Investigations into Higher-Frequency Hysteresis Current Controller for Supraharmonic Hybrid Active Filters
Abstract
1. Introduction
- To investigate the nature and propagation of the supraharmonic frequencies produced by a 50 kW, 6 kHz MC-interfaced load.
- To obtain a novel equation for estimating a fixed-frequency hysteresis current controller in higher-frequency applications.
- To achieve supraharmonic frequency compensation within the recommended standards of IEEE Std. 519-2022 [17] using the HCC-HAPF.
2. The MC and Supraharmonics
3. The Hysteresis Current Controller
3.1. Validation of the Novel Expression
- Filter input impedance at grid frequency must be less than or equal to the grid impedance and higher at harmonic frequencies.
- Filter current transfer ratio must be low at grid frequency.
3.2. Effects of the Power Rating of the MC on Inverter-Switching Frequency
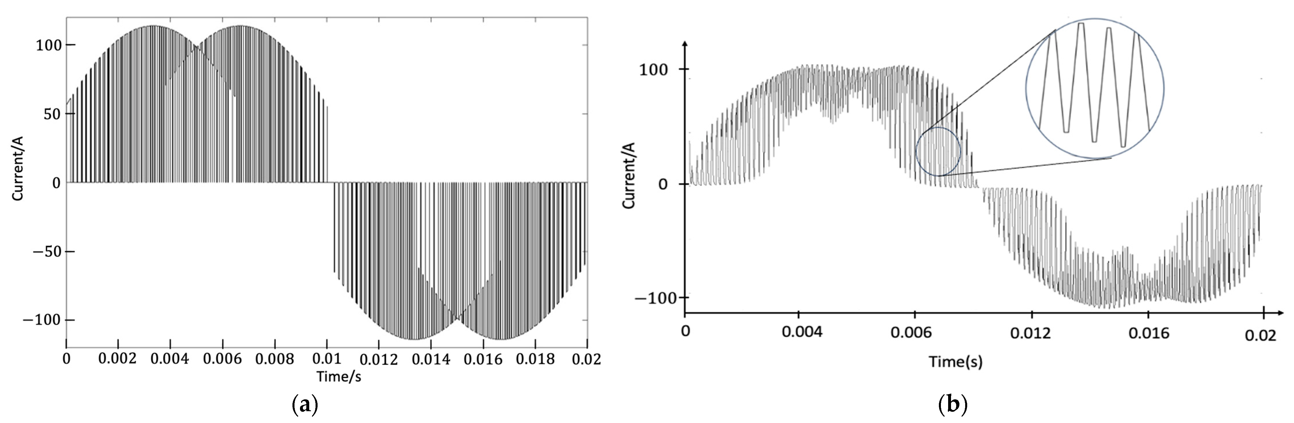
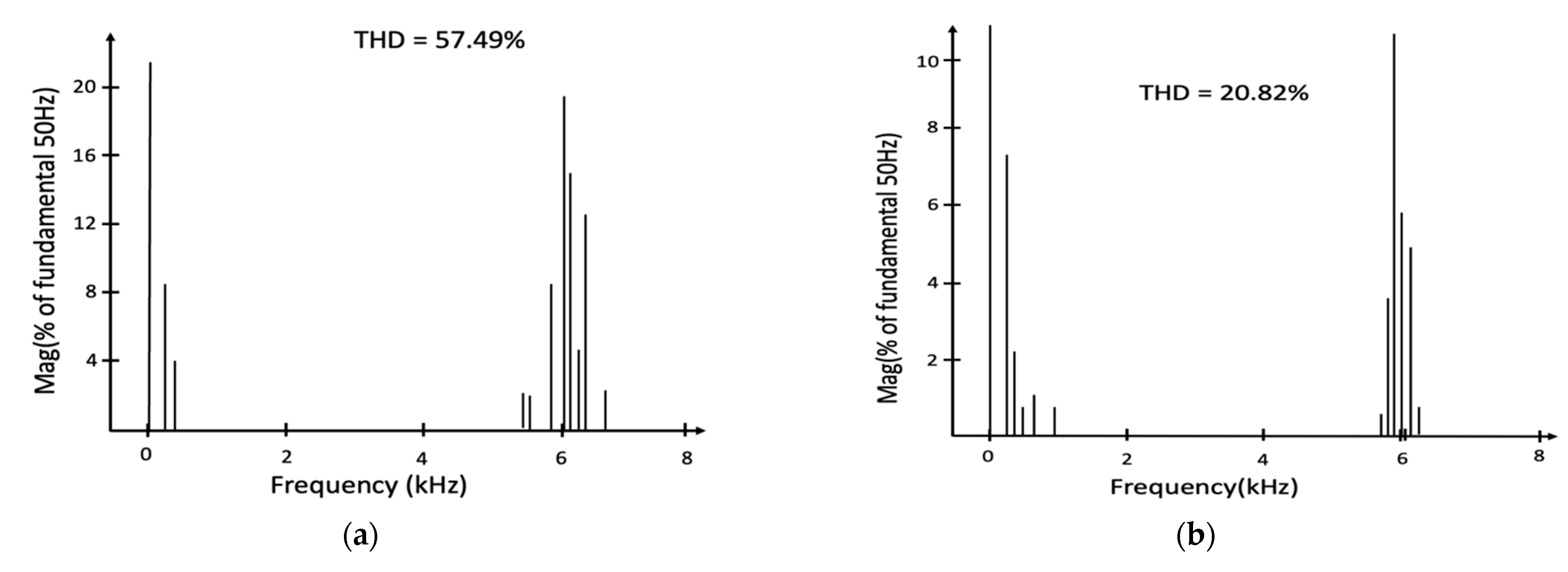
4. Simulation Results and Analysis
5. Discussion
- The converter rated power is directly proportional to the maximum attainable active filter hysteresis switching frequency.
- Again, the maximum hysteresis switching frequency increases with the decrease in the hysteresis bandwidth current.
- Reference signals with rate of change close to the supraharmonic signal frequency reduces the maximum hysteresis switching frequency of the VSC.
6. Conclusions
Author Contributions
Funding
Institutional Review Board Statement
Informed Consent Statement
Data Availability Statement
Conflicts of Interest
Nomenclature
| DC link capacitance | |
| Passive filter capacitance | |
| HAPF passive-side capacitance | |
| HAPF | Hybrid active power filter |
| IMC | Matrix converter current at grid frequency |
| IS | Source current |
