Investigation on Mechanical Parameters and Microstructure of Soil-Based Controlled Low-Strength Materials with Polycarboxylate Superplasticizer
Abstract
1. Introduction
2. Materials and Methods
2.1. Raw Materials
2.2. Mixture Proportion Optimization and Test Methods
2.2.1. Mixture Proportions
2.2.2. Sample Preparation and Test Methods
3. Results and Discussion
3.1. Flowability and Fresh Density
3.2. Mechanical Parameters
3.2.1. Unconfined Compressive Strength and Failure Strain
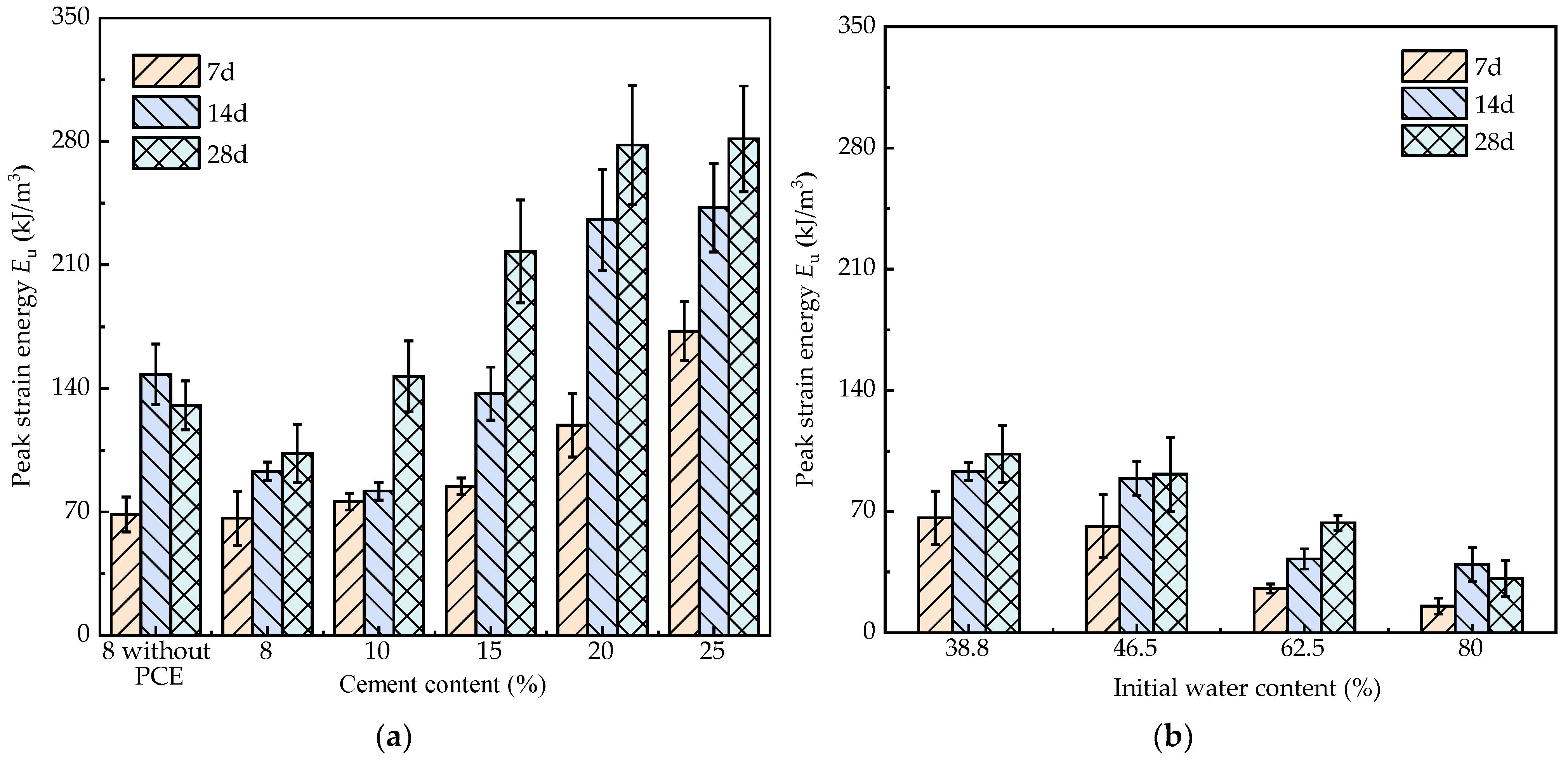
3.2.2. Peak Strain Energy and Deformation Modulus
3.3. Microstructure Analysis
3.3.1. Transverse Relaxation Time T2 Distribution
3.3.2. Pore Size Distribution
3.3.3. Porosity
3.4. Corrosivity and Water Content
4. Conclusions
- (1)
- PCE could effectively disperse cement particles and clay minerals, improving the flowability of soil-based CLSMs. With an increase in the cement content, the unconfined compressive strength rises due to a decrease in the volume percentages of extra-large pores and macropores, accompanied by an increase in the volume percentages of small and mesopores. Conversely, as the initial water content increases, the rise in the volume percentages of extra-large pores and mesopores leads to a decrease in the unconfined compressive strength.
