Dual-Targeting Gold Nanoparticles: Simultaneous Decoration with Ligands for Co-Transporters SGLT-1 and B0AT1
Abstract
1. Introduction
2. Materials and Methods
2.1. General Remarks
2.2. Synthesis of Ligands
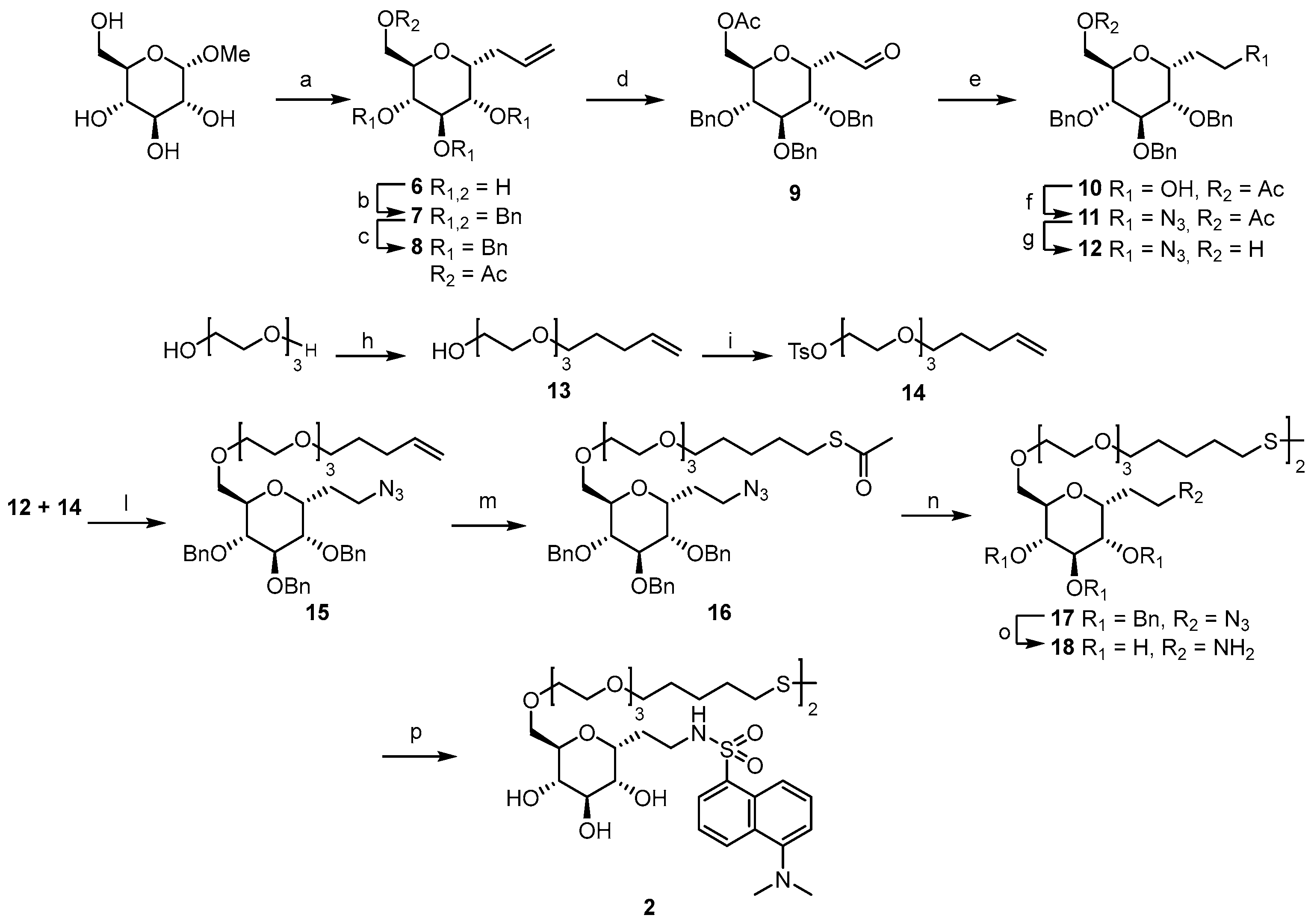
2.2.1. Synthesis of C-Glucoside Derivative 2
2.2.2. 2,3,4-Tri-O-benzyl-6-O-acetyl-α-C-allyl-glucopyranoside 8
2.2.3. 2-(2,3,4-Tri-O-benzyl-6-acetyl-α-D-glucopyranosyl)-ethanal 9
2.2.4. 2-(2,3,4-Tri-O-benzyl-6-acetyl-α-D-glucopyranosyl)-ethanol 10
2.2.5. 2-(2,3,4-Tri-O-benzyl-6-acetyl-α-D-glucopyranosyl)-1-azidoethane 11
2.2.6. 2-(2,3,4-Tri-O-benzyl-α-D-glucopyranosyl)-1-azidoethane 12
2.2.7. 2-(2-(2-(Pent-4-en-1-yloxy)ethoxy)ethoxy)ethan-1-ol 13
2.2.8. 2-(2-(2-(Pent-4-en-1-yloxy)ethoxy)ethoxy)ethyl-4-methylbenzenesulfonate 14
2.2.9. 2-(2,3,4-Tri-O-benzyl-6-(2-(2-(2-(pent-4-en-1-yloxy)ethoxy)ethoxy)ethyl)-α-D-glucopyranosyl)-1-azidoethane 15
2.2.10. 2-(2,3,4-Tri-O-benzyl-6-(1-thioacetylpentyl-(5-(2-(2-(2-hydroxyethoxy)ethoxy)ethyl)))-α-D-glucopyranosyl)-1-azidoethane 16
2.2.11. 2-(2,3,4-Tri-O-benzyl-6-(1-thio-(5-(2-(2-(2-hydroxyethoxy)ethoxy)ethyl)))-α-D-glucopyranosyl)-1-azidoethane (dimer) 17
2.2.12. 2-(6-(1-Thio-(5-(2-(2-(2-hydroxyethoxy)ethoxy)ethyl)))-α-D-glucopyranosyl)-1-aminoethane (dimer) 18
2.2.13. 5-(N,N-Dimethylamino)-N-(2-(6-(1-thio-(5-(2-(2-(2-hydroxyethoxy)ethoxy)ethyl)))-α-D-glucopyranosyl)-naphthalene-1-sulfonamide (dimer) 2
2.3. Synthesis of L-Glutamine Derivative 4 and 5
2.3.1. 5-(2-(2-(2-Azidoethoxy)ethoxy)ethoxy)pent-1-ene 19
2.3.2. 2-(2-(2-(Pent-4-en-1-yloxy)ethoxy)ethoxy)ethan-1-amine 20
2.3.3. (9H-Fluoren-9-yl)methyl-(S)-(3,7-dioxo-1,1,1-triphenyl-11,14,17-trioxa-2,8-diazadocos-21-en-6-yl) carbamate 21
2.3.4. (S)-2-amino-N1-(2-(2-(2-(pent-4-en-1-yloxy)ethoxy)ethoxy)ethyl)pentanediamide 22
2.3.5. (S)-S-(1,4-Diamino-1,5-dioxo-9,12,15-trioxa-6-azaicosan-20-yl)-ethanethioate 23
2.3.6. (S)-2-Amino-N1-(2-(2-(2-((5-mercaptopentyl)oxy)ethoxy)ethoxy)ethyl)pentanediamide (dimer) 4
2.3.7. Tert-butyl (S)-2-((tert-butoxycarbonyl)amino)-5-oxo-9,12,15-trioxa-6-azaicos-19-enoate 24
2.3.8. (S)-2-Amino-5-oxo-9,12,15-trioxa-6-azaicos-19-enoic acid 25
2.3.9. (S)-22-Amino-2,19-dioxo-9,12,15-trioxa-3-thia-18-azatricosan-23-oic acid 26
2.4. General Procedure for the Preparation of Ligand-Loaded Gold Nanoparticles
2.4.1. Preparation of AuNP1
2.4.2. Preparation of AuNP2
2.4.3. Preparation of AuNP3
2.4.4. Preparation of AuNP4
3. Results and Discussion
3.1. Preparation of Ligands
3.2. Preparation of the Au Nanoparticles
3.3. Nanoparticle Characterization
4. Conclusions
Supplementary Materials
Author Contributions
Funding
Institutional Review Board Statement
Informed Consent Statement
Data Availability Statement
Acknowledgments
Conflicts of Interest
References
