Dynamic Correlation between Platelet Aggregation and Inflammatory-like State in Athlete Horses
Abstract
1. Introduction
2. Materials and Methods
Statistical Analyses
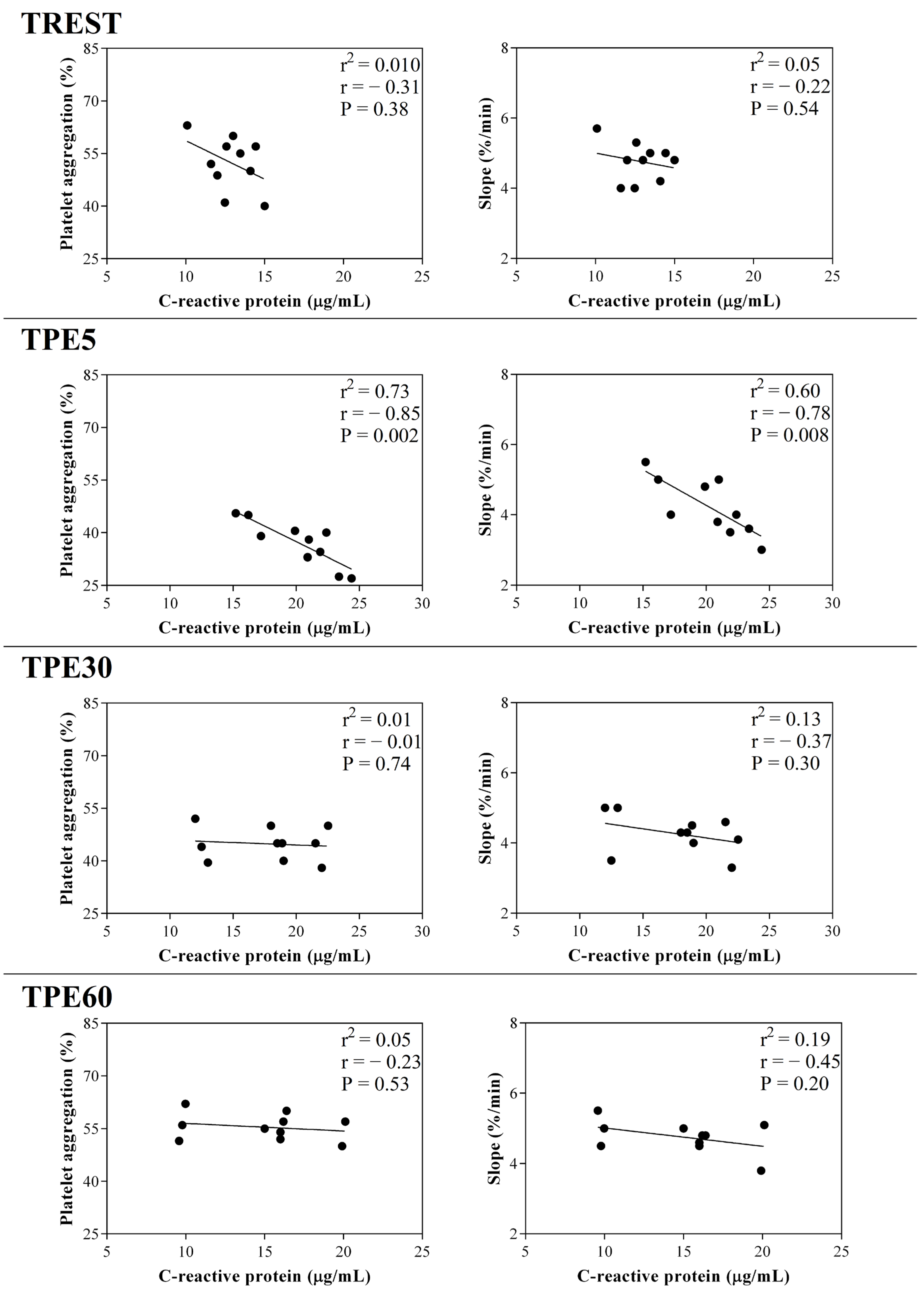
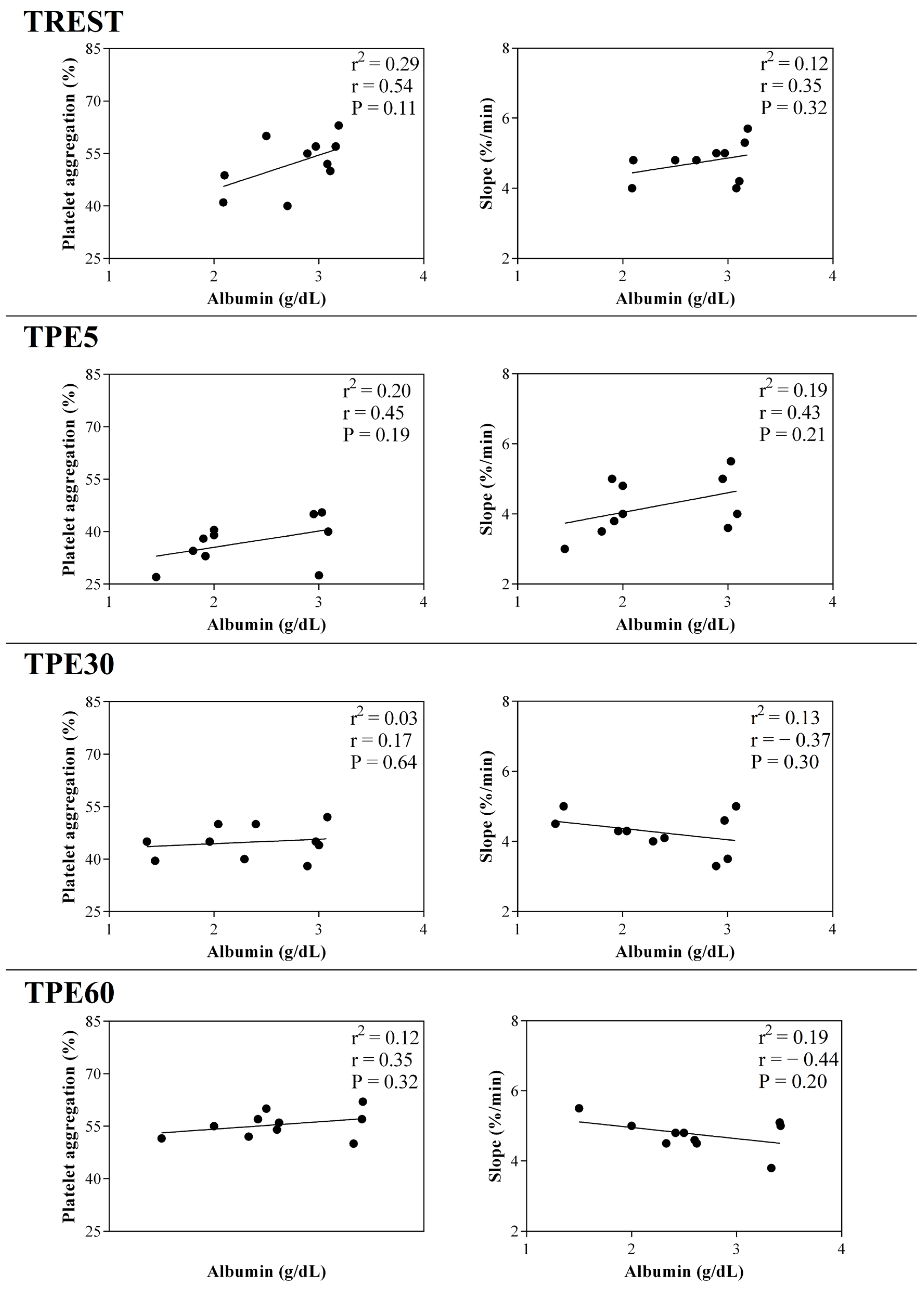
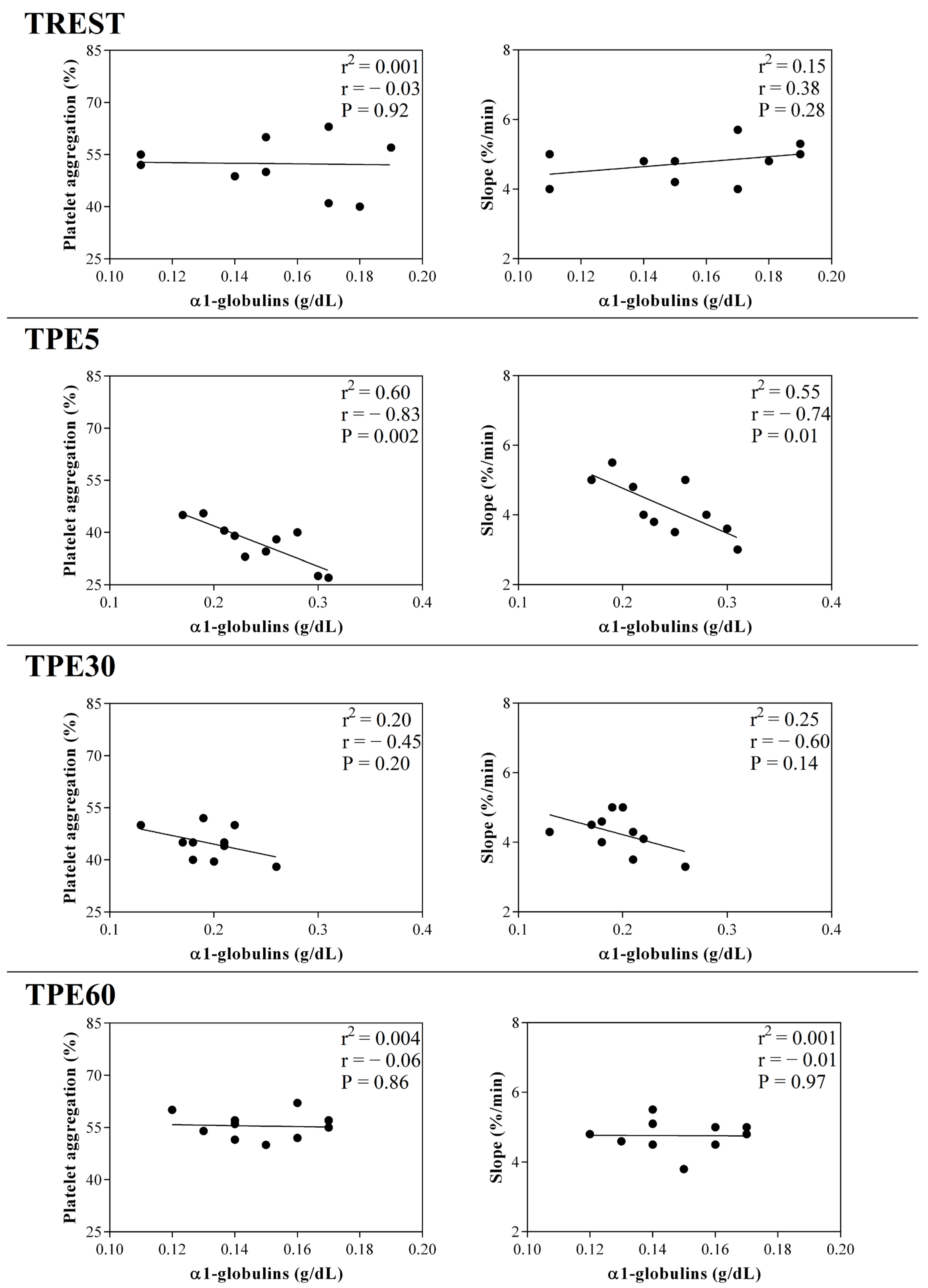
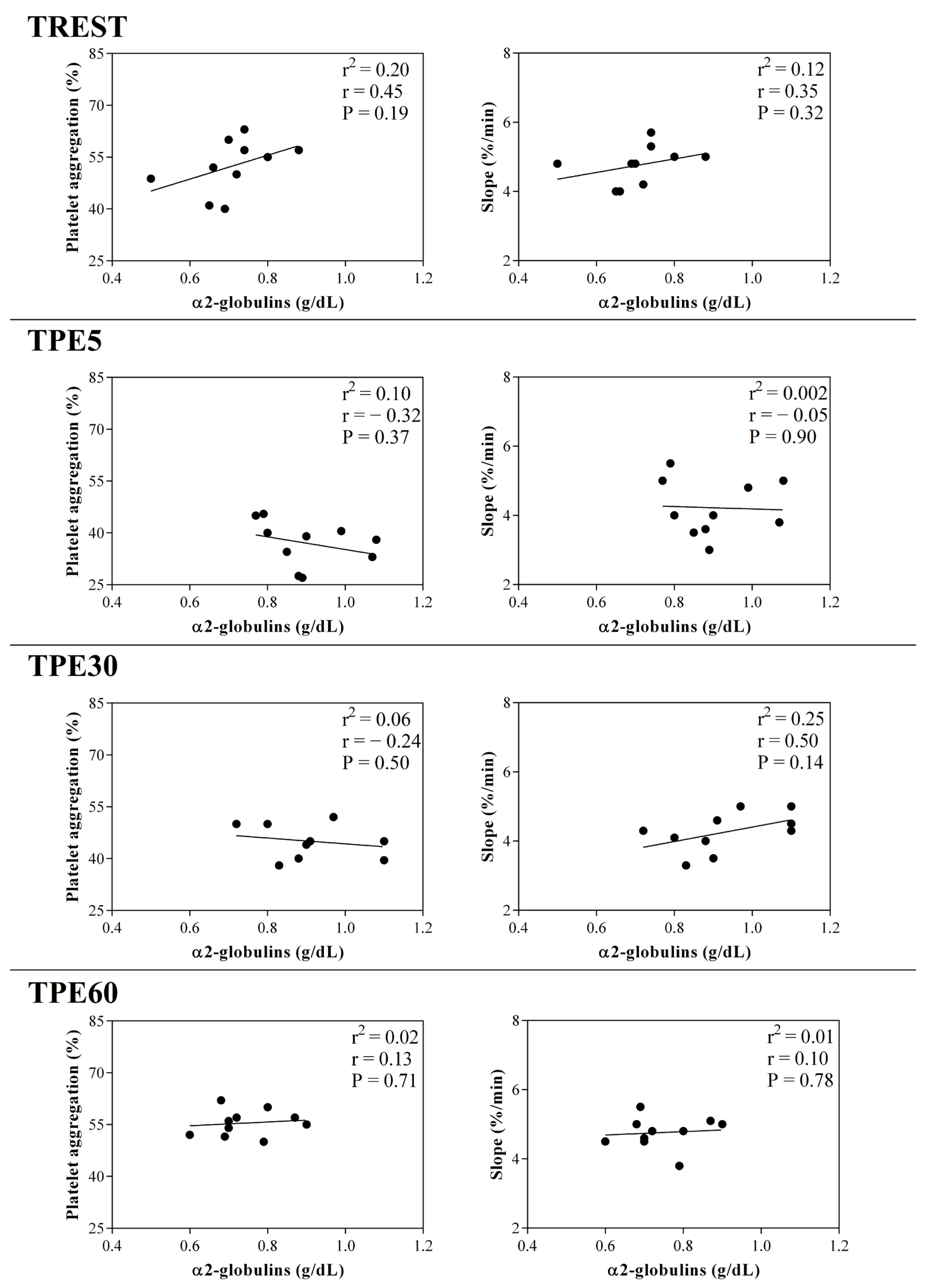
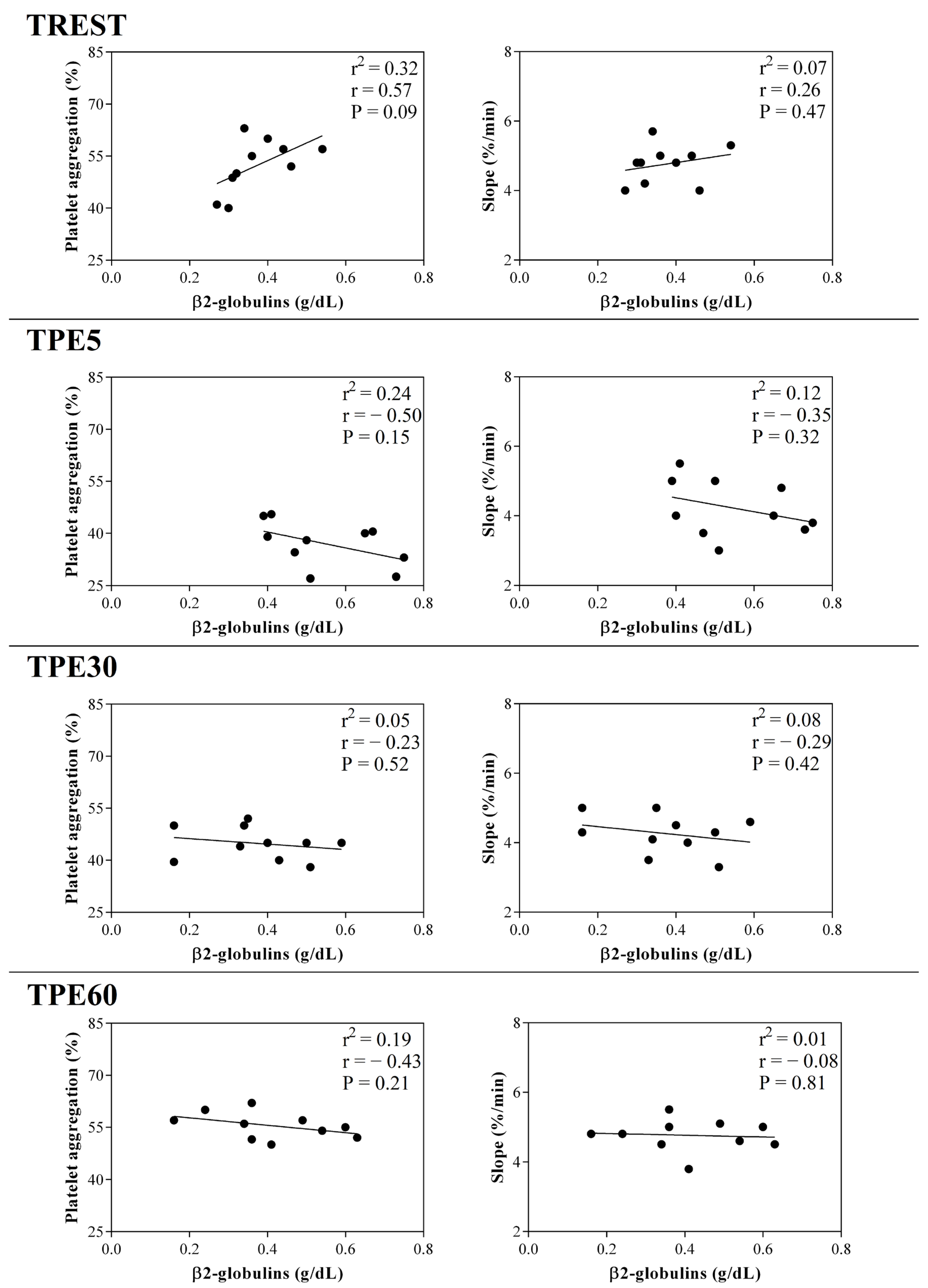
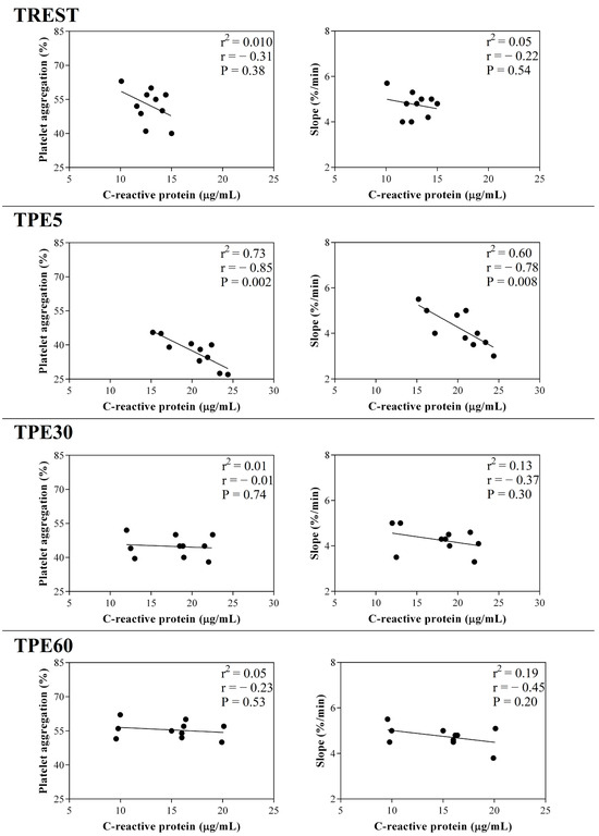
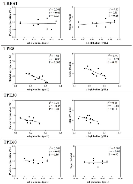
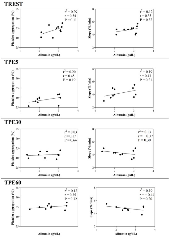
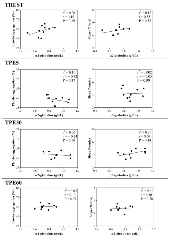
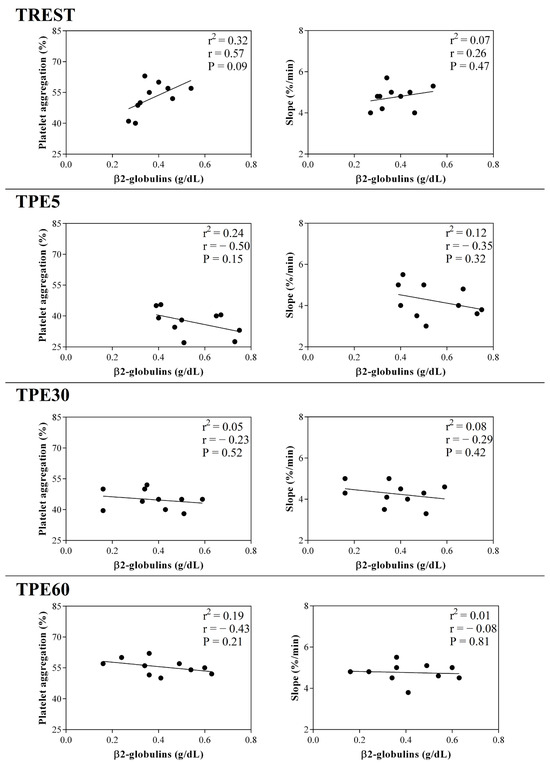
3. Results
4. Discussion
5. Conclusions
Author Contributions
Funding
Institutional Review Board Statement
Informed Consent Statement
Data Availability Statement
Conflicts of Interest
References
- Dhama, K.; Latheef, S.K.; Dadar, M.; Samad, H.A.; Munjal, A.; Khandia, R.; Karthik, K.; Tiwari, R.; Yatoo, M.I.; Bhatt, P.; et al. Biomarkers in Stress Related Diseases/Disorders: Diagnostic, Prognostic, and Therapeutic Values. Front. Mol. Biosci. 2019, 6, 91. [Google Scholar] [CrossRef] [PubMed]
- Marco-Ramell, A.; De Almeida, A.M.; Cristobal, S.; Rodrigues, P.; Roncada, P.; Bassols, A. Proteomics and the Search for Welfare and Stress Biomarkers in Animal Production in the One-Health Context. Mol. Biosyst. 2016, 12, 2024–2035. [Google Scholar] [CrossRef] [PubMed]
- Casella, S.; Fazio, F.; Giannetto, C.; Giudice, E.; Piccione, G. Influence of Transportation on Serum Concentrations of Acute Phase Proteins in Horse. Res. Vet. Sci. 2012, 93, 914–917. [Google Scholar] [CrossRef] [PubMed]
