Optimizing the Thickness of Functionally Graded Lattice Structures for High-Performance Energy Absorption: A Case Study Based on a Bicycle Helmet
Abstract
1. Introduction
1.1. Lattice Structures
1.2. Functionally Graded Lattice Structures
1.3. Scope
2. Materials and Methods
2.1. Performance Metric and Test Standard
2.2. Test Stand and Data Acquisition Setup
2.3. Tests of Commercially Available Mountain Bike Helmets
2.4. Software
2.5. Helmet and Dummy Head Geometry
2.6. Lattice Design Procedure and Lattice Types
2.7. Manufacturing
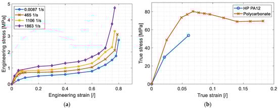
2.8. Materials
2.9. FEA Model Setup
2.10. Johnson–Cook Material Parameter Optimization
2.11. Simulations of Helmet Models with Uniform Lattice Thickness
2.12. Lattice Splitting and Thickness Optimization Procedure
3. Results
3.1. Results of Helmets with Foam Liner
3.2. Results of Helmets with Lattice Liner
3.2.1. Results of Material Parameter Approximation
3.2.2. Results of Helmet Model Simulations with Uniform Beam Diameter
3.2.3. Results of Lattice Optimization Procedure
3.2.4. Lattice Thickness Measurements
3.2.5. Test Results of Helmet Model with Optimized Lattice Structure
3.2.6. Helmet Sample Examination after Testing
4. Summary
5. Discussion
Author Contributions
Funding
Institutional Review Board Statement
Informed Consent Statement
Data Availability Statement
Acknowledgments
Conflicts of Interest
Appendix A


References
- Uribe-Lam, E.; Treviño-Quintanilla, C.D.; Cuan-Urquizo, E.; Olvera-Silva, O. Use of additive manufacturing for the fabrication of cellular and lattice materials: A review. Mater. Manuf. Process. 2020, 36, 257–280. [Google Scholar] [CrossRef]
- Seharing, A.; Azman, A.H.; Abdullah, S. A review on integration of lightweight gradient lattice structures in additive manufacturing parts. Adv. Mech. Eng. 2020, 12, 1687814020916951. [Google Scholar] [CrossRef]
- Aghajani, S.; Wu, C.; Li, Q.; Fang, J. Additively manufactured composite lattices: A state-of-the-art review on fabrications, architectures, constituent materials, mechanical properties, and future directions. Thin-Walled Struct. 2024, 197, 111539. [Google Scholar] [CrossRef]
- Deshpande, V.S.; Ashby, M.F.; Fleck, N.A. Foam topology: Bending versus stretching dominated architectures. Acta Mater. 2001, 49, 1035–1040. [Google Scholar] [CrossRef]
- Tamburrino, F.; Graziosi, S.; Bordegoni, M. The Design Process of Additively Manufactured Mesoscale Lattice Structures: A Review. J. Comput. Inf. Sci. Eng. 2018, 18, 040801. [Google Scholar] [CrossRef]
- Ashby, M.F. The properties of foams and lattices. Philos. Trans. R. Soc. A Math. Phys. Eng. Sci. 2006, 364, 15–30. [Google Scholar] [CrossRef] [PubMed]
- Gibson, L.J.; Ashby, M.F. Cellular Solids: Structure & Properties; Cambridge University Press: Oxford, UK, 1997. [Google Scholar] [CrossRef]
- Maconachie, T.; Leary, M.; Lozanovski, B.; Zhang, X.; Qian, M.; Faruque, O.; Brandt, M. SLM lattice structures: Properties, performance, applications and challenges. Mater. Des. 2019, 183, 108137. [Google Scholar] [CrossRef]
- Song, B.; Zhang, L.; Shi, Y. Microlattice metamaterials. In Metamaterial Design and Additive Manufacturing; Elsevier: Amsterdam, The Netherlands, 2023; pp. 223–266. [Google Scholar] [CrossRef]
