Hydraulic Characterization of Green Roof Substrates by Evaporation Experiments
Abstract
1. Introduction
2. Materials and Methods
2.1. Substrate Characteristics
2.2. Evaporation and UHG Experiments
2.3. Determination of the Soil Hydraulic Functions
- An initial guess fitting of the van Genuchten [18] water retention curve was achieved from the mean values of the pressure head at the three depths, and the average sample water contents, , measured at the same time;
- Using the fitted water retention curve, water contents, θk,i, were estimated at depths and times at which the pressure heads were measured;
- The estimated average water contents were compared with the measured water storages of the soil sample obtained from weighting and the differences equally redistributed among the three compartments;
- From these θk,i vs. hk,i pairs, an updated water retention curve was obtained;
- Steps 3 and 4 were repeated until the maximum absolute change in water storage values between two successive iterations was < 0.0001 m3m−3.
2.4. Data Analysis
- 6.
- The retention data obtained by the evaporation method were fitted using Equation (5) considering α, n, and θs as fitting parameters, whereas θr was either fitted or fixed at θ150;
- 7.
- The hydraulic conductivity data obtained by the evaporation method were fitted using Equation (6) considering α, n, θs and θr values obtained from the previous step, Ks as a fitting parameter and λ either fitted or fixed at λ = 0.5.
3. Results
3.1. Estimation of Soil Hydraulic Functions by Direct Wind Method
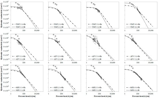
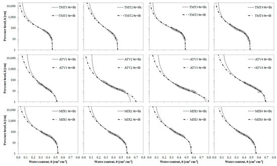
3.2. Estimation of Soil Hydraulic Functions by Inverse Method
4. Discussion
5. Conclusions
Author Contributions
Funding
Institutional Review Board Statement
Informed Consent Statement
Data Availability Statement
Conflicts of Interest
References
- Czemiel Berndtsson, J. Green Roof Performance towards Management of Runoff Water Quantity and Quality: A Review. Ecol. Eng. 2010, 36, 351–360. [Google Scholar] [CrossRef]
- Stovin, V.; Poë, S.; De-Ville, S.; Berretta, C. The Influence of Substrate and Vegetation Configuration on Green Roof Hydrological Performance. Ecol. Eng. 2015, 85, 159–172. [Google Scholar] [CrossRef]
- Peng, Z.; Smith, C.; Stovin, V. The Importance of Unsaturated Hydraulic Conductivity Measurements for Green Roof Detention Modelling. J. Hydrol. 2020, 590, 125273. [Google Scholar] [CrossRef]
- Kasmin, H.; Stovin, V.R.; Hathway, E.A. Towards a Generic Rainfall-Runoff Model for Green Roofs. Water Sci. Technol. 2010, 62, 898–905. [Google Scholar] [CrossRef] [PubMed]
- Brunetti, G.; Šimůnek, J.; Piro, P. A Comprehensive Analysis of the Variably Saturated Hydraulic Behavior of a Green Roof in a Mediterranean Climate. Vadose Zone J. 2016, 15, vzj2016-04. [Google Scholar] [CrossRef]