- Alicka, M.; Marycz, K. The Effect of Chronic Inflammation and Oxidative and Endoplasmic Reticulum Stress in the Course of Metabolic Syndrome and Its Therapy. Stem Cells Int. 2018, 2018, 4274361. [Google Scholar] [CrossRef] [PubMed]
- Messina, A.; Monda, V.; Sessa, F.; Valenzano, A.; Salerno, M.; Bitetti, I.; Precenzano, F.; Marotta, R.; Lavano, F.; Lavano, S.M.; et al. Sympathetic, Metabolic Adaptations, and Oxidative Stress in Autism Spectrum Disorders: How Far from Physiology? Front. Physiol. 2018, 9, 261. [Google Scholar] [CrossRef] [PubMed]
- Van Der Reest, J.; Lilla, S.; Zheng, L.; Zanivan, S.; Gottlieb, E. Proteome-Wide Analysis of Cysteine Oxidation Reveals Metabolic Sensitivity to Redox Stress. Nat. Commun. 2018, 9, 1–16. [Google Scholar] [CrossRef] [PubMed]
- Petersen, H.H.; Nielsen, J.P.; Heegaard, P.M.H. Application of Acute Phase Protein Measurements in Veterinary Clinical Chemistry. Vet. Res. 2004, 35, 163–187. [Google Scholar] [CrossRef]
- Kaneko, J.J.; Harvey, J.W.; Bruss, M.L. Clinical Biochemistry of Domestic Animals; Academic Press Inc.: San Diego, CA, USA, 1997. [Google Scholar]
- Takiguchi, M.; Fujinaga, T.; Naiki, M.; Mizuno, S.; Otomo, K. Isolation, characterization and quantitative analysis of C—Reactive protein from horses. Am. J. Vet. Res. 1990, 51, 1215–1220. [Google Scholar] [CrossRef]
- Suzuki, K.; Peake, J.; Nosaka, K.; Okutsu, M.; Abbiss, C.R.; Surriano, R.; Bishop, D.; Quod, M.J.; Lee, H.; Martin, D.T.; et al. Changes in Markers of Muscle Damage, Inflammation and HSP70 after an Ironman Triathlon Race. Eur. J. Appl. Physiol. 2006, 98, 525–534. [Google Scholar] [CrossRef]