- Spiljar, M.; Merkler, D.; Trajkovski, M. The Immune System Bridges the Gut Microbiota with Systemic Energy Homeostasis: Focus on TLRs, Mucosal Barrier, and SCFAs. Front. Immunol. 2017, 8, 1353. [Google Scholar] [CrossRef] [PubMed]
- Denning, T.L.; Wang, Y.C.; Patel, S.R.; Williams, I.R.; Pulendran, B. Lamina propria macrophages and dendritic cells differentially induce regulatory and interleukin 17-producing T cell responses. Nat. Immunol. 2007, 8, 1086–1094. [Google Scholar] [CrossRef] [PubMed]
- Zheng, D.; Liwinski, T.; Elinav, E. Interaction between microbiota and immunity in health and disease. Cell Res. 2020, 30, 492–506. [Google Scholar] [CrossRef] [PubMed]
- Nishida, A.; Inoue, R.; Inatomi, O.; Bamba, S.; Naito, Y.; Andoh, A. Gut microbiota in the pathogenesis of inflammatory bowel disease. Clin. J. Gastroenterol. 2018, 11, 1–10. [Google Scholar] [CrossRef]
- Brestoff, J.R.; Artis, D. Commensal bacteria at the interface of host metabolism and the immune system. Nat. Immunol. 2013, 14, 676–684. [Google Scholar] [CrossRef]
- Frank, D.N.; St Amand, A.L.; Feldman, R.A.; Boedeker, E.C.; Harpaz, N.; Pace, N.R. Molecular-phylogenetic characterization of microbial community imbalances in human inflammatory bowel diseases. Proc. Natl. Acad. Sci. USA 2007, 104, 13780–13785. [Google Scholar] [CrossRef] [PubMed]
- Yu, L.C.H.; Flynn, A.N.; Turner, J.R.; Buret, A.G. SGLT-1-mediated glucose uptake protects intestinal epithelial cells against LPS-induced apoptosis and barrier defects: A novel cellular rescue mechanism? FASEB J. 2005, 19, 1822–1835. [Google Scholar] [CrossRef]
- Yu, L.C.H.; Turner, J.R.; Buret, A.G. LPS/CD14 activation triggers SGLT-1-mediated glucose uptake and cell rescue in intestinal epithelial cells via early apoptotic signals upstream of caspase-3. Exp. Cell Res. 2006, 312, 3276–3286. [Google Scholar] [CrossRef]
- Wright, E.M.; Loo, D.D.F.; Hirayama, B.A.; Turk, E. Surprising versatility of Na+-glucose cotransporters: SLC5. Physiology 2004, 19, 370–376. [Google Scholar] [CrossRef]
- Gorboulev, V.; Schuermann, A.; Vallon, V.; Kipp, H.; Jaschke, A.; Klessen, D.; Friedrich, A.; Scherneck, S.; Rieg, T.; Cunard, R.; et al. Na+-D-glucose Cotransporter SGLT1 is Pivotal for Intestinal Glucose-Absorption and Glucose-Dependent Incretin Secretion. Diabetes 2012, 61, 187–196. [Google Scholar] [CrossRef]
- Koepsell, H. Glucose transporters in the small intestine in health and disease. Pflug. Arch-Eur. J. Physiol. 2020, 472, 1207–1248. [Google Scholar] [CrossRef]
- Palazzo, M.; Gariboldi, S.; Zanobbio, L.; Selleri, S.; Dusio, G.F.; Mauro, V.; Rossini, A.; Balsari, A.; Rumio, C. Sodium-dependent glucose transporter-1 as a novel immunological player in the intestinal mucosa. J. Immunol. 2008, 181, 3126–3136. [Google Scholar] [CrossRef]
