Design, Synthesis and Molecular Modeling Study of Radiotracers Based on Tacrine and Its Derivatives for Study on Alzheimer’s Disease and Its Early Diagnosis
Abstract
1. Introduction
2. Radiolabeled Tacrine and Its Derivatives Used in Alzheimer’s Disease
2.1. Radiotracers Based on Tacrine
2.2. Radiotracers Based on Tacrine Derivatives
2.3. Molecular Modeling Studies of Tacrine Derivatives—Cholinesterase Interaction
3. Discussion
Author Contributions
Funding
Institutional Review Board Statement
Informed Consent Statement
Data Availability Statement
Conflicts of Interest
Abbreviations
| AChE | acetylcholinesterase |
| AD | Alzheimer’s disease |
| APP | amyloid precursor protein |
| BChE, BuChE | butyrylcholinesterase |
| BFCA | bifunctional coupling agent |
| CN-BFCA | succinimidyl isocyanobutyric ester |
| CNS | central nervous system |
| DOTA | 1,4,7,10-tetraazacyclododecane-1,4,7,10-tetraacetic acid |
| DOTAGA-Bn-NCS | 2,2′,2″-(10-(1-carboxy-4-((4-isothiocyanatobenzyl)amino)-4-oxobutyl)-1,4,7,10-tetraazacyclododecane-1,4,7-triyl)triacetic acid |
| DTPA-CHX-Bn-NCS | [(R)-2-Amino-3-(4-isothiocyanatophenyl)propyl]-trans-(S,S)-cyclohexane-1,2-diamine-pentaacetic acid |
| FDA | US Food and Drug Administration |
| HYNIC | 6-hydrazinonicotinamide |
| IN | intranasal |
| IR | infrared spectrum |
| IV | intravenous |
| MRI | magnetic resonance imaging |
| MS | mass spectrum |
| MTHA, N-methyl-THA | 1,2,3,4-tetrahydro-9-methyl-amino acridine |
| NMR | nuclear magnetic resonance |
| NODAGA-Bn-NCS | 2,2′-(7-(1-carboxy-4-((4-isothiocyanatobenzyl)amino)-4-oxobutyl)-1,4,7-triazonane-1,4-diyl)diacetic acid |
| NODAGA-NHS | 2,2′-(7-(1-carboxy-4-((2,5-dioxopyrrolidin-1-yl)oxy)-4-oxobutyl)-1,4,7-triazonane-1,4-diyl)diacetic acid |
| NS3 | tris(2-mercaptoethyl)-amine |
| PET | positron emission tomography |
| RHPLC | radio-high performance liquid chromatography |
| RTLC | radio-thin layer chromatography |
| SPECT | single photon emission computer tomography |
| THA, Tac | 1,2,3,4-tetrahydro-9-amino acridine |
| THP-Bn-NCS | N1,N7-bis((3-hydroxy-1,6-dimethyl-4-oxo-1,4-dihydropyridin-2-yl)methyl)-4-(3-(((3-hydroxy-1,6-dimethyl-4-oxo-1,4-dihydropyridin-2-yl)methyl)amino)-3-oxopropyl)-4-(3-(3-(4-isothiocyanatophenyl)thioureido)propanamido)heptanediamide |
| TLC | thin-layer chromatography |
| TME | tacrine microemulsion |
| TMME | tacrine mucoadhesive microemulsion |
| TS | tacrine solution |
References
- Mikiciuk-Olasik, E.; Szymański, P.; Żurek, E. Diagnostics and therapy of Alzheimer’s disease. Indian J. Exp. Biol. 2007, 45, 315–325. [Google Scholar] [PubMed]
- Declercq, L.D.; Vandenberghe, R.; Van Laere, K.; Verbruggen, A.; Bormans, G. Drug Development in Alzheimer’s Disease: The Contribution of PET and SPECT. Front. Pharmacol. 2016, 7, 88. [Google Scholar] [CrossRef] [PubMed]