- Peng, Z.; Garner, B.; Stovin, V. Two Green Roof Detention Models Applied in Two Green Roof Systems. J. Hydrol. Eng. 2022, 27, 04021049. [Google Scholar] [CrossRef]
- Krebs, G.; Kuoppamäki, K.; Kokkonen, T.; Koivusalo, H. Simulation of Green Roof Test Bed Runoff. Hydrol. Process 2016, 30, 250–262. [Google Scholar] [CrossRef]
- Metselaar, K. Water Retention and Evapotranspiration of Green Roofs and Possible Natural Vegetation Types. Resour. Conserv. Recycl. 2012, 64, 49–55. [Google Scholar] [CrossRef]
- Simunek, J.; Sejna, M.; Saito, H.; Sakai, M.; van Genuchten, M.T. The HYDRUS-1D Software Package for Simulating the One-Dimensional Movement of Water, Heat, and Multiple Solutes in Variably-Saturated Media; Version 4.08. HYDRUS Softw. Ser. 3; University of California-Riverside Research Reports: Riverside, CA, USA, 2009. [Google Scholar]
- Simunek, J.; Van Genuchten, M.T.; Sejna, M. The HYDRUS Software Package for Simulating the Two- and Three-Dimensions Movement of Water, Heat, and Multiple Solutes in Variably-Saturated Media. Tech. Man. 2011, 1, 241. [Google Scholar]
- Ghazouani, H.; M’Hamdi, B.D.; Autovino, D.; Bel Haj, A.M.; Rallo, G.; Provenzano, G.; Boujelben, A. Optimizing Subsurface Dripline Installation Depth with Hydrus 2D/3D to Improve Irrigation Water Use Efficiency in the Central Tunisia. Int. J. Metrol. Qual. Eng. 2015, 6, 402. [Google Scholar] [CrossRef]
- Basile, A.; Albrizio, R.; Autovino, D.; Bonfante, A.; De Mascellis, R.; Terribile, F.; Giorio, P. A Modelling Approach to Discriminate Contributions of Soil Hydrological Properties and Slope Gradient to Water Stress in Mediterranean Vineyards. Agric. Water Manag. 2020, 241, 106338. [Google Scholar] [CrossRef]
- Hilten, R.N.; Lawrence, T.M.; Tollner, E.W. Modeling Stormwater Runoff from Green Roofs with HYDRUS-1D. J. Hydrol. 2008, 358, 288–293. [Google Scholar] [CrossRef]
- Palermo, S.A.; Turco, M.; Principato, F.; Piro, P. Hydrological Effectiveness of an Extensive Green Roof in Mediterranean Climate. Water 2019, 11, 1378. [Google Scholar] [CrossRef]
- Li, Y.; Babcock, R.W. Modeling Hydrologic Performance of a Green Roof System with HYDRUS-2D. J. Environ. Eng. 2015, 141, 04015036. [Google Scholar] [CrossRef]
- Brunetti, G.; Šimůnek, J.; Turco, M.; Piro, P. On the Use of Surrogate-Based Modeling for the Numerical Analysis of Low Impact Development Techniques. J. Hydrol. 2017, 548, 263–277. [Google Scholar] [CrossRef]
- Palla, A.; Gnecco, I.; Lanza, L.G. Unsaturated 2D Modelling of Subsurface Water Flow in the Coarse-Grained Porous Matrix of a Green Roof. J. Hydrol. 2009, 379, 193–204. [Google Scholar] [CrossRef]
- van Genuchten, M.T. A Closed-Form Equation for Predicting the Hydraulic Conductivity of Unsaturated Soils. Soil Sci. Soc. Am. J. 1980, 44, 892–898. [Google Scholar] [CrossRef]
- Schindler, U.; Durner, W.; von Unold, G.; Müller, L. Evaporation Method for Measuring Unsaturated Hydraulic Properties of Soils: Extending the Measurement Range. Soil Sci. Soc. Am. J. 2010, 74, 1071–1083. [Google Scholar] [CrossRef]
