Quantitative Characterization and Disturbance Law of Key Parameters Influencing Deformation of Overlying Strata during Strip Filling in a Goaf
Abstract
1. Introduction
2. Goaf Strip Filling Mining Technique
3. Numerical Model for Short-Wall Spacing Strip Filling
3.1. Numerical Model and Simulation Procedure for Mining and Filling
3.2. Constitutive Model and Mechanical Parameters
4. Orthogonal Experimental Design
5. Analysis of Dominant Factors Influencing Surface and Roof Settlement
5.1. Impact of Diverse Filling Parameters on Range Analysis
5.2. Quantification of Influential Factors and Analysis of Dominant Variables
6. The Disturbance Law of Main Control Factors on Roof Overburden Rock
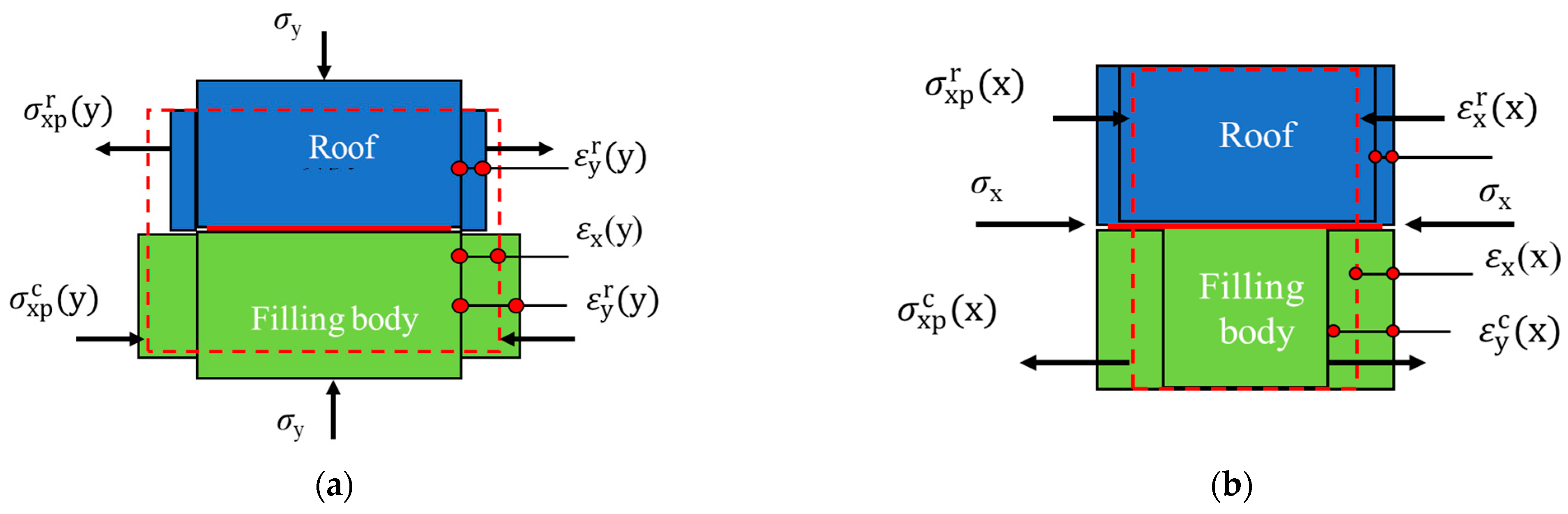
6.1. Analysis of Interface Coupling between Top and Bottom Plates and Strip Backfill
6.2. The Influence of Various Combinations of Key Factors on Evaluation Indicators
6.3. Stress Evolution Law of Filling Body and Coal Pillar
6.4. Evolution Law of Direct Roof Settlement under Different Main Control Factors
6.5. Failure Evolution Law of Overburden and Backfill in Strip Filling Mining
7. Conclusions
Author Contributions
Funding
Institutional Review Board Statement
Informed Consent Statement
Data Availability Statement
Acknowledgments
Conflicts of Interest
References
- Zhang, J.; Zhang, Q. Research progress and prospect of coal based solid waste backfilling mining technology. J. China Coal Soc. 2022, 47, 4167–4181. [Google Scholar]
- Hu, B.; Liu, P. Review and development status of backfill coal mining technology in China. Coal Sci. Technol. 2020, 48, 39–47. [Google Scholar]
- Yang, K.; Wei, X. Theory and technology of green filling of solid waste in undergroundmine at coal power base of Yellow River Basin. J. China Coal Soc. 2021, 46, 925–935. [Google Scholar]
- Xu, J.; Zhu, W. Study of the Technology of Partial-Filling to Control Coal Mining Subsidence. J. Min. Saf. Eng. 2006, 23, 6–11. [Google Scholar]
- Xie, W.; Shi, Z. Analysis of Surrounding Rock Activities in Partial Backfill Mining. J. China Univ. Min. Technol. 2004, 33, 38–41. [Google Scholar]
- Feng, G.; Du, X. Basic theory of constructional backfill mining and the underground space utilization concept. J. China Coal Soc. 2019, 44, 74–84. [Google Scholar]
- Ge, Y.; Tang, H. Effect of Sliding Plane Mechanical Parameters on Landslide Stability—A Case Study of Jiweishan Rockslide in Wulong hongqing. Chin. J. Rock Mech. Eng. 2014, 33, 3873–3884. [Google Scholar]
- Nan, Q. Research on Optimum Mix Proportion and Modification Mechanism of Backfill Materials Based on Orthogonal Tests. Saf. Coal Mines 2020, 51, 52–56. [Google Scholar]
