Experimental Investigation of Airfoil Instability Tonal Noise Reduction Using Structured Porous Trailing Edges
Abstract
1. Introduction
2. Experimental Setup and Data Processing
2.1. Experimental Setup
2.2. Data Acquisition and Processing
3. Discussion of the Noise Results
3.1. Experimental Validation of the Baseline Airfoil
3.2. Effect of the Pore Diameter
3.3. Effect of the Pore Coverage
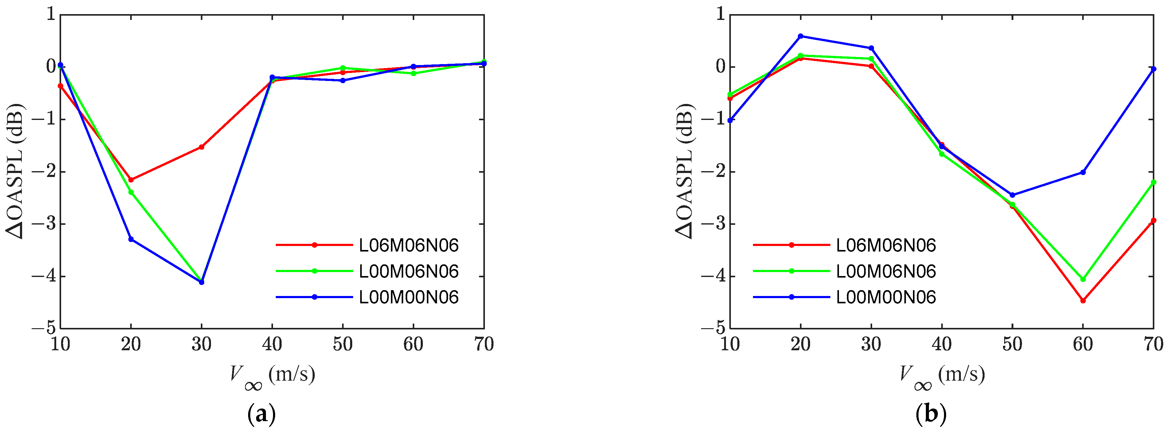
3.4. Effect of the Pore Position
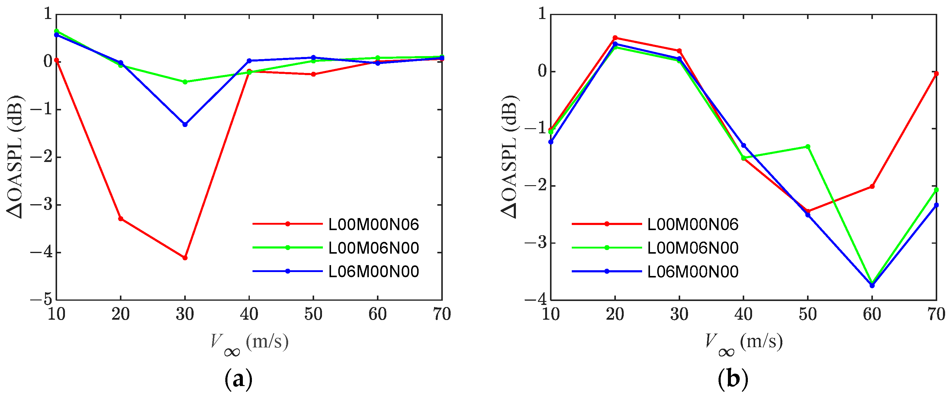
3.5. Effect of the Pore Arrangement Order
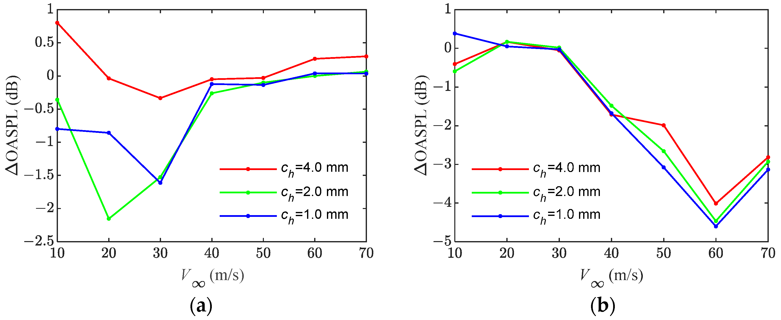
3.6. Effect of the Chordwise Spacing
3.7. Effect of the Spanwise Spacing
4. Conclusions
- (1)
- Structured porous trailing edges can reduce the noticeable tonal noise of the symmetrical NACA 0012 airfoil. Under the same pore coverage, larger noise reduction was generally obtained by structured porous edges with a larger diameter of sub-millimeter-scale pores and gradually sparsely arranged pores transiting from the solid body to that of the free flow.
