moreover, our findings illuminate the significant role of social dynamics in the context of adolescent obesity. The pronounced correlation between peer-related issues and higher BMI categories underscores the pressing need for interventions that transcend the individual, targeting the broader social network to foster inclusion, support, and understanding. In this regard, bioinformatics offers a powerful toolkit for identifying patterns and predictors of social isolation and peer challenges, guiding the development of community-based interventions that harness digital platforms for social connectivity. These platforms can host peer support groups, offer social networking features, and deliver targeted content designed to enhance social skills, reduce feelings of isolation, and promote a sense of belonging among adolescents facing obesity [12].
The advent of digital health technologies, powered by bioinformatics analyses, presents an unprecedented opportunity to address adolescent obesity in a nuanced and personalized manner. Through the aggregation and analysis of vast datasets encompassing genetic, behavioral, and environmental factors, bioinformatics enables the identification of unique risk profiles and the tailoring of interventions to meet the specific needs of adolescents. This approach not only enhances the efficacy of obesity interventions but also empowers adolescents to take an active role in their health journey, equipped with insights and tools tailored to their unique circumstances.
While the Spearman correlation analysis conducted did not reveal statistically significant relationships between the psychological measures and BMI scores, with p-values ranging from 0.118497 to 0.789778, the correlation coefficients themselves provide valuable insights. They offer a preliminary understanding of the potential relationships within the data, albeit not robust enough to be deemed statistically significant in this context. The range of coefficients, from −0.281554 to 0.210402, can guide future research by suggesting trends that merit further investigation with larger sample sizes or additional variables. They contribute to a descriptive analysis that can help form hypotheses for more in-depth studies, ultimately enriching the collective knowledge base and assisting researchers in refining their research questions and methodological approaches for subsequent studies.
In conclusion, the adolescence phase, characterized by significant physical, emotional, and social development, demands a reevaluation of our approach to obesity. Bioinformatics emerges as a critical ally in this endeavor, offering insights that challenge traditional narratives and pave the way for innovative interventions. By embracing the complexity of adolescent obesity and leveraging the power of bioinformatics, we can develop more effective, empathetic, and holistic strategies that address the physical, psychological, and social dimensions of health, ultimately fostering a healthier, more resilient generation of adolescents.

4.4. Implications for Interventions and Policy

The convergence of bioinformatics and healthcare heralds a paradigm shift in addressing childhood obesity. Our study emphasizes the necessity of a multifaceted approach that incorporates genetic, environmental, and behavioral data into comprehensive prevention and treatment strategies.
Educational Strategies: Deploying bioinformatic tools to personalize educational content can enhance understanding of and engagement with healthy lifestyles. Gamified apps and interactive platforms can make learning about nutrition and exercise appealing and effective for children [4].
Emotional and Social Support Systems: Leveraging data analytics to understand and support the emotional and social development of children is crucial. Predictive models can identify children at risk of psychological distress, enabling timely intervention [2].
Family and Community Engagement: Bioinformatics can facilitate the development of community health portals that offer resources, support networks, and personalized health recommendations, fostering an environment that supports healthy growth [34].
Adaptable and Culturally Sensitive Interventions: Advanced data analysis techniques can help tailor interventions to diverse cultural backgrounds, ensuring that obesity prevention programs are inclusive and effective across different populations [11].
Policy Initiatives: Integrating bioinformatic insights into public health policy can inform the creation of environments that promote physical and psychological well-being. Data-driven urban planning can ensure access to recreational spaces, healthy foods, and mental health resources [13].
A Shift in Paradigm: Embracing a bioinformatics-informed approach to healthcare enables a holistic view of childhood obesity, considering the totality of a child’s experience. This integrative model promises more effective and enduring solutions to one of the most pressing health challenges of our time [10].
In essence, the fusion of bioinformatics and healthcare offers unprecedented opportunities to combat childhood obesity through personalized, data-driven interventions. By acknowledging the complex interplay of psychological, social, and biological factors, we can forge a path towards a healthier future for our children.