- Yan, C.; Hao, L.; Yang, L.; Hussein, A.Y.; Young, P.G.; Li, Z.; Li, Y. Metal alloys uniform TPMS structures. In Triply Periodic Minimal Surface Lattices Additively Manufactured by Selective Laser Melting; Elsevier: Amsterdam, The Netherlands, 2021; pp. 39–130. [Google Scholar] [CrossRef]
- Tancogne-Dejean, T.; Spierings, A.B.; Mohr, D. Additively-manufactured metallic micro-lattice materials for high specific energy absorption under static and dynamic loading. Acta Mater. 2016, 116, 14–28. [Google Scholar] [CrossRef]
- Gümrük, R.; Mines, R.A.W.; Karadeniz, S. Static mechanical behaviours of stainless steel micro-lattice structures under different loading conditions. Mater. Sci. Eng. A 2013, 586, 392–406. [Google Scholar] [CrossRef]
- Mahshid, R.; Hansen, H.N.; Højbjerre, K.L. Strength analysis and modeling of cellular lattice structures manufactured using selective laser melting for tooling applications. Mater. Des. 2016, 104, 276–283. [Google Scholar] [CrossRef]
- Della Ripa, M.; Paolino, D.; Amorese, A.; Tridello, A. Numerical modelling of the mechanical response of lattice structures produced through AM. Procedia Struct. Integr. 2021, 33, 714–723. [Google Scholar] [CrossRef]
- Sanami, M.; Ravirala, N.; Alderson, K.; Alderson, A. Auxetic Materials for Sports Applications. Procedia Eng. 2014, 72, 453–458. [Google Scholar] [CrossRef]
- Hou, W.; Yang, X.; Zhang, W.; Xia, Y. Design of energy-dissipating structure with functionally graded auxetic cellular material. Int. J. Crashworthiness 2018, 23, 366–376. [Google Scholar] [CrossRef]
- Xue, Y.; Gao, P.; Zhou, L.; Han, F. An Enhanced Three-Dimensional Auxetic Lattice. Materials 2020, 13, 1008. [Google Scholar] [CrossRef] [PubMed]
- Chen, Z.; Wu, X.; Xie, Y.M.; Wang, Z.; Zhou, S. Re-entrant auxetic lattices with enhanced stiffness: A numerical study. Int. J. Mech. Sci. 2020, 178, 105619. [Google Scholar] [CrossRef]
- Cheng, X.; Zhang, Y.; Ren, X.; Han, D.; Jiang, W.; Zhang, X.G.; Luo, H.C.; Xie, Y.M. Design and mechanical characteristics of auxetic metamaterial with tunable stiffness. Int. J. Mech. Sci. 2022, 223, 107286. [Google Scholar] [CrossRef]
- Pham, M.-S.; Liu, C.; Todd, I.; Lertthanasarn, J. Damage-tolerant architected materials inspired by crystal microstructure. Nature 2019, 565, 305–311. [Google Scholar] [CrossRef]
- Al-Ketan, O.; Lee, D.-W.; Rowshan, R.; Abu Al-Rub, R.K. Functionally graded and multi-morphology sheet TPMS lattices: Design, manufacturing, and mechanical properties. J. Mech. Behav. Biomed. Mater. 2020, 102, 103520. [Google Scholar] [CrossRef] [PubMed]
- Maskery, I.; Aremu, A.; Parry, L.; Wildman, R.; Tuck, C.; Ashcroft, I. Effective design and simulation of surface-based lattice structures featuring volume fraction and cell type grading. Mater. Des. 2018, 155, 220–232. [Google Scholar] [CrossRef]
- Bai, L.; Gong, C.; Chen, X.; Sun, Y.; Xin, L.; Pu, H.; Peng, Y.; Luo, J. Mechanical properties and energy absorption capabilities of functionally graded lattice structures: Experiments and simulations. Int. J. Mech. Sci. 2020, 182, 105735. [Google Scholar] [CrossRef]
- Niknam, H.; Akbarzadeh, A. Graded lattice structures: Simultaneous enhancement in stiffness and energy absorption. Mater. Des. 2020, 196, 109129. [Google Scholar] [CrossRef]