- (2)
- The qu of the soil-based CLSM without PCE (T1) exceeded that of the CLSM with PCE (T2) under different curing time periods. The T2 distribution curves of the soil-based CLSM show bimodal distribution. These curves shifted to smaller transverse relaxation time values with the increasing cement content, while gradually shifting to larger transverse relaxation time values with the increasing initial water content. The addition of PCE had little effect on the T2 distribution curve and the T2peak.
- (3)
- An exponential relationship between the porosity and unconfined compressive strength of soil-based CLSMs was established under different curing time periods.
Author Contributions
Funding
Institutional Review Board Statement
Informed Consent Statement
Data Availability Statement
Conflicts of Interest
References
- American Concrete Institute. Controlled Low-Strength Materials ACI 229R-99; Technical Documents; American Concrete Institute: Farmington Hills, MI, USA, 1999; 15p. [Google Scholar]
- Turkel, S. Strength properties of fly ash based controlled low strength materials. J. Hazard. Mater. 2007, 147, 1015–1019. [Google Scholar] [CrossRef] [PubMed]
- Ling, T.C.; Kaliyavaradhan, S.K.; Poon, C.S. Global perspective on application of controlled low-strength material (CLSM) for trench backfilling—An overview. Constr. Build. Mater. 2018, 158, 535–548. [Google Scholar] [CrossRef]
- Qian, J.S.; Hu, Y.Y.; Zhang, J.K.; Xiao, W.X.; Ling, J.M. Evaluation the performance of controlled low strength material made of excess excavated soil. J. Clean. Prod. 2019, 214, 79–88. [Google Scholar] [CrossRef]
- Chang, C.F.; Chen, J.W. Development and production of ready-mixed soil material. J. Mater. Civ. Eng. 2006, 18, 792–799. [Google Scholar] [CrossRef]
- Puppala, A.J.; Chittoori, B.; Raavi, A. Flowability and density characteristics of controlled low-strength material using native high-plasticity clay. J. Mater. Civ. Eng. 2015, 27, 06014026. [Google Scholar] [CrossRef]
- Rosman, M.; Johan, S.; Rahman, N.A.; Chan, C. Influence of water content on the flow consistency of dredged marine soils. In Proceedings of the 2nd International Conference on Green Design and Manufacture 2016, Phuket, Thailand, 1–2 May 2016; p. 01094. [Google Scholar]
- Chittoori, B.; Puppala, A.J.; Raavi, A. Strength and stiffness characterization of controlled low-strength material using native high-plasticity clay. J. Mater. Civ. Eng. 2014, 26, 04014007-1–04014007-8. [Google Scholar] [CrossRef]
- Kim, Y.S.; Do, T.M.; Kim, H.K.; Kang, G. Utilization of excavated soil in coal ash-based controlled low strength material (CLSM). Constr. Build. Mater. 2016, 124, 598–605. [Google Scholar] [CrossRef]
- Wu, J.Y.; Lee, M.Z. Beneficial reuse of construction surplus clay in CLSM. Int. J. Pavement Res. Technol. 2011, 4, 293–300. [Google Scholar] [CrossRef]
- Ng, P.G.; Cheah, C.B.; Ng, E.P.; Oo, C.W.; Leow, K.H. The influence of main and side chain densities of PCE superplasticizer on engineering properties and microstructure development of slag and fly ash ternary blended cement concrete. Constr. Build. Mater. 2020, 242, 118103. [Google Scholar] [CrossRef]