- (2)
- Due to the sensitivity of airfoil tonal noise to changes in the free-stream velocity and the geometric angle of attack, as shown in Section 3.1, the design parameters for tonal noise reduction are slightly different at a zero angle of attack (α = 0°) and a non-zero angle of attack (α = 10°).
- (3)
- At α = 0°, the pressure difference between the pressure and suction sides close to the trailing edge is relatively small, especially at low free-stream velocities. Moreover, bluntness-related vortex shedding tonal noise and cavity tonal components are more likely to occur at this angle of attack. Therefore, larger airfoil tonal noise reduction is prone to the porous parameters of small pore coverage, small-to-moderate chordwise spacing, and moderate spanwise spacing. Meanwhile, structured pores are preferably distributed on the downstream of the airfoil.
- (4)
- At α = 10°, a sufficient pressure difference between the pressure and suction surfaces can easily drive airflow passing through both sides of the airfoil. Consequently, the optimal combination of the structured porous edge is a configuration with larger pore coverage, smaller chordwise spacing, and spanwise spacing.
Author Contributions
Funding
Institutional Review Board Statement
Informed Consent Statement
Data Availability Statement
Acknowledgments
Conflicts of Interest
References
- Brooks, T.F.; Pope, D.S.; Marcolini, M.A. Airfoil Self-Noise and Prediction; Technical Report NASA Technical Memorandum, No. NASA RP-1218; NASA Langley Research Center: Hampton, VA, USA, 1989. [Google Scholar]
- Jaiswal, P.; Pasco, Y.; Yakhina, G.; Moreau, S. Experimental investigation of aerofoil tonal noise at low Mach number. J. Fluid Mech. 2022, 932, A37.1–A37.31. [Google Scholar] [CrossRef]
- Yang, Y.N.; Pröbsting, S.; Li, P.Y.; Liu, Y.; Li, Y. A secondary modulation mechanism for aerofoil tonal self-noise generation. J. Fluid Mech. 2022, 943, A13.1–A13.37. [Google Scholar] [CrossRef]
- Wang, Y.; Zhao, K.; Lu, X.Y.; Song, Y.B.; Bennett, G.J. Bio-inspired aerodynamic noise control: A bibliographic review. Appl. Sci. 2019, 9, 2224. [Google Scholar] [CrossRef]
- Chong, T.P.; Joseph, P.; Gruber, M. An Experimental Study of Airfoil Instability Noise with Trailing Edge Serrations. In Proceedings of the 16th AIAA/CEAS Aeroacoustic Conference (31th AIAA Aeroacoustic Conference), Stockholm, Sweden, 7–9 June 2010. AIAA Paper 2010-3723. [Google Scholar]
- Chong, T.P.; Vathylakis, A.; Joseph, P.F.; Gruber, M. Self-Noise produced by an airfoil with nonflat plate trailing-edge serrations. AIAA J. 2013, 51, 2665–2677. [Google Scholar] [CrossRef]
- Chong, T.P.; Joseph, P. An experimental study of airfoil instability tonal noise with trailing edge serrations. J. Sound Vib. 2013, 332, 6335–6358. [Google Scholar] [CrossRef]