- Zanobbio, L.; Palazzo, M.; Gariboldi, S.; Dusio, G.F.; Cardani, D.; Mauro, V.; Marcucci, F.; Balsari, A.; Rumio, C. Intestinal Glucose Uptake Protects Liver from Lipopolysaccharide and D-Galactosamine, Acetaminophen, and Alpha-Amanitin in Mice. Am. J. Pathol. 2009, 175, 1066–1076. [Google Scholar] [CrossRef] [PubMed]
- La Ferla, B.; Spinosa, V.; D’Orazio, G.; Palazzo, M.; Balsari, A.; Foppoli, A.A.; Rumio, C.; Nicotra, F. Dansyl C-glucoside as a novel agent against endotoxic shock. ChemMedChem 2010, 5, 1677–1680. [Google Scholar] [CrossRef]
- Cardani, D.; Sardi, C.; La Ferla, B.; D’Orazio, G.; Sommariva, M.; Marcucci, F.; Olivero, D.; Tagliabue, E.; Koepsell, H.; Nicotra, F.; et al. Sodium glucose cotransporter 1 ligand BLF501 as a novel tool for management of gastrointestinal mucositis. Mol. Cancer 2014, 13, 23. [Google Scholar] [CrossRef]
- Cetinbas, F.; Yelken, B.; Gulbas, Z. Role of glutamine administration on cellular immunity after total parenteral nutrition enriched with glutamine in patients with systemic inflammatory response syndrome. J. Crit. Care 2010, 25, 661.e1–661.e6. [Google Scholar] [CrossRef]
- Alonso Pérez, L.; Fernández Vázquez, A.; Valero Zanuy, M.A.; Gomis Muñoz, P.; León Sanz, M.; Herreros de Tejada, A. Parenteral nutrition supplemented with glutamine in patients undergoing bone marrow transplantation. Nutr. Hosp. 2010, 25, 49–52. [Google Scholar] [PubMed]
- Estívariz, C.F.; Griffith, D.P.; Luo, M.; Szeszycki, E.E.; Bazargan, N.; Dave, N.; Daignault, N.M.; Bergman, G.F.; McNally, T.; Battey, C.H.; et al. Efficacy of parenteral nutrition supplemented with glutamine dipeptide to decrease hospital infections in critically ill surgical patients. J. Parenter. Enter. Nutr. 2008, 32, 389–402. [Google Scholar] [CrossRef] [PubMed]
- Fillmann, H.; Kretzmann, N.A.; San-Miguel, B.; Llesuy, S.; Marroni, N.; Gonzalez-Gallego, J.; Tunon, M.J. Glutamine inhibits over-expression of pro-inflammatory genes and down-regulates the nuclear factor kappaB pathway in an experimental model of colitis in the rat. Toxicology 2007, 236, 217–226. [Google Scholar] [CrossRef]
- Huang, Y.; Li, N.; Liboni, K.; Neu, J. Glutamine decreases lipopolysaccharide-induced IL-8 production in Caco-2 cells through a non-NF-kappa B p50 mechanism. Cytokine 2003, 22, 77–83. [Google Scholar] [CrossRef]
- Sukhotnik, I.; Mogilner, J.G.; Karry, R.; Shamian, B.; Lurie, M.; Kokhanovsky, N.; Ure, B.M.; Coran, A.G. Effect of oral glutamine on enterocyte turnover during methotrexate-induced mucositis in rats. Digestion 2009, 79, 5–13. [Google Scholar] [CrossRef]
- Choi, K.; Lee, S.S.; Oh, S.J.; Lim, S.Y.; Jeon, W.K.; Oh, T.Y.; Kim, J.W. The effect of oral glutamine on 5-fluorouracil/leucovorin-induced mucositis/stomatitis assessed by intestinal permeability test. Clin. Nutr. 2007, 26, 57–62. [Google Scholar] [CrossRef] [PubMed]