- Schindler, U.; Durner, W.; von Unold, G.; Mueller, L.; Wieland, R. The Evaporation Method: Extending the Measurement Range of Soil Hydraulic Properties Using the Air-Entry Pressure of the Ceramic Cup. J. Plant Nutr. Soil Sci. 2010, 173, 563–572. [Google Scholar] [CrossRef]
- Wind, G.P. Capillary Conductivity Data Estimated by a Simple Method. In Water in the Unsaturated Zone, Proceedings of Wageningen Symposium; Institute for Land and Water Management Research: Wageningen, The Netherlands, 1969; Volume 1, p. 1. [Google Scholar]
- Schindler, U. Ein Schnellverfahren Zur Messung Der Wasserleitfähigkeit Im Teilgesättigten Boden an Stechzylinderproben. Arch. Acker Pflanzenbau Bodenkd. 1980, 24, 1–7. [Google Scholar]
- Peters, A.; Iden, S.C.; Durner, W. Revisiting the Simplified Evaporation Method: Identification of Hydraulic Functions Considering Vapor, Film and Corner Flow. J. Hydrol. 2015, 527, 531–542. [Google Scholar] [CrossRef]
- Peters, A.; Durner, W. Simplified Evaporation Method for Determining Soil Hydraulic Properties. J. Hydrol. 2008, 356, 147–162. [Google Scholar] [CrossRef]
- Dane, J.H.; Hopmans, J.W. Pressure Plate Extractor. In Methods of Soil Analysis, Part 4, Physical Methods; Dane, J.H., Topp, G.C., Eds.; Soil Science Society of America, Inc.: Madison, WI, USA, 2002; pp. 680–683. [Google Scholar]
- Bagarello, V.; Castellini, M.; Iovino, M. Comparison of Unconfined and Confined Unsaturated Hydraulic Conductivity. Geoderma 2007, 137, 394–400. [Google Scholar] [CrossRef]
- Sarkar, S.; Germer, K.; Maity, R.; Durner, W. Measuring Near-Saturated Hydraulic Conductivity of Soils by Quasi Unit-Gradient Percolation—2. Application of the Methodology. J. Plant Nutr. Soil Sci. 2019, 182, 535–540. [Google Scholar] [CrossRef]
- Durner, W. Hydraulic Conductivity Estimation for Soils with Heterogeneous Pore Structure. Water Resour. Res. 1994, 30, 211–223. [Google Scholar] [CrossRef]
- Liu, R.; Fassman-Beck, E. Pore Structure and Unsaturated Hydraulic Conductivity of Engineered Media for Living Roofs and Bioretention Based on Water Retention Data. J. Hydrol. Eng. 2018, 23, 04017065. [Google Scholar] [CrossRef]
- Turco, M.; Palermo, S.A.; Polizzi, A.; Presta, L.; Pirouz, B.; Piro, P. The Assessment of the Effectiveness of the Unimodal and Bimodal Models to Evaluate the Water Flow through Nature-Based Solutions Substrates. Water Sci. Technol. 2023, 88, 932–946. [Google Scholar] [CrossRef] [PubMed]
- Šimůnek, J.; van Genuchten, M.T.; Wendroth, O. Parameter Estimation Analysis of the Evaporation Method for Determining Soil Hydraulic Properties. Soil Sci. Soc. Am. J. 1998, 62, 894–905. [Google Scholar] [CrossRef]
- Crescimanno, G.; Iovino, M. Parameter Estimation by Inverse Method Based on One-Step and Multi-Step Outflow Experiments. Geoderma 1995, 68, 257–277. [Google Scholar] [CrossRef]