5. Conclusions and Future Directions: Advancing Childhood Obesity Management through Bioinformatics

Our investigation embarked on an intricate journey through the realms of psychological health and childhood obesity, dissecting their interplay across various developmental stages with a keen eye on bioinformatics. By leveraging sophisticated bioinformatics tools, our analysis explored connections between psychological factors such as Affect Dysregulation, attachment styles, and Adaptive Reflection, and the pervasive issue of obesity in children. The insights obtained from this study underscore the significant, bidirectional nexus between psychological distress and obesity, enriched by the understanding that these relationships are deeply embedded within the fabric of familial and environmental contexts.
The application of bioinformatics has been instrumental in our exploration, enabling the parsing and interpretation of complex datasets to reveal patterns and correlations that traditional analytical methods might overlook. This approach has opened up new vistas for probing into the epigenetic mechanisms that potentially link psychological stressors with obesity, laying the groundwork for groundbreaking research and therapeutic innovations that transcend conventional boundaries.
As we conclude, it is essential to approach the translation of our initial findings into practice with caution. Given the exploratory phase of our research, our results, while offering valuable insights into the relationship between psychological factors and obesity, are preliminary. The complex and multifaceted nature of these interactions warrants further investigation through longitudinal studies and more extensive sample sizes to fully elucidate the underlying dynamics. Nevertheless, the promising implications for integrating psychological considerations into obesity prevention programs pave the way for novel approaches to combating childhood obesity.
Looking ahead, future research should build upon our initial insights and address the limitations of our study. A multi-pronged research strategy is recommended:
  • Longitudinal Research: Conduct long-term studies to trace the evolution of psychological factors and their impact on obesity over time, to clarify the causation and directionality of the relationships observed.
  • Intervention Effectiveness: Investigate the outcomes of interventions that integrate psychological components with traditional obesity prevention strategies to identify the most effective practices.
  • Interdisciplinary Collaboration: Foster a collaborative research environment that brings together diverse fields, including genetics, psychology, bioinformatics, and public health, to develop comprehensive and nuanced approaches to obesity prevention.
  • Bioinformatics and Precision Medicine: Utilize advanced bioinformatics to analyze complex and diverse datasets, enabling personalized interventions and enhancing our understanding of the multifaceted nature of childhood obesity.
Our study advocates for an interdisciplinary approach, integrating psychological assessments with biometric data—and, prospectively, epigenetic information—to forge holistic healthcare models. These models aim to harmonize psychological well-being with physical health, advocating for the inclusion of psychological support within obesity prevention and management frameworks. The path forward necessitates collaborative efforts across disciplines to devise innovative solutions to the multifaceted challenge of childhood obesity.
This study contributes a significant voice to the scholarly dialogue on childhood obesity and issues a clarion call to healthcare professionals, educators, and policymakers. It highlights the pivotal role of psychological factors in the onset and resolution of obesity, advocating for a comprehensive, bioinformatics-enhanced approach to pediatric healthcare that integrates psychological and physical health measures. Such an approach promises more effective and holistic healthcare solutions.
Acknowledging the limitations of our study, including the limited sample size and potential dataset imbalances, underscores the need for continued and expanded research efforts. A comprehensive understanding of our preliminary observations and robust characterization of the observed traits will be crucial as we aim to substantiate the findings and recommendations provided herein.
Our collective endeavor should focus on creating environments that foster both the psychological and physical well-being of our children. The integration of bioinformatics in the fight against childhood obesity offers a promising avenue toward a healthier and more resilient future generation. This paper serves as a beacon, guiding towards a deeper understanding of obesity’s psychological aspects and the potential of bioinformatics in crafting holistic and effective healthcare strategies.

Author Contributions

Conceptualization, A.H., G.G., O.F. and G.F.; methodology, A.H., G.G., O.F., A.B., A.K. and G.F.; software, G.F. and A.K.; validation, A.H., G.G., O.F., A.B., A.K. and G.F.; formal analysis, A.H., G.G., O.F., A.B., A.K. and G.F.; investigation, A.H., G.G., O.F., A.B., A.K. and G.F.; resources, A.H., G.G., O.F., A.B., A.K. and G.F.; data curation, A.H., G.G., O.F., A.B., A.K. and G.F.; writing—original draft preparation, A.H., G.G., O.F., A.B., A.K., E.K., A.A., G.Z., I.D. and G.F.; writing—review and editing, A.H., G.G., O.F., A.B., A.K., E.K., A.A., G.Z., I.D. and G.F.; visualization, G.F.; supervision, A.H., G.G. and O.F.; project administration, G.G., E.K. and I.D.; funding acquisition, G.Z. and E.K. All authors have read and agreed to the published version of the manuscript.