| Passive filter inductance | |
| HAPF passive-side inductance | |
| L_C/L_Hinv | SAPF/HAPF coupling inductance |
| MC | Matrix converter |
| SAPF | Shunt active power filter |
| SMC | Rated power of matrix converter |
| VS | Source voltage |
| VSC | Voltage source converter |
| Base frequency in radian | |
| Resonance frequency in radian |
Appendix A. Effects of the VSC Switches on Maximum Switching Frequency

| Parameter | Value |
|---|---|
| Vdd | 500 V |
| Drain-to-source voltage, Vds | 500 V |
| Drain current, Id | 14 A |
| Gate-to-source voltage, Vgs | 20 V |
| Ciss (Cgs + Cgd) | 2600 pF |
| Coss (Cds + Cgd) | 720 pF |
| Crss/Cgd | 340 pF |
| Cgs | 2260 pF |
| Cds | 380 pF |
| Conductance, S | 1–10 mA/V |
| Gate-to-source threshold voltage, (VgsT) | 2–4 V |
| Parameter | Value | |||
|---|---|---|---|---|
| Rd | Full load resistance (3 ) | 10 k | 100 k | 300 k |
| Fsw | 20.8 MHz | 18.1 MHz | 6.4 MHz | 5.6 MHz |
| Parameter | Value | |||
|---|---|---|---|---|
| Rg | 1 | 3 | 10 | 20 |
| Fsw | 62.4 MHz | 20.8 MHz | 6.2 MHz | 3.12 MHz |
References
- Slangen, T.; van Wijk, T.; Ćuk, V.; Cobben, S. The Propagation and Interaction of Supraharmonics from Electric Vehicle Chargers in a Low-Voltage Grid. Energies 2020, 13, 3865. [Google Scholar] [CrossRef]
- Yanchenko, S.; Meyer, J. Impact of Network Conditions on the Harmonic Performance of PV Inverters. In Proceedings of the 2018 Power Systems Computation Conference (PSCC), Dublin, Ireland, 11–15 June 2018; pp. 1–7. [Google Scholar] [CrossRef]
- Moreno-Munoz, A.; Gil-de-Castro, A.; Rönnberg, S. Ongoing work in cigre working groups on supraharmonics from power-electronic converters. In Proceedings of the 23rd International Conference on Electricity Distribution, Lyon, France, 15–18 June 2015; p. 5. [Google Scholar]
