Abstract
The reliability of V2X (vehicle-to-everything) communication is important for safe automated driving. With the advances in wireless communication and multipath transport protocols, a vehicle can employ multiple wireless interfaces and carry out multipath communication. Although there has been extensive research into increasing the Quality of Service (QoS) performance, such as throughput and delay in V2X communication, few studies have addressed explicit ways of improving the reliability of vehicle-to-cloud (V2C) communication through multipath-based redundancy. This paper addresses the issue of improving V2C reliably via multipath-based packet duplication, with particular consideration given to redundancy mitigation. We propose a method that employs dynamic adjustment of multipath redundancy to maintain packet-delivery reliability in V2C communication while enabling redundancy mitigation. The evaluation results show that the proposed method allows the vehicle to maintain the desired reliability in terms of successful packet transmission while reducing redundancy caused by packet duplication in a multipath connection.
1. Introduction
The integration of sensing information and the cloud via V2X (vehicle to everything) is important for enabling automated driving and maneuver coordination [1,2,3,4]. One of the basic communication types in V2X is V2C (vehicle to cloud), which supports vehicles in updating and exchanging information on vehicle position, speed, and the results of object sensing. Communication reliability, which refers to the successful ratio of packet delivery, is a basic measure of V2X communication [5,6,7]. High communication reliability is required in V2C communication, especially in cases where vehicles transmit important messages or sensing data, such as those associated with driving safety. A V2C communication path between a vehicle and a cloud server, such as a dynamic map server, consists of both wireless and wired links [8]. Wireless communication types for vehicles include Dedicated Short-Range Communication (DSRC), cellular C-V2X, 5G New Radio (NR), etc., [9,10,11,12].
Although advances in both wired and wireless communication, including multipath Transmission Control Protocol (TCP) and Quick UDP Internet Connection (QUIC), have facilitated broadband communications and end-to-end QoS support, V2C communication confronts the reliability problem due to the diverse positions, applications, and demands of QoS for vehicles [13,14]. Packet loss may occur in V2C data transmission due to wireless communication failures or packet losses on the wired routes [15,16]. A vehicle may require different demands of communication reliability in diverse situations. A vehicle needs a transmission protocol based on the User Datagram Protocol (UDP) for low-delay delivery of sensing stream data, which are periodically sent from the vehicle to the cloud.
This study is inspired by the following considerations and facts: (1) Advances in multipath communication, such as multipath TCP and multipath QUIC, have facilitated the practical application of multiple paths in V2X networks [17,18,19]. (2) Concurrent transmission of the same message through different paths is a way to improve the reliability of V2C communication and overcome the reliability limit of data transmission on a V2C path. (3) On the other hand, multipath-based packet transport with duplicated packet transmission also incurs the potential problem of redundancy in data transmission due to the concurrent use of multiple paths. Redundant utilization of multiple paths causes the consumption of wireless resources at the vehicle side and increased traffic load at the cloud side.
Therefore, this paper addresses the issue of enabling both end-to-end V2C reliability and mitigating path redundancy for multipath-based duplicated packet delivery in V2C communication. We propose a multipath V2C method that controls multipath redundancy to improve and maintain the reliability of packet transmission. Packet duplication is carried out by the concurrent use of multiple paths, leading to resilience to packet losses in a single path. Furthermore, to reduce the redundancy of duplicated packet transmission, redundancy mitigation is achieved with the proposed method via dynamic adjustment of the number of paths adopted in multipath transmission. The dynamic adjustment of the path number is based on the sensing of packet losses at the receiver side.
At the vehicle side, a vehicle first relays the target reliability and packet transmission schedule to the cloud server. During V2C communication, the vehicle dynamically chooses the number of paths based on the assessment results of reliability and redundancy obtained from the cloud server. The cloud server assesses the packet losses at each path and periodically judges the reliability by comparing it with the target reliability. In order to support path redundancy adjustment, the cloud server informs the vehicle of the reliability results, which enables vehicles to adjust the necessary number of redundant paths.
The contributions of this study are as follows: (1) As far as we know, we are the first to address the issue of improving the reliability of V2C communication via multiple paths with both packet duplication and mitigation of path redundancy. (2) Taking into account the features of V2X and advances in multipath transmission, detailed algorithms are designed for the vehicle side and the cloud server side. The proposed method allows for cooperation between vehicles and the cloud through the exchange of information about the transmission schedule, packet loss status, and information related to path redundancy adjustment. (3) Explicit examinations of the effectiveness of the proposed method are carried out using theoretical analysis and computer simulations. The evaluation results show that the proposed method is effective in terms of packet transmission reliability, redundancy, and the average number of paths utilized to enable the target reliability compared to methods utilizing a fixed number of paths.
2. Related Works
Multipath transport protocols have been widely discussed in recent years [17,18,20]. Multipath TCP (MPTCP) is a TCP extension that enables a TCP connection to deliver data over different paths [17,21]. Quick UDP Internet Connection (QUIC) is a protocol that involves Transport Layer Security (TLS) and HTTP/2 over UDP to reduce delays in client–server communication [22]. Multipath QUIC (MPQUIC) is an extension of QUIC for data delivery over multiple paths at wireless terminals or IP hosts [17,18,20]. MPQUIC is a connection-based protocol, which allows multiple paths to send data for a single connection.
Essentially, a multipath protocol examines path identification, path management, path scheduling, reliable data transmission, and congestion control. The path management functionality of MPQUIC employs a path manager to control the creation and deletion of paths [17,18,20]. The path scheduling function employs a path scheduler that enables a sender to select paths among active paths to send packets [17,18,21].