Funding

This research was funded by the ‘Multi-Pillar Framework for Children Anti-Obesity Behavior building on an EU biobank, Micro-Moments, and Mobile Recommendation Systems’, under the grant HORIZON-HLTH-2022-STAYHLTH-01 (BIO-STREAMS).

Institutional Review Board Statement

The study was conducted in accordance with the Declaration of Helsinki and approved by the Institutional Review Board of Penteli General Children’s Hospital (7133/27-6-2022, 4229/06.04.2023, 7719/26-6-2023).

Informed Consent Statement

Informed consent was obtained from all subjects involved in the study.

Data Availability Statement

The datasets presented in this article are not readily available because the data are part of an ongoing study.

Conflicts of Interest

The authors declare no conflicts of interest.

References

  1. Skinner, A.C.; Ravanbakht, S.N.; Skelton, J.A.; Perrin, E.M.; Armstrong, S.C. Prevalence of Obesity and Severe Obesity in US Children, 1999–2016. Pediatrics 2018, 141, e20173459. [Google Scholar] [CrossRef] [PubMed]
  2. Lobstein, T.; Jackson-Leach, R.; Moodie, M.L.; Hall, K.D.; Gortmaker, S.L.; Swinburn, B.A.; Wang, Y.; McPherson, K. Child and adolescent obesity: Part of a bigger picture. Lancet 2015, 385, 2510–2520. [Google Scholar] [CrossRef] [PubMed]
  3. Sanders, R.H.; Han, A.; Baker, J.S.; Cobley, S. Childhood obesity and its physical and psychological co-morbidities: A systematic review of Australian children and adolescents. Eur. J. Pediatr. 2015, 174, 715–746. [Google Scholar] [CrossRef] [PubMed]
  4. Quek, Y.H.; Tam, W.W.S.; Zhang, M.W.B.; Ho, R.C.M. Exploring the association between childhood and adolescent obesity and depression: A meta-analysis. Obes. Rev. 2017, 18, 742–754. [Google Scholar] [CrossRef]
  5. Llewellyn, C.H.; Trzaskowski, M.; Plomin, R.; Wardle, J. Finding the missing heritability in pediatric obesity: The contribution of genome-wide complex trait analysis. Int. J. Obes. 2013, 40, 1423–1428. [Google Scholar] [CrossRef] [PubMed]
  6. Russell-Mayhew, S.; McVey, G.; Bardick, A.; Ireland, A. Mental health, wellness, and childhood overweight/obesity. J. Obes. 2012, 2012, 281801. [Google Scholar] [CrossRef]
  7. Cunningham, S.A.; Kramer, M.R.; Narayan, K.M.V. Incidence of Childhood Obesity in the United States. N. Engl. J. Med. 2014, 370, 403–411. [Google Scholar] [CrossRef] [PubMed]
  8. Pervanidou, P.; Chrousos, G.P. Stress and obesity/metabolic syndrome in childhood and adolescence. Int. J. Pediatr. Obes. 2011, 6, 21–28. [Google Scholar] [CrossRef] [PubMed]
  9. Spear, B.A. Adolescent growth and development. J. Am. Diet. Assoc. 2006, 106, S23–S29. [Google Scholar] [CrossRef] [PubMed]
  10. Li, X.; Dunn, J.; Salins, D.; Zhou, G.; Zhou, W.; Rose, S.M.S.-F.; Perelman, D.; Colbert, E.; Runge, R.; Rego, S.; et al. Digital Health: Tracking Physiomes and Activity Using Wearable Biosensors Reveals Useful Health-Related Information. PLoS Biol. 2017, 15, e2001402. [Google Scholar] [CrossRef] [PubMed]
  11. Wang, Y.; Lobstein, T. Worldwide trends in childhood overweight and obesity. Int. J. Pediatr. Obes. 2006, 1, 11–25. [Google Scholar] [CrossRef]
  12. Simmonds, M.; Burch, J.; Llewellyn, A.; Griffiths, C.; Yang, H.; Owen, C.; Duffy, S.; Woolacott, N. The use of measures of obesity in childhood for predicting obesity and the development of obesity-related diseases in adulthood: A systematic review and meta-analysis. Health Technol. Assess. 2015, 19, 1–336. [Google Scholar] [CrossRef] [PubMed]
  13. Hales, C.M.; Carroll, M.D.; Fryar, C.D.; Ogden, C.L. Prevalence of Obesity and Severe Obesity among Adults: United States, 2017–2018; NCHS Data Brief; National Center for Health Statistics: Hyattsville, MD, USA, 2020; pp. 1–8. [Google Scholar]
  14. Goodman, R. The Strengths and Difficulties Questionnaire: A Research Note. J. Child. Psychol. Psychiatry 1997, 38, 581–586. [Google Scholar] [CrossRef]
  15. Moretti, M.M.; Obsuth, I.; Craig, S.G.; Bartolo, T. An attachment-based intervention for parents of adolescents at risk: Mechanisms of change. Attach. Hum. Dev. 2015, 17, 119–135. [Google Scholar] [CrossRef]
  16. Moretti, M.M. Affect Regulation Checklist; Unpublished Research Measure and Data; Simon Fraser University: Burnaby, BC, Canada, 2003. [Google Scholar]
  17. Gratz, K.L.; Roemer, L. Multidimensional assessment of emotion regulation and dysregulation: Development, factor structure, and initial validation of the difficulties in emotion regulation scale. J. Psychopathol. Behav. Assess. 2004, 26, 41–54. [Google Scholar] [CrossRef]