- Knopman, D.S.; Amieva, H.; Petersen, R.C.; Chételat, G.; Holtzman, D.M.; Hyman, B.T.; Nixon, R.A.; Jones, D.T. Alzheimer disease. Nat. Rev. Dis. Primers 2021, 7, 33. [Google Scholar] [CrossRef] [PubMed]
- Long, J.M.; Holtzman, D.M. Alzheimer Disease: An Update on Pathobiology and Treatment Strategies. Cell 2019, 179, 312–339. [Google Scholar] [CrossRef] [PubMed]
- Sienski, G.; Narayan, P.; Bonner, J.M.; Kory, N.; Boland, S.; Arczewska, A.A.; Ralvenius, W.T.; Akay, L.; Lockshin, E.; He, L.; et al. APOE4 disrupts intracellular lipid homeostasis in human iPSC-derived glia. Sci. Transl. Med. 2021, 13, eaaz4564. [Google Scholar] [CrossRef] [PubMed]
- Tackenberg, C.; Kulic, L.; Nitsch, R.M. Familial Alzheimer’s disease mutations at position 22 of the amyloid β-peptide sequence differentially affect synaptic loss, tau phosphorylation and neuronal cell death in an ex vivo system. PLoS ONE 2020, 15, e0239584. [Google Scholar] [CrossRef] [PubMed]
- Chen, Z.R.; Huang, J.B.; Yang, S.L.; Hong, F.F. Role of Cholinergic Signaling in Alzheimer’s Disease. Molecules 2022, 27, 1816. [Google Scholar] [CrossRef] [PubMed]
- Francis, P.; Palmer, A.; Snape, M. The cholinergic hypothesis of Alzheimer’s disease: A review of progress. J. Neurol. Neurosurg. Psychiatry 1999, 66, 137–147. [Google Scholar] [CrossRef] [PubMed]
- Camps, P.; Munoz-Torrero, D. Cholinergic drugs in pharmacotherapy of Alzheimer’s disease. Mini Rev. Med. Chem. 2002, 2, 11–25. [Google Scholar] [CrossRef]
- Ferreira-Vieira, T.H.; Guimaraes, I.M.; Silva, F.R.; Ribeiro, F.M. Alzheimer’s disease: Targeting the Cholinergic System. Curr. Neuropharmacol. 2016, 14, 101–115. [Google Scholar] [CrossRef]
- Colović, M.B.; Krstić, D.Z.; Lazarević-Pašti, T.D.; Bondžić, A.M.; Vasić, V.M. Acetylcholinesterase inhibitors: Pharmacology and toxicology. Curr. Neuropharmacol. 2013, 11, 315–335. [Google Scholar] [CrossRef] [PubMed]
- Walczak-Nowicka, Ł.J.; Herbert, M. Acetylcholinesterase Inhibitors in the Treatment of Neurodegenerative Diseases and the Role of Acetylcholinesterase in their Pathogenesis. Int. J. Mol. Sci. 2021, 22, 9290. [Google Scholar] [CrossRef]
- Ruangritchankul, S.; Chantharit, P.; Srisuma, S.; Gray, L.C. Adverse Drug Reactions of Acetylcholinesterase Inhibitors in Older People Living with Dementia: A Comprehensive Literature Review. Ther. Clin. Risk Manag. 2021, 17, 927–949. [Google Scholar] [CrossRef] [PubMed]
- Jann, M.W.; Shirley, K.L.; Small, G.W. Clinical pharmacokinetics and pharmacodynamics of cholinesterase inhibitors. Clin. Pharmacokinet. 2002, 41, 719–739. [Google Scholar] [CrossRef]
- Crismon, M.L. Tacrine: First drug approved for Alzheimer’s disease. Ann. Pharmacother. 1994, 28, 744–751. [Google Scholar] [CrossRef] [PubMed]
- Riekkinen, P., Jr.; Kuikka, J.; Soininen, H.; Helkala, E.L.; Hallikainen, M.; Riekkinen, P. Tetrahydroaminoacridine modulates technetium-99m labelled ethylene dicysteinate retention in Alzheimer’s disease measured with single photon emission computed tomography imaging. Neurosci. Lett. 1995, 195, 53–56. [Google Scholar] [CrossRef]
