Next Article in Journal
Analysis and Experimental Tests of Potential New Mounting Techniques for Use in Vibration Testing of Electric Vehicle Battery Packs on Electromagnetic Exciters: Advantages and Disadvantages
Next Article in Special Issue
Structural Design of Pressurized Tube Based on the Discrete Element Method–Computational Fluid Dynamics Coupled Simulation
Previous Article in Journal
A Method for Evaluating the Spatial Layout of Fire Stations in Chemical Industrial Parks
Previous Article in Special Issue
Performance Development of Fluidic Oscillator Nozzle for Cleaning Autonomous-Driving Sensors
 
 
Font Type:
Arial Georgia Verdana
Font Size:
Aa Aa Aa
Line Spacing:
Column Width:
Background:
Article

Effect of Surface Roughness on Aerodynamic Loads of Bluff Body in Vicinity of Smoothed Moving Wall

by
Marcos André de Oliveira
1 and
Luiz Antonio Alcântara Pereira
2,*
1
Civil Engineering Institute, Federal University of Tocantins (UFT), Palmas 77001-090, TO, Brazil
2
Mechanical Engineering Institute, Federal University of Itajubá (UNIFEI), Itajubá 37500-903, MG, Brazil
*
Author to whom correspondence should be addressed.
Appl. Sci. 2024, 14(7), 2919; https://doi.org/10.3390/app14072919
Submission received: 29 February 2024 / Revised: 25 March 2024 / Accepted: 27 March 2024 / Published: 29 March 2024
(This article belongs to the Special Issue Advances and Applications of CFD (Computational Fluid Dynamics))

Abstract

This paper contributes to a new Lagrangian vortex method for the statistical control of turbulence in two-dimensional flow configurations around a rough circular cylinder in ground effect when considering higher subcritical Reynolds numbers, namely 3 × 104 ≤ Re ≤ 2 × 105. A smoothed moving wall (active control technique) is used to include the blockage effect in association with the variation in cylinder surface roughness (passive control technique), characterizing a hybrid approach. In contrast with the previous approaches of our research group, the rough cylinder surface is here geometrically constructed, and a new momentum source term is introduced and calculated for the investigated problem. The methodology is structured by coupling the random Discrete Vortex Method, the Lagrangian Dynamic Roughness Model, and the Large Eddy Simulation with turbulence closure using the truncated Second-Order Velocity Structure Function model. This methodological option has the advantage of dispensing with the use of both a refined near-wall mesh and wall functions. The disadvantage of costly processing is readily solved with Open Multi-Processing. The results reveal that intermediate and high roughness values are most efficient for Reynolds numbers on the orders of 105 and 104, respectively. In employing a moving wall, the transition from the large-gap to the intermediate-gap regime is satisfactorily characterized. For the conditions studied with the hybrid technique, it was concluded that the effect of roughness is preponderant and acts to anticipate the characteristics of a lower gap-to-diameter ratio regime, especially with regard to intermittency.

1. Introduction

The significant availability of studies on cylinder wakes [1,2,3,4,5,6], without the influence of other solid boundaries, is due to their importance to engineering and the simplicity of setting up laboratory arrangements—experimental or computational [7]. Downstream wakes of bluff bodies are complex because they are involved in the same problem of the interaction of three shear layers (the boundary layer developed from the body surface and the two shear layers formed from the separation points). In this framework, the flow can be divided into three regions of interest: within the boundary layer; in the undisturbed flow domain; and in the wake formed downstream of the body.
In practice, the phenomena surrounding the shedding of vortical structures are even more complex, as they coexist with phenomena related to turbulence, surface roughness, interference from other solid boundaries, and the influence of mixed convection heat transfer. According to Roshko [8], the problem of flows in bluff bodies remains almost entirely in the fields of empirical and descriptive knowledge. The evolution of the computational field has changed this point of view. Nowadays, Computational Fluid Dynamics—CFD—are widely used to study vortex shedding suppression and wake control, considering various suppression induction techniques [9].
The focus of this paper is the computational investigation of turbulent flow configurations with passive or hybrid control for inducing vortex suppression. Rashidi et al. [9] and Choi et al. [10] have classified wake control and vortex suppression techniques. These can be separated broadly into passive control and active control methods. Passive control is dependent on modifications to the geometry of the body, and active control needs some external source of energy. The control of vortex shedding through the proximity effects of a moving wall, for instance, can be classified as an active method [11] of controlling both the hydrodynamic boundary layer and viscous wake development behind a bluff body. The mentioned example was originary of experimental investigations resulting in the use of a belt moving [12,13,14].
In fluid–structure interactions, surface roughness (passive technique) can control the dynamics of vortex shedding by inducing suppression. The flow modification can be quantified in terms of the variation in hydrodynamic forces and vortex shedding frequency [15]. However, the flow in rough cylindrical bodies requires further investigation [16]. Zhou et al. [17] pondered that despite the efforts made, the fundamental mechanism of the different types of roughness lacks a thorough understanding. In order to reduce the drag force and improve aerodynamic performance, different roughness patterns have been applied on solid surfaces [9,18,19,20,21]. Experimentally, the k-type roughness, for widely spaced ribs or grooves, and the d-type roughness for compacted ribs or grooves can be used [21,22]. These were initially linked to the length scale involved [23]. However, the conceptualization and distinctive characteristics of these two types of roughness have been significantly discussed and expanded [21,22,24,25,26].
The characterization of roughness on solid surfaces represents a difficulty for computational simulations. The determining parameters for characterizing the roughness are as follows: the relative roughness ε / D ( ε is the average height of the roughness element, and D is the diameter of the cylinder); the protuberance shape; and the protuberance distribution on the surface (regular or irregular) [27]. The shape and protuberance distribution constitute what is known as the roughness texture [28]. Due to the thin boundary layers, small roughness heights have an important effect on the flow [29]. In marine structures, for example, there is an increase in surface roughness because of the growth of marine organisms over a period of time [30]. In addition, marine pipelines and risers are often under the action of flows at high Reynolds numbers, covering from the subcritical to the transcritical regime [31]. Therefore, Reynolds number values of O(104) and O(105) are typical in engineering applications.
Rough cylinder surfaces influencing the Strouhal number were experimentally investigated by Achenbach and Heinecke [32] for Reynolds numbers varying between 6 × 10 3 and 5 × 10 6 . A rapid increase in the Strouhal number was observed in critical flow conditions. For increasing the values of roughness, this increase in the Strouhal number became smaller and smaller. According to Sumer and Fredsøe [1], for cylinders with a relative roughness greater than 3 × 10 3 , the critical, supercritical, and upper transition flow regimes merge in a narrow region and change directly to the transcritical regime. This occurs at low Reynolds numbers. Achenbach and Heinecke [32] also presented experimental results for the behavior of the drag coefficient as a function of the Reynolds number ( C D × Re ) and identified that for a relative roughness ε / D 3 × 10 3 , the C D tended to converge to a value around 1.2 for the lower interval of the subcritical regime—this study had a limiting roughness of ε / D = 30 × 10 3 .
Another flow configuration of engineering interest is the condition where a cylindrical body is close to a wall [33,34,35]. Under this condition, vortex shedding is expected to depend on the Reynolds number, the gap-to-diameter ratio G / D , and the wall boundary layer characteristics [36]. The action of the flow under a pipe placed on the seabed can cause the drag of the soil (erosion) and establish suspended spans at a small height of the bottom, usually in the orders of 0.1 to 1D [1], for example.
Among the changes that the ground effect can cause in the flow around a stationary smooth cylinder, for Reynolds numbers of O(103), one can mention the following [1]: the suppression of vortex shedding for distances less than G / D = 0.3 ; the stagnation point moves to a lower angular position as the cylinder approaches the horizontal wall; the angular position of the cylinder separation point goes upstream on the free-flow side and downstream on the interference side of the wall; and the pressure is higher on the side of the cylinder under the free flow than on the interference side of the wall. Nishino et al. [13] reported the total cessation of vortex shedding in flows with Reynolds numbers of O(105) for G / D < 0.35 .
The use of a moving wall serves to eliminate the less influential effects of the boundary layer formed on the wall [12,37]. Zhang et al. [14] stated that the physically correct experimental method for modeling the ground effect is to employ a belt moving at free-flow velocity. However, the author considers that “It is difficult to maintain the correct moving ground condition. The rollers could vibrate and the belt may experience lateral movement. The negative pressure field generated by a model may lift the belt at high speed”. These aspects added to the difficulties of flow regimes at high Reynolds numbers [38], and the costs involved encourage computational investigations.
The suppression of vortex shedding under the action of the Venturi effect in turbulent flows around a smooth cylinder very close to a moving wall was numerically reported by Bimbato el al. [39] using a Discrete Vortex Method—DVM. Numerical studies on the influence of cylinder roughness height on the induction of vortex shedding suppression when it is allocated at various distances from a moving wall have been reported by Oliveira et al. [37] and Alcântara Pereira et al. [11]—the roughness model used was that of Bimbato et al. [27]; the previous approach of our research group did not geometrically construct the rough cylinder surface. Simulations [11,27,37] were conducted for a fixed Reynolds number of Re = 1 × 10 5 , in which the full cessation of the vortex shedding was successively captured. In other words, the Strouhal number completely disappeared, and the drag force was substantially reduced under surface roughness effects.
Recently, Oliveira and Alcântara Pereira [15] proposed a new technique to change the cutoff width of the vorticity characteristic distribution as a function of the Reynolds number, because until then, there was a significant overestimation of the drag coefficient [40] of the single circular cylinder for Reynolds numbers from the upper range of the subcritical regime [1]. This did not allow the capture of the drag crisis when applying the DVM. Greater difficulties have been observed for simulations in the critical and supercritical regimes, highlighting the high sensitivity of the flow to small fluctuations in turbulence [15,38,40].
Thus, the Lagrangian Dynamic Roughness Model (MLDRVL) with Large Eddy Simulation (LES) was extensively tested by Oliveira and Alcântara Pereira [15], and the results compared with the experimental results of Achenbach [29], Fage and Warsap [41], and Blevins [42], mainly to predict the drag crisis in rough circular cylinders in the Reynolds number range 2 × 10 4 Re 6 × 10 5 . The MLDRVL was proposed to impose refined boundary layer conditions with the simultaneous contribution of rough geometry constructed with uniform triangular elements and a small-scale momentum injection near the wall.
With regard to recent advances in CFD for flow studies on bluff bodies, work by Liu et al. [43] can be distinguished by the use of the transverse traveling wave wall control method used to inhibit vortex shedding from a fixed circular cylinder. Zhang et al. [44] used the spacing ratio to analyze the flow after three cylinders in an equilateral triangular arrangement. In the same direction, cylinder arrangement techniques have been combined with boundary layer control to influence the subsequent wake. For example, there is the side-by-side arrangement of rotating cylinders [45] and the tandem arrangement of rough cylinders [46]. In another direction, Xiong and Liu [47] adopted LESs to deal with the oscillating boundary in investigating the transient flow around an oscillating cylinder.
In addition to the study of bluff bodies, the DVM, aided with LES, has supported investigations into the behavior of aircraft vortex wakes under the influence of crosswinds in landing and take-off operations, without considering [48] or considering [49] the roughness of the airport runway. The conditions of the influence of heat transfer through mixed convection on the rebound of vortical structures when encountering a heated runway [50] were analyzed with the DVM without LESs. In this context, Carvalho et al. [49] used the roughness model of Bimbato et al. [27]. The roughness model chosen in this work (MLDRVL) differs from the model by Bimbato et al. [27] in the momentum injection strategy near the wall and addition of the construction of a rough geometry to the circular cylinder. Although both are Lagrangian approaches and use LES theory. Carvalho et al. [49] also presented a recent review concerning the need to reduce the computational time of vortex methods; the new algorithms have been associated with multipole expansions, parallel implementation with Compute Unified Device Architecture—CUDA—technologies, and the construction of a neural network description of Lagrangian vortices.
The purpose of this study was to adapt the model of Oliveira and Alcântara Pereira [15] to demonstrate a turbulence control technique for a Large Eddy Simulation combined with the Discrete Vortex Method. The new technique was then applied to capture the vortex shedding suppression from a surface cylinder with different roughness heights, namely 0.00110 ε / D 0.02 . The cylinder could then be placed close to a moving wall effect, with the flow governed by high Reynolds numbers in the range 3 × 10 4 Re 2 × 10 5 . The results are supported by experimental and numerical data from the literature, with good approximation. Parallel computing was implemented in the Open Multi-Processing—OpenMP—standard, aiming to keep computational processing within a manageable range by considering the high number of simulations and requirements for Lagrangian approaches.