  18. Gross, J.J.; John, O.P. Individual differences in two emotion regulation processes: Implications for affect, relationships, and well-being. J. Personal. Soc. Psychol. 2003, 85, 348–362. [Google Scholar] [CrossRef]
  19. Shapiro, S.L.; Carlson, L.E.; Astin, J.A.; Freedman, B. Mechanisms of mindfulness. J. Clin. Psychol. 2006, 62, 373–386. [Google Scholar] [CrossRef]
  20. Centers for Disease Control and Prevention (CDC). Available online: https://www.cdc.gov/healthyweight/assessing/bmi/childrens_bmi/about_childrens_bmi.html (accessed on 3 February 2024).
  21. World Health Organization (WHO). Available online: https://www.who.int/data/gho/data/themes/topics/topic-details/GHO/body-mass-index (accessed on 3 February 2024).
  22. Kuczmarski, R.J.; Ogden, C.L.; Guo, S.S.; Grummer-Strawn, L.M.; Flegal, K.M.; Mei, Z.; Wei, R.; Curtin, L.R.; Roche, A.F.; Johnson, C.L. CDC Growth Charts for the United States: Methods and development. Vital Health Stat. 2000, 11, 1190. [Google Scholar]
  23. Chaplin, T.M.; Aldao, A. Gender differences in emotion expression in children: A meta-analytic review. Psychol. Bull. 2013, 139, 735–765. [Google Scholar] [CrossRef]
  24. Brennan, K.A.; Clark, C.L.; Shaver, P.R. Self-Report Measurement of Adult Attachment: An Integrative Overview. In Attachment Theory and Close Relationships; Simpson, J.A., Rholes, W.S., Eds.; Guilford Press: New York, NY, USA, 1998; pp. 46–76. [Google Scholar]
  25. Mikulincer, M.; Shaver, P.R. Attachment in Adulthood: Structure, Dynamics, and Change; Guilford Press: New York, NY, USA, 2007. [Google Scholar]
  26. Achenbach, T.M.; Rescorla, L.A. Manual for the ASEBA School-Age Forms and Profiles; University of Vermont Research Center for Children, Youth, & Families: Burlington, VT, USA, 2001. [Google Scholar]
  27. Frick, P.J. Conduct Disorders and Severe Antisocial Behavior; Plenum Press: New York, NY, USA, 1998. [Google Scholar]
  28. Barkley, R.A. ADHD and the Nature of Self-Control; Guilford Press: New York, NY, USA, 1997. [Google Scholar]
  29. Parker, J.G.; Asher, S.R. Friendship and friendship quality in middle childhood: Links with peer group acceptance and feelings of loneliness and social dissatisfaction. Dev. Psychol. 1993, 29, 611–621. [Google Scholar] [CrossRef]
  30. Eisenberg, N.; Fabes, R.A.; Spinrad, T.L. Prosocial Development. In Handbook of Child Psychology: Vol. 3, Social, Emotional, and Personality Development, 6th ed.; Wiley: New York, NY, USA, 2006; pp. 646–718. [Google Scholar]
  31. Achenbach, T.M. Manual for the Child Behavior Checklist/4–18 and 1991 Profile; University of Vermont, Department of Psychiatry: Burlington, VT, USA, 1991. [Google Scholar]
  32. Zahn-Waxler, C.; Klimes-Dougan, B.; Slattery, M.J. Internalizing problems of childhood and adolescence: Prospects, pitfalls, and progress in understanding the development of anxiety and depression. Dev. Psychopathol. 2000, 12, 443–466. [Google Scholar] [CrossRef]
  33. Frankel, L.A.; Hughes, S.O.; O’Connor, T.M.; Power, T.G.; Fisher, J.O.; Hazen, N.L. Parental Influences on Children’s Self-Regulation of Energy Intake: Insights from Developmental Literature on Emotion Regulation. J. Obes. 2012, 2012, 327259. [Google Scholar] [CrossRef]
  34. Rhee, K.E.; Lumeng, J.C.; Appugliese, D.P.; Kaciroti, N.; Bradley, R.H. Parenting styles and overweight status in first grade. Pediatrics 2006, 117, 2047–2054. [Google Scholar] [CrossRef] [PubMed]
Figure 1. Heatmap of Spearman correlation coefficients for psychological measures and BMI Category Code in children aged 8–11.
Figure 1. Heatmap of Spearman correlation coefficients for psychological measures and BMI Category Code in children aged 8–11.
Applsci 14 03208 g001
Figure 2. Average psychological scores by BMI Category for children aged 8–11. The figure displays the mean scores of Affect Dysregulation, Affect Suppression, and Adaptive Reflection for children in different BMI categories, with each bar denoting the average score for Healthy, Overweight, and Obese classifications. The number of participants in each category is annotated within the respective bars, offering an immediate visual comparison of the psychological attributes across the BMI spectrum.