- Stanciu, G.D.; Luca, A.; Rusu, R.N.; Bild, V.; Beschea Chiriac, S.I.; Solcan, C.; Bild, W.; Ababei, D.C. Alzheimer’s Disease Pharmacotherapy in Relation to Cholinergic System Involvement. Biomolecules 2020, 10, 40. [Google Scholar] [CrossRef]
- Holden, M.; Kelly, C. Use of cholinesterase inhibitors in dementia. Adv. Psychiatr. Treat. 2002, 8, 89–96. [Google Scholar] [CrossRef]
- Mimica, N.; Presečki, P. Side Effects of Approved Antidementives. Psychiatr. Danub. 2009, 21, 108–113. [Google Scholar]
- McNally, W.; Roth, M.; Young, R.; Bockbrader, H.; Chang, T. Quantitative whole-body autoradiographic determination of tacrine tissue distribution in rats following intravenous or oral dose. Pharm. Res. 1989, 6, 924–930. [Google Scholar] [CrossRef]
- McNally, W.; Pool, W.F.; Sinz, M.W.; Dehart, P.; Ortwine, D.F.; Huang, C.C.; Chang, T.; Woolf, T.F. Distribution of tacrine and metabolites in rat brain and plasma after single- and multiple-dose regimens. Evidence for accumulation of tacrine in brain tissue. Drug Metab. Dispos. 1996, 24, 628–633. [Google Scholar] [PubMed]
- Mena, E.E.; Desai, M.C. High-affinity [3H]THA (tetrahydroaminoacridine) binding sites in rat brain. Pharm. Res. 1991, 8, 200–203. [Google Scholar] [CrossRef]
- Egan, J.A.; Nugent, R.P.; Filer, C.N. Tritium labelling and characterization of the cognition enhancing drug tacrine using several precursors. Appl. Radiat. Isot. 2002, 57, 837–840. [Google Scholar] [CrossRef] [PubMed]
- Jogani, V.V.; Shah, P.J.; Mishra, P.; Mishra, A.K.; Misra, A.R. Nose-to-brain delivery of tacrine. J. Pharm. Pharmacol. 2007, 59, 1199–1205. [Google Scholar] [CrossRef]
- Jogani, V.V.; Shah, P.J.; Mishra, P.; Mishra, A.K.; Misra, A.R. Intranasal mucoadhesive microemulsion of tacrine to improve brain targeting. Alzheimer Dis. Assoc. Disord. 2008, 22, 116–124. [Google Scholar] [CrossRef] [PubMed]
- Bonnot, S.; Prenant, C.; Crouzel, C. Synthesis of 9-[11C]methylamino-1,2,3,4-tetrahydroacridine, a potent acetylcholine esterase inhibitor. Appl. Radiat. Isot. 1991, 42, 690–691. [Google Scholar] [CrossRef]
- Tavitian, B.; Pappata, S.; Bonnot-Lours, S.; Prenant, C.; Jobert, A.; Crouzel, C.; Di Giamberardino, L. Positron emission tomography study of [11C]methyl-tetrahydroaminoacridine (methyl-tacrine) in baboon brain. Eur. J. Pharmacol. 1993, 236, 229–238. [Google Scholar] [CrossRef] [PubMed]
- Traykov, L.; Tavitian, B.; Jobert, A.; Boller, F.; Forette, F.; Crouzel, C.; Di Giamberardino, L.; Pappata, S. In vivo PET study of cerebral [11C] methyl- tetrahydroaminoacridine distribution and kinetics in healthy human subjects. Eur. J. Neurol. 1999, 6, 273–278. [Google Scholar] [CrossRef]
- Nishioka, K.; Kamada, T.; Kanamaru, H. 14C-labeling of a tetrahydroacridine, a novel CNS-selective cholinesterase inhibitor. J. Label. Compd. Radiopharm. 1992, 31, 553–560. [Google Scholar] [CrossRef]