- Peeling, P.; Brian, A.E.; Ae, D.; Goodman, C.; Grant, A.E.; Ae, L.; Trinder, D. Athletic Induced Iron Deficiency: New Insights into the Role of Inflammation, Cytokines and Hormones. Eur. J. Appl. Physiol. 2008, 103, 381–391. [Google Scholar] [CrossRef]
- Arfuso, F.; Giannetto, C.; Fazio, F.; Panzera, F.; Piccione, G. Training Program Intensity Induces an Acute Phase Response in Clinically Healthy Horses. J. Equine Vet. Sci. 2020, 88, 102986. [Google Scholar] [CrossRef] [PubMed]
- Mihelić, K.; Vrbanac, Z.; Bojanić, K.; Kostanjšak, T.; Ljubić, B.B.; Gotić, J.; Vnuk, D.; Bottegaro, N.B. Changes in Acute Phase Response Biomarkers in Racing Endurance Horses. Animals 2022, 12, 2993. [Google Scholar] [CrossRef] [PubMed]
- Kasperska-Zaja̧c, A.; Grzanka, A.; Jarzab, J.; Misiołek, M.; Wyszyńska-Chłap, M.; Kasperski, J.; Machura, E. The Association between Platelet Count and Acute Phase Response in Chronic Spontaneous Urticaria. Biomed. Res. Int. 2014, 2014. [Google Scholar] [CrossRef] [PubMed]
- Yuri Gasparyan, A.; Ayvazyan, L.; Mikhailidis, D.P.; Kitas, G.D. Mean Platelet Volume: A Link between Thrombosis and Inflammation? Curr. Pharm. Des. 2011, 17, 47–58. [Google Scholar] [CrossRef] [PubMed]
- Vigo, C. Effect of C-Reactive Protein on Platelet-Activating Factor-Induced Platelet Aggregation and Membrane Stabilization. J. Biol. Chem. 1985, 260, 3418–3422. [Google Scholar] [CrossRef] [PubMed]
