Dimensionless Analysis of the Spatial–Temporal Coupling Characteristics of the Surrounding Rock Temperature Field in High Geothermal Roadway Realized by Gauss–Newton Iteration Method
Featured Application
Abstract
1. Introduction
2. Analysis Method of Time–Space Coupling Characteristics of Surrounding Rock Temperature Field in High Geothermal Roadway
2.1. Modeling Method
- (1)
- The heat transfer inside the surrounding rock is only in the form of heat conduction, and there is no other internal heat source.
- (2)
- We ignore the influence of groundwater on the temperature field of the surrounding rock.
- (3)
- The initial temperature of the roadway-surrounding rock is considered the VRT.
2.2. Simulation Scheme
2.3. Nondimensionalization of Single-Value Condition of Temperature Field
2.4. Time–Space Coupling Method of Temperature Field Based on Gauss–Newton Method
3. Results and Analysis
3.1. Temporal and Spatial Evolution of Temperature Field
3.2. The Influence of Thermal Conductivity on the Temperature Field of Surrounding Rock
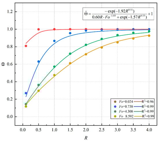
3.3. Time–Space Coupling Characteristics of Temperature Field
4. Discussion: The Influence of Thermal Conductivity on the Space–Time Coupling Characteristics of Dimensionless Temperature Field of Roadway-Surrounding Rock
5. Conclusions
- (1)
- The evolution law of the temperature field of the roadway-surrounding rock in an unventilated state is examined. The findings reveal that in the spatial dimension, the dimensionless temperature of the surrounding rock gradually increases, and the rate of temperature rise diminishes until it reaches the initial temperature of the original rock during the radial extension of the surrounding rock into the deep. In the time dimension, as the ventilation time increases, the infinite temperature of the surrounding rock gradually decreases, and the cooling rate progressively diminishes until it stabilizes at a fixed value.
- (2)
- The space–time coupling characteristics of the temperature field of the roadway-surrounding rock are examined. The findings demonstrate that the function can represent the coupling characteristics of the surrounding rock temperature field. In the time dimension, as the ventilation time increases, the fitting degree of the characteristic curve gradually improves. The characteristic curve moves downward as a whole, leading to a gradual decrease in dimensionless temperature and a reduction in the temperature drop rate. In the spatial dimension, with the increase in the dimensionless radius, the fitting degree of the characteristic curve decreases in the deep part. The characteristic curve moves upward as a whole, resulting in a gradual increase in dimensionless temperature while the temperature rise rate gradually decreases.
- (3)
- This study investigates the impact of thermal conductivity on the temporal and spatial coupling characteristics of the temperature field in the surrounding rock of roadways. The findings indicate that a higher thermal conductivity corresponds to a higher fitting degree of the coupling characteristic function of the surrounding rock. Moreover, under the same ventilation time, larger thermal conductivity results in a smaller wall cooling range, a greater internal temperature drop rate of the surrounding rock, and a larger range of disturbed surrounding rock.
Author Contributions
Funding
Institutional Review Board Statement
Informed Consent Statement
Data Availability Statement
Conflicts of Interest
References
- Li, H.; Guo, K.; Guo, G. Strata and surface influence range of deep coal mining for mine land reuse. Environ. Earth Sci. 2022, 81, 68. [Google Scholar] [CrossRef]
- Chen, X.; Li, L.; Wang, L.; Qi, L. The current situation and prevention and control countermeasures for typical dynamic disasters in kilometer-deep mines in China. Saf. Sci. 2019, 115, 229–236. [Google Scholar] [CrossRef]
- Xiao, Y.; Deng, H.; Xie, Z.; He, W. Application of Nanoporous Super Thermal Insulation Material in the Prevention and Control of Thermal Hazards in Deep Mining of Metal Mines. J. Nanomater. 2022, 2022, 2390616. [Google Scholar] [CrossRef]
- Tao, J.; Shi, A.-C.; Li, H.-T.; Zhou, J.-W.; Yang, X.-G.; Lu, G.-D. Thermal-mechanical modelling of rock response and damage evolution during excavation in prestressed geothermal deposits. Int. J. Rock Mech. Min. Sci. 2021, 147, 104913. [Google Scholar] [CrossRef]
- Zhang, Y.; Zhao, G.-F. A multiphysics method for long-term deformation analysis of reservoir rock considering thermal damage in deep geothermal engineering. Renew. Energy 2023, 204, 432–448. [Google Scholar] [CrossRef]