Figure 2. Average psychological scores by BMI Category for children aged 8–11. The figure displays the mean scores of Affect Dysregulation, Affect Suppression, and Adaptive Reflection for children in different BMI categories, with each bar denoting the average score for Healthy, Overweight, and Obese classifications. The number of participants in each category is annotated within the respective bars, offering an immediate visual comparison of the psychological attributes across the BMI spectrum.
Applsci 14 03208 g002
Figure 3. Heatmap of Spearman correlation coefficients for children aged 11–12. This heatmap visualizes the Spearman correlation coefficients among various psychological measures and BMI categories for children aged 11–12. Each square represents the correlation between the variables on the horizontal and vertical axes, with the color intensity and direction indicating the strength and nature of the correlation (red for positive, blue for negative).
Figure 3. Heatmap of Spearman correlation coefficients for children aged 11–12. This heatmap visualizes the Spearman correlation coefficients among various psychological measures and BMI categories for children aged 11–12. Each square represents the correlation between the variables on the horizontal and vertical axes, with the color intensity and direction indicating the strength and nature of the correlation (red for positive, blue for negative).
Applsci 14 03208 g003
Figure 4. Average scores of psychological measures by BMI Category.
Figure 4. Average scores of psychological measures by BMI Category.
Applsci 14 03208 g004
Figure 5. Heatmap of Spearman correlation coefficients for children above age 12.
Figure 5. Heatmap of Spearman correlation coefficients for children above age 12.
Applsci 14 03208 g005
Figure 6. Average psychological scores by BMI Category for Affect Dysregulation, Affect Suppression, Adaptive Reflection, attachment anxiety, attachment avoidance, and Emotional Problems Scale. The graph illustrates the mean scores for each listed psychological measure according to BMI categories—Healthy, Overweight, and Obese—in children aged above 12. Each bar signifies the average score for the corresponding psychological domain within each BMI group. The number of subjects contributing to each mean score is denoted on top of the bars, providing a quantitative context to the observed patterns.
Figure 6. Average psychological scores by BMI Category for Affect Dysregulation, Affect Suppression, Adaptive Reflection, attachment anxiety, attachment avoidance, and Emotional Problems Scale. The graph illustrates the mean scores for each listed psychological measure according to BMI categories—Healthy, Overweight, and Obese—in children aged above 12. Each bar signifies the average score for the corresponding psychological domain within each BMI group. The number of subjects contributing to each mean score is denoted on top of the bars, providing a quantitative context to the observed patterns.
Applsci 14 03208 g006
Figure 7. Average scores for Conduct Problems, Hyperactivity, Peer Problems, Prosocial Scale, Total Difficulty, Externalizing score, and Internalizing score by BMI Category. This figure contrasts the mean scores for various psychological constructs across ‘Healthy’, ‘Overweight’, and ‘Obese’ BMI categories in children aged above 12. Each bar indicates the average score for that particular measure within a BMI Category. Annotations on each bar display the number of subjects evaluated, highlighting the sample size contributing to the mean score for each category.
Figure 7. Average scores for Conduct Problems, Hyperactivity, Peer Problems, Prosocial Scale, Total Difficulty, Externalizing score, and Internalizing score by BMI Category. This figure contrasts the mean scores for various psychological constructs across ‘Healthy’, ‘Overweight’, and ‘Obese’ BMI categories in children aged above 12. Each bar indicates the average score for that particular measure within a BMI Category. Annotations on each bar display the number of subjects evaluated, highlighting the sample size contributing to the mean score for each category.
Applsci 14 03208 g007
Disclaimer/Publisher’s Note: The statements, opinions and data contained in all publications are solely those of the individual author(s) and contributor(s) and not of MDPI and/or the editor(s). MDPI and/or the editor(s) disclaim responsibility for any injury to people or property resulting from any ideas, methods, instructions or products referred to in the content.