- Pugliese, S.; Flacke, S.; Zou, Z.; Liserre, M. High-Frequency Harmonic Current Control of Power Converters. In Proceedings of the 2019 IEEE Energy Conversion Congress and Exposition (ECCE), Baltimore, MD, USA, 29 September–3 October 2019; pp. 6915–6921. [Google Scholar] [CrossRef]
- Thomas, T.; Michael, P.A. A review of high frequency emission in 2–150 kHz range. Int. J. Adv. Appl. Sci. 2020, 9, 132–141. [Google Scholar] [CrossRef]
- Alfalahi, S.T.Y.; Alkahtani, A.A.; Al-Shetwi, A.Q.; Al-Ogaili, A.S.; Abbood, A.A.; Bin Mansor, M.; Fazea, Y. Supraharmonics in Power Grid: Identification, Standards, and Measurement Techniques. IEEE Access 2021, 9, 103677–103690. [Google Scholar] [CrossRef]
- Zhang, C.; Cao, C.; Chen, R.; Jiang, J. Three-Leg Quasi-Z-Source Inverter with Input Ripple Suppression for Renewable Energy Application. Energies 2023, 16, 4393. [Google Scholar] [CrossRef]
- Wang, J.; Fang, Y.; Fei, J. Adaptive Super-Twisting Sliding Mode Control of Active Power Filter Using Interval Type-2-Fuzzy Neural Networks. Mathematics 2023, 11, 2785. [Google Scholar] [CrossRef]
- Liu, T.-H.; Li, J.-H. Design and Implementation of Input AC Filters and Predictive Control for Matrix-Converter Based PMSM Drive Systems. Energies 2022, 15, 748. [Google Scholar] [CrossRef]
- Jajarmi, H.R.I.; Mohamed, A.; Shareef, H.; Subiyanto. Adaptive interval type2 fuzzy hysteresis-band current-controlled active power filter for power quality improvement owe. Prz. Elektrotechniczny 2014, 90, 140–145. [Google Scholar] [CrossRef]
- Schneider Electric, “Variable Speed Drives Altivar61 for asynchronous motors,” Catalogue. 2014. Available online: https://inverterdrive.com/file/Schneider-Altistart-01-Catalogue-2014 (accessed on 14 February 2024).
