Experimental Study on Mechanical Properties of Anisotropic Slate under Different Water Contents
Abstract
1. Introduction
2. Test Preparation and Plan
2.1. Sample Preparation
2.1.1. Dried Sample Production
2.1.2. Saturated Sample Preparation
2.2. Test Equipment
2.3. Test Plan
3. Experimental Results and Analysis
3.1. Stress–Strain Curve Characteristics
3.2. Failure Modes and Characteristics
4. Analysis of Anisotropic Properties of Slate Parameters
4.1. Compressive Strength Anisotropy
4.2. Elastic Modulus Anisotropy
4.3. Poisson’s Ratio Anisotropy
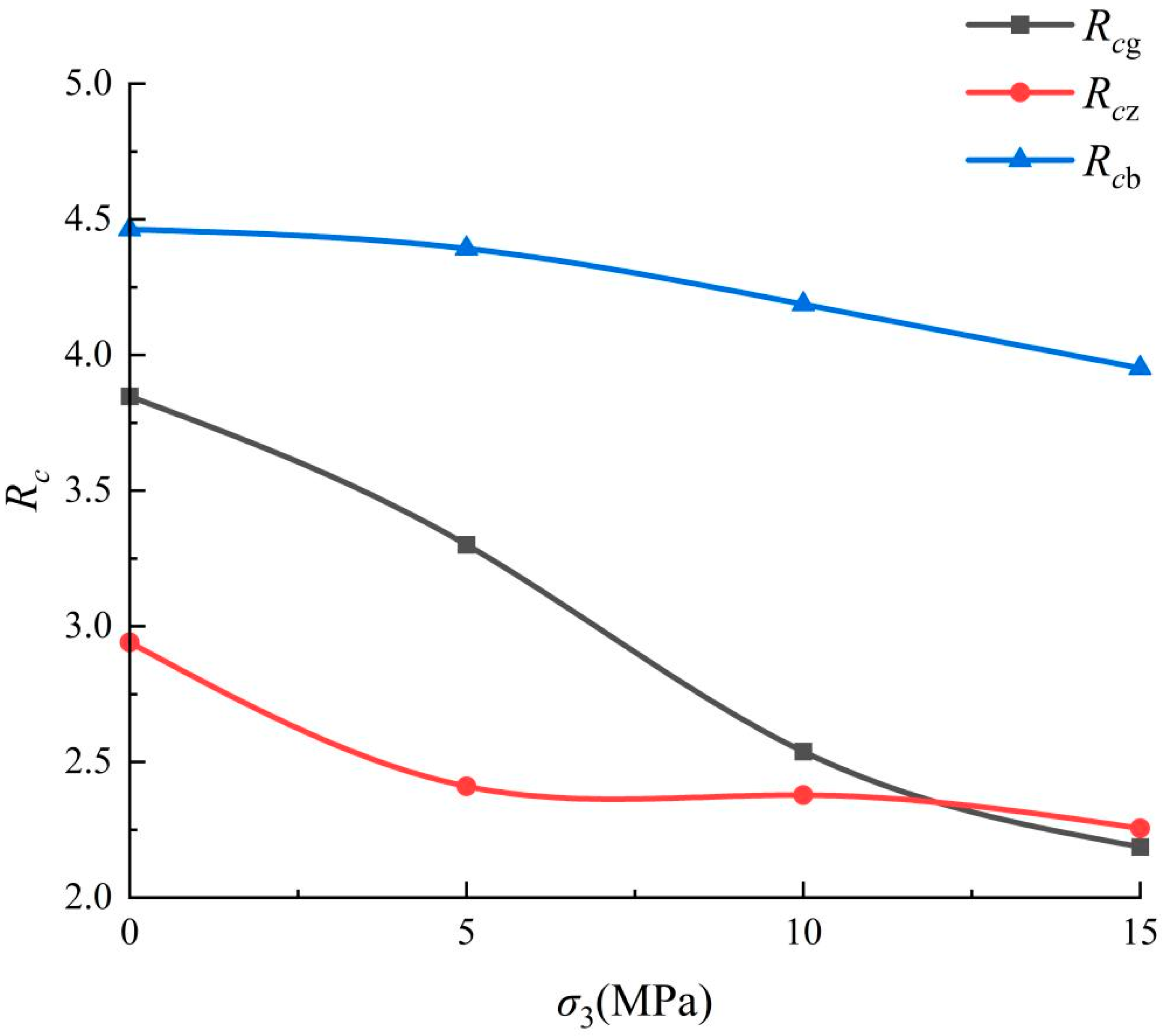
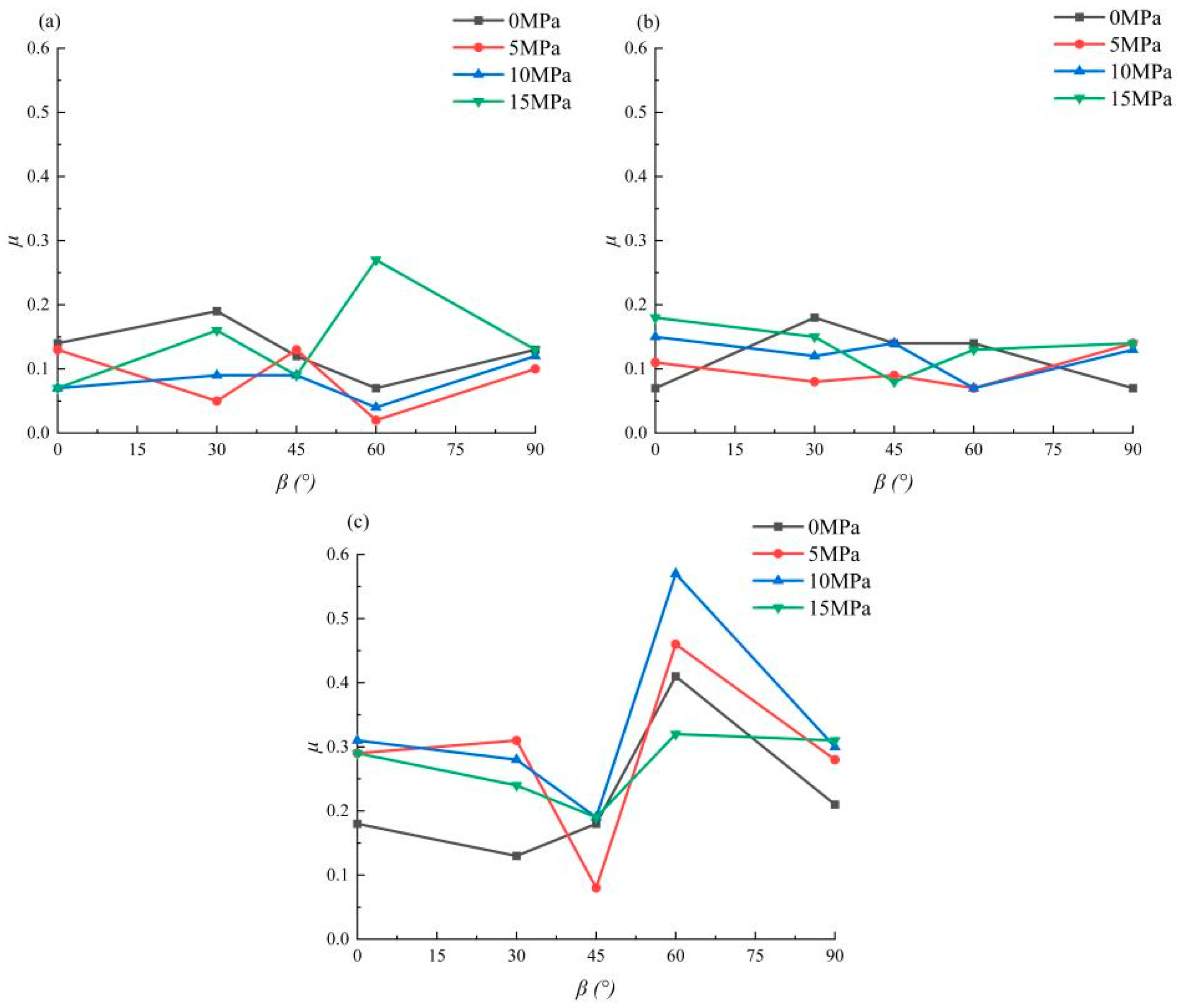
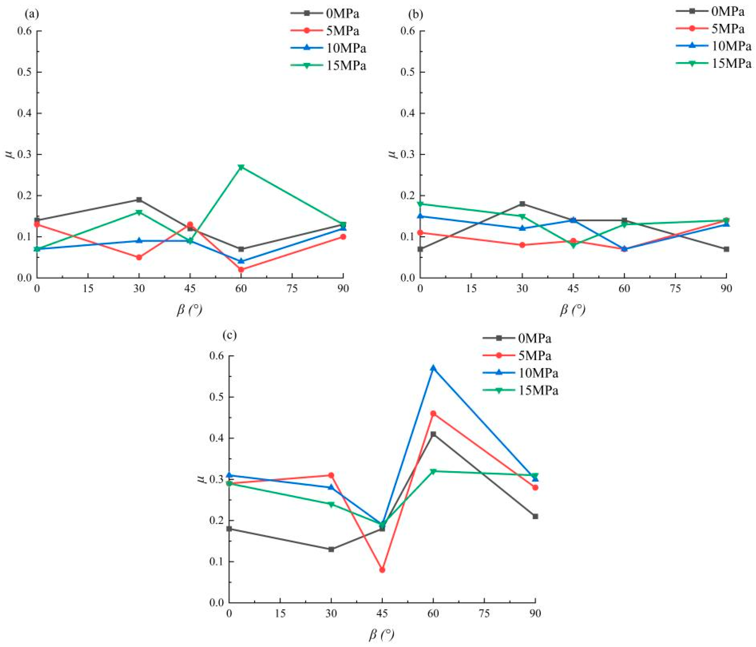
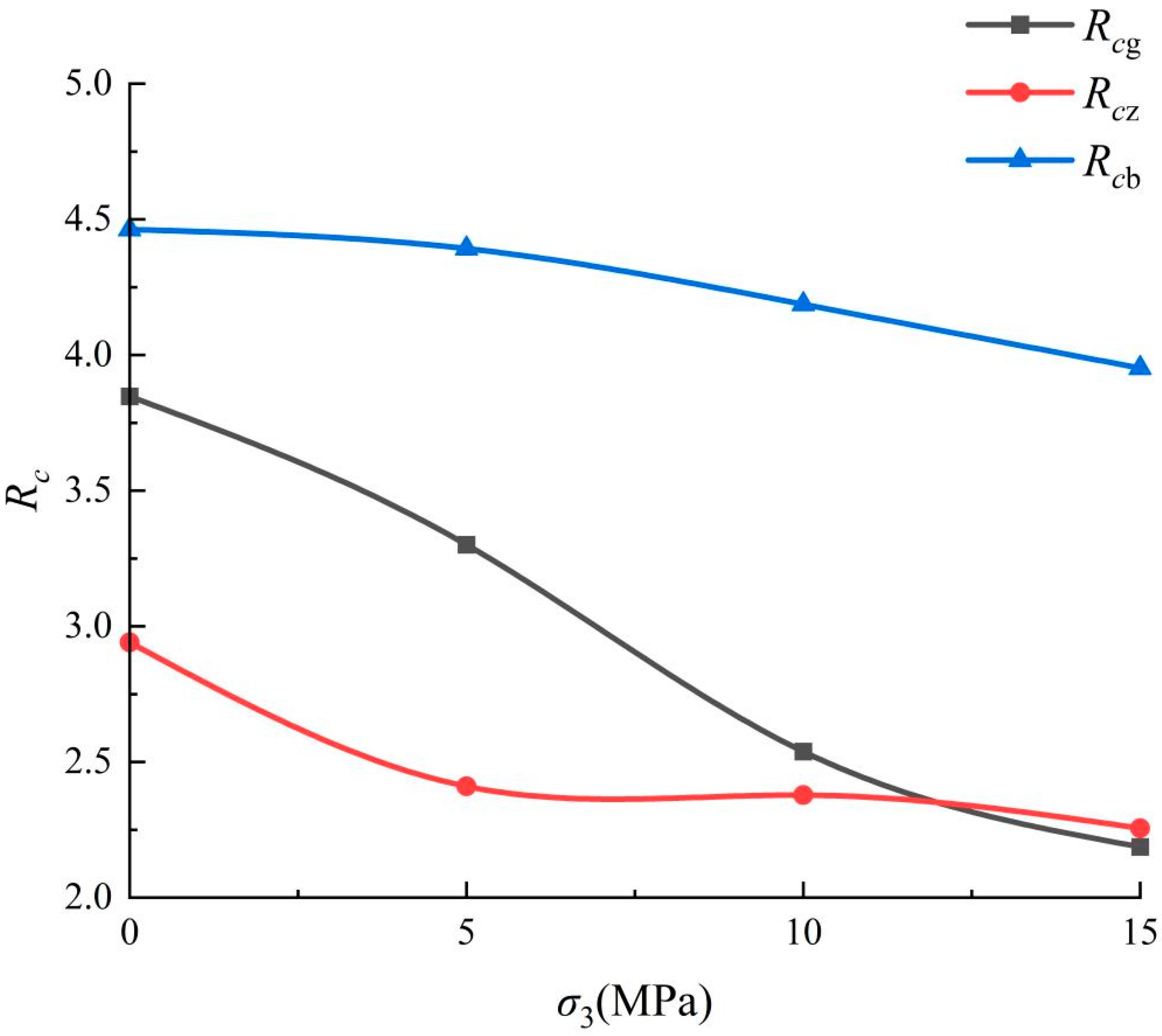
4.4. Cohesion and Internal Friction Angle Anisotropy
5. Conclusions
- Under uniaxial compression, the compaction stage of microfractures in slate is inconspicuous. The subsequent stable development stage of microelastic fractures is brief. When peak strength is reached, the stress sharply decreases, exhibiting