- Iden, S.C.; Blöcher, J.R.; Diamantopoulos, E.; Peters, A.; Durner, W. Numerical Test of the Laboratory Evaporation Method Using Coupled Water, Vapor and Heat Flow Modelling. J. Hydrol. 2019, 570, 574–583. [Google Scholar] [CrossRef]
- Huang, S.; Garg, A.; Mei, G.; Huang, D.; Chandra, R.B.; Sadasiv, S.G. Experimental Study on the Hydrological Performance of Green Roofs in the Application of Novel Biochar. Hydrol. Process 2020, 34, 4512–4525. [Google Scholar] [CrossRef]
- Wang, J.; Garg, A.; Liu, N.; Chen, D.; Mei, G. Experimental and Numerical Investigation on Hydrological Characteristics of Extensive Green Roofs under the Influence of Rainstorms. Environ. Sci. Pollut. Res. 2022, 29, 53121–53136. [Google Scholar] [CrossRef]
- Bouzouidja, R.; Séré, G.; Claverie, R.; Ouvrard, S.; Nuttens, L.; Lacroix, D. Green Roof Aging: Quantifying the Impact of Substrate Evolution on Hydraulic Performances at the Lab-Scale. J. Hydrol. 2018, 564, 416–423. [Google Scholar] [CrossRef]
- Gan, L.; Garg, A.; Wang, H.; Mei, G.; Liu, J. Influence of Biochar Amendment on Stormwater Management in Green Roofs: Experiment with Numerical Investigation. Acta Geophys. 2021, 69, 2417–2426. [Google Scholar] [CrossRef]
- Gugliuzza, G.; Verduci, A.; Iovino, M. Water Retention Characteristics of Substrates Containing Biochar and Compost as Peat and Perlite Replacements for Ornamental Plant Production. Acta Hortic. 2021, 1305, 507–512. [Google Scholar] [CrossRef]
- Bondì, C.; Castellini, M.; Iovino, M. Compost Amendment Impact on Soil Physical Quality Estimated from Hysteretic Water Retention Curve. Water 2022, 14, 1002. [Google Scholar] [CrossRef]
- Sandoval, V.; Bonilla, C.A.; Gironás, J.; Vera, S.; Victorero, F.; Bustamante, W.; Rojas, V.; Leiva, E.; Pastén, P.; Suárez, F. Porous Media Characterization to Simulate Water and Heat Transport through Green Roof Substrates. Vadose Zone J. 2017, 16, 1–14. [Google Scholar] [CrossRef]
- Nimmo, J.R. Comment on the Treatment of Residual Water Content in “A Consistent Set of Parametric Models for the Two-phase Flow of Immiscible Fluids in the Subsurface” by L. Luckner et Al. Water Resour. Res. 1991, 27, 661–662. [Google Scholar] [CrossRef]
- Shinomiya, Y.; Takahashi, K.; Kobiyama, M.; Kubota, J. Evaluation of the Tortuosity Parameter for Forest Soils to Predict Unsaturated Hydraulic Conductivity. J. For. Res. 2001, 6, 221–225. [Google Scholar] [CrossRef]
- Moriasi, D.N.; Arnold, J.G.; Van Liew, M.W.; Bingner, R.L.; Harmel, R.D.; Veith, T.L. Model Evaluation Guidelines for Systematic Quantification of Accuracy in Watershed Simulations. Trans. ASABE 2007, 50, 885–900. [Google Scholar] [CrossRef]
- Duc, L.; Sawada, Y. A Signal-Processing-Based Interpretation of the Nash-Sutcliffe Efficiency. Hydrol. Earth Syst. Sci. 2023, 27, 1827–1839. [Google Scholar] [CrossRef]
- Jarvis, N.; Koestel, J.; Messing, I.; Moeys, J.; Lindahl, A. Influence of Soil, Land Use and Climatic Factors on the Hydraulic Conductivity of Soil. Hydrol. Earth Syst. Sci. 2013, 17, 5185–5195. [Google Scholar] [CrossRef]