- Koduah, A.; Svinkunas, G. Switching Harmonic Ripple Attenuation in a Matrix Converter-Based DFIG Application. In Proceedings of the 2022 IEEE 7th International Energy Conference, Riga, Latvia, 9–12 May 2022; pp. 1–7. [Google Scholar] [CrossRef]
- Dwivedi, A.; Tiwari, A. Analysis of three-phase PWM rectifiers using hysteresis current control techniques: A survey. Int. J. Power Electron. 2017, 8, 349. [Google Scholar] [CrossRef]
- Durna, E. Adaptive fuzzy hysteresis band current control for reducing switching losses of hybrid active power filter. IET Power Electron. 2018, 11, 937–944. [Google Scholar] [CrossRef]
- Albanna, A.Z.; Hatziadoniu, C.J. Harmonic Modeling of Hysteresis Inverters in Frequency Domain. IEEE Trans. Power Electron. 2009, 25, 1110–1114. [Google Scholar] [CrossRef]
- Albanna, A. Modeling & Simulation of Hysteresis Current Controlled Inverters Using MATLAB. In Applications of MATLAB in Science and Engineering; Michalowski, T., Ed.; IntechOpen: London, UK, 2011. [Google Scholar] [CrossRef][Green Version]
- IEEE Std 519-2022; IEEE Standard for Harmonic Control in Electric Power Systems. Institute of Electrical and Electronics Engineers: New York, NY, USA, 2022. [CrossRef]
- Wang, Y.; Luo, D.; Xiao, X. Evaluation of supraharmonic emission levels of multiple grid-connected VSCs. IET Gener. Transm. Distrib. 2019, 13, 5597–5604. [Google Scholar] [CrossRef]
- Meyer, J.; Haehle, S.; Schegner, P. Impact of higher frequency emission above 2 kHz on electronic mass-market equipment. In Proceedings of the 22nd International Conference and Exhibition on Electricity Distribution (CIRED 2013), Stockholm, Sweden, 10–13 June 2013; p. 0999. [Google Scholar] [CrossRef]
- Klatt, M.; Stiegler, R.; Meyer, J.; Schegner, P. Generic frequency-domain model for the emission of PWM-based power converters in the frequency range from 2 to 150 kHz. IET Gener. Transm. Distrib. 2019, 13, 5478–5486. [Google Scholar] [CrossRef]
- Chiang, G.T.; Itoh, J.-I. Voltage transfer ratio improvement of an Indirect Matrix Converter by Single pulse modulation. In Proceedings of the 2010 IEEE Energy Conversion Congress and Exposition (ECCE), Atlanta, GA, USA, 12–16 September 2010; p. 9. [Google Scholar] [CrossRef]
- Karpagam, J.; Kumar, N.; Kumar, C. Comparison of Modulation Techniques for Matrix Converter. Int. J. Eng. Technol. 2010, 2, 189. [Google Scholar]
- Monteiro, J.; Pinto, S.; Martin, A.D.; Silva, J.F. A New Real Time Lyapunov Based Controller for Power Quality Improvement in Unified Power Flow Controllers Using Direct Matrix Converters. Energies 2017, 10, 779. [Google Scholar] [CrossRef]
- Li, D.; Wang, T.; Pan, W.; Ding, X.; Gong, J. A comprehensive review of improving power quality using active power filters. Electr. Power Syst. Res. 2021, 199, 107389. [Google Scholar] [CrossRef]
- Goel, S.; Tiwari, D.; Pandey, M.K.; Bajpai, S. Power Quality Conditioners for Matrix Converter Using Shunt and Series Active Filters. Int. J. Electron. Electr. Eng. 2013, 6, 119–130. [Google Scholar]
- Dabour, S.M.; Rashad, E.M. Improvement of Voltage Transfer Ratio of Space Vector Modulated Three-Phase Matrix Converter. In Proceedings of the IEEE 15th International Middle East Power Systems Conference (MEPCON’12), Alexandria, Egypt, 23–25 December 2012; pp. 581–586. [Google Scholar]