characteristics consistent with brittle fracture. With applied confining pressure, slate compactness increases as confining pressure rises, restricting fracture development under loading and decelerating the failure process. This is macroscopically observed as a reduction in brittleness and an increase in plasticity.
- As water content increases, certain minerals dissolve along the bedding direction, increasing the number and size of microfractures and gradually reducing the peak strength of the sample. In this scenario, the bedding plane deteriorates more than the matrix, making the slate more susceptible to shear failure along the bedding direction. The yield stage becomes more pronounced in the stress–strain curve, and the post-peak stress reduction is slower.
- The failure mode of the slate strongly correlates with the bedding angle. Samples at 0° typically exhibit splitting shear failure through the bedding plane; those at 30° primarily experience shear failure through the matrix; samples at 45° demonstrate both failure along the bedding plane and partial shear failure along it; all failure modes of the 60° samples involve shear failure along the bedding plane; the 90° samples predominantly fail by splitting tension.
- As the bedding angle increases, the compressive strength of the slate displays a U-shaped trend, with higher values at both ends and a lower value in the middle. Incorporating the anisotropic parameter, the Hoek–Brown formula more accurately predicts slates’ uniaxial and triaxial compressive strengths with different bedding angles. The anisotropic properties of slate compressive strength vary with confining pressure and water content: They diminish as confining pressure compacts the microfractures between weak slate bedding planes and intensify as water infiltrates fractures and pores between beddings, exacerbating deterioration responses. The slate in this study exhibits medium to high anisotropy.
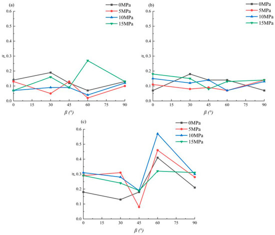
- Currently, two trends are observed in the variation of elastic modulus: one is proportional to the bedding angle, and the other follows a U-shaped curve. The elastic modulus of slate in this study forms a U-shaped pattern with the bedding angle; however, the change is minor between 0° and 60° and becomes pronounced at 90°. Utilizing the generalized Hooke’s Law to describe the curve between elastic modulus and bedding angle and comparing R2 under various water contents and confining pressures, it is evident that a lower degree of anisotropy in the elastic modulus indicates better agreement between the calculated and actual values.
- The Poisson’s ratio and internal friction angle of slate remain relatively unchanged at different bedding angles, while cohesion follows a U-shaped pattern with increasing bedding angle. All three are influenced by water content, notably in Poisson’s ratio value, the trend of internal friction angle variation, and the range of cohesion changes. These aspects exhibit significant differences under varying water contents.