- Wu, L.; Wang, Y. Ratio Optimization of Red Mud-Fly Ash Paste Filling Material Based on Orthogonal Experiment. Ming Res. Dev. 2020, 40, 45–49. [Google Scholar]
- Liu, S.; Liu, G. Study on Fluidity of Paste Slurry and Strength of Backfill Based on Orthogonal Design. Ming Res. Dev. 2020, 40, 33–37. [Google Scholar]
- Zhao, F.; Hu, J. Optimization research of base-phosphogypsum cemented backfill ratio based on orthogonal test. Chin. J. Nonferrous Met. 2021, 31, 1096–1105. [Google Scholar]
- Wu, F.; Gao, Q. Spatio-temporal coordinated mining pattern andstrata control mechanism of multiple coal seams. Chin. J. Nonferrous Met. 2021, 31, 2269–2278. [Google Scholar]
- Du, X.; Feng, G. Roof stability analyses of ‘water-preserved and water-stored’ coal mining with constructional backfill mining. J. China Coal Soc. 2019, 44, 821–830. [Google Scholar]
- Chi, X.; Wang, P. Optimization on Stope Structural Parameters of Strip-filling Method for Gently Inclined Phosphate Ore. Ming Res. Dev. 2016, 36, 17–20. [Google Scholar]
- Wang, X.; Guo, P. Stability calculation of backfill roof in downward roadway under multifactor influence. Rock Soil Mech. 2022, 43, 3453–3462. [Google Scholar]
- Dong, L.; Gao, Q. Optimization Design of Excavating-filling Engineering Parameters in South of Sijiaying Mine. Metal Mine 2011, 16, 20–24. [Google Scholar]
- Guo, C.; Yu, S. Orthogonal Experimental on Influencing Factors of Surface Subsidence in Filling Mining. Beijing Surv. Mapp. 2021, 35, 543–547. [Google Scholar]
- Babets, D.; Sdvyzhkova, O. Multifactorial analysis of a gateroad stability at goaf interface during longwall coal mining—A case study. Min. Miner. Depos. 2023, 17, 9–19. [Google Scholar] [CrossRef]
- Xu, J.; You, Q. Theorectical study of strip-filling to control mining subsidence. J. China Coal Soc. 2007, 32, 119–122. [Google Scholar]
- Chang, Q.; Yao, X. Strata Movement of the Thick Loose Layer under Strip-Filling Mining Method: A Case Study. Appl. Sci. 2021, 11, 11717. [Google Scholar] [CrossRef]
- Zhao, Z.; Wang, W. The Orthogonal Test Analysis of the Minimum Buried Depth of a Shallow Shield Tunnel. Mod. Tunn. Technol. 2014, 51, 144–151. [Google Scholar]
- Itasca Consulting Group, Inc. Fast Language Analysis of Continua in 2 Dimensions, Version 5.0, User’s Manual; Itasca Consulting Group, Inc.: Minneapolis, MN, USA, 2005. [Google Scholar]
- Qian, Z. Simulation Study on Strata Movement Regularity of Strip Pillar Mining with Solid Waste Compacted Filling; China University of Mining and Technology: Xuzhou, China, 2014. [Google Scholar]
- Qiang, H.; Zhou, H. Numerical Simulation of Paste Filling Based on Double-Yield Model. Ming Res. Dev. 2007, 27, 6–7. [Google Scholar]