- Zhang, K.; Shang, J.; Tang, B.; Guo, P. Study on the technique to control heat-damage in mine. In Proceedings of the International Conference on Energy Material, Chemical Engineering and Mining Engineering (EMCEM 2012), Wuhan, China, 15–16 September 2012; p. 155. [Google Scholar]
- Peng, T.; Liu, K.; Chen, Y.; Wang, F.; Li, B. Main Controlling Factors and Formation Mode of Geothermal Anomaly in Eastern Chenghe Mining Area of Weibei Coalfield. Geofluids 2022, 2022, 3209790. [Google Scholar] [CrossRef]
- Yin, H.; Zhang, C.; Zhou, X.; Chen, T.; Dong, F.; Cheng, W.; Tang, R.; Xu, G.; Jiao, P. Research on the Genetic Mechanism of High-Temperature Groundwater in the Geothermal Anomalous Area of Gold Deposit-Application to the Copper Mine Area of Yinan Gold Mine. Acs Omega 2022, 7, 43231–43241. [Google Scholar] [CrossRef] [PubMed]
- Xu, J.; Gui, H.; Chen, J.; Li, C.; Li, Y.; Zhao, C.; Guo, Y. Hydrogeochemical Characteristics and Formation Mechanisms of the Geothermal Water in the Qingdong Coal Mine, Northern Anhui Province, China. Mine Water Environ. 2022, 41, 1015–1026. [Google Scholar] [CrossRef]
- Crawford, J.A.; Joubert, H.P.R.; Mathews, M.J.; Kleingeld, M. Optimised dynamic control philosophy for improved performance of mine cooling systems. Appl. Therm. Eng. 2019, 150, 50–60. [Google Scholar] [CrossRef]
- Li, X.; Fu, H. Development of an Efficient Cooling Strategy in the Heading Face of Underground Mines. Energies 2020, 13, 1116. [Google Scholar] [CrossRef]
- Zhu, S.; Cheng, J.; Wang, Z.; Borowski, M. Physical simulation experiment of factors affecting temperature field of heat adjustment circle in rock surrounding mine roadway. Energy Sources Part A-Recover. Util. Environ. Eff. 2020, 45, 11278–11295. [Google Scholar] [CrossRef]
- Dong, Z.; Qin, Y.; Wu, J.; Guo, K. Experimental analysis on temperature field variations of heterogeneous surrounding rock under the condition of periodically changing mine ventilation. Energy Sources Part A-Recover. Util. Environ. Eff. 2021, 43, 1869–1879. [Google Scholar] [CrossRef]
- Zhu, S.; Cheng, J.; Song, W.; Borowski, M.; Zhang, Y.; Yu, B.; Wang, Y.; Qi, C.; Tukkaraja, P.; Hua, G.; et al. Using seasonal temperature difference in underground surrounding rocks to cooling ventilation airflow: A conceptual model and simulation study. Energy Sci. Eng. 2020, 8, 3457–3475. [Google Scholar] [CrossRef]
- Qin, Y.P.; Wang, H.; Guo, K.Y.; Xue, P.F.; Wang, J.W.; Wu, J.S. Simulation of finite volume method and experimental analysis for temperature field of roadway surrounding rock. J. China Coal Soc. 2017, 42, 3166–3175. [Google Scholar] [CrossRef]
- Tian, J.; Huang, Q.-W.; Hong, W.-J.; Liu, W. Simulation and analysis about the heat dissipation law of surrounding rock in driving roadway. In Proceedings of the 3rd International Conference on Data Science and Business Analytics (ICDSBA), Galatasaray Univ, Istanbul, Turkey, 11–12 October 2019; pp. 385–390. [Google Scholar]
- Chen, L.; Li, J.; Han, F.; Zhang, Y.; Liu, L.; Zhang, B. Analysis of the Thermal Characteristics of Surrounding Rock in Deep Underground Space. Adv. Civ. Eng. 2019, 2019, 2130943. [Google Scholar] [CrossRef]
- Wang, H.; Zhou, Q. Finite Element Analysis of Surrounding Rock with a Thermal Insulation Layer in a Deep Mine. Math. Probl. Eng. 2020, 2020, 5021853. [Google Scholar] [CrossRef]
- Xu, D.; Zhang, B.; Ai, Z.; Bu, X.; Pan, H.; Chen, S. Spatial-temporal evolution principle of temperature field in a high-temperature geothermal highway tunnel. Ain Shams Eng. J. 2023, 14, 101965. [Google Scholar] [CrossRef]
- Zhang, Y.; Wan, Z.-j.; Gu, B.; Zhou, C.-b.; Cheng, J.-y. Unsteady temperature field of surrounding rock mass in high geothermal roadway during mechanical ventilation. J. Cent. South Univ. 2017, 24, 374–381. [Google Scholar] [CrossRef]
- Zhang, Y.; Wan, Z.; Gu, B.; Zhou, C. An experimental investigation of transient heat transfer in surrounding rock mass of high geothermal roadway. Therm. Sci. 2016, 20, 2149–2158. [Google Scholar] [CrossRef]
- Zhang, Y.; Wan, Z.; Gu, B.; Zhang, H.; Zhou, P. Finite Difference Analysis of Transient Heat Transfer in Surrounding Rock Mass of High Geothermal Roadway. Math. Probl. Eng. 2016, 2016, 8951524. [Google Scholar] [CrossRef]
- Jamroen, P.; Yoosorn, P.; Waengsothorn, S.; Yutthagowith, P. Modified Gauss-Newton Algorithm for Evaluation of Full Lightning Impulse Voltage Parameters. Sens. Mater. 2021, 33, 2471–2480. [Google Scholar] [CrossRef]
- IEC 61083-2; Instruments and Softwares Used for Measurement in High-Volatge and High-Current Tests Part 2: Requirement for Software for Tests with Impulse Voltages and Currents, 2nd ed. International Electrotechnical Commission (IEC): Geneva, Switzerland, 2013.