- Danenberg, H.D.; Kantak, N.; Grad, E.; Swaminathan, R.V.; Lotan, C.; Edelman, E.R. C-Reactive Protein Promotes Monocyte-Platelet Aggregation: An Additional Link to the Inflammatory-Thrombotic Intricacy. Eur. J. Haematol. 2007, 78, 246–252. [Google Scholar] [CrossRef] [PubMed]
- De la Torre, R.; Peña, E.; Vilahur, G.; Slevin, M.; Badimon, L. Monomerization of C-Reactive Protein Requires Glycoprotein IIb-IIIa Activation: Pentraxins and Platelet Deposition. J. Thromb. Haemost. 2013, 11, 2048–2058. [Google Scholar] [CrossRef]
- Piccione, G.; Arfuso, F.; Marafioti, S.; Giannetto, C.; Giudice, E.; Fazio, F. Different training schedules influence serum electrophoretic protein profile in the athletic horse. J. Equine Vet. Sci. 2015, 35, 856–859. [Google Scholar] [CrossRef]
- Arfuso, F.; Giannetto, C.; Giudice, E.; Fazio, F.; Piccione, G. Dynamic Modulation of Platelet Aggregation, Albumin and Nonesterified Fatty Acids during Physical Exercise in Thoroughbred Horses. Res. Vet. Sci. 2016, 104, 86–91. [Google Scholar] [CrossRef]
- Fontenot, R.L.; Sink, C.A.; Werre, S.R.; Weinstein, N.M.; Dahlgren, L.A. Simple Tube Centrifugation for Processing Platelet-Rich Plasma in the Horse. Can. Vet. J. 2012, 53, 1266. [Google Scholar]
- Jain, S.; Gautam, V.; Naseem, S. Acute-Phase Proteins: As Diagnostic Tool. J. Pharm. Bioallied Sci. 2011, 3, 118–127. [Google Scholar] [CrossRef] [PubMed]
- Mittelman, N.S.; Stefanovski, D.; Johnson, A.L. Utility of C-reactive Protein and Serum Amyloid A in the Diagnosis of Equine Protozoal Myeloencephalitis. J. Vet. Intern. Med. 2018, 32, 1726. [Google Scholar] [CrossRef] [PubMed]