- Hu, B.; Yan, B. Main Control Factors and Influence Rule of Mining Subsidence by Backfill Mining. Coal Min. Technol. 2016, 21, 57–59. [Google Scholar]
- Xie, W.; Yin, S. The key problem study about gob-side entry retaining in top-coal caving mining face. J. China Coal Soc. 2004, 16, 146–149. [Google Scholar]
- Yuan, D.; An, J. Probability and Statistics; Higher Education Press: Beijing, China, 2016. [Google Scholar]
- Xue, W. Data Analysis Based on SPSS; China Renmin University Press: Beijing, China, 2014. [Google Scholar]














| Rock Formation | Thickness /m | Density /kg/m3 | Bulk Modulus /MPa | Shear Modulus /MPa | Tensile Strength /MPa | Friction Angle /° | Cohesion /MPa |
|---|---|---|---|---|---|---|---|
| Aeolian sand | 5.5 | 1650 | 133 | 79 | 0.00 | 8 | 0.00 |
| Lishi loess | 88.2 | 1950 | 233 | 185 | 0.20 | 10 | 0.01 |
| Silty clay | 75 | 2240 | 609 | 469 | 1.20 | 25 | 0.02 |
| Medium mudstone | 22.4 | 2250 | 1436 | 1062 | 2.50 | 40 | 2.81 |
| Sandy mudstone | 2.6 | 2430 | 1047 | 1028 | 0.85 | 41 | 1.93 |
| Coal seam | 10.4 | 1420 | 340 | 30 | 0.50 | 36 | 3.40 |
| Argillaceous siltstone | 30 | 2760 | 780 | 402 | 3.90 | 39 | 3.14 |
| Factor | Eb/MPa | μb | Cb/MPa | φb/° | a/m | b/m |
|---|---|---|---|---|---|---|
| Level 1 | 499 | 0.1 | 0.59 | 20 | 10 | 10 |
| Level 2 | 599 | 0.24 | 0.79 | 24 | 15 | 15 |
| Level 3 | 699 | 0.34 | 0.99 | 28 | 20 | 20 |
| Order Number | Eb/MPa | μb | Cb/MPa | φb/° | a/m | b/m | Index | |
|---|---|---|---|---|---|---|---|---|
| vg/mm | vr/mm | |||||||
| 1 | 499 | 0.1 | 0.59 | 20 | 10 | 10 | 71.59 | 146.72 |
| 2 | 499 | 0.1 | 0.79 | 24 | 20 | 20 | 9.62 | 76.89 |
| 3 | 499 | 0.24 | 0.59 | 28 | 20 | 15 | 24.70 | 101.39 |
| 4 | 499 | 0.24 | 0.99 | 20 | 15 | 20 | 13.73 | 72.96 |
| 5 | 499 | 0.34 | 0.79 | 28 | 15 | 10 | 23.54 | 88.85 |
| 6 | 499 | 0.34 | 0.99 | 24 | 10 | 15 | 14.35 | 69.91 |
| 7 | 599 | 0.1 | 0.59 | 28 | 15 | 20 | 28.03 | 113.77 |
| 8 | 599 | 0.1 | 0.99 | 20 | 20 | 15 | 38.08 | 107.50 |
| 9 | 599 | 0.24 | 0.79 | 24 | 15 | 15 | 37.90 | 111.78 |
| 10 | 599 | 0.24 | 0.99 | 28 | 10 | 10 | 24.24 | 74.27 |
| 11 | 599 | 0.34 | 0.59 | 24 | 20 | 10 | 33.91 | 122.68 |
| 12 | 599 | 0.34 | 0.99 | 20 | 10 | 20 | 4.96 | 52.78 |
| 13 | 699 | 0.1 | 0.79 | 28 | 10 | 15 | 28.38 | 106.17 |
| 14 | 699 | 0.1 | 0.99 | 24 | 15 | 10 | 19.80 | 88.51 |
| 15 | 699 | 0.24 | 0.59 | 24 | 10 | 20 | 26.09 | 113.72 |
| 16 | 699 | 0.24 | 0.79 | 20 | 20 | 10 | 29.07 | 115.22 |
| 17 | 699 | 0.34 | 0.59 | 20 | 15 | 15 | 39.88 | 144.40 |
| 18 | 699 | 0.34 | 0.99 | 28 | 20 | 20 | 5.10 | 50.27 |
| Source of Variance | Squares | Freedom | Mean Square | F Ratio | P Ratio | Significance |