- Weynants, M.; Vereecken, H.; Javaux, M. Revisiting Vereecken Pedotransfer Functions: Introducing a Closed-Form Hydraulic Model. Vadose Zone J. 2009, 8, 86–95. [Google Scholar] [CrossRef]





| Substrates | Sample | θr | θs | α | n | m | RMSE | NSE |
|---|---|---|---|---|---|---|---|---|
| [cm3 cm−3] | [cm3 cm−3] | [-cm−1] | [cm3 cm−3] | |||||
| TMT | 1 | 0.04 * | 0.46 | 0.020 | 1.61 | 0.38 | 0.002 | 1.00 |
| 1 | 0.00 | 0.46 | 0.019 | 1.57 | 0.36 | 0.002 | 1.00 | |
| 2 | 0.04 * | 0.46 | 0.031 | 1.40 | 0.29 | 0.003 | 0.99 | |
| 2 | 0.00 | 0.46 | 0.030 | 1.36 | 0.27 | 0.003 | 0.99 | |
| 3 | 0.04 * | 0.46 | 0.030 | 1.41 | 0.39 | 0.003 | 1.00 | |
| 3 | 0.00 | 0.48 | 0.016 | 1.72 | 0.37 | 0.003 | 1.00 | |
| 4 | 0.04 * | 0.48 | 0.023 | 1.61 | 0.38 | 0.007 | 0.99 | |
| 4 | 0.00 | 0.48 | 0.024 | 1.51 | 0.34 | 0.007 | 0.99 | |
| ATV | 1 | 0.11 * | 0.52 | 0.117 | 1.44 | 0.31 | 0.004 | 0.99 |
| 1 | 0.00 | 0.53 | 0.138 | 1.30 | 0.23 | 0.004 | 0.99 | |
| 2 | 0.11 * | 0.63 | 0.091 | 1.68 | 0.40 | 0.012 | 0.98 | |
| 2 | 0.00 | 0.72 | 0.177 | 1.41 | 0.29 | 0.013 | 0.97 | |
| 3 | 0.11 * | 0.79 | 0.203 | 1.48 | 0.32 | 0.008 | 0.99 | |
| 3 | 0.00 | 0.85 | 0.332 | 1.33 | 0.25 | 0.008 | 0.99 | |
| 4 | 0.11 * | 0.69 | 0.069 | 1.46 | 0.31 | 0.003 | 1.00 | |
| 4 | 0.00 | 0.70 | 0.076 | 1.35 | 0.26 | 0.002 | 1.00 | |
| MIX | 1 | 0.07 * | 0.53 | 0.029 | 1.56 | 0.36 | 0.005 | 0.99 |
| 1 | 0.00 | 0.53 | 0.030 | 1.45 | 0.31 | 0.006 | 0.99 | |
| 2 | 0.07 * | 0.58 | 0.037 | 1.43 | 0.30 | 0.006 | 1.00 | |
| 2 | 0.00 | 0.59 | 0.043 | 1.33 | 0.25 | 0.007 | 0.99 | |
| 3 | 0.07 * | 0.56 | 0.029 | 1.49 | 0.33 | 0.003 | 1.00 | |
| 3 | 0.00 | 0.57 | 0.033 | 1.38 | 0.28 | 0.006 | 0.99 | |
| 4 | 0.07 * | 0.55 | 0.033 | 1.47 | 0.32 | 0.004 | 1.00 | |
| 4 | 0.00 | 0.56 | 0.039 | 1.36 | 0.26 | 0.005 | 1.00 |
| Substrate | Sample | Ks | λ | RMSE | NSE | AIC |
|---|---|---|---|---|---|---|
| [cm3 h−1] | [cm3 cm−3] | |||||
| TMT | 1 | 1.08 | 1.51 | 0.18 | −1.64 | 0.04 |
| 1 | 0.58 | 0.50 * | 0.17 | −1.50 | 0.02 | |
| 2 | 1.12 | 6.57 | 0.01 | 0.92 | −0.38 | |
| 2 | 0.61 | 0.50 * | 0.01 | 0.84 | −0.17 | |
| 3 | 0.40 | 2.22 | 0.03 | 0.63 | −0.22 | |
| 3 | 0.34 | 0.50 * | 0.03 | 0.61 | −0.11 | |
| 4 | 43.34 | 4.60 | 0.00 | 0.97 | −0.44 | |
| 4 | 3.50 | 0.50 * | 0.00 | 0.89 | −0.19 | |
| ATV | 1 | 10.74 | 3.30 | 0.03 | 0.53 | −0.06 |
| 1 | 4.52 | 0.50 * | 0.03 | 0.51 | −0.03 | |
| 2 | 1.94 | 0 | 0.03 | 0.35 | −0.06 | |
| 2 | 2.30 | 0.50 * | 0.03 | 0.34 | −0.03 | |
| 3 | 48.11 | 0.00 | 0.14 | 0.46 | 0.03 | |
| 3 | 59.39 | 0.50 * | 0.14 | 0.44 | 0.01 | |
| 4 | 4.62 | 0.00 | 0.07 | 0.54 | −0.02 | |
| 4 | 5.11 | 0.50 * | 0.07 | 0.53 | −0.01 | |
| MIX | 1 | 1.08 | 1.51 | 0.00 | 0.96 | −12.82 |
| 1 | 0.58 | 0.50 * | 0.00 | 0.94 | −12.57 | |
| 2 | 4.31 | 1.77 | 0.00 | 0.97 | −0.21 | |
| 2 | 1.74 | 0.50 * | 0.00 | 0.96 | −0.10 | |