Reference [23] addressed the issue of acknowledgment (ACK) packet loss in multipath QUIC. The authors proposed a method utilizing different routes to deliver data and ACK messages for multipath-based data delivery based on QUIC. The proposed method solves the on-air problem of ACK loss and increases the network throughput. Reference [24] compared multipath TCP and multipath QUIC. Similar performance results were achieved for multipath TCP and multipath QUIC. However, the authors pointed out that multipath TCP is limited to the API exposed by the iOS system, but there is no such constraint for multipath QUIC.
Reference [19] introduced a reliable fault-tolerant-based multipath routing model. In the proposed method, three paths are built, with one used as the primary path. Reference [25] proposed a method that allows multiple paths to be discovered first. Then, the optimal path in terms of delay is chosen, resulting in an improvement in delay performance.
A 5G RAN-based solution was proposed in [9] to improve QoS performance in V2X through dynamic selection and changes to the communication interfaces. Combinations of different wireless interfaces for the duplication or splitting of data packets were considered, increasing the multi-connectivity capabilities. Further, the study in [26] examined the utilization of multiple links in Wi-Fi networks to improve reliability. However, these studies did not address the issue of redundancy reduction using multiple paths.
Employing redundancy to improve reliability is a basic approach used in various systems, such as data storage and information communication [25,27]. Error correction codes adopt the additional or redundant bits to encode messages in a redundant way for detecting and correcting errors introduced by the channel in communication [28]. Redundant storage is employed to improve tolerance to system failures, such as RAID (redundant array of independent disks) [29].
Redundancy mitigation is an important issue in collective perception within V2X networks. Reference [30] addressed the issue of reducing redundant information in collective perception, using data selection algorithms to compare, judge, and select the necessary data among vehicles.
As far as we know, conventional studies have not explicitly examined the utilization and dynamic control of multipath redundancy in V2C communication for improving end-to-end reliability and mitigating path redundancy. This paper studies the end-to-end path reliability and redundancy control of multiple paths. Hence, we design a method for the utilization and control of path redundancy primarily focused on the “ends”, corresponding to vehicles and the cloud server. We address the issue of efficiently utilizing redundant multiple paths through dynamic adjustment of path combinations to enable both the reliability and the mitigation of path redundancy in V2C communication.
3. Motivation and System Model
3.1. Motivation
V2C communication enables information exchange between vehicles and cloud servers. V2C communication plays a significant role in the periodical transmission of vehicle information such as vehicle position and speed, as well as sensing information obtained from the camera, LiDAR, and GPS receiver mounted at the vehicle. Hence, the reliability of V2C communication is associated with driving safety, collision avoidance, and coordination among vehicles.
For a V2C path, packet loss may occur due to wireless communication issues at the vehicle side and potential congestion at the cloud server side. Hence, reliability in terms of packet losses on a single V2C path is constrained to support high-reliability communication between the vehicle and the cloud server. To improve V2C reliability, duplicated packet transmission across multiple paths is a way to improve reliability. First, duplicated delivery of packets across multiple paths increases the probability of receiving information at the cloud server. Second, with advances in multipath transport protocols and the low cost of wireless interfaces for vehicles, multipath delivery of V2C packets is practical.
On the other hand, improving reliability with multipath-based duplicated packet delivery comes with the cost of path redundancy at both the sender and receiver sides. Therefore, we attempt to address the issue of enabling V2C reliability while minimizing unnecessary redundancy. This issue is important due to the increasing number of cloud-connected vehicles and the increasing role of V2C in promoting driving safety, automated driving, and intelligent transport.
3.2. System Model
A vehicle has multiple wireless interfaces such as Long-Term Evolution (LTE), 5G, DSRC, Wi-Fi, etc. We denote the wireless interfaces of a vehicle by . A vehicle connects to the cloud server via V2C communication through the Internet, as shown in Figure 1. A communication path between a vehicle and a cloud server includes both wireless links, from the vehicle to the base station or access point, and wired links to the Internet. A typical application of data transmission in a vehicle is the periodical delivery of sensing results and vehicle position information to the cloud server.
Figure 1.
System model.
Let denote the maximum number of active paths in a multipath connection that a vehicle can utilize. The maximum number of active paths is limited by the total number of wireless interfaces in a vehicle.
Suppose that each vehicle has a target reliability defined by the successful rate of packet delivery. The target reliability value is determined by the demand for reliable communication according to the position and safety status of the vehicle [31]. For example, at a road intersection that has a potential risk of collision, a vehicle requires high reliability in V2C communication.
The reliability of V2C communication is measured by the successful delivery rate of packets from a vehicle to the cloud server. Hence, the reliability value is in the range of . With multipath-based packet delivery, reliability is the successful delivery rate of packets in a multipath connection from a vehicle to the cloud server. To simplify the problem we are addressing, we assume that the target reliability is constant for each vehicle.
A vehicle initiates V2C communication by periodically sending sensing, speed, and position information to the cloud server. V2C communication requires UDP-based and low-delay transmission. We assume that the delay is small in packet transmission without ACK and retransmission. The cloud server identifies packet duplication when receiving multiple duplicated packets transmitted from different paths, assuming the sender of a vehicle can label the duplicated packet with a time stamp and an associated ID.
In the proposed system, a vehicle exchanges the schedule information of periodically transmitted messages with the cloud server. The basic schedule information includes the start and end times of the message transmission, transmission interval (e.g., 100 ms), and target reliability in terms of successful packet reception rate. Based on the information exchange of the transmission schedule, the cloud server carries out packet loss counting, assessment of receiving reliability, and evaluation of path adjustments.