|---|---|---|---|---|---|---|
| Cb | 0.001235 | 2 | 0.000617 | 4.610083 | 0.07331 | * |
| b | 0.001045 | 2 | 0.000523 | 3.903584 | 0.095234 | * |
| φb | 0.000479 | 2 | 0.00024 | 1.788618 | 0.259452 | |
| μb | 0.000361 | 2 | 0.000181 | 1.349437 | 0.339905 | |
| a | 0.00011 | 2 | 5.48 × 10−5 | 0.409455 | 0.684417 | |
| Eb | 5.64 × 10−5 | 2 | 2.82 × 10−5 | 0.210521 | 0.816993 | |
| Summation | 0.001 | 5 | 0.000 | |||
| Error | 0.017 | 18 |
| Source of Variance | Squares | Freedom | Mean Square | F Ratio | P Ratio | Significance |
|---|---|---|---|---|---|---|
| Cb | 0.007 | 2 | 0.004 | 36.860 | 0.001 | *** |
| b | 0.002 | 2 | 0.001 | 9.790 | 0.019 | ** |
| φb | 0.001 | 2 | 0.001 | 6.651 | 0.039 | ** |
| μb | 0.001 | 2 | 0.000 | 3.155 | 0.130 | |
| a | 0.000 | 2 | 0.000 | 1.754 | 0.265 | |
| Eb | 0.000 | 2 | 9.559 × 10−5 | 0.958 | 0.444 | |
| Summation | 0.000 | 5 | 9.980 × 10−5 | |||
| Error | 0.185 | 18 |
Disclaimer/Publisher’s Note: The statements, opinions and data contained in all publications are solely those of the individual author(s) and contributor(s) and not of MDPI and/or the editor(s). MDPI and/or the editor(s) disclaim responsibility for any injury to people or property resulting from any ideas, methods, instructions or products referred to in the content. |
© 2024 by the authors. Licensee MDPI, Basel, Switzerland. This article is an open access article distributed under the terms and conditions of the Creative Commons Attribution (CC BY) license (https://creativecommons.org/licenses/by/4.0/).
Share and Cite
Zhao, Z.; Meng, Z.; Li, L.; Liu, H.; Du, J.; Li, T. Quantitative Characterization and Disturbance Law of Key Parameters Influencing Deformation of Overlying Strata during Strip Filling in a Goaf. Appl. Sci. 2024, 14, 996. https://doi.org/10.3390/app14030996
Zhao Z, Meng Z, Li L, Liu H, Du J, Li T. Quantitative Characterization and Disturbance Law of Key Parameters Influencing Deformation of Overlying Strata during Strip Filling in a Goaf. Applied Sciences. 2024; 14(3):996. https://doi.org/10.3390/app14030996
Chicago/Turabian StyleZhao, Zenghui, Zhe Meng, Longfei Li, Hao Liu, Jiaze Du, and Tianyu Li. 2024. "Quantitative Characterization and Disturbance Law of Key Parameters Influencing Deformation of Overlying Strata during Strip Filling in a Goaf" Applied Sciences 14, no. 3: 996. https://doi.org/10.3390/app14030996
APA StyleZhao, Z., Meng, Z., Li, L., Liu, H., Du, J., & Li, T. (2024). Quantitative Characterization and Disturbance Law of Key Parameters Influencing Deformation of Overlying Strata during Strip Filling in a Goaf. Applied Sciences, 14(3), 996. https://doi.org/10.3390/app14030996