- Serpieri, J.; Gupta, M.; Pröbsting, S.; Scarano, F. Effect of Serrated Trailing Edge on Boundary Layer Instability Noise. In Proceedings of the 21st AIAA/CEAS Aeroacoustics Conference, Dallas, TX, USA, 22–26 June 2015. AIAA Paper 2015-2363. [Google Scholar]
- Herr, M.; Dobrzynski, W. Experimental investigations in low-noise trailing-edge design. AIAA J. 2005, 43, 1167–1175. [Google Scholar] [CrossRef]
- Herr, M. Design Criteria for Low-Noise Trailing-Edges. In Proceedings of the 13th AIAA/CEAS Aeroacoustics Conference (28th AIAA Aeroacoustics Conference), Rome, Italy, 21–23 May 2007. AIAA Paper 2007-3470. [Google Scholar]
- Wang, Y.; Lai, Q.R.; Liang, Y.; Song, Y.B.; Zheng, X. Experimental Study on Instability Tonal Noise Reduction using Trailing Edge Gradient Porous Materials. In Proceedings of the 2020 International Congress on Noise Control Engineering, Seoul, Republic of Korea, 23–26 August 2020. [Google Scholar]
- Wang, Y.; Hao, N.S.; Lu, X.Y.; Tong, F.; Song, Y.B. Airfoil self-noise reduction by gradient distributed porous trailing edges. J. Aerosp. Eng. 2021, 34, 04021075. [Google Scholar] [CrossRef]
- Jiang, C.Y.; Moreau, D.; de Silva, C.; Doolan, C. Noise generation mechanisms of a micro-tube porous trailing edge. J. Sound Vib. 2024, 571, 118085. [Google Scholar] [CrossRef]
- Arcondoulis, E.; Liu, Y.; Li, Z.Y.; Yang, Y.N.; Wang, Y. Structured porous material design for passive flow and noise control of cylinders in uniform flow. Materials 2019, 12, 2905. [Google Scholar] [CrossRef]
- Carpio, A.R.; Avallone, F.; Ragni, D.; Snellen, M.; van der Zwaag, S. Quantitative criteria to design optimal permeable trailing edges for noise abatement. J. Sound Vib. 2020, 485, 115596. [Google Scholar] [CrossRef]
- Zhang, M.H.; Chong, T.P. Experimental investigation of the impact of porous parameters on trailing-edge noise. J. Sound Vib. 2020, 489, 115694. [Google Scholar] [CrossRef]
- Zhang, M.H.; Chong, T.P. Effects of porous trailing edge on aerodynamic noise characteristics. Int. J. Aeroacoust. 2020, 19, 254–271. [Google Scholar] [CrossRef]
- Chong, T.P.; Vathylakis, A.; Joseph, P.F.; Gruber, M. On the Noise and Wake Flow of an Airfoil with Broken and Serrated Trailing Edges. In Proceedings of the 17th AIAA/CEAS Aeroacoustics Conference (32nd AIAA Aeroacoustics Conference), Portland, OG, USA, 5–8 June 2011. AIAA Paper 2011-2860. [Google Scholar]
- Nash, E.C.; Lowson, M.V.; McAlpine, A. Boundary-layer instability noise on aerofoils. J. Fluid Mech. 1999, 382, 27–61. [Google Scholar] [CrossRef]
- McAlpine, A.; Nash, E.C.; Lowson, M.V. On the generation of discrete frequency tones by the flow around an airfoil. J. Sound Vib. 1999, 222, 753–779. [Google Scholar] [CrossRef]