- Cray, C.; Zaias, J.; Altman, N.H. Acute Phase Response in Animals: A Review. Comp. Med. 2009, 59, 517. [Google Scholar] [PubMed]
- Cerón, J.J.; Eckersall, P.D.; Martínez-Subiela, S. Acute Phase Proteins in Dogs and Cats: Current Knowledge and Future Perspectives. Vet. Clin. Pathol. 2005, 34, 85–99. [Google Scholar] [CrossRef] [PubMed]
- Ceciliani, F.; Ceron, J.J.; Eckersall, P.D.; Sauerwein, H. Acute Phase Proteins in Ruminants. J. Proteom. 2012, 75, 4207–4231. [Google Scholar] [CrossRef] [PubMed]
- Gånheim, C.; Alenius, S.; Persson Waller, K. Acute Phase Proteins as Indicators of Calf Herd Health. Vet. J. 2007, 173, 645. [Google Scholar] [CrossRef] [PubMed]
- Wakshlag, J.J.; Balkman, C.A.; Morgan, S.K.; McEntee, M.C. Evaluation of the Protective Effects of All-Trans-Astaxanthin on Canine Osteosarcoma Cell Lines. Am. J. Vet. Res. 2010, 71, 89–96. [Google Scholar] [CrossRef] [PubMed]
- Wakshlag, J.J.; Stokol, T.; Geske, S.M.; Greger, C.E.; Angle, C.T.; Gillette, R.L. Evaluation of Exercise-Induced Changes in Concentrations of C-Reactive Protein and Serum Biochemical Values in Sled Dogs Completing a Long-Distance Endurance Race. Am. J. Vet. Res. 2010, 71, 1207–1213. [Google Scholar] [CrossRef]
- Scharhag, J.; Meyer, T.; Gabriel, H.H.W.; Schlick, B.; Faude, O.; Kindermann, W. Does Prolonged Cycling of Moderate Intensity Affect Immune Cell Function? Br. J. Sports Med. 2005, 39, 171–177. [Google Scholar] [CrossRef]
- Neubauer, O.; König, D.; Wagner, K.H. Recovery after an Ironman Triathlon: Sustained Inflammatory Responses and Muscular Stress. Eur. J. Appl. Physiol. 2008, 104, 417–426. [Google Scholar] [CrossRef]