- Koduah, A.; Svinkunas, G.; Ampofo, D.O. Design of a Shunt Active Power Filter for Direct Matrix Converter Application. In Proceedings of the 2021 IEEE PES/IAS PowerAfrica, Nairobi, Kenya, 23–27 August 2021; pp. 1–5. [Google Scholar] [CrossRef]
- Praženica, M.; Kaščák, S.; Resutík, P. Power Losses Investigation in Direct 3 × 5 Matrix Converter Using MATLAB Simulink. Appl. Sci. 2023, 13, 4049. [Google Scholar] [CrossRef]
- Toledo, S.; Caballero, D.; Maqueda, E.; Cáceres, J.J.; Rivera, M.; Gregor, R.; Wheeler, P. Predictive Control Applied to Matrix Converters: A Systematic Literature Review. Energies 2022, 15, 7801. [Google Scholar] [CrossRef]
- Janabi, A.; Wang, B. Hybrid matrix converter based on instantaneous reactive power theory. In Proceedings of the IECON 2015—41st Annual Conference of the IEEE Industrial Electronics Society, Yokohama, Japan, 9–12 November 2015; pp. 003910–003915. [Google Scholar] [CrossRef]
- El-Habrouk, M.; Darwish, M.; Mehta, P. Active power filters: A review. IEE Proc. Electr. Power Appl. 2000, 147, 403–413. [Google Scholar] [CrossRef]
- Büyük, M.; Tan, A.; Tümay, M.; Bayındır, K. Topologies, generalized designs, passive and active damping methods of switching ripple filters for voltage source inverter: A comprehensive review. Renew. Sustain. Energy Rev. 2016, 62, 46–69. [Google Scholar] [CrossRef]
- Akagi, H.; Watanabe, E.H.; Aredes, M. Instantaneous Power Theory and Applications to Power Conditioning, 2nd ed.; IEEE Press Series on Power Engineering; IEEE Press/Wiley: Hoboken, NJ, USA, 2007. [Google Scholar]
- Watanabe, E.H.; Aredes, M.; Afonso, J.L.; Pinto, J.G.; Monteiro, L.F.C.; Akagi, H. Instantaneous p–q power theory for control of compensators in micro-grids. In Proceedings of the 2010 International School on Nonsinusoidal Currents and Compensation (ISNCC), Lagow, Poland, 15–18 June 2010; p. 11. [Google Scholar]
- Liu, F.; Maswood, A.I. A Novel Variable Hysteresis Band Current Control of Three-Phase Three-Level Unity PF Rectifier with Constant Switching Frequency. IEEE Trans. Power Electron. 2006, 21, 1727–1734. [Google Scholar] [CrossRef]
- Singh, J.K.; Behera, R.K. Hysteresis Current Controllers for Grid Connected Inverter: Review and Experimental Implementation. In Proceedings of the 2018 IEEE International Conference on Power Electronics, Drives and Energy Systems (PEDES), Chennai, India, 18–21 December 2018; pp. 1–6. [Google Scholar] [CrossRef]
- Vahedi, H.; Sheikholeslami, A.; Bina, M.T. A novel hysteresis bandwidth (NHB) calculation to fix the switching frequency employed in active power filter. In Proceedings of the 2011 IEEE Applied Power Electronics Colloquium (IAPEC), Johor Bahru, Malaysia, 18–19 April 2011; pp. 155–158. [Google Scholar] [CrossRef]
- Moran, L.; Dixon, J.; Wallace, R. A three-phase active power filter operating with fixed switching frequency for reactive power and current harmonic compensation. IEEE Trans. Ind. Electron. 1995, 42, 402–408. [Google Scholar] [CrossRef]
- Koduah, A.; Effah, F.B. Fuzzy-Logic-Controlled Hybrid Active Filter for Matrix Converter Input Current Harmonics. Energies 2022, 15, 7640. [Google Scholar] [CrossRef]
- Tan, J.; Zhou, Z. An Optimized Switching Strategy Based on Gate Drivers with Variable Voltage to Improve the Switching Performance of SiC MOSFET Modules. Energies 2023, 16, 5984. [Google Scholar] [CrossRef]