- Sukhotnik, I.; Pollak, Y.; Coran, A.G.; Pilatov, J.; Bejar, J.; Mogilner, J.G.; Berkowitz, D. Glutamine attenuates the inhibitory effect of methotrexate on TLR signaling during intestinal chemotherapy-induced mucositis in a rat. Nutr. Metab. 2014, 11, 17. [Google Scholar] [CrossRef] [PubMed]
- Sukhotnik, I.; Agam, M.; Shamir, R.; Shehadeh, N.; Lurie, M.; Coran, A.G.; Shiloni, E.; Mogilner, J. Oral glutamine prevents gut mucosal injury and improves mucosal recovery following lipopolysaccharide endotoxemia in a rat. J. Surg. Res. 2007, 143, 379–384. [Google Scholar] [CrossRef] [PubMed]
- Nose, S.; Wasa, M.; Tazuke, Y.; Owari, M.; Fukuzawa, M. Cisplatin upregulates glutamine transport in human intestinal epithelial cells: The protective mechanism of glutamine on intestinal mucosa after chemotherapy. J. Parenter. Enter. Nutr. 2010, 34, 530–537. [Google Scholar] [CrossRef]
- Tazuke, Y.; Maeda, K.; Wasa, M.; Satoko, N.; Fukuzawa, M. Protective mechanism of glutamine on the expression of proliferating cell nuclear antigen after cisplatin-induced intestinal mucosal injury. Pediatr. Surg. Int. 2011, 27, 151–158. [Google Scholar] [CrossRef] [PubMed]
- Talukder, J.R.; Kekuda, R.; Saha, P.; Arthur, S.; Sundaram, U. Identification and characterization of rabbit small intestinal villus cell brush border membrane Na-glutamine cotransporter. Am. J. Physiol. Gastrointest. Liver Physiol. 2008, 295, G7–G15. [Google Scholar] [CrossRef] [PubMed]
- Saha, P.; Arthur, S.; Kekuda, R.; Sundaram, U. Na-glutamine co-transporters B(0)AT1 in villus and SN2 in crypts are differentially altered in chronically inflamed rabbit intestine. Biochim. Biophys. Acta 2012, 1818, 434–442. [Google Scholar] [CrossRef]
- Melichar, B.; Dvorák, J.; Hyspler, R.; Zadák, Z. Intestinal permeability in the assessment of intestinal toxicity of cytotoxic agents. Chemotherapy 2005, 51, 336–338. [Google Scholar] [CrossRef]
- Weng, X.H.; Beyenbach, K.W.; Quaroni, A. Cultured monolayers of the dog jejunum with the structural and functional properties resembling the normal epithelium. Am. J. Physiol. Gastrointest. Liver Physiol. 2005, 288, G705–G717. [Google Scholar] [CrossRef]
- Ikari, A.; Nakano, M.; Suketa, Y.; Harada, H.; Takagi, K. Reorganization of ZO-1 by sodium-dependent glucose transporter activation after heat stress in LLC-PK1 cells. J. Cell. Physiol. 2005, 203, 471–478. [Google Scholar] [CrossRef]
- Turner, J.R.; Rill, B.K.; Carlson, S.L.; Carnes, D.; Kerner, R.; Mrsny, R.J.; Madara, J.L. Physiological regulation of epithelial tight junctions is associated with myosin light-chain phosphorylation. Am. J. Physiol. 1997, 273, C1378–C1385. [Google Scholar] [CrossRef]
- Li, N.; Neu, J. Glutamine Deprivation Alters Intestinal Tight Junctions via a PI3-K/Akt Mediated Pathway in Caco-2 Cells. J. Nutr. 2009, 139, 710–714. [Google Scholar] [CrossRef]