- Maskery, I.; Hussey, A.; Panesar, A.; Aremu, A.; Tuck, C.; Ashcroft, I.; Hague, R. An investigation into reinforced and functionally graded lattice structures. J. Cell. Plast. 2017, 53, 151–165. [Google Scholar] [CrossRef]
- Choy, S.Y.; Sun, C.-N.; Leong, K.F.; Wei, J. Compressive properties of functionally graded lattice structures manufactured by selective laser melting. Mater. Des. 2017, 131, 112–120. [Google Scholar] [CrossRef]
- Ajdari, A.; Nayeb-Hashemi, H.; Vaziri, A. Dynamic crushing and energy absorption of regular, irregular and functionally graded cellular structures. Int. J. Solids Struct. 2011, 48, 506–516. [Google Scholar] [CrossRef]
- Tao, W.; Sutton, A.; Kolan, K.; Leu, M.C. Design of Lattice Structures with Graded Density Fabricated by Additive Manufacturing. In Proceedings of the International Symposium on Flexible Automation 2018 International Symposium on Flexible Automation, Kanazawa, Japan, 15–19 July 2018. [Google Scholar] [CrossRef]
- Yang, J.; Chen, X.; Sun, Y.; Zhang, J.; Feng, C.; Wang, Y.; Wang, K.; Bai, L. Compressive properties of bidirectionally graded lattice structures. Mater. Des. 2022, 218, 110683. [Google Scholar] [CrossRef]
- Xu, Y.; Li, T.; Cao, X.; Tan, Y.; Luo, P. Compressive Properties of 316L Stainless Steel Topology-Optimized Lattice Structures Fabricated by Selective Laser Melting. Adv. Eng. Mater. 2021, 23, 2000957. [Google Scholar] [CrossRef]
- Xiao, Z.; Yang, Y.; Xiao, R.; Bai, Y.; Song, C.; Wang, D. Evaluation of topology-optimized lattice structures manufactured via selective laser melting. Mater. Des. 2018, 143, 27–37. [Google Scholar] [CrossRef]
- Song, J.; Wang, Y.; Zhou, W.; Fan, R.; Yu, B.; Lu, Y.; Li, L. Topology optimization-guided lattice composites and their mechanical characterizations. Compos. Part B Eng. 2019, 160, 402–411. [Google Scholar] [CrossRef]
- Du, Y.; Li, H.; Luo, Z.; Tian, Q. Topological design optimization of lattice structures to maximize shear stiffness. Adv. Eng. Softw. 2017, 112, 211–221. [Google Scholar] [CrossRef]
- Han, Y.; Lu, W.F. A Novel Design Method for Nonuniform Lattice Structures Based on Topology Optimization. J. Mech. Des. 2018, 140, 091403. [Google Scholar] [CrossRef]
- Daynes, S.; Feih, S.; Lu, W.F.; Wei, J. Optimisation of functionally graded lattice structures using isostatic lines. Mater. Des. 2017, 127, 215–223. [Google Scholar] [CrossRef]
- Wu, J.; Wang, W.; Gao, X. Design and Optimization of Conforming Lattice Structures. IEEE Trans. Vis. Comput. Graph. 2021, 27, 43–56. [Google Scholar] [CrossRef] [PubMed]
- Wang, X.; Zhu, L.; Sun, L.; Li, N. A study of functionally graded lattice structural design and optimisation. In Proceedings of the 2020 6th International Conference on Mechanical Engineering and Automation Science (ICMEAS), Moscow, Russia, 29–31 October 2020; pp. 50–55. [Google Scholar]
- Takezawa, A.; Zhang, X.; Kato, M.; Kitamura, M. Method to optimize an additively-manufactured functionally-graded lattice structure for effective liquid cooling. Addit. Manuf. 2019, 28, 285–298. [Google Scholar] [CrossRef]
- Maloney, K.J.; Fink, K.D.; Schaedler, T.A.; Kolodziejska, J.A.; Jacobsen, A.J.; Roper, C.S. Multifunctional heat exchangers derived from three-dimensional micro-lattice structures. Int. J. Heat Mass Transf. 2012, 55, 2486–2493. [Google Scholar] [CrossRef]