- Cywińska, A.; Szarska, E.; Górecka, R.; Witkowski, L.; Hecold, M.; Bereznowski, A.; Schollenberger, A.; Winnicka, A. Acute Phase Protein Concentrations after Limited Distance and Long Distance Endurance Rides in Horses. Res. Vet. Sci. 2012, 93, 1402–1406. [Google Scholar] [CrossRef] [PubMed]
- Evans, W.J.; Cannon, J.G. The Metabolic Effects of Exercise-Induced Muscle Damage. Exerc. Sport. Sci. Rev. 1991, 19, 99–125. [Google Scholar] [CrossRef] [PubMed]
- Nukina, H.; Sudo, N.; Aiba, Y.; Oyama, N.; Koga, Y.; Kubo, C. Restraint Stress Elevates the Plasma Interleukin-6 Levels in Germ-Free Mice. J. Neuroimmunol. 2001, 115, 46–52. [Google Scholar] [CrossRef] [PubMed]
- Pedersen, B.K.; Steensberg, A.; Schjerling, P. Muscle-Derived Interleukin-6: Possible Biological Effects. J. Physiol. 2001, 536, 329–337. [Google Scholar] [CrossRef] [PubMed]
- Hinchcliff, K.W.; Kaneps, A.J. Equine Sports Medicine and Surgery: Basic and Clinical Sciences of the Equine Athlete; Saunders Company: Edinburgh, UK; London, UK, 2004. [Google Scholar]
- Kjeldsen, S.E.; Weder, A.B.; Egan, B.; Neubig, R.; Zweifler, A.J.; Julius, S. Effect of Circulating Epinephrine on Platelet Function and Hematocrit. Hypertension 1995, 25, 1096–1105. [Google Scholar] [CrossRef] [PubMed]
- Jones, C.J.H.; DeFily, D.V.; Patterson, J.L.; Chilian, W.M. Endothelium-Dependent Relaxation Competes with Alpha 1- and Alpha 2-Adrenergic Constriction in the Canine Epicardial Coronary Microcirculation. Circulation 1993, 87, 1264–1274. [Google Scholar] [CrossRef] [PubMed]