Author Contributions
Funding
Institutional Review Board Statement
Informed Consent Statement
Data Availability Statement
Conflicts of Interest
References
- Kuila, U.; Dewhurst, D.N.; Siggins, A.F.; Ravenet, M.D. Stress anisotropy and velocity anisotropy in low porosity shale. Tectonophysics 2011, 503, 34–44. [Google Scholar] [CrossRef]
- Attewell, P. Triaxial anisotropy of wave velocity and elastic moduli in slate and their axial concordance with fabric and tectonic symmetry. Int. J. Rock Mech. Min. Sci. Géoméch. Abstr. 1970, 7, 193–207. [Google Scholar] [CrossRef]
- Homand, F.; Morel, E.; Henry, J.-P.; Cuxac, P.; Hammade, E. Characterization of the moduli of elasticity of an anisotropic rock using dynamic and static methods. Int. J. Rock Mech. Min. Sci. Géoméch. Abstr. 1993, 30, 527–535. [Google Scholar] [CrossRef]
- Cho, J.-W.; Kim, H.; Jeon, S.; Min, K.-B. Deformation and strength anisotropy of Asan gneiss, Boryeong shale, and Yeoncheon schist. Int. J. Rock Mech. Min. Sci. 2012, 50, 158–169. [Google Scholar] [CrossRef]
- Wu, R.; Li, H.; Li, X.; Xia, X.; Liu, L. Experimental study and numerical simulation of the dynamic behavior of transversely isotropic phyllite. Int. J. Géoméch. 2020, 20, 04020105. [Google Scholar] [CrossRef]
- Debecker, B.; Vervoort, A. Experimental observation of fracture patterns in layered slate. Int. J. Fract. 2009, 159, 51–62. [Google Scholar] [CrossRef]
- Tavallali, A.; Vervoort, A. Failure of layered sandstone under brazilian test conditions: Effect of micro-scale parameters on macro-scale behaviour. Rock Mech. Rock Eng. 2010, 43, 641–653. [Google Scholar] [CrossRef]
- Li, Z.; Xu, G.; Dai, Y.; Zhao, X.; Fu, Y. Effects of foliation on deformation and failure mechanism of silty slates. Int. J. Rock Mech. Min. Sci. 2021, 141, 104703. [Google Scholar] [CrossRef]
- Liu, P.; Liu, Q.; Deng, P.; Pan, Y.; Lei, Y.; Du, C.; Xie, X. Anisotropic shearing mechanism of Kangding slate: Experimental investigation and numerical analysis. J. Rock Mech. Geotech. Eng. 2023, in press. [Google Scholar] [CrossRef]
- Hao, X.; Wang, S.; Xu, Q.; Yang, D.; Zhang, Q.; Jin, D.; Wei, Y. Influences of confining pressure and bedding angles on the deformation, fracture and mechanical characteristics of slate. Constr. Build. Mater. 2020, 243, 118255. [Google Scholar] [CrossRef]
- Li, H.; Lai, B.; Qin, S.; Yu, H.; Shao, K.; Li, B.; Konggidinata, M.I. The effects of water content on transversely isotropic properties of organic rich gas shale. J. Nat. Gas Sci. Eng. 2020, 83, 103574. [Google Scholar] [CrossRef]
- Wasantha, P.; Ranjith, P.; Shao, S. Energy monitoring and analysis during deformation of bedded-sandstone: Use of acoustic emission. Ultrasonics 2014, 54, 217–226. [Google Scholar] [CrossRef] [PubMed]
- Mashhadiali, N.; Molaei, F. Theoretical and experimental investigation of a shear failure model for anisotropic rocks using direct shear test. Int. J. Rock Mech. Min. Sci. 2023, 170, 105561. [Google Scholar] [CrossRef]
- Cheng, J.; Wan, Z.; Zhang, Y.; Li, W.; Peng, S.S.; Zhang, P. Experimental study on anisotropic strength and deformation behavior of a coal measure shale under room dried and water saturated conditions. Shock. Vib. 2015, 8, 290293. [Google Scholar] [CrossRef]
- Zhang, Q.; Fan, X.; Chen, P.; Ma, T.; Zeng, F. Geomechanical behaviors of shale after water absorption considering the combined effect of anisotropy and hydration. Eng. Geol. 2020, 269, 105547. [Google Scholar] [CrossRef]
- Zhang, J.; Zhang, X.; Chen, W.; Huang, Z.; Du, R. A constitutive model of freeze–thaw damage to transversely isotropic rock masses and its preliminary application. Comput. Geotech. 2022, 152, 105056. [Google Scholar] [CrossRef]
- Li, D.; Wong, L.N.Y.; Liu, G.; Zhang, X. Influence of water content and anisotropy on the strength and deformability of low porosity meta-sedimentary rocks under triaxial compression. Eng. Geol. 2012, 126, 46–66. [Google Scholar] [CrossRef]
- GB/T 50266-2013; China Electricity Council. Test Method Standard of Engineering Rock Mass. China Planning Press: Beijing, China, 2013.