2. Mathematical Formulation

2.1. Flow Model

The Discrete Vortex Method in its conventional form (disregarding the turbulence in the flow) is widely employed for solving two-dimensional, incompressible, unsteady flow problems around submerged bodies in a fluid domain [37]. To consider turbulence in the flow, the incompressible Navier–Stokes equations are filtered, resulting in the following transport equations:
u ¯ i x i = 0
  u ¯ i t +   u ¯ i   u ¯ j x j = 1 ρ p ¯ x i + x j ν + ν t u ¯ i x j + u ¯ j x i
where p ¯ is the pressure modified by turbulent kinetic energy, ν is the kinematic viscosity, and ν t is the eddy viscosity.
Mathematically, the vorticity is related to the curl of the velocity field. Physically, it is generated from a solid boundary due to fluid movement in the vicinity of the wall linked with the no-slip condition (viscous effects). The well-known vorticity transport equation in its two-dimensional dimensionless form is [11,15,37]
ω ¯ t + u ¯ ω ¯ = 1 Re + ν t 2 ω ¯
The equations for, separately, solving the problems of advection and diffusion vorticity are given by the viscous splitting technique [51], which is equivalent to solving Equation (2). The equations are as follows:
ω ¯ t + u ¯ ω ¯ = 0
ω ¯ t = 1 Re + ν t 2 ω ¯

2.2. Computational Arrangement

The essence of the vortex method is the generation of vorticity blobs on the surface of the body and the subsequent advective and diffusive transport of these to the fluid domain (Figure 1). The discretized vorticity field is governed by the following expression [52]:
ω x , t ω h x , t = i = 1 N v Γ i t ς σ i x x i t
where x i is the position of i-th vortex blob; Γ i is circulation strength; ς σ i is the cutoff function; and N v is the number of discrete vortices.
In taking σ to be the core size and k, the cut-off width, the cut-off function is inserted as a Gaussian distribution in the two-dimensional domain [53]:
ς σ i x = 1 k   π   σ 2 exp x 2 k   σ 2
In the present paper, the cylinder surface and the ground plane (with the moving wall effect) are discretized and computationally represented by flat panels of length Δ s p , over which sources with uniform density are distributed [54]. The number of panels of the cylinder’s representative geometry, N c , depends on the surface type, smooth or rough. The moving horizontal surface is divided into M modules, and each module is subdivided into N p m panels, totaling N p = M . N p m rectilinear elements were used to represent this solid boundary. The modules have a unit length represented by Δ S . In this insertion, the relative position of the stagnation point of the cylinder, x = 0 and y = 0 , coincides with the absolute position X = 3 M and Y = G / D + D / 2 , according to the model set out in Figure 1. G / D is the vertical distance between the lowest point of the cylinder surface and the horizontal wall (gap-to-diameter ratio).
Vortex blobs are conveniently used for the discretization of the vorticity field present in the fluid domain. The intensity of each nascent blob is obtained in order to guarantee the no-slip condition over the strategic points chosen on the solid boundary of the cylinder. These strategic points, called control points, are located at the midpoint of a surface segment. Singularities of type sources are generated at each time instant to guarantee the impenetrability condition (the Neumann boundary condition) on the control points of both boundaries, the cylinder and moving wall.
Therefore, the boundary conditions for the problem are related to the solid borders—cylinder (S1) and moving horizontal wall (S2)—and the boundary at great distances from the bodies (S), namely, the no-slip condition on the cylinder surface is u τ = u e τ = 0 in S1; the impenetrability condition on the cylinder surface and moving wall, u n = u e n = 0 in S1 and S2; and the undisturbed flow condition at large distances from the cylinder and on the moving wall, u U in S and S 2 . The undisturbed flow incident on the cylinder, U, is governed by the Reynolds number given by the relation R e = U D / v . Ω = S 1 S 2 S is the semi-infinite fluid domain. The moving wall can be positioned distant or close to the cylinder. The first option is so as not to interfere with the vortex shedding in the cylinder.
The rough geometry is constructed by creating a polygon with N c / 2 flat panels (equivalent to an auxiliary cylinder) and each panel of this polygon becomes the base of an isosceles triangular element of height ε . Thus, N c discretizing panels structure the final geometry, as shown in Figure 2.