- Dalal, D.N.; Christensen, N.; Jorgensen, A.B.; Jorgensen, J.K.; Beczkowski, S.; Munk-Nielsen, S.; Uhrenfeldt, C. Impact of Power Module Parasitic Capacitances on Medium-Voltage SiC MOSFETs Switching Transients. IEEE J. Emerg. Sel. Top. Power Electron. 2020, 8, 298–310. [Google Scholar] [CrossRef]
- Bernacki, K.; Rymarski, Z. The Experimentally Measured Influence of the Si-MOSFET Replacement Switches to WBG Transistors in the Voltage Source Inverters as the Source of Radiation Noise. Energies 2023, 16, 870. [Google Scholar] [CrossRef]
- Choi, C.-W.; So, J.-H.; Ko, J.-S.; Kim, D.-K. Influence Analysis of SiC MOSFET’s Parasitic Capacitance on DAB Converter Output. Electronics 2022, 12, 182. [Google Scholar] [CrossRef]
- Geng, C.; Zhang, D.; Wu, X.; Shen, W.; Dong, R. A Novel Active Gate Driver with Auxiliary Gate Current Control Circuit for Improving Switching Performance of High-Power SiC MOSFET Modules. In Proceedings of the 2020 IEEE 1st China International Youth Conference on Electrical Engineering (CIYCEE), Wuhan, China, 1–4 November 2020; pp. 1–7. [Google Scholar] [CrossRef]
- Yang, Y.; Wen, Y.; Gao, Y. A Novel Active Gate Driver for Improving Switching Performance of High-Power SiC MOSFET Modules. IEEE Trans. Power Electron. 2018, 34, 7775–7787. [Google Scholar] [CrossRef]
- Rujas, A.; López, V.M.; Mir, L.; Nieva, T. Gate driver for high power SiC modules: Design considerations, development and experimental validation. IET Power Electron. 2018, 11, 977–983. [Google Scholar] [CrossRef]
- Sergeevich, B.S. Circuit Design of Functional Unis of Secondary Power Supply Sources; Handbook; Moscow Radio and Communication: Moscow, Russia, 1992; pp. 72–76. ISBN 5-256-00433-6. [Google Scholar]












| Load | Switching Frequency (kHz) |
|---|---|
| Electric vehicle chargers | 15–100 |
| Solar PV inverters | 4–20 |
| Power communication lines (PCLs) | 9–95 |
| Communication notch oscillations | Up to 10 |
| Industrial size converters | 9–150 |
| Street lighting systems | Up to 20 |
| Household electronic devices (LEDs and CFLs) | 2–150 |
| References | Method | Conclusion |
|---|---|---|
| [1] | Supraharmonics in electric vehicles | Frequency beating, tripping of residual devices |
| [3,6,17] | Measurement and standardizations | Reduces life expectancy of electrical equipment |
| [16] | Supraharmonics in multiple VSCs | Supraharmonics are distributed integer multiple of the switching frequency of VSC |
| [4,5] | Supraharmonics in power electronic loads and mode of compensation | Power converters are sources of supraharmonics. Zone-phase compensation |
| [18] | Modelling of EMI from supraharmonic devices | It is possible to model the effects of supraharmonics |
| [21,22,23] | Power quality issues with MC and possible solution with active power filters (APF) | Lyapunov control strategy, APF, Shunt and series power filters |
| [24,25,26,27,29] | Supraharmonics in MC | Large switching states of MC causes supraharmonics |
| SMC/kW/6 kHz | 1 | 10 | 50 | 100 |
|---|---|---|---|---|
| , A/s | 7.06 | 7.06 | ||
| , A/s | ||||
| , A/s | ||||
| , MHz |
| SMC/kW/6 kHz | 10 | |||
|---|---|---|---|---|
| /A | 0.2 | 0.5 | 0.7 | 1 |
| / | 6.72 | 2.68 | 1.92 | 1.319 |