- Liu, J.; Qiao, L.; Li, Y.; Li, Q.; Fan, D. Experimental study on the quasi-static loading rate dependency of mixed-mode I/II fractures for marble rocks. Theor. Appl. Fract. Mech. 2022, 121, 103431. [Google Scholar] [CrossRef]
- Yang, J.S.; Yang, S.Q.; Zhang, J.S. Rock Mass Mechanics; China Machine Press: Beijing, China, 2008. [Google Scholar]
- Lei, Y.; Liu, Q.; Liu, H.; Chu, Z.; Liu, P.; Wen, J. An updated Lagrangian framework with quadratic element formulations for FDEM. Comput. Geotech. 2023, 164, 105837. [Google Scholar] [CrossRef]
- Lei, Y.; Liu, Q.; Wen, J.; Chu, Z.; Liu, H.; Du, C. An efficient Kriging-based calibration framework for FDEM. Eng. Fract. Mech. 2024, 296, 109857. [Google Scholar] [CrossRef]
- Ren, C.; Yu, J.; Liu, X.; Zhang, Z.; Cai, Y. Cyclic constitutive equations of rock with coupled damage induced by compaction and cracking. Int. J. Min. Sci. Technol. 2022, 32, 1153–1165. [Google Scholar] [CrossRef]
- Brown, E.T.; Hoek, E. Underground Excavations in Rock; The Institute of Mining and Metallurgy: London, UK, 1980; pp. 252–270. [Google Scholar]
- Hoek, E.; Carranza-Torres, C.; Corkum, B. Hoek-Brown failure criterion-2002 edition. In Proceedings of the NARMS-TAC Conference; University of Toronto Press: Toronto, ON, Canada, 2002; pp. 267–273. [Google Scholar]
- Zhang, Q.; Yao, B.; Fan, X.; Li, Y.; Li, M.; Zeng, F.; Zhao, P. A modified Hoek-Brown failure criterion for unsaturated intact shale considering the effects of anisotropy and hydration. Eng. Fract. Mech. 2021, 269, 105547. [Google Scholar] [CrossRef]
- Gomes, G.J.; Forero, J.H.; Vargas, E.A., Jr.; Vrugt, J.A. Bayesian inference of rock strength anisotropy: Uncertainty analysis of the Hoek–Brown failure criterion. Int. J. Rock Mech. Min. Sci. 2021, 148, 104952. [Google Scholar] [CrossRef]
- Heng, S.; Yang, C.H.; Zhang, B.P.; Guo, Y.T.; Wang, L.; Wei, Y.L. Experimental study on anisotropy characteristics of shale. Rock Soil Mech. 2015, 36, 609–616. (In Chinese) [Google Scholar] [CrossRef]
- Ramamurthy, T. Strength and modulus responses of anisotropic rocks. Compressive Rock Eng. 1993, 1, 313–329. [Google Scholar]
- Singh, J.; Ramamurthy, T.; Rao, G.V. Strength anisotropies in rocks. Indian Geotech. J. 1989, 19, 147–166. [Google Scholar]
- Heng, S.; Li, X.; Liu, X.; Chen, Y. Experimental study on the mechanical properties of bedding planes in shale. J. Nat. Gas Sci. Eng. 2020, 76, 103161. [Google Scholar] [CrossRef]
- Jin, Z.; Li, W.; Jin, C.; Hambleton, J.; Cusatis, G. Anisotropic elastic, strength, and fracture properties of Marcellus shale. Int. J. Rock Mech. Min. Sci. 2018, 109, 124–137. [Google Scholar] [CrossRef]
- Duan, X.; Wang, W.; Liu, S.; Cao, Y.; Zheng, Z.; Zhu, Q. Experimental investigation on mechanical behavior, energy evolution and gas permeability of anisotropic phyllite subjected to triaxial compression and cyclic loading. Géoméch. Energy Environ. 2023, 35, 100483. [Google Scholar] [CrossRef]