- Akula, M.R.; Kabalka, G.W. Synthesis of 7-[123I]iodotacrine: A potential SPECT agent to map acetylcholinesterase. J. Label. Compd. Radiopharm. 1999, 42, 959–964. [Google Scholar] [CrossRef]
- Szymański, P.; Zurek, E.; Mikiciuk-Olasik, E. New tacrine-hydrazinonicotinamide hybrids as acetylcholinesterase inhibitors of potential interest for the early diagnostics of Alzheimer’s disease. Pharmazie 2006, 61, 269–273. [Google Scholar] [CrossRef]
- Szymański, P.; Markowicz, M.; Mikiciuk-Olasik, E. Synthesis and biological activity of derivatives of tetrahydroacridine as acetylcholinesterase inhibitors. Bioorg. Chem. 2011, 39, 138–142. [Google Scholar] [CrossRef] [PubMed]
- Gniazdowska, E.; Koźmiński, P.; Wasek, M.; Bajda, M.; Sikora, J.; Mikiciuk-Olasik, E.; Szymański, P. Synthesis, physicochemical and biological studies of technetium-99m labeled tacrine derivative as a diagnostic tool for evaluation of cholinesterase level. Bioorg. Med. Chem. 2017, 25, 912–920. [Google Scholar] [CrossRef] [PubMed]
- Gniazdowska, E.; Koźmiński, P.; Halik, P.; Bajda, M.; Czarnecka, K.; Mikiciuk-Olasik, E.; Masłowska, K.; Rogulski, Z.; Cheda, Ł.; Kilian, K.; et al. Synthesis, physicochemical and biological evaluation of tacrine derivative labeled with technetium-99m and gallium-68 as a prospective diagnostic tool for early diagnosis of Alzheimer’s disease. Bioorg. Chem. 2019, 91, 103136. [Google Scholar] [CrossRef] [PubMed]
- Koźmiński, P.; Niedziałek, D.; Wieczorek, G.; Halik, P.K.; Czarnecka, K.; Rogut, A.; Cheda, Ł.; Rogulski, Z.; Szymański, P.; Gniazdowska, E. New Imaging Modality of COVID-19 Pneumonia Developed on the Basis of Alzheimer’s Disease Research. Int. J. Mol. Sci. 2022, 23, 8405. [Google Scholar] [CrossRef] [PubMed]
- Szymański, P.; Lázničková, A.; Lázniček, M.; Bajda, M.; Malawska, B.; Markowicz, M.; Mikiciuk-Olasik, E. 2,3-dihydro-1H-cyclopenta[b]quinoline derivatives as acetylcholinesterase inhibitors-synthesis, radiolabeling and biodistribution. Int. J. Mol. Sci. 2012, 13, 10067–10090. [Google Scholar] [CrossRef] [PubMed]
- Dvir, H.; Silman, I.; Harel, M.; Rosenberry, T.L.; Sussman, J.L. Acetylcholinesterase: From 3D structure to function. Chem. Biol. Interact. 2010, 187, 10–22. [Google Scholar] [CrossRef] [PubMed]
- Bajda, M.; Więckowska, A.; Hebda, M.; Guzior, N.; Sotriffer, C.A.; Malawska, B. Structure-Based Search for New Inhibitors of Cholinesterases. Int. J. Mol. Sci. 2013, 14, 5608–5632. [Google Scholar] [CrossRef]
- Xu, Y.; Cheng, S.; Sussman, J.L.; Silman, I.; Jiang, H. Computational Studies on Acetylcholinesterases. Molecules 2017, 22, 1324. [Google Scholar] [CrossRef]





| Tacrine-Based Radiotracers | Research Purpose and Conclusions | References |
|---|---|---|
| [9-14C]tacrine ([14C]THA) | Distribution of the radiopreparation in the rat body after both intravenous and oral administration, studies of the process of tacrine metabolism in the brain