2.3. The Discrete Vortex Method with Roughness and Turbulence Closure Models

In order to impose a refined boundary layer condition, the roughness model developed by Oliveira and Alcântara Pereira was employed [15], i.e., the Lagrangian Dynamic Roughness Model—MLDRVL. This technique consists of the construction of a cylinder with rough geometry represented by the distribution of isosceles triangular elements of height ε (Figure 2) concomitant with the introduction of a small-scale perturbation in the nascent blobs for an adequate induction of the change in the momentum in the flow adjacent to the cylinder wall. The no-slip condition at the wall and the induction of a velocity profile in the normal direction of a discretizing panel result in a mesh-free boundary layer model with no wall function. The roughness model is not applied on the ground plane with a moving wall effect.
The i-th nascent blob is initially generated with a circulation, Γ i , and allocated with a specific distance, σ o , in the normal direction, e n , from the control point of its reference panel. σ o is the core size, which is uniform for conventional vortex methods, and set to be σ o = 2 ν t [55]. In a second stage, in the same computational time interval, the core size is increased by a value, k p ν t , governed by the order of magnitude of the local effects to trigger the convenient modification of the intensity ( Γ i ± Δ Γ i ) and consequently change the momentum associated with this i-th element. k p is an adjustable proportionality constant for the particularities of the flow. This was set at k p = 1 according to Oliveira and Alcântara Pereira [15].
In the MLDRVL, the velocity induction of a vortex blob with a rough effect can be expressed as
U θ = Γ 2 π r 1 exp r 2 k σ r 2
where σ r = 2 ν + ν t t is the core size with a rough effect. Therefore, each nascent vortex blob has a different core size at birth and this remains constant in the simulation.
A linear algebraic equation for the vorticity generation using vortex blobs is set up to guarantee the no-slip boundary condition and can be expressed as
K 11 K 1 j K 1 k K 1 N c       K j 1 K j j K j k K j N c       K N c 1 K N c j K N c k K N c N c         Γ 1 Γ j Γ N c   = R H S V 1 R H S V j R H S V N c  
where K i k is the velocity induced over the j-th pivotal point by the k - t h vortex 1 < j < N c ; Γ is the circulation vector of nascent blob; and R H S V is the vortex’s right side column vector with a j - t h element given by
R H S V ( j ) = U c o s ( t h j ) V s i n ( t h j ) u j , i   c o s ( t h j ) v j , i s i n ( t h j )
where U and V are the components of the undisturbed flow velocity vector; u j , i and v j , i are the components of the total velocity induced by the viscous wake (discretized and represented by i = 1 , N V vortex blobs) at the j - t h pivotal point; and t h j is the orientation angle of the panel j - t h .
A line should be added to Equation (10) for global circulation conservation, such as
j = 1 N c Γ j = 0
In heat transfer, the term advection is used to represent the macroscopic motion of a fluid mass. As an analogy, each vortex blob is now advected with its own velocity, which is induced on the fluid, characterizing, thus, a purely Lagrangian description. Furthermore, for the solution of the advective part of the vorticity transport equation (Equation (4)), it is necessary to calculate the velocity field. The contributions to the total velocity of a vortex blob, u x , t , are due to the undisturbed incident flow, the solid boundaries (source panels representing both the cylinder and ground plane surfaces), and the viscous wake. To compute the vortex–vortex interaction, the velocity at any point of interest in the two-dimensional fluid domain is obtained by summing over all vortex blobs and inserting the discretized vorticity in the expression representing the Biot–Savart law.
u x , t = 1 2 π x x × ω x , t k ^ x x 2 d x
The eddy viscosity evaluation is performed by applying the truncated Second-Order Velocity Structure Function [56], according to the following expressions:
ν t x ,   Δ , t = 0.105 C k 3 / 2 Δ F ¯ 2 x , Δ , t
F ¯ 2 x ,   r , t = u ¯ x , t u ¯ x + r ,   t 2 ¯ r
where ν t x ,   Δ , t is the eddy viscosity in the physical space; C k = 1.4 is the Kolmogorov constant; F ¯ 2 is the Second-Order Velocity Structure Function; u ¯ x ,   t is the velocity at the point where turbulent activity must be defined; and u ¯ x + r ,   t is the velocity in the vicinity of that point, with distance r between each other.
In Eulerian approaches, the simplest way to estimate the spatial average is with respect to the six points to the position point x [57] for three-dimensional simulations and the four points in two-dimensional simulations. For the present Lagrangian approach, there is a convenient technique proposed by Alcântara Pereira et al. [11]: the vortex blobs, with velocities that are considered in the Second-Order Velocity Structure Function, must be properly located in a circular crown bounded by r i n t = 0.1 σ and r e x t = s m   σ , which are, respectively, the inner and outer radii around the i - t h vortex with core size σ and turbulent activity to be defined, as shown in Figure 3. The insertion of the inner radius is to eliminate the singularity in the velocity equation (Equation (8)). The turbulent viscosity is then defined locally and dynamically during the simulation.
On one hand, the vortex cloud advection is solved by applying the First-Order Advance Scheme presented by Euler [37], and, on the other hand, the molecular diffusion of the vorticity field is computed through a probabilistic technique known as the Random Advance Method [51]:
x t + Δ t = x t + u x , t Δ t + Z d
where Z d x d , y d is the contribution of turbulent diffusion, and the components, x d and y d , are defined in the following manner:
x d = 2 k Δ t 1 Re + ν t l n 1 P cos 2 π Q y d = 2 k Δ t 1 Re + ν t l n 1 P sin 2 π Q  
Here, P and Q are random numbers in the range between 0 and 1.
In the form of Equation (16), the diffusion problem is approximately resolved as in several other random vortex methods that require a modification of the intensity of the vorticity blobs or base functions [53].
Accidentally, some vortex blobs can migrate to the interior of the polygon discretizing the cylinder or to the inner half-plane of the moving wall, because of the random diffusion simulation, violating the impermeability boundary condition. In this work it was opted to use the method of reflecting vortex blobs out of the cylinder or out of the semi-plane of the horizontal wall. Consequently, in the next time step, the new circulation inserted in the fluid domain to restore the no-slip condition is redistributed to the nascent vortex blobs, maintaining the criterion of total circulation conservation. Much of the literature suggests that vortex blobs entering the body are eliminated or reflected by mirroring the nearest panel [40]. Because of the rough geometry, the vortex blobs are reflected considering the closest reference panel and are randomly allocated on the surface of the roughness element of that base panel. It is noteworthy that the distribution of vortex blobs between the rough elements, although it requires a careful method of reflection, contributes to an accurate boundary layer condition [15].
In this framework, large scales are solved through the interaction of the discrete vortex, and small scales can be defined by introducing eddy viscosity. The distributed aerodynamic loads (static pressure) and the integrated aerodynamic loads (drag force,   F D , and lift force,   F L ) are found by applying an integral formulation originating from a Poisson equation for the pressure. Thus, the contribution of all vortex blobs instantaneously constructing the viscous wake can be taken into account [58]. As a consequence of this choice, the pressure coefficient, C P j , for a j - th panel of the cylinder with distributed pressure Y j [59] is known by the formulation
C P j = 2 Y j + 1
whereas shear force contributes only a little proportion of the total drag force (less than 2%) for high Reynolds numbers [1,29,60] and becomes insignificant as the Reynolds number increases [60]; only the contribution of the pressure force [37] is considered for estimating the dimensionless integrated forces through the definitions of the drag and lift coefficients, respectively:
  C D = F D 1 2 ρ U 2 D
  C L = F L 1 2 ρ U 2 D
where ρ is the fluid density.
Numerically, Equations (18) and (19) can be expressed as follows, respectively:
C D = j = 1 Nc C P Δ s p j s i n t h j
C L = j = 1 Nc C P Δ s p j c o s t h j

2.4. Computational Details

The quantities and parameters that are input data for the numerical simulations, associated with the physical phenomenon or the numerical method, are as follows: the Reynolds number, Re ~ O ( 10 4 ) and Re ~ O ( 10 5 ) ; incident flow velocity in the X direction (see Figure 1), i.e., with zero angle of attack, α = 0 °; initial dimensionless core size, σ 0 = 2 Δ t / Re ; time increment, Δ t = 2 k a π / N c [61], equal to 0.05 [15]; number of flat panels for discretizing the bodies: N c = 104 panels for a smooth surface, N c = 48 panels for a rough surface [15], and N p = 100 panels for a moving wall (the total number of panels is N t = N c + N p in the presence of the ground effect; otherwise N t = N c ); averaged relative roughness ε / D ; cut-off width k; total simulation time t S = 50 for 1000 computational steps and t S = 100 for 2000 steps; and the gap-to-diameter ratio, G / D .
A value of 1000 was adopted for the large gap-to-diameter ratio, G / D = . The gap-to-diameter ratio G / D = 0.5 , which is the transition gap of the large-gap and intermediate-gap regimes, was set for the investigations of the ground effect linked with the variation in the mean roughness height. The dimensionless time interval adopted for calculating the average values of the circumferential pressure, drag, and lift coefficients is 15 t 50 or 15 t 100 , depending on the total simulation time adopted, and only complete oscillation cycles are considered in these intervals.

