Protection of Buried Pipelines from High-Speed Train Vibrations with Expanded Polystyrene Geofoam
Abstract
Featured Application
Abstract
1. Introduction
2. Materials and Methods
2.1. Validation of Numerical Methodology with Experimental Data for Polyethylene Pipelines and Road Moving Loads
2.2. Description of the HST Moving Loads and Buried Pipeline Numerical Model
3. Results
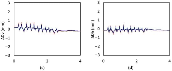
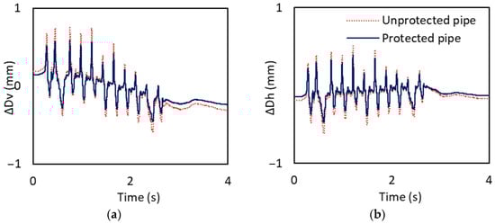
3.1. Unprotected Pipeline Response
3.2. Impact of EPS Layer Thickness on Pipeline Protection
- Case 1: EPS layer with 12.5 cm height
- Case 2: EPS layer with 25 cm height
- Case 3: EPS layer with 50 cm height
Comparison of Performance Indices
3.3. Impact of Pipeline Material and Geometry
4. Discussion
- -
- Implementing an EPS layer between the track and the buried pipeline substantially reduces HST-induced vibrations.
- -
- The insertion loss at the center frequencies of the lower 1/3 octave bands is constant and independent from the HST passing velocity.
- -
- The reduction in the vibrations level strongly depends on the thickness of the EPS layer.
- -
- The material and dimensions of the pipe affect the results both for unprotected and protected cases. Thick steel pipes are less vulnerable; thus, the implementation of EPS may not be needed.
- -
- The transient and residual deformations of polyethylene pipes are higher compared to those of steel pipes. Hence, the efficiency of the application of the EPS layer is more pronounced in this case.
5. Conclusions
Author Contributions
Funding
Institutional Review Board Statement
Informed Consent Statement
Data Availability Statement
Conflicts of Interest
References
- Connolly, D.P.; Marecki, G.P.; Kouroussis, G.; Thalassinakis, I.; Woodward, P.K. The growth of railway ground vibration problems—A review. Sci. Total Environ. 2016, 568, 1276–1282. [Google Scholar] [CrossRef]
- Kuo, K.A.; Papadopoulos, M.; Lombaert, G.; Degrande, G. The coupling loss of a building subject to railway induced vibrations: Numerical modelling and experimental measurements. J. Sound Vib. 2019, 442, 459–481. [Google Scholar] [CrossRef]
- López-Mendoza, D.; Connolly, D.P.; Romero, A.; Kouroussis, G.; Galvín, P. A transfer function method to predict building vibration and its application to railway defects. Constr. Build. Mater. 2020, 232, 117217. [Google Scholar] [CrossRef]
- Yao, J.; Zhao, R.; Zhang, N.; Yang, D. Vibration isolation effect study of in-filled trench barriers to train-induced environmental vibrations. Soil Dyn. Earthq. Eng. 2019, 125, 105741. [Google Scholar] [CrossRef]
- Kouroussis, G.; Verlinden, O.; Conti, C. Free field vibrations caused by high-speed lines: Measurement and time domain simulation. Soil Dyn. Earthq. Eng. 2011, 31, 692–707. [Google Scholar] [CrossRef]
- Connolly, D.; Giannopoulos, A.; Forde, M.C. Numerical modelling of ground borne vibrations from high speed rail lines on embankments. Soil Dyn. Earthq. Eng. 2013, 46, 13–19. [Google Scholar] [CrossRef]
- Beena, K.S.; Sandeep, M.N.; Indraratna, B.; Malisetty, R.S. Near-field vibrations in railway track on soft subgrades for semi high-speed trains. Transp. Eng. 2023, 12, 100176. [Google Scholar] [CrossRef]
- Çelebi, E.; Kırtel, O. Non-linear 2-D FE modeling for prediction of screening performance of thin-walled trench barriers in mitigation of train-induced ground vibrations. Constr. Build. Mater. 2013, 42, 122–131. [Google Scholar] [CrossRef]
- Gao, G.; Bi, J.; Chen, J. Vibration mitigation performance of embankments and cuttings in transversely isotropic ground under high-speed train loading. Soil Dyn. Earthq. Eng. 2020, 141, 106478. [Google Scholar] [CrossRef]
- Sheng, X.; Jones, C.J.C.; Thompson, D.J. Prediction of ground vibration from trains using the wavenumber finite and boundary element methods. J. Sound Vib. 2006, 293, 575–586. [Google Scholar] [CrossRef]
- Li, L.; Nimbalkar, S.; Zhong, R. Finite element model of ballasted railway with infinite boundaries considering effects of moving train loads and Rayleigh waves. Soil Dyn. Earthq. Eng. 2018, 114, 147–153. [Google Scholar] [CrossRef]
- Gao, G.; Yao, S.; Yang, J.; Chen, J. Investigating ground vibration induced by moving train loads on unsaturated ground using 2.5D FEM. Soil Dyn. Earthq. Eng. 2019, 124, 72–85. [Google Scholar] [CrossRef]