| [20,21] |
| [7-3H]tacrine ([3H]THA) | AChE enzymatic test, localization of [3H]THA binding sites in the rat brain, kinetic parameters of [3H]THA binding, ability of THA to inhibit AChE
| [22] |
| [7-3H]tacrine and [5,7-3H]tacrine | Procedure for the synthesis of tritium-labeled tacrine, analysis of products using TLC, HPLC and NMR methods | [23] |
| [99mTc]Tacrine solution ([99mTc]Tc-TS) | Studies on the intravenous (IV) and intranasal (IN) administration of tacrine labeled with technetium-99m, biodistribution studies in mice
| [24] |
| [99mTc]Tc-TS, [99mTc]Tc-TME, [99mTc]Tc-TMME | Syntheses and characterization of tacrine solution (TS), tacrine microemulsion (TME) and tacrine mucoadhesive microemulsion (TMME) and assessment of their pharmacokinetic and pharmacodynamic properties in the process of tacrine delivery to the brain, radiolabeling of these tacrine formulations with 99mTc, biodistribution studies in mice after intravenous (IV) and intranasal (IN) administration
| [25] |
| Tacrine Derivative-Based Radioconjugates | Research Purpose and Conclusions | References |
|---|---|---|
| [11C]MTHA | Synthesis procedure | [26] |
Studies in vivo in non-human primates: in rats (radioactivity was measured in blood, plasma, heart, liver, kidneys, lungs, skeletal muscles and brain (separately in the pons, cerebellum, colliculi, hypothalamus, hippocampus, striatum and anterior and posterior cortices)), and PET imaging on two male adult baboons using both [11C]MTHA radiotracer alone and [11C]MTHA radiotracer together with unlabeled THA
| [27] | |
Studies in vivo in healthy human volunteers and measurement of radioactivity accumulated in all brain regions studied in the case of co-injection of THA together with [11C]MTHA
| [28] | |
| 9-amino-8-fluoro-2,4-methane-1,2,3,4-[9-14C]tetrahydroacridine | Synthesis procedure of radiopreparation dedicated for metabolic studies, potential therapeutic radiopharmaceutical in AD | [29] |
| [123I]7-I-THA | Procedure for the synthesis of a potential agent for imaging the map of acetylcholinesterase (AChE) receptor sites in living organisms | [30] |
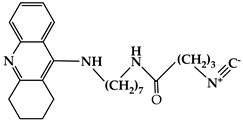
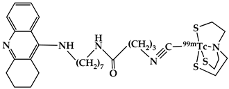
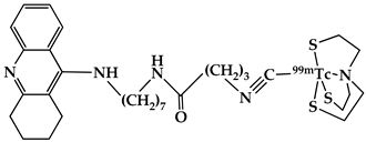
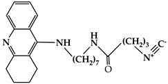
| [99mTc]Tc(NS3)(CN-NH(CH2)nTac | Synthesis and physicochemical properties of radioconjugates, multiorgan biodistribution study of [99mTc]Tc(NS3)(CN-NH(CH2)7Tac in normal mice, computer docking studies of [99mTc]Tc(NS3)(CN-NH(CH2)7Tac and its parent tacrine-based complexing agent CN-NH(CH2)7Tac
| [33] |
| [99mTc]Tc-Hynic-NH(CH2)nTac, [68Ga]Ga-DOTA-NH(CH2)nTac | Synthesis and physicochemical properties of radioconjugates, biodistribution studies in mice and molecular modelling studies of [99mTc]Tc-Hynic-NH(CH2)9Tac and [68Ga]Ga-DOTA-NH(CH2)9Tac
| [34] |
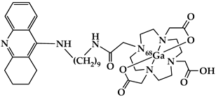