3. Results and Discussion

The integrated quantities and the frequency of vortex shedding due to the turbulent flow around the cylinder, i.e., C D , C L , and S t , were obtained to verify the responses of the coupled methods. The Strouhal number, S t , was estimated by performing a fast Fourier transform on the C L time history. The results of the computer code were previously validated by our research group [15] in comparison with experimental findings [29,41,42] from the literature. A good approximation of the experimental data was obtained.
The intrinsic characteristics of the turbulent flow around the cylinder away from the moving wall can be explained physically by interpreting the instantaneous distribution curve of the pressure coefficient on the discretized surface of the body using Gerrard’s interpretation [6], which conjectures that a growing vortex gaining circulation from the shear layer, which forms from the boundary layer separation on one side of the cylinder, becomes intense enough to attract the opposite shear layer through velocity induction. Conversely, the approaching flow with opposing vorticity, with a certain intensity, ceases the circulation supply of the growing vortex, and thus, it is disconnected from the shear layer and subsequently thrown downstream of the body, incorporating into the viscous wake.
The points indicated in Figure 4a correspond to times A (t = 46.95), B (t = 48.70), C (t = 50.60), D (t = 51.75), and E (t = 52.50), and the respective instantaneous distributions of the circumferential pressure coefficient are shown in Figure 4b. Point A indicates that a clockwise vortical structure is shedding at the top of the cylinder, where a maximum positive lift force and a drag force that is still increasing acts (Figure 4b). The drag force will increase until the moment when the clockwise vortical structure starts to be incorporated by the wake (point B). Point B indicates the imminence of an inversion in the lift coefficient, as can be seen in Figure 4a. This inversion means that the clockwise vortical structure, shedding from the cylinder surface at point A, begins to be incorporated by the wake formed downstream of the body. In Figure 4b, a zone of low pressure is recognized to be approximately constant between θ = 57 o and θ = 280 o .
At point C, an anti-clockwise vortical structure is shed at the bottom of the cylinder, where a maximum negative lift force and a drag force that is still increasing act, as can be seen in Figure 4a. This drag force will increase until the moment when that vortical structure starts to be incorporated by the wake (point D). In Figure 4b, a low-pressure zone between approximately θ = 190 o and θ = 320 o is noted. At point D (Figure 4a), there is again the imminence of an inversion in the lift coefficient, which will pass from a negative to a positive value. This inversion indicates that the counterclockwise vortical structure, shed from the cylinder at point C, begins to be incorporated by the wake. In Figure 4b, a zone of low pressure, approximately constant, is detected between θ = 70 o and θ = 287 o . At time t = 52.50, corresponding to point E (Figure 4a), a maximum positive lift force and a low-pressure zone between approximately θ = 46 o and θ = 178 o are identified in Figure 4b. At this moment, in a manner analogous to what happened with point A, a new clockwise vortical structure is shedding from the upper part of the cylinder. At this stage of numerical simulation, there are 109,200 vortex blobs constructing the viscous wake. Finally, starting from point E, the vortex shedding scheme is restarted and, through this cyclic process, a Von Kármán wake is formed.
Based on the statistical behavior of a Gaussian distribution, Oliveira and Alcântara Pereira [15] conjectured that characteristic two-dimensional vorticity distributions with smaller dispersions of the values from their means (smaller k) would result in the proper estimation of the drag coefficients for a drag crisis capture range for a given rough surface under high Reynolds numbers. This was confirmed through a satisfactory estimation of the aerodynamic force coefficients and vortex shedding frequencies for cylinders with rough and smooth surfaces. Previous work has reported the overestimation of the drag coefficients for high Reynolds numbers [40] applying LESs, i.e., in subcritical, critical, and supercritical regimes. It is well known that some of the vorticity generated from the surface of a body under the action of flow is cancelled out due to the interaction of the two opposing shear layers. Depending on the magnitude of the roughness, there is downstream movement of the separation angles and in the approach of these shear layers, as well as a corresponding decrease in CD and tendency to increase in St. According to Mittal and Balachandar [62], the overestimation of the mean drag force in two-dimensional simulations is related to higher Reynolds stresses in the wake.
Additionally, Catalano et al. [4] highlighted the difficulty of reproducing typical characteristics of the critical regime, numerically or experimentally, due to the sensitivity to perturbations of these characteristics. This, in turn, justifies the dispersions in the data found in the literature.
One of the contributions of the present work is to explain how the turbulence control is conducted in the methods coupled by Oliveira and Alcântara Pereira [15], namely, the DVM, MLDRVL, and LES. Considering a Gaussian distribution, statistically, we have the concept of the Z s c o r e , which reveals by how many standard deviations S a certain value X deviates from the mean X ¯ :
Z = X X ¯ S
Figure 5 shows the instantaneous distribution of the intensity of the nascent vortices at time t S = 50 as a function of the Z s c o r e , considering the cylinder with a moderately rough surface ε / D = 0.002 and different vorticity discretization conditions. The DVM without changing the cutoff width is represented by the distribution in condition 1, Re = 1 × 10 5 and k = 2.0 , which results in C D = 1.00 . In the sequence, we have a distribution with modest reductions in the dispersion and magnitude of the vortex intensities, keeping k = 2.0 for a higher Reynolds number, Re = 1.6 × 10 5 , in condition 2. The resulting drag coefficient is 0.88. However, if the Reynolds number, Re = 1.6 × 10 5 , which is the critical Reynolds number for relative roughness ε / D = 0.002 , is maintained, and the cutoff width is reduced to k = 0.7 , the corresponding C D = 0.39 is satisfactorily predicted. Under this third condition, both the magnitudes and the dispersion of vortex intensities are drastically reduced in absolute terms.
Now if a high roughness is considered, ε / D = 0.02 , for example, the result summarized in Figure 6 is observed. Conditions 4, 5, and 6 are, respectively: Re = 2 × 10 4 and k = 2.0 ; Re = 5 × 10 4 and k = 2.0 ; and Re = 5 × 10 4 and k = 0.6 . For these new conditions, the C D assumes values of 1.27, 1.14, and 0.78, respectively. It can be observed that the reduction in the dispersion of the vortex intensity value is more sensitive to the reduction in the cutoff width ( k = 0.6 ) than to the simple increase in the Reynolds number from 2 × 10 4 to 5 × 10 4 . The critical Reynolds number for relative roughness ε / D = 0.02 is around 5 × 10 4 , and the corresponding drag coefficient, C D ~ 0.78 . These results confirm the findings of Oliveira and Alcântara Pereira [15]; in two-dimensional DVM the adequate prediction of aerodynamic forces depends jointly on the relative roughness, ε / D , the Reynolds number, Re, and the cutoff width, k, assumed for vorticity discretization.
Applying different cutoff widths for the characteristic distribution of the vorticity field can control turbulence at large and small scales. The large scales are solved for in the advective part of the vorticity transport equation (Equation (4)), considering the influence of the undisturbed flow, the discrete vortices that make up the wake, and the singularities distributed on the discretized surfaces (body and moving wall). The small scales are modeled using the local velocity difference (Second-Order Velocity Structure Function) and are computed in the diffusive part of the vorticity transport equation (Equation (5)) using the eddy viscosity. Interestingly, a refined imposition of the wall condition is performed using the MLDRVL, which influences the large scales through the rough geometry and the small scales through the perturbation added at each nascent vortex.
The velocity field resulting from the hybrid control of the shedding of vortical structures from the cylinder is shown in Figure 7 for a Reynolds number equal to 1 × 10 5 and G / D = 0.5 . As an example, the relative roughness ratios ε / D = 0.002 and ε / D = 0.02 are considered, whose corresponding k are predicted to be 2.0 and 1.7, respectively. In the first case, the results are C D = 1.13 , C L = 0.04 , and S t = 0.21 , and in the second case, C D = 1.27 , C L = 0.05 , and S t = 0.21 .
The main results of this paper are summarized in Table 1. It contains the global mean flow variables for Reynolds number fixed at 1 × 10 5 , and the computational responses are discussed in the subsequent text. The upper half of the table shows the main results for the cylinder isolated from the moving wall, G / D = , and the lower half of the table shows results for the cylinder interacting with the moving wall, G / D = 0.5 .
It has been found that the mean drag coefficient of the cylinder is expressively reduced for a given roughness setting, as can be seen in Figure 8. On the one hand, roughness ratios ε / D = 0.00110 , ε / D = 0.002 , and ε / D = 0.003 generate minimum drag coefficients for Reynolds numbers around 2 × 10 5 , 1.5 × 10 5 , and 1.2 × 10 5 , respectively. On the other hand, roughness ratios ε / D = 0.004 , ε / D = 0.007 , ε / D = 0.009 , and ε / D = 0.02 generate minimum drag coefficients for Reynolds numbers around 9 × 10 4 , 7 × 10 4 , 6 × 10 4 , and 5 × 10 4 , respectively. Overall, the results attest that moderate roughness values are most efficient for higher subcritical Reynolds numbers on the order of 105. Intermediate and high roughness values are most efficient for Reynolds numbers on the order of 104. If the Reynolds number is set to 1 × 10 5 , drag reductions around 16.4%, 51.6%, and 32.0% are consolidated for the respective roughness ratios ε / D = 0.002 , ε / D = 0.003 , and ε / D = 0.007 (Table 1) compared to the smooth surface.
A similar finding was reported by Zhou et al. [17] for subcritical Reynolds numbers, 5 × 10 3 Re 8 × 10 4 , and different rough surfaces, 0.0028 k S / D 0.025 ( k S is the representative roughness of sandpaper, netting, and dimples). For the range of 2 × 10 4 Re 8 × 10 4 , the experimental response of reducing the average drag coefficient was on the order of 30% for k S / D = 0.025 and about 20% for k S / D = 0.02 . By applying triangular roughness elements to the cylinder, we observed a reduction in the average drag coefficient by 10.7% to ε / D = 0.02 when considering Re = 1 × 10 5 . In looking at Figure 9, it is clear that in setting a subcritical Reynolds number, certain roughness magnitudes can anticipate characteristics of the critical and supercritical regimes. This is in agreement with our previous observations [15] and experimental results [29,32].
A closer inspection of Table 1 reveals that the lift coefficient assumes values around zero for rough cylinder isolated from the moving wall due to the symmetry of the flow. The Strouhal number tended to be insensitive to increasing roughness ( S t = 0.21 ), excluding the ε / D = 0.003 and ε / D = 0.004 roughness values. Relatively high Strouhal numbers, S t = 0.22 and S t = 0.24 , respectively, are convergent with the larger separation angles, as shown in Figure 9. Figure 9 makes it explicit that the reduction in the drag coefficient, which is inversely corresponding to the increasing trend of the Strouhal number, is a consequence of the approximation of the two shear layers of opposite signs formed by the separation of the boundary layer in the cylinder, moving the separation angles downstream.
Figure 10 is used to qualitatively explain the alterations in the wake due to the increase in the roughness. It contains the complete configuration of the wakes formed by the flow action around the cylinder ( G / D = ) for three simulated rough surfaces, ε / D = 0.00110 , ε / D = 0.004 , and ε / D = 0.009 .
Now, when glimpsing the numerical findings for the condition of a cylinder with rough surfaces close to a moving wall, it is necessary to refer to Nishino [12]’s experiments for a smooth cylinder. For the problem now addressed, when considering high Reynolds numbers, there is a lack of experimental data available in the literature. This corroborates the importance of this paper. Nishino et al. [13] conducted an extensive experimental investigation with a cylinder near a moving wall under various gap ratios for two upper-subcritical Reynolds numbers ( Re = 0.4 × 10 5 and Re = 1 × 10 5 ) and achieved essentially two-dimensional flow patterns for cylinder with end plates. The author classified the flows into three gap regimes: large-gap, G / D > 0.5 ; intermediate-gap, 0.35 < G / D < 0.5 ; and small-gap, G / D < 0.35 . Thus, the transition gap of the large-gap and intermediate-gap regimes, G / D = 0.5 , was fixed for investigations in the present work. The Reynolds number was set at 1 × 10 5 for comparisons with the literature data (Table 2).
Experimental results using end plates were obtained for ratios y e / D = 0.00 and y e / D = 0.40 in Nishino’s investigations [12]. The length y e was defined as the distance from the bottom edge of the cylinder to the bottom edge of the end plates, and the uncertainties of the drag and lift coefficients were equal to ±0.016 and ±0.011, respectively, with 95% confidence. The numerical responses for the drag coefficient of the smooth cylinder, listed in Table 2, show good agreement with the results of Nishino [12] for the configurations with end plates. Compared to the cylinder aided by end plates in the ratio ye/d = 0.40, the difference was only 6.6%. We also verified proximity with the recent numerical results of Oliveira et al. [37] and Alcântara Pereira [11], both for the drag coefficient and the Strouhal number. For the mentioned numerical evaluations, another roughness model was employed [27].
The mean variables were predicted to be C D = 1.22 , C L = 0.01 , and S t = 0.22 for the isolated cylinder and C D = 1.41 , C L = 0.23 , and S t = 0.20 for the gap-to-diameter ratio G / D = 0.5 (Table 1). Figure 11 shows the average distributions of the circumferential pressure coefficient for the cylinder with a smooth surface under the two conditions mentioned. Physically, there is a movement from the stagnation point to a lower angular position as the cylinder approaches the ground, and from there, a subsequent reduction in pressure is observed until an angle of approximately 300 degrees, when the pressure becomes relatively higher than that calculated for the isolated cylinder, and then it falls back near the stagnation point. This region of higher pressure in the lower front part of the cylinder in the ground effect is responsible for the appearance of positive lift ( C L = 0.23 ). Furthermore, in this regime transition limit, the flow still exhibits characteristics of the large-gap regime due to the generation of large-scale vortices downstream of the cylinder, and these vortices attract fluid from the base region of the cylinder and, consequently, there is a higher drag coefficient. This is convergent with Nishino’s reports [13] for a smooth cylinder. The increase in drag coefficient is 15.6%. The resulting Strouhal number is moderately sensitive to the blockage effect and is predicted to be around S t = 0.20 as opposed to the prediction for an isolated cylinder, S t = 0.22 (Table 1).
In this investigative path, the induction circumstances of vortex shedding suppression were verified for the hybrid approach by adding surface roughness variation as a passive method. Under these new flow conditions, we observed a considerable drop in the drag coefficient at moderate roughness, a severe drop at intermediate roughness, and a recovery at higher roughness (Table 1). The behavior of the drag in the two conditions, for the variation in the magnitude of the surface roughness, is explained in Figure 12. Interestingly, intermediate roughness values induce a greater reduction in the drag coefficient in the presence of the moving wall—which follows a similar behavior to that observed for the isolated rough cylinders. Therefore, the Venturi effect is not predominant on the drag force over the roughness at this juncture.
The Strouhal number increased for rough surfaces compared to that observed for smooth surfaces ( S t = 0.20 ) in the condition of proximity to the moving wall, but it tended to be insensitive to increasing roughness values, alternating between 0.21 and 0.22. This is consistent with the experiments of Wang and Tan [63] for G / D 0.6 (small and intermediate gap-to-diameter ratios [13]): on the one hand, the wake flow develops a distinct asymmetry about the cylinder centerline; on the other hand the Strouhal number and the convection velocity of the shed vortex are kept approximately constant and virtually independent of G / D . It was also found that the lift coefficient declined sharply from a positive value for a smooth surface, C L = 0.23 , to a negative value for a rough surface ε / D = 0.00110 , C L = 0.15 , with considerable recovery for ε / D = 0.002 and C L = 0.04 . Subsequently, a moderately increasing drop was observed until the roughness ε / D = 0.004 and C L = 0.11 and a sudden recovery for ε / D = 0.007 and C L = 0.03 . Finally, the lift coefficient showed a tendency to stabilize for the larger roughness values, ε / D = 0.009 and ε / D = 0.02 , which culminated in the value C L = 0.05 . To the best of the present authors’ knowledge, there are no experimental data related to Strouhal number for flows around rough cylinders near a moving horizontal plane wall at higher subcritical Reynolds numbers.
In Figure 13, changes in the cylinder wake can be seen for increasing values of surface roughness, starting at ε / D = 0.00 to ε / D = 0.003 . It can be seen that the von Kármán vortex shedding has become intermittent, and therefore, the effect of roughness appears to be to anticipate features of the intermediate-gap regime, with a correlated drop in drag of greater or lesser magnitude. These viscous wakes take the form of “mushroom-like” vortical structures, and the blockage effect transfigures them as they move away from the cylinder.
It is encouraging to compare the C D values for a smooth cylinder (Table 1) under the conditions of the absence ( C D = 1.22 ) and presence ( C D = 1.41 ) of the interaction with the moving wall with those found by Salehi et al. [64] for a low subcritical Reynolds number, Re = 3.900 , and fixed wall. The researchers arrived at values of C D = 1.281 and C D = 1.544 for the gaps G / D = and G / D = 0.5 , respectively, using RANS simulations, which reinforces our previous statement that at the eminence of proximity to the wall, in the large-gap regime, the drag coefficient increases before decreasing in the intermediate-gap regime, and this transition point depends on the Reynolds number, which, for the flow configuration studied by the authors, was at G / D = 1 ( C D = 1.712 ).
The recent computational findings by Alcântara Pereira et al. [11] and Oliveira et al. [37] are unique references given the lack of experimental work on rough cylinders close to a moving wall. The present simulations for ε / D = 0.007 revealed the following global values: C D = 0.93 , C L = 0.03 , and S t = 0.21 for Re = 1 × 10 5 . In this direction, Alcântara Pereira et al. [11] reported C D = 1.165 , C L = 0.068 , and S t = 0.2019 . The results are convergent. A difference around 20.2% in the drag coefficient is credited to the use of different roughness models and other particularities of the different numerical/computational methods, although both used the DVM and LESs.
On a similar investigative path, Oliveira et al. [37] reported C D = 1.459 , C L = 0.104 , and S t = 0.216 by applying a roughness ε / D = 0.001 to the cylinder surface. The present simulations for roughness ε / D = 0.00110 , which is the closest to that studied by the researchers, returned C D = 1.12 , C L = 0.15 , and S t = 0.21 . Since the roughness of these values is closer to a those of a smooth surface, their results corroborate ours.
The time history of the drag and lift coefficients for the cylinder with different roughness values close to the moving wall is presented in Figure 14. In the latter case, the following representative roughness values were chosen: moderate, ε / D = 0.00110 ; intermediate, ε / D = 0.004 ; and high, ε / D = 0.007 . One of the contributions of the Venturi effect is that it creates two different peaks on the drag coefficient curve. The explanation for this aerodynamic behavior is that while the upper vortical structure finds total freedom to grow at the back of the cylinder until it is incorporated by the viscous wake, bringing the drag coefficient to a higher value, the development of the lower vortical structure is affected by the Venturi effect, and consequently, there is a lower peak on the drag curve. However, in the large-gap regime, this phenomenon is barely noticeable, although it does exhibit a greater or lesser amplitude depending on the magnitude of the roughness.
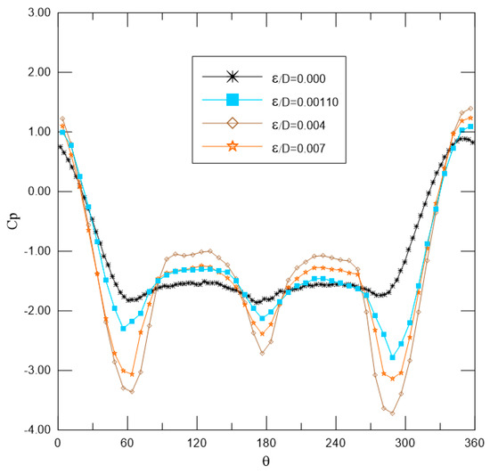
The control of the wake, or in the extreme case of proximity to the horizontal wall, the suppression of the shedding of vortical structures, is linked to the asymmetry in the development of the vortical structures on the two sides of the cylinder: the vortical structure on the free flow side grows larger and stronger than the vortical structure on the wall side. Thus, the interaction of the two vortical structures is largely inhibited [1,11]. Plotted in Figure 15 are the circumferential pressure coefficients for these different surfaces of the cylinder in interacting with the moving wall. Depending on the roughness height distributed over the body, there is a greater or lesser suction peak on both sides of the cylinder (top and bottom) and a corresponding change in the base pressure. The intensification of the suction peak on both sides of the cylinder tends to be symmetrical for smooth surfaces and is clearly asymmetrical for rough surfaces. This can be understood as a result suggesting that the cylinder roughness height acts to anticipate the characteristics of a lower gap ratio regime.
Open Multi-Processing—OpenMP—was applied to reduce the processing time for the vortex–vortex interactions and for solving the linear systems of equations, as well as for accelerating the calculations to include the effects of roughness. The cases with a cylinder isolated and near the moving wall were on average 80% and 55% faster than serial processing, respectively. A smaller reduction for the second arrangement refers to the additional use of 100 panels for moving wall discretization.
The simulations were conducted on i7 computers with eight processing cores (Intel (R) Core (TM) i7-2600 CPU @ 3.40 GHz and 7.8 GB of RAM); the Windows 10 System; and Intel® Parallel Studio XE Cluster compilers. The processing time is proportional to O(NV2) because of the Biot–Savart law. Therefore, when excluding the smooth cylinder simulation cases from the average time calculation, which are more computationally demanding, 77 min were spent on the parallel processing of isolated rough cylinders and 112 min for rough cylinders close to the wall. The respective reductions amounted to 99.15% and 99.34% with OpenMP.