- Lyratzakis, A.; Tsompanakis, Y.; Psarropoulos, P.N. Mitigating high-speed train vibrations with EPS blocks for various soil conditions. Soil Dyn. Earthq. Eng. 2020, 141, 106482. [Google Scholar] [CrossRef]
- Liolios, A.; Profillidis, V.; Christodoulidis, D.; Tantanozis, N. A Computational approach to the dynamic soil-pipeline interaction induced by high-speed railway traffic. In Proceedings of the 15th Nordic Seminar on Computational Mechanics, Aalborg, Denmark, 18–19 October 2002; pp. 259–262. [Google Scholar]
- Puppala, A.J.; Ruttanaporamakul, P.; Congress, S.S.C. Design and construction of lightweight EPS geofoam embedded geomaterial embankment system for control of settlements. Geotext. Geomembr. 2019, 47, 295–305. [Google Scholar] [CrossRef]
- Liyanapathirana, D.S.; Ekanayake, S.D. Application of EPS geofoam in attenuating ground vibrations during vibratory pile driving. Geotext. Geomembranes 2016, 44, 59–69. [Google Scholar] [CrossRef]
- Alfheim, S.; Refsdal, G.; Rygg, N. The first EPS geoblock road embankment—1972. In Proceedings of the 4th International Conference on Geofoam Blocks in Construction Applications, Lillestrøm, Norway, 6–8 June 2011; pp. 1–10. [Google Scholar]
- Bartlett, S.F.; Lingwall, B.N.; Vaslestad, J. Methods of protecting buried pipelines and culverts in transportation infrastructure using EPS geofoam. Geotext. Geomembr. 2015, 43, 450–461. [Google Scholar] [CrossRef]
- Tafreshi, S.N.M.; Darabi, N.J.; Dawson, A.R. Geotextiles and Geomembranes Combining EPS geofoam with geocell to reduce buried pipe loads and trench surface rutting. Geotext. Geomembranes 2020, 48, 400–418. [Google Scholar] [CrossRef]
- Choo, Y.W.; Abdoun, T.H.; O’Rourke, M.J.; Ha, D. Remediation for buried pipeline systems under permanent ground deformation. Soil Dyn. Earthq. Eng. 2007, 27, 1043–1055. [Google Scholar] [CrossRef]
- Rasouli, H.; Fatahi, B. Geofoam blocks to protect buried pipelines subjected to strike-slip fault rupture. Geotext. Geomembr. 2020, 48, 257–274. [Google Scholar] [CrossRef]
- Kim, H.; Choi, B.; Kim, J. Reduction of Earth Pressure on Buried Pipes by EPS Geofoam Inclusions. Geotech. Test. J. 2010, 33, 304–313. [Google Scholar] [CrossRef]
- Witthoeft, A.F.; Kim, H. Numerical investigation of earth pressure reduction on buried pipes using EPS geofoam compressible inclusions. Geosynth. Int. 2016, 23, 287–300. [Google Scholar] [CrossRef]
- Khalaj, O.; Azizian, M.; Darabi, N.J.; Tafreshi, S.N.M.; Jirková, H. The role of expanded polystyrene and geocell in enhancing the behavior of buried HDPE pipes under trench loading using numerical analyses. Geosciences 2020, 10, 251. [Google Scholar] [CrossRef]
- ABAQUS, Analysis User’s Manual Ver. 6.14; Dassault Systèmes Simulia Corp.: Providence, RI, USA, 2014.
- Lyratzakis, A.; Tsompanakis, Y.; Psarropoulos, P.N. Efficient mitigation of high-speed trains induced vibrations of railway embankments using expanded polystyrene blocks. Transp. Geotech. 2020, 22, 100312. [Google Scholar] [CrossRef]
- Kouroussis, G.; Verlinden, O. Prediction of railway ground vibrations: Accuracy of a coupled lumped mass model for representing the track/soil interaction. Soil Dyn. Earthq. Eng. 2015, 69, 220–226. [Google Scholar] [CrossRef]
- Mohitpour, M.; Golshan, H.; Murray, A. Pipeline Design & Construction: A Practical Approach, 3rd ed.; ASME Press: New York, NY, USA, 2007. [Google Scholar] [CrossRef]
- Demirci, H.E.; Bhattacharya, S.; Karamitros, D.; Alexander, N. Experimental and numerical modelling of buried pipelines crossing reverse faults. Soil Dyn. Earthq. Eng. 2018, 114, 198–214. [Google Scholar] [CrossRef]
- Vazouras, P.; Karamanos, S.A.; Dakoulas, P. Finite element analysis of buried steel pipelines under strike-slip fault displacements. Soil Dyn. Earthq. Eng. 2010, 30, 1361–1376. [Google Scholar] [CrossRef]
- NPRA. Håndbok 016: Geoteknikkivegbygging; Norwegian Public Roads Administration: Lillehammer, Norway, 2010. (In Norwegian)
- Kang, J. Finite element analysis for deeply buried concrete pipes in proposed imperfect trench installations with expanded polystyrene (EPS) foams. Eng. Struct. 2019, 189, 286–295. [Google Scholar] [CrossRef]
- ASTM D6817; Standard Specification for Rigid Cellular Polystyrene Geofoam. ASTM: West Conshohocken, PA, USA, 2017. Available online: www.astm.org (accessed on 10 June 2022).