In accordance with practical multipath transport protocols, we present a general approach to path utilization in the proposed system as follows. A vehicle creates k paths, from which the multipath scheduler chooses n paths for transmitting data packets with duplication. Essentially, k is set to . The monitoring of reliability for each created path is carried out at the cloud server during data delivery. Suppose a path is monitored for m percent of the time during V2C transport. The percentage m can be either 100 percent or the ratio of time the path is in an active state for data delivery. (When m is 100 percent and a path is not always chosen as an active path to deliver data packets, we assume path reliability is monitored via probing-based packet delivery rates, such as periodical ping operations).
4. Reliable V2C Communication Using Multiple Paths with Redundancy Mitigation
We propose a multipath method for V2C communication that employs a dynamic selection of communication paths to address both reliability and redundancy in V2C communication. The proposed method adjusts the number of multiple paths according to the packet loss status in each active path and the desired reliability, as shown in Figure 2. In general, increasing the number of paths for packet duplication transmission improves reliability improvement, whereas decreasing the number of paths reduces redundancy in packet duplication at the receiver side.
Figure 2.
Dynamic adjustment of path redundancy.
Initially, a default number of paths is set up on a vehicle. This default number of paths can be employed according to the risk degree and demand reliability of the vehicle. By identifying the packet loss in V2C communication at the cloud server, periodic judgment of reliability matching is carried out at the cloud side.
The cloud server processes the judgment of insufficiency or over-redundancy of the current number of paths used. If the current number of paths used is insufficient to reach the target reliability value, the cloud server instructs the vehicle to increase the number of paths in packet delivery. Then, the vehicle attempts to include an additional path in V2C communication the next time around. If the current path number used is overly redundant, the vehicle attempts to delete one of the paths in the multipath connection in the next period. In the following sections, we introduce details of the proposed method, including how to identify the packet losses and how to judge the status of over-redundancy of paths.
The algorithm for the proposed method, implemented at the cloud server, is shown in Figure 3. First, the cloud server obtains information on the target reliability and transmission schedule of a vehicle initiating V2X communication. The cloud server then sets up the interval for reliability checks by monitoring end-to-end packet loss on each path in V2C communication. That is, the cloud server periodically assesses and checks the reliability performance of V2C communication on each active path created by the vehicle. During V2C communication, the reliability of each active path in terms of packet losses is monitored based on the received number of packets and the scheduled delivery of packets. The cloud server calculates the overall reliability of the multipath connection between it and the vehicle based on the total received packets without counting duplicated packets. To enable the broad application of the proposed method, this paper mainly focuses on monitoring and utilizing the status of end-to-end packet loss without needing to identify the factors that cause packet loss.
Figure 3.
Algorithm implemented at the cloud server.
The cloud compares the total effect of the reliability of a multipath connection with the target reliability to judge whether to keep, increase, or decrease the number. of paths In cases where the resulting reliability is less than the target threshold, the cloud server instructs the vehicle to increase the number of paths to improve reliability. In cases where the resulting reliability is greater than or equal to the target reliability but less than the threshold for decreasing the number of paths, the cloud server instructs the vehicle to keep the current number of paths. The cloud sends information for path adjustment to the vehicle via the normal single-path TCP protocol. The threshold for decreasing the number of paths is defined by the sum of the target threshold and an offset value. In cases where the resulting reliability is greater than the threshold for decreasing the number of paths, the cloud server instructs the vehicle to decrease the current number of paths.
The algorithm in the proposed method, implemented at the vehicle side, is shown in Figure 4. First, the vehicle determines the target reliability, which can be based on the risk level. The vehicle then informs the cloud server of its target reliability and packet delivery schedule. To enable the cloud server to track the packet loss status in V2C communication, the packet delivery schedule information includes the start time, end time, and frequency of packet delivery (e.g., 100 ms) from the vehicle to the cloud server. Upon obtaining the adjustment information from the cloud server, the vehicle updates the multipath setup to maintain reliability and reduce redundancy.
Figure 4.
Algorithm implemented at the vehicle side.
In cases where the cloud server instructs the vehicle to increase the number of paths to improve reliability, the vehicle increases the number of paths if the current number of paths is less than the maximum number of active paths. In cases where the cloud server instructs the vehicle to keep the current number of paths, the vehicle does not make any changes to the number of paths used. In cases where the cloud server instructs the vehicle to decrease the current number of paths, the vehicle proceeds to decrease the number of paths if the current number of paths is greater than one.
We further examine the basic properties of the proposed method in terms of reliability. Let the maximum number of paths for a multipath connection be N. Let denote the packet loss probability. Assume that the reliability of V2C communication is measured by the successful delivery rate of packets.
The reliability of using n paths, to send the same packet can be expressed as
The improvement in reliability compared to using a single path can be expressed as
The effectiveness of improving reliability by adding a path can be expressed as
The effectiveness of changing reliability by removing a path can be expressed as
5. Simulations
Computer simulations were conducted for the performance evaluation of the proposed method. The objective of the simulations was to examine the effectiveness of redundant packet delivery through multiple paths and redundancy mitigation by adjusting the number of paths. Through the simulations, the performance of the proposed method was compared to both conventional methods of path utilization: those involving single path-based communication and those involving multipath-based communication with a fixed number of paths. Therefore, the scenarios used for evaluation included (1) single-path communication; (2) multipath communication consisting of three active paths; and (3) the proposed method utilizing dynamic multipath communication with diverse offset values.
The evaluation metrics included reliability, the average number of paths employed in a multipath connection, the number of path changes, and packet reception redundancy. The reliability metric represents the successful rate of packet delivery to the cloud in a multipath connection. The packet reception redundancy represents the average number of duplicated packets received at the cloud server for each source packet. To simplify the network’s complexity, the evaluation employed a setup involving the probability of end-to-end packet loss on each path.