- Li, N.; Lewis, P.; Samuelson, D.; Liboni, K.; Neu, J. Glutamine regulates Caco-2 cell tight junction proteins. Am. J. Physiol. -Gastrointest. Liver Physiol. 2004, 287, G726–G733. [Google Scholar] [CrossRef]
- Ikari, A.; Nagatani, Y.; Tsukimoto, M.; Harada, H.; Miwa, M.; Takagi, K. Sodium-dependent glucose transporter reduces peroxynitrite and cell injury caused by cisplatin in renal tubular epithelial cells. Biochim. Biophys. Acta 2005, 1717, 109–117. [Google Scholar] [CrossRef]
- Giudicelli, J.; Bertrand, M.F.; Bilski, S.; Tran, T.T.; Poiree, J.C. Effect of cross-linkers on the structure and function of pig-renal sodium-glucose cotransporters after papain treatment. Biochem. J. 1998, 330, 733–736. [Google Scholar] [CrossRef]
- Stevens, B.R.; Fernandez, A.; Hirayama, B.; Wright, E.M.; Kempner, E.S. Intestinal brush-border membrane na+/glucose cotransporter functions insitu as a homotetramer. Proc. Natl. Acad. Sci. USA 1990, 87, 1456–1460. [Google Scholar] [CrossRef] [PubMed]
- Takahashi, M.; Malathi, P.; Preiser, H.; Jung, C.Y. Radiation inactivation studies on the rabbit kidney sodium-dependent glucose transporter. J. Biol. Chem. 1985, 260, 551–556. [Google Scholar] [CrossRef]
- Turner, R.J.; Kempner, E.S. Radiation inactivation studies of the renal brush-border membrane phlorizin-binding protein. J. Biol. Chem. 1982, 257, 794–797. [Google Scholar] [CrossRef]
- Romeo, E.; Dave, M.H.; Bacic, D.; Ristic, Z.; Camargo, S.M.R.; Loffing, J.; Wagner, C.A.; Verrey, F. Luminal kidney and intestine SLC6 amino acid transporters of B(0)AT-cluster and their tissue distribution in Mus musculus. Am. J. Physiol. Ren. Physiol. 2006, 290, F376–F383. [Google Scholar] [CrossRef] [PubMed]
- Mammen, M.; Choi, S.K.; Whitesides, G.M. Polyvalent interactions in biological systems: Implications for design and use of multivalent ligands and inhibitors. Angew. Chem. Int. Ed. 1998, 37, 2755–2794. [Google Scholar] [CrossRef]
- Haag, R. Multivalency as a chemical organization and action principle. Beilstein J. Org. Chem. 2015, 11, 848–849. [Google Scholar] [CrossRef]
- Saha, K.; Agasti, S.S.; Kim, C.; Li, X.; Rotello, V.M. Gold nanoparticles in chemical and biological sensing. Chem. Rev. 2012, 112, 2739–2779. [Google Scholar] [CrossRef] [PubMed]
- Yeh, Y.C.; Creran, B.; Rotello, V.M. Gold nanoparticles: Preparation, properties, and applications in bionanotechnology. Nanoscale 2012, 4, 1871–1880. [Google Scholar] [CrossRef] [PubMed]
- Baram-Pinto, D.; Shukla, S.; Gedanken, A.; Sarid, R. Inhibition of HSV-1 attachment, entry, and cell-to-cell spread by functionalized multivalent gold nanoparticles. Small 2010, 6, 1044–1050. [Google Scholar] [CrossRef] [PubMed]