- Pröbsting, S.; Scarano, F.; Morris, S.C. Regimes of tonal noise on an airfoil at moderate Reynolds number. J. Fluid Mech. 2015, 780, 407–438. [Google Scholar] [CrossRef]
- Arcondoulis, E.; Doolan, C.J.; Brooks, L.A.; Zander, A.C. On the Generation of Airfoil Tonal Noise at Zero Angle of Attack and Low to Moderate Reynolds Number. In Proceedings of the 18th AIAA/CEAS Aeroacoustics Conference (33rd AIAA Aeroacoustics Conference), Colorado Springs, CO, USA, 4–6 June 2012. AIAA Paper 2012-2060. [Google Scholar]
- Plogmann, B.; Herrig, A.; Würz, W. Experimental investigations of a trailing edge noise feedback mechanism on a NACA 0012 airfoil. Exp. Fluids. 2013, 54, 1480. [Google Scholar] [CrossRef]
- Yakhina, G.R.; Roger, M.; Kholodov, P.V.; Nguyen, L.; Golubev, V.V. An Integrated Study of Laminar Separation Effect on Tonal Noise Generation in Transitional Bubble. In Proceedings of the 22nd AIAA/CEAS Aeroacoustics Conference, Lyon, France, 30 May–1 June 2016. AIAA Paper 2016-3022. [Google Scholar]
- Lowson, M.V.; Fiddes, S.P.; Nash, E.C. Laminar Boundary Layer Aeroacoustic Instabilities. In Proceedings of the 32nd Aerospace Sciences Meeting & Exhibit, Reno, NV, USA, 10–13 January 1994. AIAA Paper 1994-0358. [Google Scholar]
- Geyer, T.; Sarradj, E.; Fritzsche, C. Measurement of the noise generation at the trailing edge of porous airfoils. Exp. Fluids. 2010, 48, 291–308. [Google Scholar] [CrossRef]
- Geyer, T.; Sarradj, E.; Fritzsche, C. Porous airfoils: Noise reduction and boundary layer effects. Int. J. Aeroacoust. 2010, 9, 787–820. [Google Scholar] [CrossRef]
- Sarradj, E.; Geyer, T. Noise Generation by Porous Airfoils. In Proceedings of the 13th AIAA/CEAS Aeroacoustics Conference (28th AIAA Aeroacoustics Conference), Rome, Italy, 21–23 May 2007. AIAA Paper 2007-3719. [Google Scholar]
- Herr, M.; Rossignol, K.S.; Delfs, J.; Mößner, M.; Lippitz, N. Specification of Porous Materials for Low-Noise Trailing-Edge Applications. In Proceedings of the 20th AIAA/CEAS Aeroacoustics Conference, Atlanta, GA, USA, 16–20 June 2014. AIAA Paper 2014-3041. [Google Scholar]
- Sumesh, C.K.; Jothi, T.J.S. Aerodynamic noise characteristics of a thin airfoil with line distribution of holes adjacent to the trailing edge. Int. J. Aeroacoust. 2019, 18, 496–516. [Google Scholar] [CrossRef]
- Ali, S.A.S.; Azarpeyvand, M.; da Silva, C.R.I. Trailing-edge flow and noise control using porous treatments. J. Fluid Mech. 2018, 850, 83–119. [Google Scholar]
- Rossignol, K.S.; Suryadi, A.; Herr, M.; Schmidt, J.; Tychsen, J. Experimental investigation of porous materials for trailing-edge noise reduction. Int. J. Aeroacoust. 2020, 19, 365–384. [Google Scholar] [CrossRef]