Unless otherwise stated, the parameter setup used was as shown in Table 1. The maximum number of paths was set to 5, indicating the maximum number of wireless RF interfaces, such as LTE, DSRC, etc. The number of fixed paths in the simulations was set to 1 and 3. The target reliability was set to 90 percent. In the simulations, we set up the occurrence of packet loss on each path with predefined probabilities to simulate a general scenario of packet loss, regardless of the factors that caused it. The packet loss probabilities of the paths were set to 20 percent, 30 percent, 40 percent, 40 percent, and 70 percent for paths 1, 2, 3, 4, and 5, respectively. In the simulations, the selection of paths was in order from high reliability to low reliability. To simplify the management of reliability information at each path, we assumed that the reliability was monitored at every time unit for each path. Furthermore, we assumed that the cloud-to-vehicle communication was reliable and focused on examining the V2C operation.
Table 1.
Simulation setup.
Figure 5a,b show the reliability of packet delivery with a fixed number of path(s). The blue line in the figure represents the target reliability. With only one path being employed, the average reliability was 0.776, which was far lower than the target reliability, even when using the best path among the five candidate paths. With three paths being employed, the average reliability was above 95 percent, which was much higher than the target threshold.
Figure 5.
Reliability performance.
Figure 5c shows the proposed method, employing the target reliability as the threshold for all adjustments of the path number. The average reliability was 0.903, which was close to the target reliability. The partial performance of reliability was sometimes lower than the target reliability. Figure 5d shows the proposed method, which utilized a threshold with an offset of 0.03 to decrease the number of paths. The average reliability was 0.908, which was a little higher than the target reliability most of the time. Sometimes, the reliability was lower than the target reliability.
Figure 6a–d summarize the average reliability, average redundancy of packet reception, average number of paths, and average number of path changes. The average reliability of the method employing three fixed paths was the highest, reaching up to 0.969, and also achieved the highest redundancy of 1.063 in packet reception. The average reliability of the single-path method was 0.776, which was the lowest and less than the target threshold, although it achieved a minimum redundancy of −0.224 in packet reception.
Figure 6.
Summary of performance results.
The average reliability of the proposed method with an offset of 0 was 0.903, which was close to the target threshold. This method achieved a relatively low redundancy of 0.478 in packet reception, but it achieved the highest number of path changes (18) among the evaluated methods, as shown in Figure 6d. The average number of paths in the multipath connection was 2.05, as shown in Figure 6c.
The average reliability of the proposed method with an offset of 0.03 was 0.908, which was higher than the target threshold. This method achieved an average redundancy of packet reception of 0.751, as shown in Figure 6b. The average number of paths in the multipath connection was 2.5, as shown in Figure 6b. The number of path adjustments in this scenario for the proposed method was 11, as shown in Figure 6c. Compared with the proposed method employing the target reliability as the threshold for decreasing the number of paths, there were fewer changes in the number of paths. This is because the offset used only allowed for decreasing the number of paths when the reliability was higher than the sum of the target reliability and the offset.
Furthermore, the Appendix A examines the impact of the offset in the reliability threshold on reliability, path Number, and redundancy.
6. Discussion and Future Work
Although the destination of V2C communication discussed in this paper is the cloud server, the proposed method is not limited to connections between vehicles and the cloud. We consider it possible for vehicles communicating with edge servers to apply the proposed method for reliability improvement by setting the connecting destination of vehicles to edge servers.
The proposed method employs path selection and redundant path adjustment based on the end-to-end performance of packet delivery between a vehicle and the cloud server, instead of focusing solely on the performance of wireless communication for path management. This is because a V2C path does not only involve wireless links. Choosing the most appropriate path(s) is one of the main focuses of future work. Further, it is challenging to enable the integration of the proposed method with conventional redundancy management methods that focus on a single path, a wireless link, or resource deployment.
7. Conclusions
Ensuring the reliability of end-to-end V2C communication is important for automated driving and intelligent transport systems. We address the issue of improving V2C reliability by efficiently utilizing redundant packet delivery across multiple paths while improving and mitigating path redundancy. We propose a method that dynamically adjusts multiple paths to improve and maintain reliability, thus enabling redundancy mitigation. The evaluation results show that the proposed method allows V2C communication to maintain the target reliability and utilize the appropriate number of paths with low redundancy. Compared with packet-delivery operations that use a fixed number of paths for packet transmission, the proposed method achieves effective utilization of multiple paths in terms of both high reliability and a small number of redundant paths. This paper limits its scope to examining vehicle-to-cloud reliability based on packet loss status. Future work includes examining delay improvements based on path redundancy, reliability of cloud-to-vehicle communication, and optimization of path selection and path redundancy management.
Author Contributions
Conceptualization, R.T. and K.S.; methodology, R.T. and K.S.; validation, R.T. and K.S.; writing—review and editing, R.T. and K.S. All authors have read and agreed to the published version of the manuscript.
Funding
This study was conducted as part of the “Advanced Mobility Service Research, Development, and Social Implementation Project for Level 4 Automated Driving” for the Ministry of Economy, Trade, and Industry, and was partly supported by JSPS KAKENHI Grant Number JP20H00589.
Institutional Review Board Statement
Not applicable.
Informed Consent Statement
Not applicable.
Data Availability Statement
Data is contained within the article.
Acknowledgments
The authors would like to thank the members of the AdMobi-dm2 Consortium for their advice. The authors would like to thank the reviewers for their thorough review.
Conflicts of Interest
The authors declare no conflicts of interest.