- Kaliyavaradhan, S.K.; Ling, T.C.; Guo, M.Z.; Mo, K.H. Waste resources recycling in controlled low-strength material (CLSM): A critical review on plastic properties. J. Environ. Manag. 2019, 241, 383–396. [Google Scholar] [CrossRef]
- Tan, Z.R.; Tan, H.B.; Lv, Z.L.; Kong, X.H.; Jian, S.W.; Ma, B.G. Effect of plasticizer type on properties of construction spoil based high-fluid backfill materials. Bull. Chin. Ceram. Soc. 2022, 41, 3227–3233. [Google Scholar]
- Li, X.; Zheng, D.; Zheng, T.; Lin, X.; Lou, H.; Qiu, X. Enhancement clay tolerance of PCE by lignin-based polyoxyethylene ether in montmorillonite-contained paste. J. Ind. Eng. Chem. 2017, 49, 168–175. [Google Scholar] [CrossRef]
- Pujadas, P.; Blanco, A.; Cavalaro, S.; Aguado, A. Performance-based procedure for the definition of controlled low-strength mixtures. J. Mater. Civ. Eng. 2015, 27, 06015003. [Google Scholar] [CrossRef]
- Jian, S.W.; Cheng, C.; Wang, J.; Lv, Y.; Li, B.D.; Wang, D.F.; Wang, C.F.; Tan, H.B.; Ma, B.G. Effect of sulfonated acetone formaldehyde on the properties of high-fluid backfill materials. Constr. Build. Mater. 2022, 327, 126795. [Google Scholar] [CrossRef]
- Lei, L.; Plank, J. A concept for a polycarboxylate superplasticizer possessing enhanced clay tolerance. Cem. Concr. Res. 2012, 42, 1299–1306. [Google Scholar] [CrossRef]
- Wen, D.J.; Shun, H.Z.; Yu, L.S. Microstructure study of flow-solidified soil of dredged clays by mercury intrusion porosimetry. Rock Soil Mech. 2011, 32, 3591–3596+3603. [Google Scholar] [CrossRef]
- Zong, Y.T.; Yu, X.L.; Zhu, M.X.; Lu, S.G. Characterizing soil pore structure using nitrogen adsorption, mercury intrusion porosimetry, and synchrotron-radiation-based X-ray computed microtomography techniques. J. Soils Sediments 2015, 15, 302–312. [Google Scholar] [CrossRef]
- Zhang, Y.R.; Xu, S.X.; Gao, Y.H.; Guo, J.; Cao, Y.H.; Zhang, J.Z. Correlation of chloride diffusion coefficient and microstructure parameters in concrete: A comparative analysis using NMR, MIP, and X-CT. Front. Struct. Civ. Eng 2020, 14, 1509–1519. [Google Scholar] [CrossRef]
- She, A.M.; Yao, W.; Yuan, W.C. Evolution of distribution and content of water in cement paste by low field nuclear magnetic resonance. J. Cent. South Univ. 2013, 20, 1109–1114. [Google Scholar] [CrossRef]
- Yao, Y.B.; Liu, D.M.; Che, Y.; Tang, D.Z.; Tang, S.H.; Huang, W.H. Petrophysical characterization of coals by low-field nuclear magnetic resonance (NMR). Fuel 2010, 89, 1371–1380. [Google Scholar] [CrossRef]
- Zhang, P.F.; Lu, S.F.; Li, J.Q.; Chen, C.; Xue, H.T.; Zhang, J.J.M.; Geology, P. Petrophysical characterization of oil-bearing shales by low-field nuclear magnetic resonance (NMR). Mar. Pet. Geol. 2018, 89, 775–785. [Google Scholar] [CrossRef]
- GB/T 50123-2019; Standard for Geotechnical Testing Method. Standards Press of China: Beijing, China, 2019.