4. Conclusions

In this paper, the strategy of the statistical control of turbulence in Large Eddy Simulations combined with the Discrete Vortex Method was clarified for the fluid–structure interaction condition at higher subcritical Reynolds numbers—the bluff body chosen was the circular cylinder. For this purpose, the truncated Second-Order Velocity Structure Function was used to model the small scales of the turbulence, while the large scales were solved by considering the singularities distributed on the solid boundaries, the unperturbed incident flow, and the interactions of discrete wake vortices.
The additional aid of the technique of varying the cutoff width as a function of the Reynolds number was applied to establish the characteristic distribution of vorticity in the fluid domain. The Lagrangian Dynamic Roughness Model—MLDRVL—was used to add the effect of body roughness, replacing the wall functions. These computational techniques are purely Lagrangian and, as such, dispense with the use of a mesh. The disadvantage of costly processing was overcome by employing Open Multi-Processing
Numerical investigations on the induction of vortex shedding suppression in a circular cylinder with different rough surfaces, away from and near a moving wall, were performed for subcritical, critical, and supercritical regimes under high subcritical Reynolds numbers. The main results for a rough cylinder isolated from a moving wall are summarized in Figure 8. The roughness that is most efficient for drag reduction was revealed, for a given upper subcritical Reynolds number, to be in the range of 3 × 10 4 Re 2 × 10 5 . Intermediate roughness values are most efficient for Reynolds numbers on the order of 105. High roughness values are most efficient for Reynolds numbers on the order of 104.
Under the condition of the proximity of the cylinder to the moving wall at the transition gap, G / D = 0.5 , from the large-gap regime ( G / D > 0.5 ) to the intermediate-gap regime ( 0.35 < G / D < 0.5 ), as originally defined by Nishino [13], our findings indicate that the fit of G / D 0.5 can be considered. Furthermore, in the framework of the hybrid vortex shedding control technique, interestingly, the roughness seems to anticipate the characteristics of a lower gap ratio regime (Figure 15).
In fixing the Reynolds number, i.e., Re = 1 × 10 5 , the drag force of rough cylinders in the vicinity of the wall under the condition of the large-gap regime, G / D = 0.5 , was relatively greater than those of isolated rough cylinders, G/D→∞, due to the action of the Venturi effect. The generation of large-scale vortices downstream of the cylinder attracts fluid from the base region of the cylinder, culminating in a higher drag coefficient. Nishino [13] reported similar result for a smooth cylinder. In the scenarios evaluated in this study, cylinder roughness always acted to reduce drag force compared to the smooth surface (Table 1) and was dominant in the transition from a large-gap to intermediate-gap regime. There was also a significant reduction in the drag coefficient induced by the roughness values ε / D = 0.003 and ε / D = 0.004 in the presence of the Venturi effect, which were equivalent to 45.4% and 44.7%, respectively. In general, the Strouhal number tended to be insensitive to the approach of the cylinder to the moving wall in the same flow configuration as in the isolation condition.
The Discrete Vortex Method, which is implied to be two-dimensional, is used to estimate the aerodynamic forces and shedding frequency of vortical structures in engineering applications and can generate more accurate results with the coupling of Large Eddy Simulations and a refined wall condition, with the advantage of the computational economy of parallel processing. However, the turbulence must be controlled to compensate for a wide range of high Reynolds numbers and different cylinder surfaces.
Our future work will focus on the flow past a circular cylinder near a fixed roughened horizontal wall for the investigation of the effect of wall boundary layer in the presence of a rough circular cylinder. The application of the roughness model to the horizontal wall is also of interest for understanding the physical phenomena involved in the interaction of two boundary layers originating from rough surfaces.

Author Contributions

M.A.d.O.: conceptualization; data curation; formal analysis; investigation; methodology; validation; visualization; writing—original draft; and writing—review and editing. L.A.A.P.: conceptualization; formal analysis; investigation; methodology; validation; and writing—review and editing. All authors have read and agreed to the published version of the manuscript.

Funding

The authors would like to thank FAPEMIG (a research-supporting foundation of Minas Gerais), project no. APQ-01246-23; and the CAPES Foundation (Coordination for higher Education Staff Development), Finance Code 001, for their financial support.

Institutional Review Board Statement

Not applicable.

Informed Consent Statement

Not applicable.

Data Availability Statement

The raw data supporting the conclusions of this article will be made available by the authors on request.

Conflicts of Interest

The authors declare no conflict of interest.