Appendix A. Extended Evaluation Results: The Impact of the Offset in the Reliability Threshold on Reliability, Path Number, and Redundancy
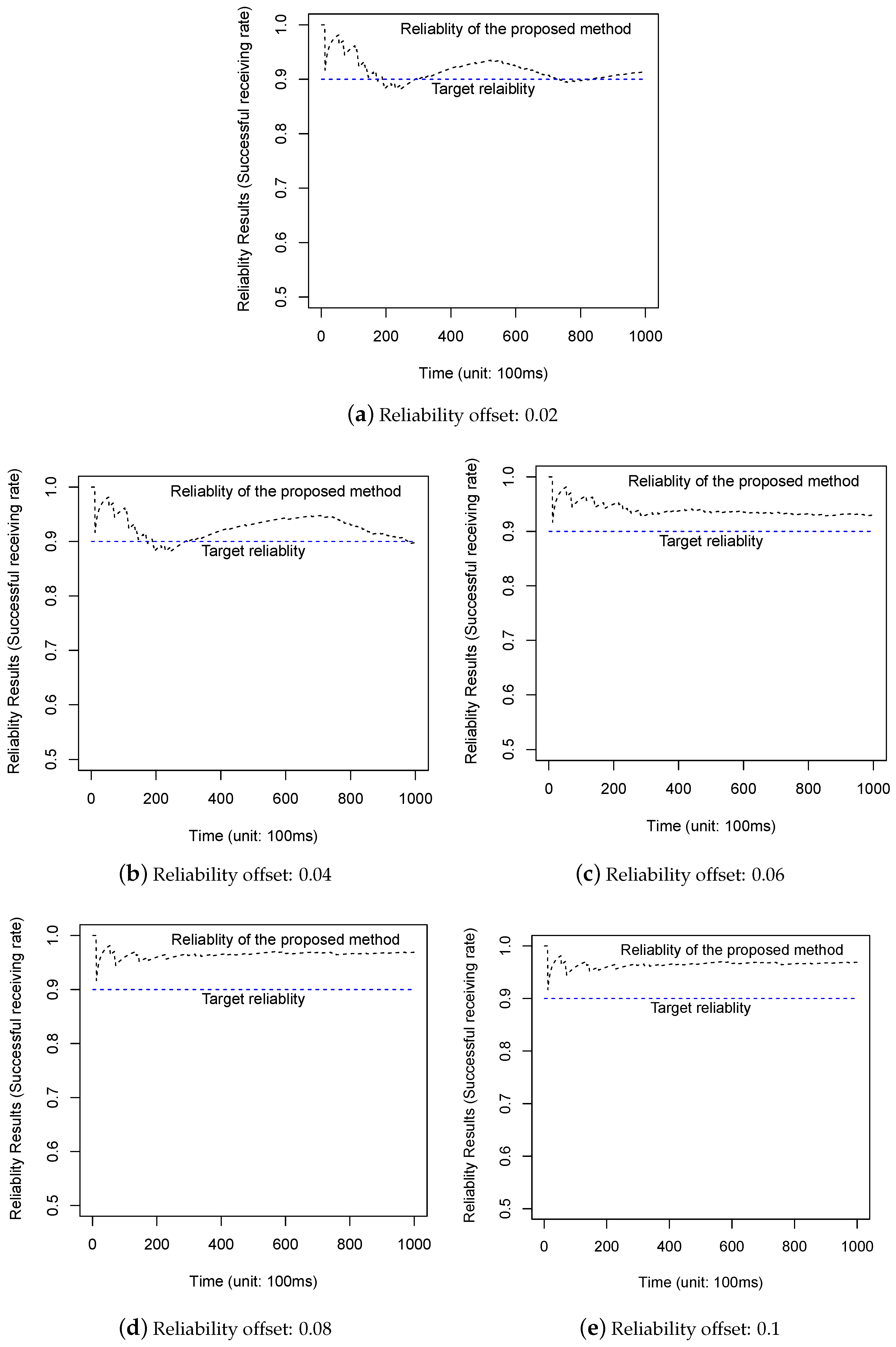
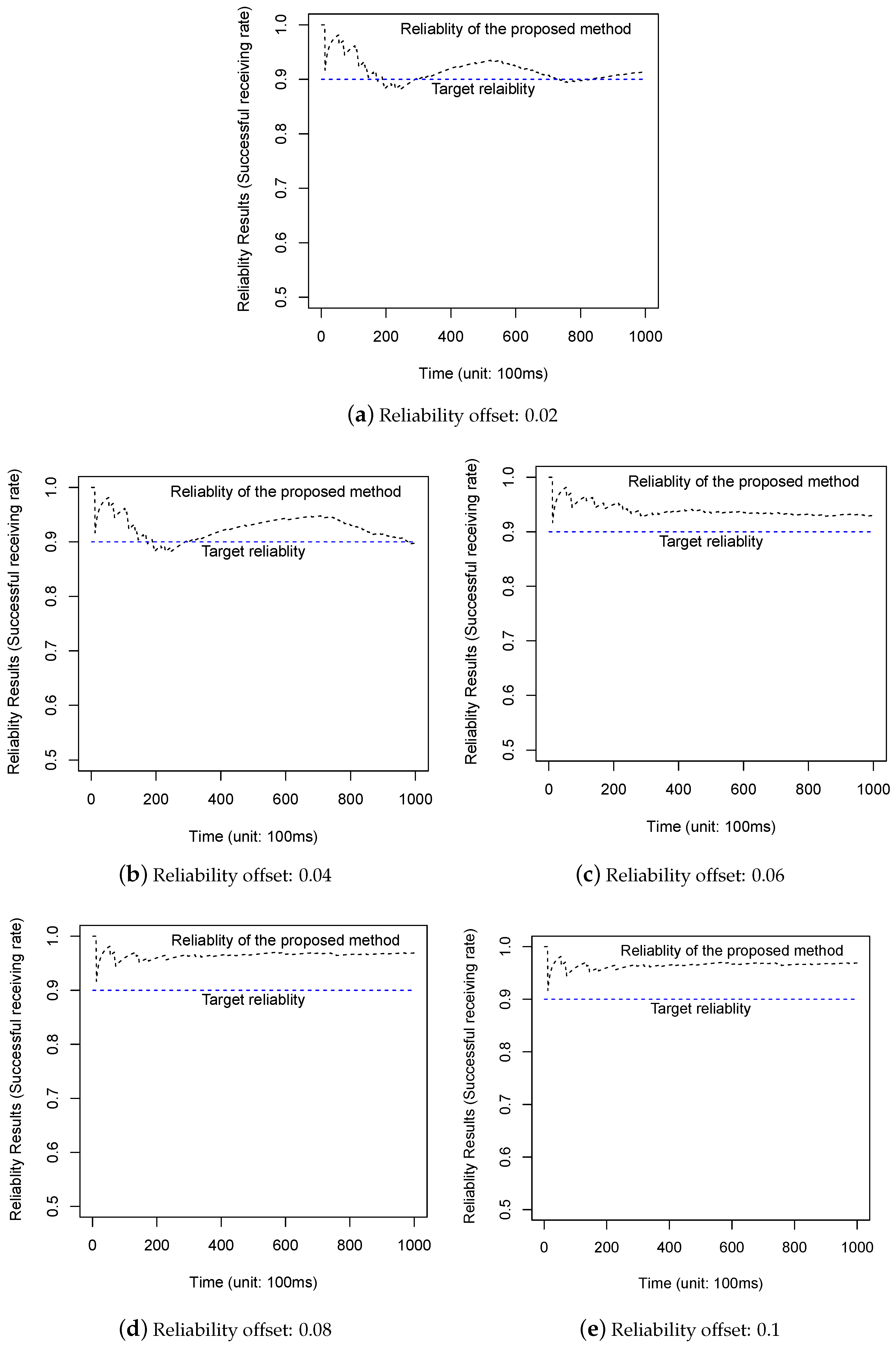
We further examined the impact of different offset values for the reliability threshold on the decrease in the number of paths. The threshold offset values used were 0, 0.02, 0.04, 0.06, 0.08, and 0.1.
Figure A1 shows the resulting reliability values for the different offset values. Offset values larger than 0.06 led to high reliability values of up to 0.96. Other offset values resulted in reliability values that were a little higher or near the target reliability.
Figure A1.
Reliability values for different offsets.