- ASTM D2487; Standard Practice for Classification of Soils for Engineering Purposes (Unified Soil Classification System). ASTM International: West Conshohocken, PA, USA, 2020.
- ISO 14001; Environmental Management Systems: Requirements with Guidance for Use. Intenational Organization for Standardization: Genewa, Switzerland, 2015; p. 35.
- ASTM D6103; Standard test method for flow consistency of controlled low strength material (CLSM). ASTM International: West Conshohocken, PA, USA, 2021.
- Du, Y.J.; Wei, M.L.; Jin, F.; Liu, Z.B. Stress–strain relation and strength characteristics of cement treated zinc-contaminated clay. Eng. Geol. 2013, 167, 20–26. [Google Scholar] [CrossRef]
- Kleinberg, R.L. Utility of NMR T2 distributions, connection with capillary pressure, clay effect, and determination of the surface relaxivity parameter ρ2. Magn. Reson. Imaging 1996, 14, 761–767. [Google Scholar] [CrossRef] [PubMed]
- Saride, S.; Puppala, A.J.; Chikyala, S.R. Swell-shrink and strength behaviors of lime and cement stabilized expansive organic clays. Appl. Clay Sci. 2013, 85, 39–45. [Google Scholar] [CrossRef]
- Lee, K.H.; Kim, J.D. Performance evaluation of modified marine dredged soil and recycled in-situ soil as controlled low strength materials for underground pipe. KSCE J. Civ. Eng. 2013, 17, 674–680. [Google Scholar] [CrossRef]
- Parhi, S.K.; Dwibedy, S.; Panda, S.; Panigrahi, S.K. A comprehensive study on Controlled Low Strength Material. J. Build. Eng. 2023, 76, 107086. [Google Scholar] [CrossRef]
- Zingg, A.; Holzer, L.; Kaech, A.; Winnefeld, F.; Pakusch, J.; Becker, S.; Gauckler, L. The microstructure of dispersed and non-dispersed fresh cement pastes—New insight by cryo-microscopy. Cem. Concr. Res. 2008, 38, 522–529. [Google Scholar] [CrossRef]
- Tan, H.; Gu, B.; Guo, Y.; Ma, B.; Huang, J.; Ren, J.; Zou, F.; Guo, Y. Improvement in compatibility of polycarboxylate superplasticizer with poor-quality aggregate containing montmorillonite by incorporating polymeric ferric sulfate. Constr. Build. Mater. 2018, 162, 566–575. [Google Scholar] [CrossRef]
- Li, Y.; Duan, C.; Meng, M.; Zhang, J.; Huang, H.; Wang, H.; Yan, M.; Tang, X.; Huang, X. Effect of clay minerals on polycarboxylate superplasticizer and methods to improve the performance of concrete containing clay: A review. J. Mater. Sci. 2023, 58, 15294–15313. [Google Scholar] [CrossRef]
- Wang, C.; Li, Y.; Wen, P.; Zeng, W.; Wang, X. A comprehensive review on mechanical properties of green controlled low strength materials. Constr. Build. Mater. 2022, 363, 129611. [Google Scholar] [CrossRef]
- Horpibulsuk, S.; Miura, N.; Nagaraj, T.S. Assessment of strength development in cement-admixed high water content clays with Abrams’ law as a basis. Geotechnique 2003, 53, 439–444. [Google Scholar] [CrossRef]
- Kuo, W.T.; Wang, H.Y.; Shu, C.Y.; Su, D.S. Engineering properties of controlled low-strength materials containing waste oyster shells. Constr. Build. Mater. 2013, 46, 128–133. [Google Scholar] [CrossRef]
- Zhang, S.; Jiao, N.; Ding, J.; Guo, C.; Gao, P.; Wei, X. Utilization of waste marine dredged clay in preparing controlled low strength materials with polycarboxylate superplasticizer and ground granulated blast furnace slag. J. Build. Eng. 2023, 76, 107351. [Google Scholar] [CrossRef]