| 3 | 1.25 | 1.32 | 0.00 | 0.90 | −0.12 | |
| 3 | 0.97 | 0.50 * | 0.00 | 0.88 | −0.06 | |
| 4 | 1.85 | 0.26 | 0.00 | 0.95 | −0.05 | |
| 4 | 1.99 | 0.50 * | 0.00 | 0.95 | −0.03 |
| Substrates | Sample | θr | θs | α | n | Ks | λ |
|---|---|---|---|---|---|---|---|
| [cm3 cm−3] | [cm3 cm−3] | [cm−1] | [cm h−1] | ||||
| TMT | 1 | 0.04 | 0.50 | 0.06 | 1.42 | 2.26 | 3.66 |
| 2 | 0.04 | 0.46 | 0.04 | 1.36 | 0.73 | 3.10 | |
| 3 | 0.04 | 0.46 | 0.03 | 1.41 | 0.41 | 2.83 | |
| 4 | 0.04 | 0.49 | 0.03 | 1.58 | 10.10 | 1.54 | |
| ATV | 1 | 0.11 | 0.45 | 0.09 | 1.51 | 1.61 | 0.09 |
| 2 | 0.11 | 0.62 | 0.09 | 1.66 | 13.26 | 0.00 | |
| 3 | 0.11 | 0.69 | 0.12 | 1.49 | 21.13 | 0.00 | |
| 4 | 0.11 | 0.70 | 0.08 | 1.44 | 100.00 | 4.23 | |
| MIX | 1 | 0.07 | 0.55 | 0.04 | 1.52 | 4.63 | 2.53 |
| 2 | 0.07 | 0.61 | 0.05 | 1.42 | 4.15 | 0.97 | |
| 3 | 0.07 | 0.48 | 0.02 | 1.42 | 0.33 | 2.46 | |
| 4 | 0.07 | 0.58 | 0.05 | 1.43 | 17.78 | 2.11 |
| Substrate | Method | Averaging Method | θs | α | n | Ks | λ |
|---|---|---|---|---|---|---|---|
| [cm3 cm−3] | [cm−1] | [cm h−1] | |||||
| TMT | direct | θ(h) and K(h) curves | 0.47 | 0.02 | 1.61 | 1.68 | 3.97 |
| direct | estimated parameters | 0.47 | 0.02 | 1.60 | 1.62 | 6.60 | |
| inverse | θ(h) and K(h) curves | 0.48 | 0.04 | 1.44 | 1.61 | 2.65 | |
| inverse | estimated parameters | 0.48 | 0.04 | 1.46 | 1.60 | 3.26 | |
| ATV | direct | θ(h) and K(h) curves | 0.66 | 0.12 | 1.51 | 8.90 | 0.24 |
| direct | estimated parameters | 0.66 | 0.11 | 1.42 | 9.24 | 0.00 | |
| inverse | θ(h) and K(h) curves | 0.61 | 0.09 | 1.52 | 14.56 | 0.03 | |
| inverse | estimated parameters | 0.61 | 0.10 | 1.51 | 14.62 | 0.30 | |
| MIX | direct | θ(h) and K(h) curves | 0.56 | 0.03 | 1.49 | 2.02 | 1.60 |
| direct | estimated parameters | 0.56 | 0.03 | 1.49 | 2.01 | 1.65 | |
| inverse | θ(h) and K(h) curves | 0.55 | 0.04 | 1.45 | 3.25 | 1.89 | |
| inverse | estimated parameters | 0.55 | 0.04 | 1.43 | 3.31 | 0.44 |
| Water Retention Curve | Hydraulic Conductivity Curve | ||||||
|---|---|---|---|---|---|---|---|
| Substrates | Sample | Slope | Intercept | R2 | Slope | Intercept | R2 |
| [cm3 cm−3] | [cm h−1] | ||||||
| TMT | 1 | 1.03 | −0.01 | 0.9768 | 0.80 | 0.10 | 0.7453 |
| 2 | 1.03 | −0.01 | 0.9997 | 2.63 | 0.00 | 0.9939 | |
| 3 | 1.18 | −0.02 | 0.9900 | 1.27 | 0.02 | 0.8958 | |
| 4 | 0.99 | 0.00 | 0.9992 | 0.79 | 0.05 | 0.9957 | |
| Avg. | 1.06 | −0.01 | 0.9943 | 1.22 | 0.03 | 0.9467 | |
| ATV | 1 | 1.15 | −0.01 | 0.9992 | 1.60 | −0.02 | 0.9767 |
| 2 | 1.02 | 0.00 | 1.0000 | 0.26 | 0.00 | 0.9993 | |
| 3 | 1.08 | −0.02 | 0.9889 | 4.72 | −0.89 | 0.9675 | |
| 4 | 0.99 | 0.00 | 0.9997 | 0.06 | 0.04 | 0.9896 | |
| Avg. | 1.04 | 0.02 | 0.9977 | 0.59 | −0.03 | 0.9948 | |
| MIX | 1 | 1.00 | 0.00 | 0.9986 | 0.31 | 0.01 | 0.9848 |
| 2 | 0.97 | 0.01 | 0.9976 | 0.76 | 0.02 | 0.9924 | |
| 3 | 1.19 | −0.05 | 0.9831 | 4.75 | −0.01 | 0.9924 | |
| 4 | 0.98 | 0.00 | 0.9976 | 0.16 | 0.04 | 0.9758 | |