Figure A1.
Reliability values for different offsets.

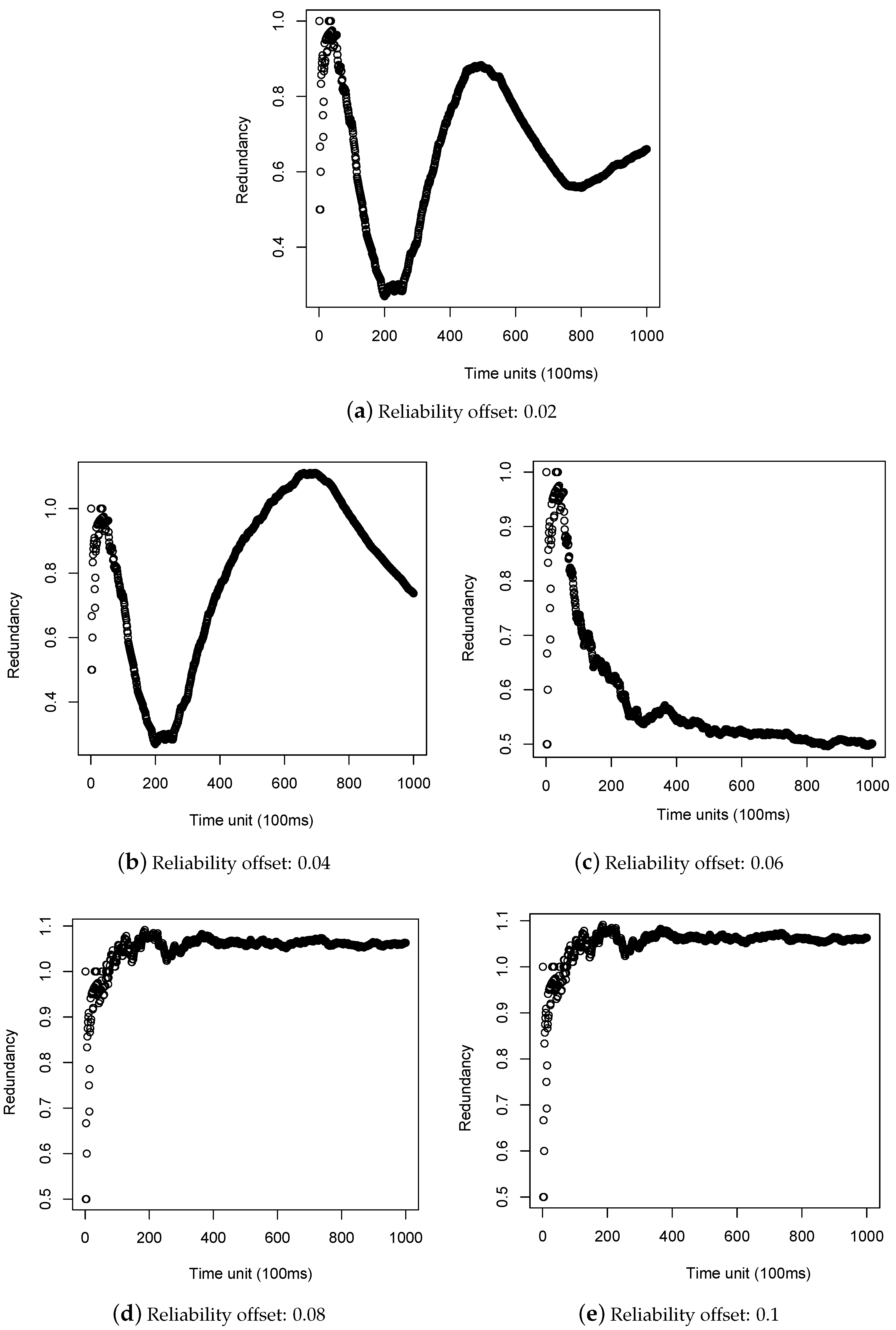
Figure A2 shows the resulting path numbers employed in V2C communication for the different offset values. Offset values larger than 0.06 led to an average of three paths being adopted in the multipath connection. Other offset values resulted in a number of paths ranging from 2.05 to 2.5. An offset value of 0.06 resulted in the smallest path number of 2.05 being employed in the multipath connection. An offset value of 0.02 resulted in 10 path changes, whereas offset values of 0.04 and 0.06 resulted in 9 and 1 path changes, respectively. Offset values larger than 0.06 resulted in no changes in the number of paths.