- Anagnostopoulos, C.A. Effect of different superplasticisers on the physical and mechanical properties of cement grouts. Constr. Build. Mater. 2014, 50, 162–168. [Google Scholar] [CrossRef]
- Huang, Z.; Tong, T.; Liu, H.; Qi, W. Properties of soil-based flowable fill under drying–wetting and freeze–thaw actions. Sustainability 2023, 15, 2390. [Google Scholar] [CrossRef]
- Wang, D.X.; Abriak, N.E.; Zentar, R. Strength and deformation properties of Dunkirk marine sediments solidified with cement, lime and fly ash. Eng. Geol. 2013, 166, 90–99. [Google Scholar] [CrossRef]
- Huang, Y.H.; Zhu, W.; Qian, X.D.; Zhang, N.; Zhou, X.Z. Change of mechanical behavior between solidified and remolded solidified dredged materials. Eng. Geol. 2011, 119, 112–119. [Google Scholar] [CrossRef]
- Wang, D.X.; Wang, H.W.; Di, S.J. Mechanical properties and microstructure of magnesia–fly ash pastes. Road Mater. Pavement Des. 2019, 20, 1243–1254. [Google Scholar] [CrossRef]
- Ma, C.; Chen, L.; Chen, B. Analysis of strength development in soft clay stabilized with cement-based stabilizer. Constr. Build. Mater. 2014, 71, 354–362. [Google Scholar] [CrossRef]
- Salimi, M.; Ghorbani, A. Mechanical and compressibility characteristics of a soft clay stabilized by slag-based mixtures and geopolymers. Appl. Clay Sci. 2020, 184, 105390. [Google Scholar] [CrossRef]
- Zhao, G.; Zhu, Z.; Ren, G.; Wu, T.; Ju, P.; Ding, S.; Shi, M.; Fan, H. Utilization of recycled concrete powder in modification of the dispersive soil: A potential way to improve the engineering properties. Constr. Build. Mater. 2023, 389, 131626. [Google Scholar] [CrossRef]
- Tsuchida, T.; Porbaha, A.; Yamane, N. Development of a geomaterial from dredged bay mud. J. Mater. Civ. Eng. 2001, 13, 152–160. [Google Scholar] [CrossRef]
- Liu, W.; Yu, H.; Wang, S.; Wei, M.; Wang, X.; Tao, T.; Song, X. Evolution mechanism of mechanical properties of cemented tailings backfill with partial replacement of cement by rice straw ash at different binder content. Powder Technol. 2023, 419, 118344. [Google Scholar] [CrossRef]
- Lin, M.; Chen, G.; Chen, Y.; Han, D.; Xu, J. Hydrothermal solidification of alkali-activated clay-slaked lime mixtures. Constr. Build. Mater. 2022, 325, 126660. [Google Scholar] [CrossRef]
- Deng, Y.; Yue, X.; Liu, S.; Chen, Y.; Zhang, D. Hydraulic conductivity of cement-stabilized marine clay with metakaolin and its correlation with pore size distribution. Eng. Geol. 2015, 193, 146–152. [Google Scholar] [CrossRef]
- Horpibulsuk, S.; Rachan, R.; Raksachon, Y. Role of fly ash on strength and microstructure development in blended cement stabilized silty clay. Soils Found. 2009, 49, 85–98. [Google Scholar] [CrossRef]
- Bian, X.; Zeng, L.L.; Deng, Y.F.; Li, X.Z. The role of superabsorbent polymer on strength and microstructure development in cemented dredged clay with high water content. Polymers 2018, 10, 1069. [Google Scholar] [CrossRef]
- Zhang, R.; Ma, D. Effects of curing time on the mechanical property and microstructure characteristics of metakaolin-Based Geopolymer cement-stabilized silty clay. Adv. Mater. Sci. Eng. 2020, 2020, 9605941. [Google Scholar] [CrossRef]