- Cheng, L.; Liu, J.; Liang, X.; To, A.C. Coupling lattice structure topology optimization with design-dependent feature evolution for additive manufactured heat conduction design. Comput. Methods Appl. Mech. Eng. 2018, 332, 408–439. [Google Scholar] [CrossRef]
- Guild, M.D.; Rothko, M.; Sieck, C.F.; Rohde, C.; Orris, G. 3D printed sound absorbers using functionally-graded sonic crystals. J. Acoust. Soc. Am. 2018, 143, 1714. [Google Scholar] [CrossRef]
- Leng, B.; Ruan, D.; Tse, K.M. Recent bicycle helmet designs and directions for future research: A comprehensive review from material and structural mechanics aspects. Int. J. Impact Eng. 2022, 168, 104317. [Google Scholar] [CrossRef]
- Bontrager. Available online: https://www.trekbikes.com/international/en_IN_TL/bontrager?clear=true (accessed on 27 November 2023).
- WaveCel Helmets|Trek Bikes. Available online: https://www.trekbikes.com/us/en_US/wavecel/ (accessed on 19 November 2021).
- Koroyd. Available online: https://koroyd.com/ (accessed on 24 November 2023).
- Hexr. Available online: https://hexr.com (accessed on 27 November 2023).
- Bliven, E.; Rouhier, A.; Tsai, S.; Willinger, R.; Bourdet, N.; Deck, C.; Madey, S.M.; Bottlang, M. Evaluation of a novel bicycle helmet concept in oblique impact testing. Accid. Anal. Prev. 2019, 124, 58–65. [Google Scholar] [CrossRef]
- Soe, S.P.; Martin, P.; Jones, M.; Robinson, M.; Theobald, P. Feasibility of optimising bicycle helmet design safety through the use of additive manufactured TPE cellular structures. Int. J. Adv. Manuf. Technol. 2015, 79, 1975–1982. [Google Scholar] [CrossRef]
- Khosroshahi, S.F.; Duckworth, H.; Galvanetto, U.; Ghajari, M. The effects of topology and relative density of lattice liners on traumatic brain injury mitigation. J. Biomech. 2019, 97, 109376. [Google Scholar] [CrossRef]
- Naderi, A.A.; Imani, K.; Ahmadi, H. Crashworthiness Study of an Innovative Helmet Liner Composed of an Auxetic Lattice Structure and PU Foam. Mech. Adv. Compos. Struct. 2022, 9, 25–35. [Google Scholar] [CrossRef]
- Nasim, M.; Hasan, J.; Galvanetto, U. Impact behavior of energy absorbing helmet liners with PA12 lattice structures: A computational study. Int. J. Mech. Sci. 2022, 233, 107673. [Google Scholar] [CrossRef]
- Decker, T.; Kedziora, S. Local Thickness Optimization of Functionally Graded Lattice Structures in Compression. Appl. Sci. 2023, 13, 12969. [Google Scholar] [CrossRef]
- nTop. Available online: https://www.ntop.com (accessed on 10 December 2023).
- Decker, T.; Kedziora, S.; Wolf, C. Practical Implementation of Functionally Graded Lattice Structures in a Bicycle Crank Arm. In Proceedings of the 885th International Conference on Science, Technology, Engineering and Management (ICSTEM), Vienna, Austria, 25–25 November 2020; pp. 58–66. [Google Scholar]
- Kedziora, S.; Decker, T.; Museyibov, E. Application of Functionally Graded Shell Lattice as Infill in Additive Manufacturing. Materials 2023, 16, 4401. [Google Scholar] [CrossRef] [PubMed]
- EN 1078:2012; Helmets for Pedal Cyclists and for Users of Skateboards and Roller Skates. European Committee for Standardization—Technical Committee CEN/TC 158 “Head Protection”: Brussels, Belgium. Available online: https://standards.cencenelec.eu/dyn/www/f?p=205:110:0::::FSP_ORG_ID,FSP_LANG_ID:6139,25&cs=111AFC3A202BD0C5CF21D58F9A377B263 (accessed on 16 January 2024).