- De Graaf, J.C.; Banga, J.D.; Moncada, S.; Palmer, R.M.J.; De Groot, P.G.; Sixma, J.J. Nitric Oxide Functions as an Inhibitor of Platelet Adhesion under Flow Conditions. Circulation 1992, 85, 2284–2290. [Google Scholar] [CrossRef] [PubMed]
- Molins, B.; Peña, E.; Vilahur, G.; Mendieta, C.; Slevin, M.; Badimon, L. C-Reactive Protein Isoforms Differ in Their Effects on Thrombus Growth. Arter. Thromb. Vasc. Biol. 2008, 28, 2239–2246. [Google Scholar] [CrossRef]
- Molins, B.; Pea, E.; De La Torre, R.; Badimon, L. Monomeric C-Reactive Protein Is Prothrombotic and Dissociates from Circulating Pentameric C-Reactive Protein on Adhered Activated Platelets under Flow. Cardiovasc. Res. 2011, 92, 328–337. [Google Scholar] [CrossRef]
- Fiedel, B.A.; Gewurz, H. Effects of C-Reactive Protein on Platelet Function. I. Inhibition of Platelet Aggregation and Release Reactions. J. Immunol. 1976, 116, 1289–1294. [Google Scholar] [CrossRef]
- Fiedel, B.A.; Gewurz, H. Effects of C-Reactive Protein on Platelet Function. II. Inhibition by CRP of Platelet Reactivities Stimulated by Poly-L-Lysine, ADP, Epinephrine, and Collagen. J. Immunol. 1976, 117, 1073–1078. [Google Scholar] [CrossRef]
- Fiedel, B.A.; Simpson, R.M.; Gewurz, H. Effects of C-reactive protein (CRP) on platelet function. Ann. N. Y. Acad. Sci. 1982, 389, 263–273. [Google Scholar] [CrossRef]