- Cagno, V.; Andreozzi, P.; D’Alicarnasso, M.; Jacob Silva, P.; Mueller, M.; Galloux, M.; Le Goffic, R.; Jones, S.T.; Vallino, M.; Hodek, J.; et al. Broad-spectrum non-toxic antiviral nanoparticles with a virucidal inhibition mechanism. Nat. Mater. 2018, 17, 195–203. [Google Scholar] [CrossRef] [PubMed]
- Giljohann, D.A.; Seferos, D.S.; Daniel, W.L.; Massich, M.D.; Patel, P.C.; Mirkin, C.A. Gold Nanoparticles for Biology and Medicine. In Spherical Nucleic Acids; Mirkin, C.A., Ed.; Jenny Stanford Publishing: New York, NY, USA, 2020. [Google Scholar] [CrossRef]
- Liz-Marzán, L.M. Gold nanoparticle research before and after the Brust-Schiffrin method. Chem. Commun. 2013, 49, 16–18. [Google Scholar] [CrossRef]
- Marradi, M.; García, I.; Penadés, S. Carbohydrate-based nanoparticles for potential applications in medicine. Prog. Mol. Biol. Transl. Sci. 2011, 104, 141–173. [Google Scholar] [CrossRef]
- Marradi, M.; Chiodo, F.; Garcia, I. Glyconanotechnology and Disease: Gold Nanoparticles Coated with Glycosides as Multivalent Systems for Potential Applications in Diagnostics and Therapy. Carbohydr. Drug Des. Discov. 2015, 43, 89–131. [Google Scholar]
- Matassini, C.; Marradi, M.; Cardona, F.; Parmeggiani, C.; Robina, I.; Moreno-Vargas, A.J.; Penades, S.; Goti, A. Gold nanoparticles are suitable cores for building tunable iminosugar multivalency. RSC Adv. 2015, 5, 95817–95822. [Google Scholar] [CrossRef]
- Baker, A.N.; Hawker-Bond, G.W.; Georgiou, P.G.; Dedola, S.; Field, R.A.; Gibson, M.I. Glycosylated gold nanoparticles in point of care diagnostics: From aggregation to lateral flow. Chem. Soc. Rev. 2022, 51, 7238–7259. [Google Scholar] [CrossRef] [PubMed]
- Chiodo, F.; Marradi, M.; Tefsen, B.; Snippe, H.; van Die, I.; Penadés, S. High sensitive detection of carbohydrate binding proteins in an ELISA-solid phase assay based on multivalent glyconanoparticles. PLoS ONE 2013, 8, e73027. [Google Scholar] [CrossRef]
- de la Fuente, J.M.; Barrientos, A.G.; Rojas, T.C.; Rojo, J.; Canada, J.; Fernandez, A.; Penades, S. Gold glyconanoparticles as water-soluble polyvalent models to study carbohydrate interactions. Angew. Chem. Int. Ed. 2001, 40, 2257–2261. [Google Scholar] [CrossRef]
- Marradi, M.; Chiodo, F.; Garcia, I.; Penades, S. Glyconanoparticles as multifunctional and multimodal carbohydrate systems. Chem. Soc. Rev. 2013, 42, 4728–4745. [Google Scholar] [CrossRef] [PubMed]
- Buco, F.; Matassini, C.; Vanni, C.; Clemente, F.; Paoli, P.; Carozzini, C.; Beni, A.; Cardona, F.; Goti, A.; Moya, S.E.; et al. Gold nanoparticles decorated with monosaccharides and sulfated ligands as potential modulators of the lysosomal enzyme. Org. Biomol. Chem. 2023, 21, 9362–9371. [Google Scholar] [CrossRef] [PubMed]