- U.S. Department of Transportation—National Highway Traffic Safety Administration. Occupant Protection in Interior Impact—Upper Interior Impact Protection. Available online: https://www.nhtsa.gov/sites/nhtsa.gov/files/documents/tp-201u-02_tag.pdf (accessed on 16 January 2024).
- Chybowski, L.; Przetakiewicz, W. Estimation of the Probability of Head Injury at a Given Abbreviated Injury Scale Level by Means of a Fuction of Head Injury Criterion. Syst. Saf. Hum. Tech. Facil. Environ. 2020, 2, 91–99. [Google Scholar] [CrossRef]
- SQLab GmbH. Available online: https://www.sq-lab.com/en/ (accessed on 24 November 2023).
- Stroud, I. Boundary Representation Modelling Techniques; Springer Science and Business Media LLC: Dordrecht, The Netherlands, 2006; ISBN 9781846283123. [Google Scholar]
- Allen, G. nTopology Modeling Technology. nTopology, 26 November 2019. Available online: https://www.ntop.com/resources/guides/whitepaper-implicit-modeling-technology/ (accessed on 20 April 2020).
- Altair HyperMesh. Available online: https://altair.com/hypermesh/ (accessed on 24 November 2023).
- Altair RADIOSS. Available online: https://altair.com/radioss (accessed on 24 November 2023).
- Altair HyperStudy. Available online: https://altair.com/hyperstudy/ (accessed on 24 November 2023).
- MATLAB. Available online: https://www.mathworks.com/products/matlab.html (accessed on 24 November 2023).
- EN 960:2006; Headforms for Use in the Testing of Protective Helmets. European Committee for Standardization—Technical Committee CEN/TC 158 “Head Protection”: Brussels, Belgium. Available online: https://standards.cencenelec.eu/dyn/www/f?p=205:110:0::::FSP_PROJECT:6481&cs=1D4762919EDD7581CBAB25E02CD719CA9 (accessed on 16 January 2024).
- Bushby, K.M.; Cole, T.; Matthews, J.N.; Goodship, J.A. Centiles for adult head circumference. Arch. Dis. Child. 1992, 67, 1286–1287. [Google Scholar] [CrossRef] [PubMed]
- HP Multi Jet Fusion 3D Printing Technology. Available online: https://www.hp.com/us-en/printers/3d-printers/learning-center/3d-printing-process.html#section=hp-multi-jet-fusion (accessed on 31 October 2023).
- Ouellet, S.; Cronin, D.; Worswick, M. Compressive response of polymeric foams under quasi-static, medium and high strain rate conditions. Polym. Test. 2006, 25, 731–743. [Google Scholar] [CrossRef]
- Cao, K.; Ma, X.; Zhang, B.; Wang, Y.; Wang, Y. Tensile behavior of polycarbonate over a wide range of strain rates. Mater. Sci. Eng. A 2010, 527, 4056–4061. [Google Scholar] [CrossRef]
- Mg AZ91. Available online: https://www.matweb.com/search/datasheet.aspx?MatGUID=07baafbb9c364fb18fd413bceced867f (accessed on 16 January 2024).