Disclaimer/Publisher’s Note: The statements, opinions and data contained in all publications are solely those of the individual author(s) and contributor(s) and not of MDPI and/or the editor(s). MDPI and/or the editor(s) disclaim responsibility for any injury to people or property resulting from any ideas, methods, instructions or products referred to in the content. |
© 2024 by the authors. Licensee MDPI, Basel, Switzerland. This article is an open access article distributed under the terms and conditions of the Creative Commons Attribution (CC BY) license (https://creativecommons.org/licenses/by/4.0/).
Share and Cite
Arfuso, F.; Rizzo, M.; Arrigo, F.; Faggio, C.; Giudice, E.; Piccione, G.; Giannetto, C. Dynamic Correlation between Platelet Aggregation and Inflammatory-like State in Athlete Horses. Appl. Sci. 2024, 14, 2086. https://doi.org/10.3390/app14052086
Arfuso F, Rizzo M, Arrigo F, Faggio C, Giudice E, Piccione G, Giannetto C. Dynamic Correlation between Platelet Aggregation and Inflammatory-like State in Athlete Horses. Applied Sciences. 2024; 14(5):2086. https://doi.org/10.3390/app14052086
Chicago/Turabian StyleArfuso, Francesca, Maria Rizzo, Federica Arrigo, Caterina Faggio, Elisabetta Giudice, Giuseppe Piccione, and Claudia Giannetto. 2024. "Dynamic Correlation between Platelet Aggregation and Inflammatory-like State in Athlete Horses" Applied Sciences 14, no. 5: 2086. https://doi.org/10.3390/app14052086
APA StyleArfuso, F., Rizzo, M., Arrigo, F., Faggio, C., Giudice, E., Piccione, G., & Giannetto, C. (2024). Dynamic Correlation between Platelet Aggregation and Inflammatory-like State in Athlete Horses. Applied Sciences, 14(5), 2086. https://doi.org/10.3390/app14052086