References

  1. Sumer, B.M.; Fredsøe, J. Hidrodynamics around Cylindrical Structures; Advanced Series on Ocean Engineering; World Scientific Publishing Co., Pte Ltd.: Singapore, 2006. [Google Scholar]
  2. Roshko, A. Experiments on the flow past a circular cylinder at very high Reynolds number. J. Fluid Mech. 1961, 10, 345–356. [Google Scholar] [CrossRef]
  3. Achenbach, E. Distribution of local pressure and skin friction around a circular cylinder in cross-flow up to Re = 5 × 106. J. Fluid Mech. 1968, 34, 625–639. [Google Scholar] [CrossRef]
  4. Catalano, P.; Wang, M.; Iacarrino, G.; Moin, P. Numerical simulation of the flow around a circular cylinder at high Reynolds numbers. Int. J. Heat Fluid Flow 2003, 24, 463–469. [Google Scholar] [CrossRef]
  5. Ong, M.C.; Utnes, T.; Holmedal, L.E.; Myrhaug, D.; Pettersen, B. Numerical simulation of flow around a smooth circular cylinder at very high Reynolds numbers. Mar. Struct. 2009, 22, 142–153. [Google Scholar] [CrossRef]
  6. Gerrard, J.H. The mechanics of the formation region of vortices behind bluff bodies. J. Fluid Mech. 1966, 25, 40–413. [Google Scholar] [CrossRef]
  7. Williamson, C.H.K. Vortex Dynamics in the Cylinder Wake. Annu. Rev. Fluid Mech. 1996, 28, 477–539. [Google Scholar] [CrossRef]
  8. Roshko, A. Perspectives on bluff body aerodynamics. J. Wind Eng. Ind. Aerodyn. 1993, 49, 79–100. [Google Scholar] [CrossRef]
  9. Rashidi, S.; Hayatdavoodi, M.; Esfahani, J.A. Vortex shedding suppression and wake control: A review. Ocean Eng. 2016, 126, 57–80. [Google Scholar] [CrossRef]
  10. Choi, H.; Jeon, W.P.; Kim, J. Control of Flow Over a Bluff Body. Annu. Rev. Fluid Mech. 2008, 40, 113–139. [Google Scholar] [CrossRef]
  11. Alcântara Pereira, L.A.; Oliveira, M.A.; Moraes, P.G.; Bimbato, A.M. Numerical experiments of the flow around a bluff body with and without roughness model near a moving wall. J. Braz. Soc. Mech. Sci. Eng. 2020, 42, 129. [Google Scholar] [CrossRef]
  12. Nishino, T. Dynamics and Stability of Flow Past a Circular Cylinder in Ground Effect. Ph.D. Thesis, University of Southampton, Southampton, UK, 2007. [Google Scholar]
  13. Nishino, T.; Roberts, G.T.; Zhang, X. Vortex shedding from a circular cylinder near a moving ground. Phys. Fluids 2007, 19, 025103. [Google Scholar] [CrossRef]
  14. Zhang, X.; Toet, W.; Zerihan, J. Ground effect aerodynamics of race cars. Appl. Mech. Rev. 2006, 59, 33–49. [Google Scholar] [CrossRef]
  15. Oliveira, M.A.; Alcântara Pereira, L.A. A Lagrangian Roughness Model integrated with the Vortex Method for drag coefficient estimation and flow control investigations around circular cylinder for a wide range of Reynolds numbers. J. Braz. Soc. Mech. Sci. Eng. 2022, 44, 331. [Google Scholar] [CrossRef]
  16. Huang, G.; Simoëns, S.; Vinkovic, I.; Ribault, C.L.; Dupont, S.; Bergametti, G. Law-of-the-wall in a boundary-layer over regularly distributed roughness elements. J. Turbul. 2016, 17, 518–541. [Google Scholar] [CrossRef]
  17. Zhou, B.; Wang, X.; Gho, W.M.; Tan, S.K. Force and flow characteristics of a circular cylinder with uniform surface roughness at subcritical Reynolds numbers. Appl. Ocean Res. 2015, 49, 20–26. [Google Scholar] [CrossRef]
  18. Liu, G.; Yuan, Z.; Qiu, Z.; Feng, S.; Xie, Y.; Leng, D.; Tian, X. A brief review of bioinspired surface technology and application toward underwater drag reduction. Ocean Eng. 2020, 199, 106962. [Google Scholar] [CrossRef]
  19. Zdravkovich, M.M. Review and classification of various aerodynamic and hydrodynamic means for suppressing vortex shedding. J. Wind Eng. Ind. 1981, 7, 145–189. [Google Scholar] [CrossRef]
  20. Yamagishi, Y.; Oki, M. Effect of groove shape on flow characteristics around a circular cylinder with grooves. J. Vis. 2004, 7, 209–216. [Google Scholar] [CrossRef]
  21. Kadivar, M.; Tormey, D.; McGranaghan, G. A review on turbulent flow over rough surfaces: Fundamentals and theories. Int. J. Thermofluids 2021, 10, 100077. [Google Scholar] [CrossRef]
  22. Coleman, S.E.; Nikora, V.I.; McLean, S.R.; Schlicke, E. Spatially averaged turbulent flow over square ribs. J. Eng. Mech. 2007, 133, 194–204. [Google Scholar] [CrossRef]
  23. Perry, A.E.; Schofield, W.H.; Joubert, P.N. Rough wall turbulent boundary layers. J. Fluid Mech. 1969, 37, 383–413. [Google Scholar] [CrossRef]
  24. Li, J.; Li, S.S. Near-bed velocity and shear stress of open-channel flow over surface roughness. Environ. Fluid Mech. 2020, 20, 293–320. [Google Scholar] [CrossRef]
  25. Djenidi, L.; Antonia, R.A.; Anselmet, F. LDA measurements in a turbulent boundary layer over a d-type rough wall. Exp. Fluids 1994, 16, 323–329. [Google Scholar] [CrossRef]
  26. Choi, K.S.; Fujisawa, N. Possibility of drag reduction using d-type roughness. In Further Developments in Turbulence Management. Fluid Mechanics and Its Applications; Prasad, K.K., Ed.; Springer: Dordrecht, The Netherlands, 1993; Volume 19. [Google Scholar] [CrossRef]
  27. Bimbato, A.M.; Alcântara Pereira, L.A.; Hirata, M.H. Development of a new Lagrangian vortex method for evaluating effects of surface roughness. Eur. J. Mech. B Fluids 2019, 74, 291–301. [Google Scholar] [CrossRef]
  28. Zdravkovich, M.M. Flow around Circular Cylinders: Volume 1 Fundamentals; Oxford University Press: Oxford, UK, 1997. [Google Scholar]
  29. Achenbach, E. Influence of Surface Roughness on the Cross-Flow around a Circular Cylinder. J. Fluid Mech. 1971, 46, 321–335. [Google Scholar] [CrossRef]
  30. Kiu, K.Y.; Stappenbelt, B.; Thiagarajan, K.P. Effects of uniform surface rough-ness on vortex-induced vibration of towed vertical cylinders. J. Sound Vib. 2011, 330, 4753–4763. [Google Scholar] [CrossRef]
  31. Ong, M.C.; Utnes, T.; Holmedal, L.E.; Myrhaug, D.; Pettersen, B. Numerical simulation of flow around a circular cylinder close to a flat seabed at high Reynolds numbers using a k–ε model. Coast. Eng. 2010, 57, 931–947. [Google Scholar] [CrossRef]
  32. Achenbach, E.; Heinecke, E. On vortex shedding from smooth and rough cylinders in the range of Reynolds numbers 6 × 103 to 5 × 106. J. Fluid Mech. 1981, 109, 239–251. [Google Scholar] [CrossRef]
  33. Lei, C.; Cheng, L.; Kavanagh, K. Re-examination of the effect of a plane boundary on force and vortex shedding of a circular cylinder. J. Wind Eng. Ind. Aerodyn. 1999, 80, 263–286. [Google Scholar] [CrossRef]
  34. Taniguchi, S.; Miyakoshi, K. Fluctuating fluid forces acting on a circular cylinder and interference with a plane wall. Exp. Fluids 1990, 9, 197–204. [Google Scholar] [CrossRef]
  35. Zdravkovich, M.M. Forces on a circular cylinder near a plane wall. Appl. Ocean 1985, 7, 197–201. [Google Scholar] [CrossRef]
  36. Lei, C.; Cheng, L.; Armfield, S.W.; Kavanagh, K. Vortex shedding suppression for flow over a circular cylinder near a plane boundary. Ocean Eng. 2000, 27, 1109–1127. [Google Scholar] [CrossRef]
  37. Oliveira, M.A.; Moraes, P.G.; Andrade, C.L.; Bimbato, A.M.; Alcântara Pereira, L.A. Control and Suppression of Vortex Shedding from a Slightly Rough Circular Cylinder by a Discrete Vortex Method. Energies 2020, 13, 4481. [Google Scholar] [CrossRef]
  38. Lehmkuhl, O.; Rodríguez, I.; Borrell, R.; Chiva, J.; Oliva, A. Unsteady forces on a circular cylinder at critical Reynolds numbers. Phys. Fluids 2014, 26, 125110. [Google Scholar] [CrossRef]
  39. Bimbato, A.M.; Alcântara Pereira, L.A.; Hirata, M.H. Study of the vortex shedding flow around a body near a moving ground. J. Wind Eng. Ind. 2011, 99, 7–17. [Google Scholar] [CrossRef]
  40. Mustto, A.A.; Bodstein, G.C.R. Subgrid-scale modeling of turbulent flow around circular cylinder by mesh-free vortex method. Eng. Appl. Comput. Fluid Mech. 2011, 2, 259–275. [Google Scholar] [CrossRef]
  41. Fage, A.; Warsap, J.H. The Effects of Turbulence and Surface Roughness on the Drag of a Circular Cylinder; H.M. Stationary Office: London, UK, 1930. [Google Scholar]
  42. Blevins, R.D. Applied Fluid Dynamics Handbook; Van Nostrand Reinhold Co.: New York, NY, USA, 1984. [Google Scholar]
  43. Liu, X.; Bai, W.; Xu, F. Study on Traveling Wave Wall Control Method for Suppressing Wake of Flow around a Circular Cylinder at Moderate Reynolds Number. Appl. Sci. 2022, 12, 3433. [Google Scholar] [CrossRef]
  44. Zhang, M.; Yin, B.; Guo, D.; Ji, Z.; Yang, G. Numerical Study on the Flow Past Three Cylinders in Equilateral-Triangular Arrangement at Re = 3 × 106. Appl. Sci. 2022, 12, 11835. [Google Scholar] [CrossRef]
  45. Song, T.; Liu, X.; Xu, F. Moving Surface Boundary-Layer Control on the Wake of Flow around a Square Cylinder. Appl. Sci. 2022, 12, 1632. [Google Scholar] [CrossRef]
  46. Moraes, P.G.; Alcântara Pereira, L.A. Surface Roughness Effects on Flows Past Two Circular Cylinders in Tandem Arrangement at Co-Shedding Regime. Energies 2021, 14, 8237. [Google Scholar] [CrossRef]
  47. Xiong, Z.; Liu, X. Very Large-Eddy Simulations of the Flow Past an Oscillating Cylinder at a Subcritical Reynolds Number. Appl. Sci. 2020, 10, 1870. [Google Scholar] [CrossRef]
  48. Oliveira, M.A.; Moraes, P.G.; Alcântara Pereira, L.A.; Sufra, F. Wing tip vortices dynamics with crosswind effect using the large eddy simulation (LES) theory. Cad. Pedagógico 2023, 20, 4483–4506. [Google Scholar] [CrossRef]
  49. Carvalho, G.F.M.; Vidille, M.F.; Bimbato, A.M.; Alcântara Pereira, L.A. Lagrangian Vortices Interactions Using Large-Eddy Simulation (LES) and Surface Roughness Model—Application for Aircraft Wake Vortices with Crosswind. Appl. Sci. 2023, 13, 12336. [Google Scholar] [CrossRef]
  50. Moraes, P.G.; Oliveira, M.A.; Bimbato, A.M.; Alcântara Pereira, L.A. A Lagrangian Description of Buoyancy Effects on Aircraft Wake Vortices from Wing Tips near a Heated Ground Plane. Energies 2022, 15, 6995. [Google Scholar] [CrossRef]
  51. Chorin, A.J. Numerical Study of Slightly Viscous Flow. J. Fluid Mech. 1973, 57, 785–796. [Google Scholar] [CrossRef]