Figure A3 shows the resulting receiving redundancy values for the different offset values. An offset value of 0.06 resulted in the smallest redundancy value of 0.501, whereas offset values larger than 0.06 resulted in the largest redundancy value of 1.063.
Figure A2.
Number of paths for different offsets.
Figure A2.
Number of paths for different offsets.

Figure A3.
Redundancy values for different offsets.
Figure A3.
Redundancy values for different offsets.

References
- Watanabe, Y.; Sato, K.; Takada, H. Management Platform Leveraging Clouds, Edges and Embedded Systems. Int. J. ITS Res. 2020, 18, 77–89. [Google Scholar] [CrossRef]
- Schiegg, F.; Llatser, I.; Bischoff, D.; Volk, G. Collective Perception: A Safety Perspective. Sensors 2021, 21, 159. [Google Scholar] [CrossRef] [PubMed]
- Abboud, K.; Omar, H.A.; Zhuang, W. Interworking of DSRC and Cellular NetworkTechnologies for V2X Communications: A Survey. IEEE Trans. Veh. Technol. 2016, 65, 9457–9470. [Google Scholar] [CrossRef]
- Higashiyama, K.; Kimura, K.; Babakarkhail, H.; Sato, K. Safety and Efficiency of Intersections With Mix ofConnected and Non-Connected Vehicles. IEEE Open J. Intell. Transp. Syst. 2020, 1, 29–34. [Google Scholar] [CrossRef]
- Segawa, Y.; Tang, S.; Ueno, T. Reliable and Efficient Dissemination of Traffic Events Among Vehicles Associated with Different Operators by Using Cellular V2X. In Proceedings of the 2020 IEEE Vehicular Networking Conference (VNC), New York, NY, USA, 16–18 December 2020. [Google Scholar]
- Dressler, F.; Sommer, F.K.C.; Cohen, R. Not All VANET Broadcasts Are the Same: Context-Aware Class Based Broadcast. IEEE/ACM Trans. Netw. 2018, 26, 17–30. [Google Scholar] [CrossRef]
- Dressler, F.; Klingler, F.; Segata, M.; Cigno, R.L. Cooperative Driving and the Tactile Internet. Proc. IEEE 2019, 107, 436–446. [Google Scholar] [CrossRef]
- Hosono, K.; Maki, A.; Watanabe, Y.; Takada, H.; Sato, K. Implementation and Evaluation of Load Balancing Mechanism with Multiple Edge Server Cooperation for Dynamic Map System. IEEE Trans. Intell. Transp. Syst. 2021, 23, 7270–7280. [Google Scholar] [CrossRef]
- Kousaridas, A.; Zhou, C.; Martín-Sacristán, D.; Garcia-Roger, D.; Monserrat, J.F.; Roger, S. Multi-Connectivity Management for 5G V2X Communication. In Proceedings of the 2019 IEEE 30th Annual International Symposium on Personal, Indoor and Mobile Radio Communications (PIMRC), Istanbul, Turkey, 8–11 September 2019; pp. 1–7. [Google Scholar]
- Takakusaki, M.; Tang, S.; Ueno, T.; Ogishi, T.; Obana, S. Fast and Reliable Dissemination of Road and Traffic Information by Combining Cellular V2X and DSRC. In Proceedings of the 2019 IEEE Globecom Workshops, Waikoloa, HI, USA, 9–13 December 2019. [Google Scholar]
- European Telecommunications Standardisation Institute (ETSI). Intelligent Transport Systems (ITS); Vehicular Communications; Basic Set of Applications; Analysis of the Collective Perception Service (CPS); Release 2. Technical Report; ETSI: Sophia-Antipolis, France, 2019. [Google Scholar]
- Delooz, Q.; Festag, A.; Vinel, A. Revisiting Message Generation Strategies for Collective Perception in Connected and Automated Driving. In Proceedings of the Ninth International Conference on Advances in Vehicular Systems, Technologies and Applications (VEHICULAR 2020), Porto, Portugal, 19–22 October 2020. [Google Scholar]
- Kousaridas, A.; Manjunath, R.P.; Perdomo, J.; Zhou, C.; Zielinski, E.; Schmitz, S.; Pfadler, A. QoS Prediction for 5G Connected and Automated Driving. IEEE Commun. Mag. 2021, 59, 58–64. [Google Scholar] [CrossRef]
- Ishihara, S.; Furukawa, K.; Kikuchi, H. Congestion Control Algorithms for Collective Perception in Vehicular Networks. J. Inf. Process. 2021, 30, 22–29. [Google Scholar] [CrossRef]
- Bui, N.; Cesana, M.; Hosseini, S.A.; Liao, Q.; Malanchini, I.; Widmer, J. A Survey of Anticipatory Mobile Networking: Context-Based Classification, Prediction Methodologies, and Optimization Techniques. IEEE Commun. Surv. Tutor. 2017, 19, 1790–1821. [Google Scholar] [CrossRef]
- Jeong, J.; Shen, Y.; Oh, T.; Céspedes, S.; Benamar, N.; Wetterwald, M.; Härri, J. A comprehensive survey on vehicular networks for smart roads: A focus on IP-based approaches. Veh. Commun. 2021, 29, 100334. [Google Scholar] [CrossRef]
- Coninck, Q.D.; Bonaventure, O. Multipath QUIC: Design and Evaluation. In Proceedings of the 13th International Conference on emerging Networking EXperiments and Technologies, Incheon, Republic of Korea, 12–15 December 2017; pp. 160–166. [Google Scholar]
- Coninck, Q.D.; Bonaventure, O. Multipath Extensions for QUIC (MP-QUIC): draft-deconinck-quic-multipath-07; Internet Engineering Task Force (IETF). 2021. Available online: https://datatracker.ietf.org/doc/html/draft-deconinck-quic-multipath-07 (accessed on 21 March 2024).