- Song, F.; González-Fernández, M.A.; Rodriguez-Dono, A.; Alejano, L.R. Numerical analysis of anisotropic stiffness and strength for geomaterials. J. Rock Mech. Geotech. Eng. 2023, 15, 323–338. [Google Scholar] [CrossRef]
















| β | σ3/MPa | Compressive Strength of Dried Samples/MPa | Compressive Strength of Natural Samples/MPa | Compressive Strength of Saturated Samples/MPa |
|---|---|---|---|---|
| 0° | 0 | 134.12 | 102.50 | 84.46 |
| 5 | 168.30 | 125.01 | 96.37 | |
| 10 | 173.90 | 144.74 | 99.65 | |
| 15 | 186.28 | 156.28 | 101.71 | |
| 30° | 0 | 47.70 | 78.39 | 76.64 |
| 5 | 69.55 | 95.87 | 81.52 | |
| 10 | 130.34 | 113.43 | 92.08 | |
| 15 | 146.67 | 120.89 | 100.58 | |
| 45° | 0 | 72.29 | 52.82 | 23.98 |
| 5 | 82.06 | 60.44 | 30.05 | |
| 10 | 99.06 | 72.72 | 48.00 | |
| 15 | 174.28 | 87.62 | 70.77 | |
| 60° | 0 | 39.83 | 30.84 | 20.08 |
| 5 | 50.99 | 49.86 | 21.94 | |
| 10 | 68.51 | 63.95 | 26.55 | |
| 15 | 85.17 | 70.61 | 36.06 | |
| 90° | 0 | 75.91 | 80.44 | 89.61 |
| 5 | 160.59 | 139.36 | 96.03 | |
| 10 | 163.81 | 152.08 | 111.15 | |
| 15 | 185.93 | 175.06 | 142.50 |
Disclaimer/Publisher’s Note: The statements, opinions and data contained in all publications are solely those of the individual author(s) and contributor(s) and not of MDPI and/or the editor(s). MDPI and/or the editor(s) disclaim responsibility for any injury to people or property resulting from any ideas, methods, instructions or products referred to in the content. |
© 2024 by the authors. Licensee MDPI, Basel, Switzerland. This article is an open access article distributed under the terms and conditions of the Creative Commons Attribution (CC BY) license (https://creativecommons.org/licenses/by/4.0/).
Share and Cite
Yang, X.; Li, J.; Zhang, Y.; Lei, J.; Li, X.; Huang, X.; Xu, C. Experimental Study on Mechanical Properties of Anisotropic Slate under Different Water Contents. Appl. Sci. 2024, 14, 1473. https://doi.org/10.3390/app14041473
Yang X, Li J, Zhang Y, Lei J, Li X, Huang X, Xu C. Experimental Study on Mechanical Properties of Anisotropic Slate under Different Water Contents. Applied Sciences. 2024; 14(4):1473. https://doi.org/10.3390/app14041473
Chicago/Turabian StyleYang, Xiuzhu, Jiahua Li, Yongguan Zhang, Jinshan Lei, Xilai Li, Xinyue Huang, and Chengli Xu. 2024. "Experimental Study on Mechanical Properties of Anisotropic Slate under Different Water Contents" Applied Sciences 14, no. 4: 1473. https://doi.org/10.3390/app14041473
APA StyleYang, X., Li, J., Zhang, Y., Lei, J., Li, X., Huang, X., & Xu, C. (2024). Experimental Study on Mechanical Properties of Anisotropic Slate under Different Water Contents. Applied Sciences, 14(4), 1473. https://doi.org/10.3390/app14041473