  52. Barba, L.A.; Leonard, A.; Allen, C.B. Numerical investigations on the accuracy of the vortex method with and without remeshing. In Proceedings of the 16th AIAA Computational Fluid Dynamics Conference, Orlando, FL, USA, 23–26 June 2003; American Institute of Aeronautics and Astronautics: Reston, VA, USA, 2003. [Google Scholar]
  53. Barba, L.A. Vortex method for Computing High-Reynolds Number Flows: Increased Accuracy with a Fully Mesh-Less Formulation. Ph.D. Thesis, California Institute of Technology, Pasadena, CA, USA, 2004. [Google Scholar]
  54. Katz, J.; Plotkin, A. Low Speed Aerodynamics: From Wing Theory to Panel Methods; McGraw Hill Inc.: New York, NY, USA, 1991. [Google Scholar]
  55. Barba, L.A.; Leonard, A.; Allen, C.B. Vortex method with meshless spatial adaption for accurate simulation of viscous, unsteady vortical flows. Int. J. Numer. Methods Fluids 2005, 47, 841–848. [Google Scholar] [CrossRef]
  56. Métais, O.; Lesieur, M. Spectral Large-Eddy Simulations of Isotropic and Stably-Stratified Turbulence. J. Fluid Mech. 1992, 239, 157–194. [Google Scholar] [CrossRef]
  57. Silveira Neto, A. Escoamentos Turbulentos: Análise Física e Modelagem Teórica; Editora Composer: Uberlandia, Brazil, 2020. [Google Scholar]
  58. Shintani, M.; Akamatsu, T. Investigation of Two Dimensional Discrete Vortex Method with Viscous Diffusion Model. Trans. Jpn. Soc. Mech. Eng. B 1994, 60, 1110–1117. [Google Scholar] [CrossRef][Green Version]
  59. Ricci, J.E.R. Numerical Simulation of Flow around a Body of Arbitrary Shape, Parked in the Vicinity of a Flat Surface, Using the Vortex Method. Ph.D. Thesis, Federal University of Engineering of Itajubá, Itajubá, Brazil, 2002. [Google Scholar]
  60. Jin, G.; Zou, L.; Jiang, Y.; Zong, Z.; Sun, Z. A circle theorem technique to handle 2-D flows around arbitrary cylinders in discrete vortex method. J. Wind Eng. Ind. Aerod. 2021, 209, 104496. [Google Scholar] [CrossRef]
  61. Mustto, A.; Hirata, M.; Bodstein, G. Discrete vortex method simulation of the flow around a circular cylinder with and without rotation. In Proceedings of the 16th AIAA Applied Aerodynamics Conference, Albuquerque, NM, USA, 15–18 June 1998. [Google Scholar] [CrossRef]
  62. Mittal, R.; Balachandar, S. Effect of threedimensionality on the lift and drag of nominally twodimensional cylinders. Phys. Fluids 1995, 7, 1841–1865. [Google Scholar] [CrossRef]
  63. Wang, X.K.; Tan, S.K. Near-wake flow characteristics of a circular cylinder close to a wall. J. Fluids Struct. 2008, 24, 605–627. [Google Scholar] [CrossRef]
  64. Salehi, M.A.; Mazaheri, S.; Kazeminezhad, M.H. Study of Flow Characteristics around a Near-Wall Circular Cylinder Subjected to a Steady Cross-Flow. Int. J. Coast. Offshore Eng. 2018, 3, 45–55. [Google Scholar] [CrossRef][Green Version]
Figure 1. Sketch of the computational fluid–structure model.
Figure 1. Sketch of the computational fluid–structure model.
Applsci 14 02919 g001
Figure 2. Cylinders with different numbers of rough elements.
Figure 2. Cylinders with different numbers of rough elements.
Applsci 14 02919 g002
Figure 3. Spatial average velocity model for computing the turbulent activity of a vorticity element.
Figure 3. Spatial average velocity model for computing the turbulent activity of a vorticity element.
Applsci 14 02919 g003
Figure 4. Cylinder with a smooth surface— Re = 1 × 10 5   N c = 104 ;   σ o = 0.001 ;   t S = 100 : (a) time history of the aerodynamic coefficients; (b) instantaneous distribution of the pressure coefficient over the cylinder.
Figure 4. Cylinder with a smooth surface— Re = 1 × 10 5   N c = 104 ;   σ o = 0.001 ;   t S = 100 : (a) time history of the aerodynamic coefficients; (b) instantaneous distribution of the pressure coefficient over the cylinder.
Applsci 14 02919 g004
Figure 5. Changes in dispersion and intensity of discrete vortices for different characteristic vorticity distributions for rough surface ε / D = 0.002 N c = 48 ;   σ o = f ( Re ) ;   t S = 50 .
Figure 5. Changes in dispersion and intensity of discrete vortices for different characteristic vorticity distributions for rough surface ε / D = 0.002 N c = 48 ;   σ o = f ( Re ) ;   t S = 50 .
Applsci 14 02919 g005
Figure 6. Changes in dispersion and intensity of discrete vortices for different characteristic vorticity distributions for rough surface ε / D = 0.02 N c = 48 ;   σ o = f ( Re ) ;   t S = 50 .
Figure 6. Changes in dispersion and intensity of discrete vortices for different characteristic vorticity distributions for rough surface ε / D = 0.02 N c = 48 ;   σ o = f ( Re ) ;   t S = 50 .
Applsci 14 02919 g006
Figure 7. Instantaneous velocity field for rough cylinder surfaces near the horizontal moving wall— Re = 1 × 10 5 : (a) ε / D = 0.002 and (b) ε / D = 0.02 N c = 48 ;   N p = 100 ;   σ o = 0.001 ;   t S = 100 .
Figure 7. Instantaneous velocity field for rough cylinder surfaces near the horizontal moving wall— Re = 1 × 10 5 : (a) ε / D = 0.002 and (b) ε / D = 0.02 N c = 48 ;   N p = 100 ;   σ o = 0.001 ;   t S = 100 .
Applsci 14 02919 g007
Figure 8. Efficiency of roughness heights for controlling cylinder drag for Reynolds number range 3 × 10 4 Re 2 × 10 5   N c = 48 ;   σ o = f ( Re ) ;   t S = 50 .
Figure 8. Efficiency of roughness heights for controlling cylinder drag for Reynolds number range 3 × 10 4 Re 2 × 10 5   N c = 48 ;   σ o = f ( Re ) ;   t S = 50 .
Applsci 14 02919 g008
Figure 9. Behavior of the mean drag coefficient and boundary layer separation angles for different roughness heights— Re = 1 × 10 5   N c = 48 ;   σ o = 0.001 ;   t S = 100 .
Figure 9. Behavior of the mean drag coefficient and boundary layer separation angles for different roughness heights— Re = 1 × 10 5   N c = 48 ;   σ o = 0.001 ;   t S = 100 .
Applsci 14 02919 g009
Figure 10. Complete configuration of the wake formed downstream of the isolated cylinder with different rough surfaces— Re = 1 × 10 5 : (a) ε / D = 0.00110 , (b) ε / D = 0.004 , and (c) ε / D = 0.009 N c = 48 ;   σ o = 0.001 ;   t S = 50 .
Figure 10. Complete configuration of the wake formed downstream of the isolated cylinder with different rough surfaces— Re = 1 × 10 5 : (a) ε / D = 0.00110 , (b) ε / D = 0.004 , and (c) ε / D = 0.009 N c = 48 ;   σ o = 0.001 ;   t S = 50 .
Applsci 14 02919 g010
Figure 11. Distribution of the circumferential pressure coefficient for the cylinder with a smooth surface in isolation and under the effect of the wall— Re = 1 × 10 5 N c = 104 ;   N p = 100 ; σ o = 0.001 ;   t S = 100 .
Figure 11. Distribution of the circumferential pressure coefficient for the cylinder with a smooth surface in isolation and under the effect of the wall— Re = 1 × 10 5 N c = 104 ;   N p = 100 ; σ o = 0.001 ;   t S = 100 .
Applsci 14 02919 g011
Figure 12. Drag coefficient variation for different roughness heights— Re = 1 × 10 5 .
Figure 12. Drag coefficient variation for different roughness heights— Re = 1 × 10 5 .
Applsci 14 02919 g012
Figure 13. Configuration of the near and full wake formed downstream of the cylinder with different rough surfaces close to the moving wall— Re = 1 × 10 5 and t S = 100 : (a) ε / D = 0.000 ; (b) ε / D = 0.00110 ; (c) ε / D = 0.002 ; and (d) ε / D = 0.003 .
Figure 13. Configuration of the near and full wake formed downstream of the cylinder with different rough surfaces close to the moving wall— Re = 1 × 10 5 and t S = 100 : (a) ε / D = 0.000 ; (b) ε / D = 0.00110 ; (c) ε / D = 0.002 ; and (d) ε / D = 0.003 .
Applsci 14 02919 g013
Figure 14. Time series of drag and lift coefficients for cylinder under the effect of the moving wall— G / D = 0.5 , Re = 1 × 10 5 , and t S = 100 : (a) ε / D = 0.000 ; (b) ε / D = 0.00110 ; (c) ε / D = 0.004 ; and (d) ε / D = 0.007 .
Figure 14. Time series of drag and lift coefficients for cylinder under the effect of the moving wall— G / D = 0.5 , Re = 1 × 10 5 , and t S = 100 : (a) ε / D = 0.000 ; (b) ε / D = 0.00110 ; (c) ε / D = 0.004 ; and (d) ε / D = 0.007 .
Applsci 14 02919 g014
Figure 15. Distribution of the circumferential pressure coefficient in the cylinder for some hybrid control configurations— G / D = 0.5 , Re = 1 × 10 5 , and t S = 100 .
Figure 15. Distribution of the circumferential pressure coefficient in the cylinder for some hybrid control configurations— G / D = 0.5 , Re = 1 × 10 5 , and t S = 100 .
Applsci 14 02919 g015
Table 1. Summary of post-processing results for simulated cases: cylinder at large distances and near the moving wall— Re = 1 × 10 5 .
Table 1. Summary of post-processing results for simulated cases: cylinder at large distances and near the moving wall— Re = 1 × 10 5 .
G/Dε/D0.0000.001100.0020.0030.0040.0070.0090.02
CD 1.221.061.020.590.600.830.911.09
CL 0.010.030.02−0.02−0.050.04−0.03−0.03
St0.220.210.210.220.240.210.210.21
CD red. (%)-13.116.451.650.832.025.410.7
0.5CD1.411.121.130.770.780.931.041.27
CL0.23−0.15−0.04−0.08−0.110.03−0.05−0.05
St0.200.210.210.220.210.210.220.21
CD red. (%)-20.619.945.444.734.026.29.9
Table 2. Global quantities resulting from turbulent flow around the cylinder with a smooth surface near the moving wall— G / D = 0.5 and Re = 1 × 10 5 N c = 104 ;     N p = 100 ; σ o = 0.001 ;     t S = 100 .
Table 2. Global quantities resulting from turbulent flow around the cylinder with a smooth surface near the moving wall— G / D = 0.5 and Re = 1 × 10 5 N c = 104 ;     N p = 100 ; σ o = 0.001 ;     t S = 100 .
MethodTurb.CDCLStSource
Present simulationLES1.410.230.20-
Numeric (vortex method)LES1.4740.1040.204[37]
Numeric (vortex method)LES1.4480.1400.205[11]
Experimental with end plates (ye/D = 0.40)-1.3230.090-[12]
Experimental with end plates (ye/D = 0.00)-1.2820.034-[12]
Experimental without end plates-0.9240.045-[12]
Disclaimer/Publisher’s Note: The statements, opinions and data contained in all publications are solely those of the individual author(s) and contributor(s) and not of MDPI and/or the editor(s). MDPI and/or the editor(s) disclaim responsibility for any injury to people or property resulting from any ideas, methods, instructions or products referred to in the content.