- Compostella, F.; Pitirollo, O.; Silvestri, A.; Polito, L. Glyco-gold nanoparticles: Synthesis and applications. Beilstein J. Org. Chem. 2017, 13, 1008–1021. [Google Scholar] [CrossRef]
- Mateu Ferrando, R.; Lay, L.; Polito, L. Gold nanoparticle-based platforms for vaccine development. Drug Discov. Today Technol. 2020, 38, 57–67. [Google Scholar] [CrossRef]
- Terán-Navarro, H.; Zeoli, A.; Salines-Cuevas, D.; Marradi, M.; Montoya, N.; Gonzalez-Lopez, E.; Ocejo-Vinyals, J.G.; Dominguez-Esteban, M.; Gutierrez-Baños, J.L.; Campos-Juanatey, F.; et al. Gold Glyconanoparticles Combined with 91–99 Peptide of the Bacterial Toxin, Listeriolysin O, Are Efficient Immunotherapies in Experimental Bladder Tumors. Cancers 2022, 14, 2413. [Google Scholar] [CrossRef]
- Cardona, F.; La Ferla, B. Synthesis of C-glycoconjugates from readily available unprotected C-allyl glycosides by chemoselective ligation. J. Carbohydr. Chem. 2008, 27, 203–213. [Google Scholar] [CrossRef]
- McGarvey, G.J.; LeClair, C.A.; Schmidtmann, B.A. Studies on the Stereoselective Synthesis of C-Allyl Glycosides. Org. Lett. 2008, 10, 4727–4730. [Google Scholar] [CrossRef]
- Svarovsky, S.A.; Szekely, Z.; Barchi, J.J. Synthesis of gold nanoparticles bearing the Thomsen–Friedenreich disaccharide: A new multivalent presentation of an important tumor antigen. Tetrahedron Asymmetry 2005, 16, 587–598. [Google Scholar] [CrossRef]
- Dettmann, R.; Ziegler, T. Synthesis of octyl S-glycosides of tri- to pentasaccharide fragments related to the GPI anchor of Trypanosoma brucei. Carbohydr. Res. 2011, 346, 2348–2361. [Google Scholar] [CrossRef]
- Martinez-Avila, O.; Hijazi, K.; Marradi, M.; Clavel, C.; Campion, C.; Kelly, C.; Penades, S. Gold Manno-Glyconanoparticies: Multivalent Systems to Block HIV-1 gp120 Binding to the Lectin DC-SIGN. Chem. A Eur. J. 2009, 15, 9874–9888. [Google Scholar] [CrossRef]
- Buskas, T.; Söderberg, E.; Konradsson, P.; Fraser-Reid, B. Use of n-Pentenyl Glycosides as Precursors to Various Spacer Functionalities. J. Org. Chem. 2000, 65, 958–963. [Google Scholar] [CrossRef] [PubMed]
- Barrientos, Á.G.; de la Fuente, J.M.; Rojas, T.C.; Fernández, A.; Penadés, S. Gold Glyconanoparticles: Synthetic Polyvalent Ligands Mimicking Glycocalyx-Like Surfaces as Tools for Glycobiological Studies. Chem. Eur. J. 2003, 9, 1909–1921. [Google Scholar] [CrossRef] [PubMed]
- Zalipsky, S. Chemistry of polyethylene-glycol conjugates with biologically-active molecules. Adv. Drug Deliv. Rev. 1995, 16, 157–182. [Google Scholar] [CrossRef]
- Veronese, F.M.; Pasut, G. PEGylation, successful approach to drug delivery. Drug Discov. Today 2005, 10, 1451–1458. [Google Scholar] [CrossRef] [PubMed]
- Zona, C.; D’Orazio, G.; La Ferla, B. Controlled-Length Efficient Synthesis of Heterobifunctionalized Oligo Ethylene Glycols. Synlett 2013, 24, 709–712. [Google Scholar] [CrossRef][Green Version]