- Abdulrab, H.; Hussin, F.A.; Aziz, A.A.; Awang, A.; Ismail, I.; Devan, P.A.M. Reliable Fault Tolerant-Based Multipath Routing Model for Industrial Wireless Control Systems. Appl. Sci. 2022, 12, 544. [Google Scholar] [CrossRef]
- Liu, Y.; Ma, Y.; Coninck, Q.D.; Olivier Bonaventure, O.; Huitema, C.; Kühlewind, M. Multipath Extension for QUIC (draft-ietf-quic-multipath-05); Internet Engineering Task Force (IETF). 2023. Available online: https://datatracker.ietf.org/doc/draft-ietf-quic-multipath/05/ (accessed on 21 March 2024).
- Ford, A.; Raiciu, C.; Handley, M.; Bonaventure, O. TCP Extensions for Multipath Operation with Multiple Addresses. RFC 6824. 2013. Available online: https://www.rfc-editor.org/rfc/rfc6824 (accessed on 21 March 2024).
- Iyengar, J.; Thomson, M. RFC9000; QUIC: A UDP-Based Multiplexed and Secure Transport; IETF: Fremont, CA, USA, 2021. [Google Scholar]
- Okunishi, R.; Teng, R.; Sato, K. Reachability-based Packet Scheduler of Multipath QUIC for Heterogeneous Mobile Networks. Commun. Netw. 2022, 14, 200–209. [Google Scholar] [CrossRef]
- Coninck, Q.D.; Bonaventure, O. MultipathTester: Comparing MPTCP and MPQUICin Mobile Environments. In Proceedings of the 3rd Workshop on Mobile Network Measurement (MNM19), Paris, France, 19–21 June 2019. [Google Scholar]
- Suo, L.; Liu, L.; Su, Z.; Cai, S.; Han, Z.; Han, H.; Bao, F. A Reliable Low-Latency Multipath Routing Algorithm for Urban Rail Transit Ad Hoc Networks. Sensors 2023, 23, 5576. [Google Scholar] [CrossRef] [PubMed]
- Cena, G.; Scanzio, S.; Cavalcanti, D.; Frascolla, V. Seamless Redundancy for High Reliability Wi-Fi. In Proceedings of the 2023 IEEE 19th International Conference on Factory Communication Systems (WFCS), Pavia, Italy, 26–28 April 2023. [Google Scholar]
- Berger, C.; Eichhammer, P.; Reiser, H.P.; Domaschka, J.; Hauck, F.J.; Habiger, G. A Survey on Resilience in the IoT: Taxonomy, Classification and Discussion of Resilience Mechanisms. ACM Comput. Surv. 2021, 54, 147. [Google Scholar] [CrossRef]
- Hamming, R.W. Error detecting and error correcting codes. Bell Syst. Tech. J. 1950, 29, 147–160. [Google Scholar] [CrossRef]
- David, P.; Garth, G.; Katz, R. A Case for Redundant Arrays of Inexpensive Disks (RAID). In Proceedings of the 1988 ACM SIGMOD International Conference on Management of Data, Chicago, IL, USA, 1–3 June 1988; pp. 109–116. [Google Scholar]
- Lobato, W.; Mendes, P.; Rosário, D.; Cerqueira, E.; Villas, L.A. Redundancy Mitigation Mechanism for Collective Perception in Connected and Autonomous Vehicles. Future Internet 2023, 15, 41. [Google Scholar] [CrossRef]
- Withanawasam, J.; Javanmardi, E.; Wong, K.; Javanmardi, M.; Kamijo, S. Road Scene Risk Perception for Intelligent Vehicles Using End-to-End Affordance Learning and Visual Reasoning. In Proceedings of the ACPR 2019, Auckland, New Zealand, 26–29 November 2019. [Google Scholar]
Disclaimer/Publisher’s Note: The statements, opinions and data contained in all publications are solely those of the individual author(s) and contributor(s) and not of MDPI and/or the editor(s). MDPI and/or the editor(s) disclaim responsibility for any injury to people or property resulting from any ideas, methods, instructions or products referred to in the content. |
© 2024 by the authors. Licensee MDPI, Basel, Switzerland. This article is an open access article distributed under the terms and conditions of the Creative Commons Attribution (CC BY) license (https://creativecommons.org/licenses/by/4.0/).