Share and Cite

MDPI and ACS Style

Feretzakis, G.; Harokopou, A.; Fafoula, O.; Balaska, A.; Koulountzou, A.; Katoikou, E.; Anastasiou, A.; Zagkavieros, G.; Dalainas, I.; Gkritzelas, G. The Impact of Psychological Health on Childhood Obesity: A Cross-Developmental Stage Analysis. Appl. Sci. 2024, 14, 3208. https://doi.org/10.3390/app14083208

AMA Style

Feretzakis G, Harokopou A, Fafoula O, Balaska A, Koulountzou A, Katoikou E, Anastasiou A, Zagkavieros G, Dalainas I, Gkritzelas G. The Impact of Psychological Health on Childhood Obesity: A Cross-Developmental Stage Analysis. Applied Sciences. 2024; 14(8):3208. https://doi.org/10.3390/app14083208

Chicago/Turabian Style

Feretzakis, Georgios, Athanasia Harokopou, Olga Fafoula, Athina Balaska, Antriana Koulountzou, Efstathia Katoikou, Athanasios Anastasiou, Georgios Zagkavieros, Ilias Dalainas, and Georgios Gkritzelas. 2024. "The Impact of Psychological Health on Childhood Obesity: A Cross-Developmental Stage Analysis" Applied Sciences 14, no. 8: 3208. https://doi.org/10.3390/app14083208

APA Style

Feretzakis, G., Harokopou, A., Fafoula, O., Balaska, A., Koulountzou, A., Katoikou, E., Anastasiou, A., Zagkavieros, G., Dalainas, I., & Gkritzelas, G. (2024). The Impact of Psychological Health on Childhood Obesity: A Cross-Developmental Stage Analysis. Applied Sciences, 14(8), 3208. https://doi.org/10.3390/app14083208

Note that from the first issue of 2016, this journal uses article numbers instead of page numbers. See further details here.

Article Metrics

Back to TopTop