- Liu, H.R.; Chen, N.S. Test on effects of porous permeable section on trailing edge noise. Acta Aeronaut. Et Astronaut. Sin. 2017, 38, 120746. [Google Scholar]






















| Configuration | dh (mm) | ch (mm) | sh (mm) | Subregions |
|---|---|---|---|---|
| L04M04N04 | 0.4 | 2.0 | 10.0 | L/M/N |
| L06M06N06 | 0.6 | 2.0 | 10.0 | L/M/N |
| L08M08N08 | 0.8 | 2.0 | 10.0 | L/M/N |
| L00M06N06 | 0.6 | 2.0 | 10.0 | M/N |
| L00M00N06 | 0.6 | 2.0 | 10.0 | N |
| L00M06N00 | 0.6 | 2.0 | 10.0 | M |
| L06M00N00 | 0.6 | 2.0 | 10.0 | L |
| L04M05N06 | 0.4, 0.5, 0.6 | 2.0 | 10.0 | L, M, N |
| L06M05N04 | 0.6, 0.5, 0.4 | 2.0 | 10.0 | L, M, N |
| L04M06N08 | 0.4, 0.6, 0.8 | 2.0 | 10.0 | L, M, N |
| L08M06N04 | 0.8, 0.6, 0.4 | 2.0 | 10.0 | L, M, N |
| L04M08N12 | 0.4, 0.8, 1.2 | 2.0 | 10.0 | L, M, N |
| L12M08N04 | 1.2, 0.8, 0.4 | 2.0 | 10.0 | L, M, N |
| L06M06N06-ch4 | 0.6 | 4.0 | 10.0 | L/M/N |
| L06M06N06-ch1 | 0.6 | 1.0 | 10.0 | L/M/N |
| L06M06N06-sh20 | 0.6 | 2.0 | 20.0 | L/M/N |
| L06M06N06-sh5 | 0.6 | 2.0 | 5.0 | L/M/N |
| Configuration | = 10 m/s | = 20 m/s | = 30 m/s | = 40 m/s | = 50 m/s | = 60 m/s | = 70 m/s |
|---|---|---|---|---|---|---|---|
| Baseline | 71.81 | 78.14 | 73.76 | 76.79 | 82.10 | 88.32 | 92.10 |
| L04M04N04 | 71.88 | 77.87 | 73.04 | 76.81 | 82.11 | 88.31 | 92.10 |
| L06M06N06 | 71.45 | 75.98 | 72.23 | 76.53 | 82.00 | 88.32 | 92.16 |
| L08M08N08 | 71.02 | 75.51 | 70.90 | 76.44 | 82.00 | 88.21 | 92.13 |
| L00M06N06 | 71.82 | 75.75 | 69.66 | 76.55 | 82.08 | 88.20 | 92.20 |
| L00M00N06 | 71.85 | 74.85 | 69.65 | 76.60 | 81.84 | 88.33 | 92.16 |
| L00M06N00 | 72.46 | 78.07 | 73.34 | 76.57 | 82.12 | 88.41 | 92.21 |
| L06M00N00 | 72.38 | 78.13 | 72.45 | 76.82 | 82.20 | 88.30 | 92.18 |
| L04M05N06 | 72.05 | 75.72 | 69.53 | 76.46 | 81.97 | 88.27 | 92.29 |
| L06M05N04 | 72.23 | 75.81 | 69.83 | 76.48 | 81.82 | 88.25 | 92.20 |
| L04M06N08 | 71.93 | 76.99 | 72.24 | 76.69 | 82.08 | 88.39 | 92.29 |
| L08M06N04 | 72.71 | 77.84 | 73.54 | 77.43 | 82.12 | 88.53 | 92.33 |
| L04M08N12 | 70.50 | 74.96 | 71.50 | 76.56 | 82.15 | 88.46 | 92.32 |
| L12M08N04 | 71.24 | 77.35 | 74.15 | 77.62 | 82.00 | 88.43 | 92.32 |
| L06M06N06-ch4 | 72.61 | 78.10 | 73.42 | 76.74 | 82.07 | 88.58 | 92.39 |
| L06M06N06-ch1 | 71.01 | 77.28 | 72.15 | 76.67 | 81.96 | 88.36 | 92.13 |
| L06M06N06-sh20 | 72.15 | 77.39 | 72.61 | 76.88 | 82.09 | 88.57 | 92.27 |
| L06M06N06-sh5 | 71.54 | 76.71 | 72.33 | 77.17 | 82.05 | 88.60 | 92.31 |
| Configuration | = 10 m/s | = 20 m/s | = 30 m/s | = 40 m/s | = 50 m/s | = 60 m/s | |
|---|---|---|---|---|---|---|---|
| Baseline | 43.39 | 57.30 | 69.98 | 80.87 | 89.02 | 96.36 | 98.73 |
| L04M04N04 | 42.77 | 57.53 | 70.01 | 79.12 | 86.94 | 93.74 | 96.74 |