- Kouroussis, G.; Connolly, D.P.; Forde, M.C.; Verlinden, O. Train speed calculation using ground vibrations. Proc. Inst. Mech. Eng. Part F J. Rail Rapid Transit 2013, 229, 466–483. [Google Scholar] [CrossRef]
- Li, T.; Su, Q.; Kaewunruen, S. Seismic metamaterial barriers for ground vibration mitigation in railways considering the train-track-soil dynamic interactions. Constr. Build. Mater. 2020, 260, 119936. [Google Scholar] [CrossRef]
- Ngamkhanong, C.; Kaewunruen, S. Effects of under sleeper pads on dynamic responses of railway prestressed concrete sleepers subjected to high intensity impact loads. Eng. Struct. 2020, 214, 110604. [Google Scholar] [CrossRef]
- Coulier, P.; Dijckmans, A.; Jiang, J.; Thompson, D.; Degrande, G.; Lombaert, G. Stiff wave barriers for the mitigation of railway induced vibrations. In Proceedings of the 11th International Workshop on Railway Noise, Uddevalla, Sweden, 9–13 September 2013. [Google Scholar] [CrossRef]
- DIN 4150-3; Structural Vibrations—Part 3: Effects of Vibration on Structures. DIN Germany Institute: Berlin, Germany, 1999.



















| Track Components | Layer Thickness (m) | Young’s Modulus (GPa) | Poisson’s Ratio (-) | Unit Weight (kN/m3) |
|---|---|---|---|---|
| Rail | - | 210 | 0.25 | 79 |
| Sleepers | - | 30 | 0.40 | 24 |
| Ballast | 0.3 | 0.1 | 0.35 | 18 |
| Sub-ballast | 0.2 | 0.3 | 0.35 | 22 |
| Subgrade | 0.5 | 0.127 | 0.35 | 21 |
| Velocity (km/h) | fb,1 (Hz) | fb,2 (Hz) | fb,3 (Hz) | fb,4 (Hz) | fb,5 (Hz) | fa (Hz) | fs (Hz) |
|---|---|---|---|---|---|---|---|
| 240 | 4 | 7 | 11 | 14 | 18 | 20 | 111 |
| 300 | 4 | 9 | 13 | 18 | 22 | 25 | 139 |
| 360 | 5 | 11 | 16 | 21 | 27 | 30 | 167 |
Disclaimer/Publisher’s Note: The statements, opinions and data contained in all publications are solely those of the individual author(s) and contributor(s) and not of MDPI and/or the editor(s). MDPI and/or the editor(s) disclaim responsibility for any injury to people or property resulting from any ideas, methods, instructions or products referred to in the content. |
© 2024 by the authors. Licensee MDPI, Basel, Switzerland. This article is an open access article distributed under the terms and conditions of the Creative Commons Attribution (CC BY) license (https://creativecommons.org/licenses/by/4.0/).
Share and Cite
Lyratzakis, A.; Tsompanakis, Y.; Psarropoulos, P.N. Protection of Buried Pipelines from High-Speed Train Vibrations with Expanded Polystyrene Geofoam. Appl. Sci. 2024, 14, 1087. https://doi.org/10.3390/app14031087
Lyratzakis A, Tsompanakis Y, Psarropoulos PN. Protection of Buried Pipelines from High-Speed Train Vibrations with Expanded Polystyrene Geofoam. Applied Sciences. 2024; 14(3):1087. https://doi.org/10.3390/app14031087
Chicago/Turabian StyleLyratzakis, Alexandros, Yiannis Tsompanakis, and Prodromos N. Psarropoulos. 2024. "Protection of Buried Pipelines from High-Speed Train Vibrations with Expanded Polystyrene Geofoam" Applied Sciences 14, no. 3: 1087. https://doi.org/10.3390/app14031087
APA StyleLyratzakis, A., Tsompanakis, Y., & Psarropoulos, P. N. (2024). Protection of Buried Pipelines from High-Speed Train Vibrations with Expanded Polystyrene Geofoam. Applied Sciences, 14(3), 1087. https://doi.org/10.3390/app14031087