| [68Ga]Ga-NODAGA-NH(CH2)9Tac, [68Ga]Ga-NODAGA-Bn-NH(CH2)9Tac, [68Ga]Ga-DOTAGA-Bn-NH (CH2)9Tac, [68Ga]Ga-DTPA-CHX-NH (CH2)9Tac, [68Ga]Ga-THP-NH(CH2)9Tac | Synthesis and physicochemical properties of 68Ga-radioconjugates using the five various chelators NODAGA-NHS, NODAGA-Bn-NCS, DOTAGA-Bn-NCS, DTPA-CHX-Bn-NCS-THP-Bn-NCS, biodistribution studies in mice and molecular modelling studies of [68Ga]Ga-NODAGA-Bn-NH(CH2)9Tac and [68Ga]Ga-THP-NH(CH2)9Tac
| [35] |
| [99mTc]Tc-Hynic-(CH2)22,3- dihydro-1H-cyclopenta[b] quinolone | Synthesis, physicochemical properties and docking studies of Hynic-(CH2)n-2,3-dihydro-1H-cyclopenta[b]quinolone derivatives, synthesis, physicochemical properties and biodistribution studies in rats of [99mTc]Tc-Hynic-(CH2)2-2,3-dihydro-1H-cyclopenta[b]quinolone radioconjugate
| [36] |
| Radio(conjugates) | Molecular Docking Studies to | |
|---|---|---|
| AChE [Ref.] | BChE [Ref.] | |
![]() | Figure 5 in [33] | ----- |
![]() | Figure 5 in [33] | ----- |
![]() | Figure 7 in [34] | ----- |
![]() | ----- | Figure 8 in [34] |
![]() | Figure 8 in [35] | ----- |
![]() | Figure 8 in [35] | ------ |
![]() | Figure 1 in [36] | ----- |
![]() | ----- | Figure 2 in [36] |
Disclaimer/Publisher’s Note: The statements, opinions and data contained in all publications are solely those of the individual author(s) and contributor(s) and not of MDPI and/or the editor(s). MDPI and/or the editor(s) disclaim responsibility for any injury to people or property resulting from any ideas, methods, instructions or products referred to in the content. |
© 2024 by the authors. Licensee MDPI, Basel, Switzerland. This article is an open access article distributed under the terms and conditions of the Creative Commons Attribution (CC BY) license (https://creativecommons.org/licenses/by/4.0/).
Share and Cite
Koźmiński, P.; Gniazdowska, E. Design, Synthesis and Molecular Modeling Study of Radiotracers Based on Tacrine and Its Derivatives for Study on Alzheimer’s Disease and Its Early Diagnosis. Appl. Sci. 2024, 14, 2827. https://doi.org/10.3390/app14072827
Koźmiński P, Gniazdowska E. Design, Synthesis and Molecular Modeling Study of Radiotracers Based on Tacrine and Its Derivatives for Study on Alzheimer’s Disease and Its Early Diagnosis. Applied Sciences. 2024; 14(7):2827. https://doi.org/10.3390/app14072827
Chicago/Turabian StyleKoźmiński, Przemysław, and Ewa Gniazdowska. 2024. "Design, Synthesis and Molecular Modeling Study of Radiotracers Based on Tacrine and Its Derivatives for Study on Alzheimer’s Disease and Its Early Diagnosis" Applied Sciences 14, no. 7: 2827. https://doi.org/10.3390/app14072827
APA StyleKoźmiński, P., & Gniazdowska, E. (2024). Design, Synthesis and Molecular Modeling Study of Radiotracers Based on Tacrine and Its Derivatives for Study on Alzheimer’s Disease and Its Early Diagnosis. Applied Sciences, 14(7), 2827. https://doi.org/10.3390/app14072827