| L06M06N06 | 42.80 | 57.47 | 70.00 | 79.39 | 86.36 | 91.89 | 95.80 |
| L08M08N08 | 42.55 | 57.36 | 69.85 | 79.09 | 85.99 | 91.70 | 95.67 |
| L00M06N06 | 42.87 | 57.52 | 70.14 | 79.21 | 86.39 | 92.30 | 96.53 |
| L00M00N06 | 42.37 | 57.89 | 70.34 | 79.35 | 86.57 | 94.34 | 98.69 |
| L00M06N00 | 42.33 | 57.73 | 70.17 | 79.36 | 87.71 | 92.65 | 96.66 |
| L06M00N00 | 42.16 | 57.79 | 70.21 | 79.58 | 86.51 | 92.61 | 96.39 |
| L04M05N06 | 42.69 | 57.80 | 70.09 | 79.13 | 86.03 | 92.95 | 96.51 |
| L06M05N04 | 40.72 | 57.81 | 70.23 | 79.24 | 86.30 | 92.07 | 95.81 |
| L04M06N08 | 42.69 | 57.66 | 70.05 | 79.19 | 86.62 | 92.31 | 96.05 |
| L08M06N04 | 42.32 | 57.81 | 70.26 | 79.68 | 86.28 | 91.69 | 95.44 |
| L04M08N12 | 42.34 | 57.71 | 70.11 | 79.18 | 85.92 | 92.00 | 95.69 |
| L12M08N04 | 42.73 | 57.59 | 70.20 | 79.35 | 86.02 | 91.90 | 95.72 |
| L06M06N06-ch4 | 42.98 | 57.47 | 69.93 | 79.16 | 87.03 | 92.34 | 95.91 |
| L06M06N06-ch1 | 43.77 | 57.35 | 69.95 | 79.19 | 85.94 | 91.75 | 95.59 |
| L06M06N06-sh20 | 42.08 | 57.64 | 70.10 | 79.23 | 86.18 | 93.41 | 97.72 |
| L06M06N06-sh5 | 43.98 | 57.29 | 69.84 | 78.91 | 85.70 | 91.56 | 95.64 |
Disclaimer/Publisher’s Note: The statements, opinions and data contained in all publications are solely those of the individual author(s) and contributor(s) and not of MDPI and/or the editor(s). MDPI and/or the editor(s) disclaim responsibility for any injury to people or property resulting from any ideas, methods, instructions or products referred to in the content. |
© 2024 by the authors. Licensee MDPI, Basel, Switzerland. This article is an open access article distributed under the terms and conditions of the Creative Commons Attribution (CC BY) license (https://creativecommons.org/licenses/by/4.0/).
Share and Cite
Wang, Y.; Zuo, K.; Guo, P.; Zhao, K.; Kopiev, V.F. Experimental Investigation of Airfoil Instability Tonal Noise Reduction Using Structured Porous Trailing Edges. Appl. Sci. 2024, 14, 2992. https://doi.org/10.3390/app14072992
Wang Y, Zuo K, Guo P, Zhao K, Kopiev VF. Experimental Investigation of Airfoil Instability Tonal Noise Reduction Using Structured Porous Trailing Edges. Applied Sciences. 2024; 14(7):2992. https://doi.org/10.3390/app14072992
Chicago/Turabian StyleWang, Yong, Kongcheng Zuo, Peng Guo, Kun Zhao, and Victor Feliksovich Kopiev. 2024. "Experimental Investigation of Airfoil Instability Tonal Noise Reduction Using Structured Porous Trailing Edges" Applied Sciences 14, no. 7: 2992. https://doi.org/10.3390/app14072992
APA StyleWang, Y., Zuo, K., Guo, P., Zhao, K., & Kopiev, V. F. (2024). Experimental Investigation of Airfoil Instability Tonal Noise Reduction Using Structured Porous Trailing Edges. Applied Sciences, 14(7), 2992. https://doi.org/10.3390/app14072992