Share and Cite

MDPI and ACS Style

Oliveira, M.A.d.; Alcântara Pereira, L.A. Effect of Surface Roughness on Aerodynamic Loads of Bluff Body in Vicinity of Smoothed Moving Wall. Appl. Sci. 2024, 14, 2919. https://doi.org/10.3390/app14072919

AMA Style

Oliveira MAd, Alcântara Pereira LA. Effect of Surface Roughness on Aerodynamic Loads of Bluff Body in Vicinity of Smoothed Moving Wall. Applied Sciences. 2024; 14(7):2919. https://doi.org/10.3390/app14072919

Chicago/Turabian Style

Oliveira, Marcos André de, and Luiz Antonio Alcântara Pereira. 2024. "Effect of Surface Roughness on Aerodynamic Loads of Bluff Body in Vicinity of Smoothed Moving Wall" Applied Sciences 14, no. 7: 2919. https://doi.org/10.3390/app14072919

APA Style

Oliveira, M. A. d., & Alcântara Pereira, L. A. (2024). Effect of Surface Roughness on Aerodynamic Loads of Bluff Body in Vicinity of Smoothed Moving Wall. Applied Sciences, 14(7), 2919. https://doi.org/10.3390/app14072919

Note that from the first issue of 2016, this journal uses article numbers instead of page numbers. See further details here.

Article Metrics

Back to TopTop