- Dondoni, A. The Emergence of Thiol–Ene Coupling as a Click Process for Materials and Bioorganic Chemistry. Angew. Chem. Int. Ed. 2008, 47, 8995–8997. [Google Scholar] [CrossRef] [PubMed]
- Tyagi, N.K.; Kumar, A.; Goyal, P.; Pandey, D.; Siess, W.; Kinne, R.R.H. D-Glucose-recognition and phlorizin-binding sites in human sodium/D-glucose cotransporter 1 (hSGLT1): A tryptophan scanning study. Biochemistry 2007, 46, 13616–13628. [Google Scholar] [CrossRef] [PubMed]
- Wang, A.; Hendel, J.; Auzanneau, F.-I. Convergent syntheses of Le(X) analogues. Beilstein J. Org. Chem. 2010, 6, 17. [Google Scholar] [CrossRef] [PubMed]
- Brust, M.; Walker, M.; Bethell, D.; Schiffrin, D.J.; Whyman, R.Y. Synthesis of thiol-derivatised gold nanoparticles in a two-phase Liquid–Liquid system. J. Chem. Soc. Chem. Commun. 1994, 7, 801. [Google Scholar] [CrossRef]
- Zhang, S.; Wang, C. Precise Analysis of Nanoparticle Size Distribution in TEM Image. Methods Protoc. 2023, 6, 63. [Google Scholar] [CrossRef] [PubMed]











| Nanoparticle | TEM Micrograph | Diameter Distribution Histogram |
|---|---|---|
AuNP1![]() | ![]() | ![]() |
AuNP2![]() | ![]() | ![]() |
AuNP3![]() | ![]() | ![]() |
AuNP4![]() | ![]() | ![]() |
Disclaimer/Publisher’s Note: The statements, opinions and data contained in all publications are solely those of the individual author(s) and contributor(s) and not of MDPI and/or the editor(s). MDPI and/or the editor(s) disclaim responsibility for any injury to people or property resulting from any ideas, methods, instructions or products referred to in the content. |
© 2024 by the authors. Licensee MDPI, Basel, Switzerland. This article is an open access article distributed under the terms and conditions of the Creative Commons Attribution (CC BY) license (https://creativecommons.org/licenses/by/4.0/).
Share and Cite
D’Orazio, G.; Marradi, M.; La Ferla, B. Dual-Targeting Gold Nanoparticles: Simultaneous Decoration with Ligands for Co-Transporters SGLT-1 and B0AT1. Appl. Sci. 2024, 14, 2248. https://doi.org/10.3390/app14062248
D’Orazio G, Marradi M, La Ferla B. Dual-Targeting Gold Nanoparticles: Simultaneous Decoration with Ligands for Co-Transporters SGLT-1 and B0AT1. Applied Sciences. 2024; 14(6):2248. https://doi.org/10.3390/app14062248
Chicago/Turabian StyleD’Orazio, Giuseppe, Marco Marradi, and Barbara La Ferla. 2024. "Dual-Targeting Gold Nanoparticles: Simultaneous Decoration with Ligands for Co-Transporters SGLT-1 and B0AT1" Applied Sciences 14, no. 6: 2248. https://doi.org/10.3390/app14062248
APA StyleD’Orazio, G., Marradi, M., & La Ferla, B. (2024). Dual-Targeting Gold Nanoparticles: Simultaneous Decoration with Ligands for Co-Transporters SGLT-1 and B0AT1. Applied Sciences, 14(6), 2248. https://doi.org/10.3390/app14062248