| Avg. | 1.03 | −0.01 | 0.9996 | 0.66 | 0.01 | 0.9930 | |
| Substrate | Sample | θr | θs | α1 | n1 | Ks | λ | ω2 | α2 | n2 |
|---|---|---|---|---|---|---|---|---|---|---|
| [cm3 cm−3] | [cm3 cm−3] | [cm−1] | [cm h−1] | [cm−1] | ||||||
| TMT | 1 | 0.04 | 0.50 | 0.062 | 3.07 | 54.12 | 2.15 | 0.168 | 0.003 | 1.100 |
| 2 | 0.04 | 0.47 | 0.086 | 1.29 | 473.40 | 9.52 | 0.730 | 0.030 | 1.340 | |
| 3 | 0.04 | 0.46 | 0.010 | 1.30 | 121.30 | 5.44 | 0.105 | 0.010 | 1.100 | |
| 4 | 0.04 | 0.48 | 0.021 | 1.65 | 80.89 | 3.31 | 0.099 | 0.115 | 3.762 | |
| Avg. | 0.044 | 0.476 | 0.045 | 1.83 | 182.43 | 5.10 | 0.275 | 0.040 | 1.826 | |
| ATV | 1 | 0.11 | 0.45 | 0.070 | 2.02 | 286.20 | 5.13 | 0.360 | 0.044 | 1.110 |
| 2 | 0.11 | 0.60 | 0.075 | 2.08 | 263.10 | 3.67 | 0.380 | 0.058 | 1.300 | |
| 3 | 0.11 | 0.67 | 0.080 | 3.97 | 75.25 | 3.18 | 0.575 | 0.019 | 1.714 | |
| 4 | 0.11 | 0.66 | 0.031 | 1.42 | 315.70 | 6.09 | 0.392 | 0.090 | 1.877 | |
| Avg. | 0.106 | 0.595 | 0.064 | 2.37 | 235.06 | 4.52 | 0.427 | 0.052 | 1.500 | |
| MIX | 1 | 0.07 | 0.55 | 0.068 | 5.54 | 135.80 | 7.74 | 0.894 | 0.030 | 1.519 |
| 2 | 0.07 | 0.60 | 0.046 | 1.10 | 315.60 | 4.75 | 0.579 | 0.048 | 1.977 | |
| 3 | 0.07 | 0.46 | 0.013 | 2.38 | 155.30 | 10.11 | 0.067 | 0.072 | 5.000 | |
| 4 | 0.07 | 0.58 | 0.057 | 2.99 | 110.00 | 4.68 | 0.609 | 0.017 | 1.332 | |
| Avg. | 0.070 | 0.546 | 0.046 | 3.00 | 179.18 | 6.82 | 0.537 | 0.042 | 2.457 |
Disclaimer/Publisher’s Note: The statements, opinions and data contained in all publications are solely those of the individual author(s) and contributor(s) and not of MDPI and/or the editor(s). MDPI and/or the editor(s) disclaim responsibility for any injury to people or property resulting from any ideas, methods, instructions or products referred to in the content. |
© 2024 by the authors. Licensee MDPI, Basel, Switzerland. This article is an open access article distributed under the terms and conditions of the Creative Commons Attribution (CC BY) license (https://creativecommons.org/licenses/by/4.0/).
Share and Cite
Autovino, D.; Alagna, V.; Bondì, C.; Iovino, M. Hydraulic Characterization of Green Roof Substrates by Evaporation Experiments. Appl. Sci. 2024, 14, 1617. https://doi.org/10.3390/app14041617
Autovino D, Alagna V, Bondì C, Iovino M. Hydraulic Characterization of Green Roof Substrates by Evaporation Experiments. Applied Sciences. 2024; 14(4):1617. https://doi.org/10.3390/app14041617
Chicago/Turabian StyleAutovino, Dario, Vincenzo Alagna, Cristina Bondì, and Massimo Iovino. 2024. "Hydraulic Characterization of Green Roof Substrates by Evaporation Experiments" Applied Sciences 14, no. 4: 1617. https://doi.org/10.3390/app14041617
APA StyleAutovino, D., Alagna, V., Bondì, C., & Iovino, M. (2024). Hydraulic Characterization of Green Roof Substrates by Evaporation Experiments. Applied Sciences, 14(4), 1617. https://doi.org/10.3390/app14041617