| Parameter | Value |
|---|---|
| Supply voltage (VL-L) | 400 V, 50 Hz |
| MC rated power, SMC | 50 kW |
| MC switching frequency | 6 kHz |
| LC low-pass filter values, CHF | 33 µF |
| Passive filter inductance, LHF | 1.87 mH |
| Damping resistance, RHF | |
| DC reference voltages | 653 Vmin, 700 Vmax |
| DC capacitance | 100 µF |
| Coupling inductance | 115 µH |
| Parameter | Value |
|---|---|
| Supply voltage (VL-L) | 400 V, 50 Hz |
| MC rated power, SMC | 50 kW |
| MC switching frequency | 6 kHz |
| DC capacitor voltage | 653 Vmin, 700 Vmax |
| Coupling inductance | 115 µH |
| Reference signal frequency | 50 Hz, 6 kHz |
| Novel Equation | Simulation Results | |||
|---|---|---|---|---|
| MC power, SMC | 1 kW | 10 kW | 1 kW | 10 kW |
| Current ref, /A | 1.44 | 14.44 | 1.44 | 14.4 |
| Trapezoidal | 131.9 kHz | 1.31 MHz | 140 kHz | 1.3 MHz |
| MC-HAPF | 136.74 kHz | 712 kHz | 130 kHz | 610 kHz |
| Parameter | Transistor | |
|---|---|---|
| IGBT (IKW30N60H3) | MOSFET (STW15NB50) | |
| VCE max | 600 V | 500 V |
| I (@ 25°) max | 60 A | 14.6 A |
| Turn-on delay time | 21 ns | 24 ns |
| Turn-off delay time | 207 ns | 15 ns |
| Rise time | 33 ns | 14 ns |
| Fall time | 22 ns | 25 ns |
| Switching frequency, min max | 20–100 kHz | 20 kHz–12 MHz |
| Frequency, Hz | Harmonic Number, h | Percentage of Fundamental |
|---|---|---|
| % | ||
| 0 | DC | 0.23 |
| 50 | Fnd | 100.00 |
| 250 | 5 | 8.85 |
| 350 | 7 | 3.28 |
| 450 | 9 | 0.81 |
| 550 | 11 | 1.26 |
| 650 | 13 | 1.66 |
| 7550 | 151 | 9.36 |
| 7600 | 152 | 5.59 |
| 7700 | 154 | 5.23 |
| 7750 | 155 | 19.21 |
| 7850 | 157 | 14.58 |
| 7900 | 158 | 7.91 |
| 8000 | 160 | 4.45 |
| 8500 | 161 | 13.06 |
| THD% | 57.49 | |
Disclaimer/Publisher’s Note: The statements, opinions and data contained in all publications are solely those of the individual author(s) and contributor(s) and not of MDPI and/or the editor(s). MDPI and/or the editor(s) disclaim responsibility for any injury to people or property resulting from any ideas, methods, instructions or products referred to in the content. |
© 2024 by the authors. Licensee MDPI, Basel, Switzerland. This article is an open access article distributed under the terms and conditions of the Creative Commons Attribution (CC BY) license (https://creativecommons.org/licenses/by/4.0/).
Share and Cite
Koduah, A.; Svinkunas, G.; Bandza, A.; Osei Fobi, S. Investigations into Higher-Frequency Hysteresis Current Controller for Supraharmonic Hybrid Active Filters. Appl. Sci. 2024, 14, 1713. https://doi.org/10.3390/app14051713
Koduah A, Svinkunas G, Bandza A, Osei Fobi S. Investigations into Higher-Frequency Hysteresis Current Controller for Supraharmonic Hybrid Active Filters. Applied Sciences. 2024; 14(5):1713. https://doi.org/10.3390/app14051713
Chicago/Turabian StyleKoduah, Asare, Gytis Svinkunas, Almantas Bandza, and Samuel Osei Fobi. 2024. "Investigations into Higher-Frequency Hysteresis Current Controller for Supraharmonic Hybrid Active Filters" Applied Sciences 14, no. 5: 1713. https://doi.org/10.3390/app14051713
APA StyleKoduah, A., Svinkunas, G., Bandza, A., & Osei Fobi, S. (2024). Investigations into Higher-Frequency Hysteresis Current Controller for Supraharmonic Hybrid Active Filters. Applied Sciences, 14(5), 1713. https://doi.org/10.3390/app14051713