- Ge, J.; Wang, S.; Dong, H.; Liu, H.; Zhou, D.; Wu, S.; Luo, W.; Zhu, J.; Yuan, Z.; Zhang, H. Real-Time Detection of Moving Magnetic Target Using Distributed Scalar Sensor Based on Hybrid Algorithm of Particle Swarm Optimization and Gauss-Newton Method. Ieee Sens. J. 2020, 20, 10717–10723. [Google Scholar] [CrossRef]
- Minot, A.; Lu, Y.M.; Li, N. A Distributed Gauss-Newton Method for Power System State Estimation. IEEE Trans. Power Syst. 2016, 31, 3804–3815. [Google Scholar] [CrossRef]
- Bakushinsky, A.; Smirnova, A. Irregular operator equations by iterative methods with undetermined reverse connection. J. Inverse Ill-Posed Probl. 2010, 18, 147–165. [Google Scholar] [CrossRef]
- Zhang, Y. Transient Temperature Field of Surrounding Rock of the High Geothermal Roadway and Its Heat Control Mechanism by Heat Insulation. Ph.D. Thesis, China University of Mining and Technology, Xuzhou, China, 2013. [Google Scholar]
- Li, S.; Sun, K.; Qiu, W.; Xu, W.; Li, L. Influence and sensitivity analysis of surrounding rock thermal parameters on temperature field of cold region tunnel. China Civ. Eng. J. 2017, 50, 117–122. [Google Scholar] [CrossRef]










| Program | Thermal Conductivity of the Surrounding Rock | Thermal Diffusivity Coefficient of the Surrounding Rock | Unstable Heat Transfer Coefficient |
|---|---|---|---|
| 1 | = 1 W/(m·K) | = 0.67 × 10−6 m2/s | h = 26.91 W/(m2·K) |
| 2 | = 2 W/(m·K) | = 1.33 × 10−6 m2/s | h = 15.00 W/(m2·K) |
| 3 | = 3 W/(m·K) | = 2.00 × 10−6 m2/s | h = 12.74 W/(m2·K) |
| Dimensionless Radius/R | E | G | H |
|---|---|---|---|
| 1 | 0.9529 | −0.735 | 1.1236 |
| 2 | 0.1827 | −0.987 | 0.2942 |
| 3 | 0.0491 | −1.2149 | 0.1023 |
| 4 | 0.0147 | −1.4448 | 0.0389 |
| 5 | 0.0045 | −1.681 | 0.0152 |
Disclaimer/Publisher’s Note: The statements, opinions and data contained in all publications are solely those of the individual author(s) and contributor(s) and not of MDPI and/or the editor(s). MDPI and/or the editor(s) disclaim responsibility for any injury to people or property resulting from any ideas, methods, instructions or products referred to in the content. |
© 2024 by the authors. Licensee MDPI, Basel, Switzerland. This article is an open access article distributed under the terms and conditions of the Creative Commons Attribution (CC BY) license (https://creativecommons.org/licenses/by/4.0/).
Share and Cite
Zhou, J.; Zhang, Y.; Shi, P.; Liu, Y. Dimensionless Analysis of the Spatial–Temporal Coupling Characteristics of the Surrounding Rock Temperature Field in High Geothermal Roadway Realized by Gauss–Newton Iteration Method. Appl. Sci. 2024, 14, 1608. https://doi.org/10.3390/app14041608
Zhou J, Zhang Y, Shi P, Liu Y. Dimensionless Analysis of the Spatial–Temporal Coupling Characteristics of the Surrounding Rock Temperature Field in High Geothermal Roadway Realized by Gauss–Newton Iteration Method. Applied Sciences. 2024; 14(4):1608. https://doi.org/10.3390/app14041608
Chicago/Turabian StyleZhou, Jiale, Yuan Zhang, Peng Shi, and Yang Liu. 2024. "Dimensionless Analysis of the Spatial–Temporal Coupling Characteristics of the Surrounding Rock Temperature Field in High Geothermal Roadway Realized by Gauss–Newton Iteration Method" Applied Sciences 14, no. 4: 1608. https://doi.org/10.3390/app14041608
APA StyleZhou, J., Zhang, Y., Shi, P., & Liu, Y. (2024). Dimensionless Analysis of the Spatial–Temporal Coupling Characteristics of the Surrounding Rock Temperature Field in High Geothermal Roadway Realized by Gauss–Newton Iteration Method. Applied Sciences, 14(4), 1608. https://doi.org/10.3390/app14041608