- Decker, T.; Kedziora, S.; Museyibov, E. Comparison of Strength Properties of Common Powder Bed Fusion and Stereolithography Materials. Key Eng. Mater. 2023, 969, 11–20. [Google Scholar] [CrossRef]
- Roppenecker, D.B.; Grazek, R.; Coy, J.A.; Irlinger, F.; Lueth, T.C. Friction Coefficients and Surface Properties for Laser Sintered Parts. In Proceedings of the ASME 2013 International Mechanical Engineering Congress and Exposition, San Diego, CA, USA, 15–21 November 2013; American Society of Mechanical Engineer: New York, NY, USA, 2013; Volume 2, pp. 1–10. [Google Scholar] [CrossRef]
- Aldahash, S.A. Friction and wear properties of oriented Polaymide 12 objects manufactured by SLS Technology. J. Eng. Appl. Sci. 2019, 15, 9–25. [Google Scholar]
- Lee, J.; Xu, G.; Liang, H. Experimental and numerical analysis of friction and wear behavior of polycarbonate. Wear 2001, 251, 1541–1556. [Google Scholar] [CrossRef]
- Altair RADIOSS LAW70 Tabulated Viscoelastic Foam Material Law. Available online: https://2021.help.altair.com/2021/hwsolvers/rad/topics/solvers/rad/mat_law70_foam_tab_starter_r.htm (accessed on 1 December 2023).
- Altair RADIOSS LAW36 Elastic Plastic Piecewise Linear Material. Available online: https://2021.help.altair.com/2021/hwsolvers/rad/topics/solvers/rad/explicit_structural_fea_elasto_plastic_c.htm#elastic_plastic_piecewise_linear_material_r (accessed on 1 December 2023).
- Altair RADIOSS LAW2 Johnson-Cook Elastic-Plastic Material Model. Available online: https://2021.help.altair.com/2021/hwsolvers/rad/topics/solvers/rad/mat_law2_plas_johns_starter_r.htm (accessed on 1 December 2023).
- Altair RADIOSS TYPE7 General Contact Interface. Available online: https://2021.help.altair.com/2021/hwsolvers/rad/topics/solvers/rad/default_inter_type7_starter_r.htm?zoom_highlight=type7 (accessed on 1 December 2023).
- Altair RADIOSS TYPE11 Edge-to-Edge Contact Interface. Available online: https://2021.help.altair.com/2021/hwsolvers/rad/topics/solvers/rad/default_inter_type11_starter_r.htm?zoom_highlight=type11 (accessed on 1 December 2023).
- ISO 527-2:2012; Plastics-Determination of Tensile Properties-Part 2: Test Conditions for Moulding and Extrusion Plastics. International Organization for Standardization: Geneva, Switzerland, 2012. Available online: https://www.iso.org/standard/56046.html (accessed on 5 October 2021).
- Modifiable Extensible Lattice Sequence (MELS). Available online: https://2021.help.altair.com/2021.2/hwdesktop/hst/topics/design_exploration/method_modified_extensible_lattice_sequence_doe_r.htm (accessed on 24 November 2023).
- Global Response Search Method (GRSM). Available online: https://2021.help.altair.com/2021.2/hwdesktop/hst/topics/design_exploration/method_global_response_surface_method_r.htm (accessed on 24 November 2023).
- TCL/TK Homepage. Available online: https://www.tcl.tk (accessed on 27 November 2023).
- Fischer, S.F.; Thielen, M.; Loprang, R.R.; Seidel, R.; Fleck, C.; Speck, T.; Bührig-Polaczek, A. Pummelos as Concept Generators for Biomimetically Inspired Low Weight Structures with Excellent Damping Properties. Adv. Eng. Mater. 2010, 12, B658–B663. [Google Scholar] [CrossRef]
- HP Development Company. HP 3D High Reusability PA 12. pp. 5–6. 2019. Available online: http://www8.hp.com/h20195/v2/getpdf.aspx/4AA7-0716ENE.pdf (accessed on 5 October 2021).