- Consoli, N.C.; Rosa, D.A.; Cruz, R.C.; Dalla Rosa, A. Water content, porosity and cement content as parameters controlling strength of artificially cemented silty soil. Eng. Geol. 2011, 122, 328–333. [Google Scholar] [CrossRef]
- Zeng, L.; Bian, X.; Zhao, L.; Wang, Y.; Hong, Z. Effect of phosphogypsum on physiochemical and mechanical behaviour of cement stabilized dredged soil from Fuzhou, China. Geomech. Energy Environ. 2021, 25, 100195. [Google Scholar] [CrossRef]
- Do, T.M.; Kim, Y.S. Engineering properties of controlled low strength material (CLSM) incorporating red mud. Int. J. Geo-Eng. 2016, 7, 7. [Google Scholar] [CrossRef]
















| Natural Water Content | Clay Content | Silt Content | Sand Content | Gravel Content | Liquid Limit | Plastic Limit | USCS | Color |
|---|---|---|---|---|---|---|---|---|
| 38.8 | 2.9 | 11.5 | 85.1 | 0.5 | 31.0 | 14.6 | SM | Brown |
| SiO2 | Al2O3 | Fe2O3 | CaO | MgO | SO3 | LOI * | Cl− | Initial Setting Time (min) | Final Setting Time (min) |
|---|---|---|---|---|---|---|---|---|---|
| 24.99 | 8.26 | 4.03 | 51.42 | 3.71 | 2.51 | 3.31 | 0.04 | 172 | 234 |
| Mix ID | Initial Water Content (%) | Cement Content (%) | PCE Content (%) | Curing Time (d) |
|---|---|---|---|---|
| T1 | 38.8 (natural water content) | 8 | / | 7, 14, 28 |
| T2 | 8 | 0.52 | ||
| T3 | 10 | 0.55 | ||
| T4 | 15 | 0.59 | ||
| T5 | 20 | 0.63 | ||
| T6 | 25 | 0.67 | ||
| T7 | 46.5 (1.5 wL) | 8 | 0.44 | |
| T8 | 62 (2 wL) | 0.33 | ||
| T9 | 80 (2.58 wL) | / |
Disclaimer/Publisher’s Note: The statements, opinions and data contained in all publications are solely those of the individual author(s) and contributor(s) and not of MDPI and/or the editor(s). MDPI and/or the editor(s) disclaim responsibility for any injury to people or property resulting from any ideas, methods, instructions or products referred to in the content. |
© 2024 by the authors. Licensee MDPI, Basel, Switzerland. This article is an open access article distributed under the terms and conditions of the Creative Commons Attribution (CC BY) license (https://creativecommons.org/licenses/by/4.0/).
Share and Cite
Guo, Q.; Chen, Y.; Xu, J.; Li, B. Investigation on Mechanical Parameters and Microstructure of Soil-Based Controlled Low-Strength Materials with Polycarboxylate Superplasticizer. Appl. Sci. 2024, 14, 1029. https://doi.org/10.3390/app14031029
Guo Q, Chen Y, Xu J, Li B. Investigation on Mechanical Parameters and Microstructure of Soil-Based Controlled Low-Strength Materials with Polycarboxylate Superplasticizer. Applied Sciences. 2024; 14(3):1029. https://doi.org/10.3390/app14031029
Chicago/Turabian StyleGuo, Qianqian, Yonghui Chen, Jie Xu, and Bingyi Li. 2024. "Investigation on Mechanical Parameters and Microstructure of Soil-Based Controlled Low-Strength Materials with Polycarboxylate Superplasticizer" Applied Sciences 14, no. 3: 1029. https://doi.org/10.3390/app14031029
APA StyleGuo, Q., Chen, Y., Xu, J., & Li, B. (2024). Investigation on Mechanical Parameters and Microstructure of Soil-Based Controlled Low-Strength Materials with Polycarboxylate Superplasticizer. Applied Sciences, 14(3), 1029. https://doi.org/10.3390/app14031029