- Gong, H. Generation and Detection of Defects in Metallic Parts Fabricated by Selective Laser Melting and Electron Beam Melting and Their Effects on Mechanical Properties. Ph.D. Thesis, University of Louisville, Louisville, KY, USA, 2013. [Google Scholar] [CrossRef]
- Vera-Rodríguez, G.; Moreno-Corrales, L.; Marín-González, I.; Barba, D.; Montáns, F.J.; Sanz-Gómez, M. Incorporation of Defects in Finite Elements to Model Effective Mechanical Properties of Metamaterial Cells Printed by Selective Laser Melting. Sustainability 2024, 16, 1167. [Google Scholar] [CrossRef]
- Mele, M.; Campana, G.; Monti, G.L. Intelligent orientation of parts based on defect prediction in Multi Jet Fusion process. Prog. Addit. Manuf. 2021, 6, 841–858. [Google Scholar] [CrossRef]
























| Manufacturer | Model |
|---|---|
| 6D (Brea, CA, USA) | ATB 1T |
| IXS (Luzern, Switzerland) | Trail AS |
| Smith (Portland, OR, USA) | ForeFront |
| Specialized (Morgan Hill, CA, USA) | Ambush |
| Sweet Protection (Oslo, Norway) | Bushwhacker |
| Property | PA12 | PC | EPS60 | HDPE Fibers | Mg AZ91 |
|---|---|---|---|---|---|
| E [MPa] | 1480 | 1900 | 6 | 1000 | 45000 |
| ρ [g/cm3] | 0.94 | 1.22 | 0.061 | 0.95 | 1.80 |
| ν [-] | 0.4 | 0.36 | 0.05 | 0.46 | 0.35 |
| [MPa] | 29.6 | 51 | - | - | - |
| [%] | 6 | 18 | - | - | - |
| [MPa] | 53.7 | 80.1 | - | - | - |
| Material A | Material B | Friction Coefficient |
|---|---|---|
| PA12 | PA12 | 0.4 [73] |
| Mg AZ91 | 0.2 | |
| Mg AZ91 | EPS60 | 0.3 |
| HDPE fibers | 0.2 | |
| Steel | PA12 | 0.33 [74] |
| PC | 0.2 [75] |
| Variable | Lower Bound | Initial Value | Upper Bound |
|---|---|---|---|
| a | −1 × 10−3 | data | 1 × 10−3 |
| b | −2 | 1 | 2 |
| c | −145 | 0 | 0 |
Disclaimer/Publisher’s Note: The statements, opinions and data contained in all publications are solely those of the individual author(s) and contributor(s) and not of MDPI and/or the editor(s). MDPI and/or the editor(s) disclaim responsibility for any injury to people or property resulting from any ideas, methods, instructions or products referred to in the content. |
© 2024 by the authors. Licensee MDPI, Basel, Switzerland. This article is an open access article distributed under the terms and conditions of the Creative Commons Attribution (CC BY) license (https://creativecommons.org/licenses/by/4.0/).
Share and Cite
Decker, T.; Kedziora, S. Optimizing the Thickness of Functionally Graded Lattice Structures for High-Performance Energy Absorption: A Case Study Based on a Bicycle Helmet. Appl. Sci. 2024, 14, 2788. https://doi.org/10.3390/app14072788
Decker T, Kedziora S. Optimizing the Thickness of Functionally Graded Lattice Structures for High-Performance Energy Absorption: A Case Study Based on a Bicycle Helmet. Applied Sciences. 2024; 14(7):2788. https://doi.org/10.3390/app14072788
Chicago/Turabian StyleDecker, Thierry, and Slawomir Kedziora. 2024. "Optimizing the Thickness of Functionally Graded Lattice Structures for High-Performance Energy Absorption: A Case Study Based on a Bicycle Helmet" Applied Sciences 14, no. 7: 2788. https://doi.org/10.3390/app14072788
APA StyleDecker, T., & Kedziora, S. (2024). Optimizing the Thickness of Functionally Graded Lattice Structures for High-Performance Energy Absorption: A Case Study Based on a Bicycle Helmet. Applied Sciences, 14(7), 2788. https://doi.org/10.3390/app14072788

