Optimizing Thermosetting Epoxy Asphalt with Styrene–Butadiene Rubber and Styrene–Butadiene–Styrene Modifiers for Enhanced Durability in Bridge Expansion Joints
Abstract
1. Introduction
2. Methodology
2.1. Materials
2.2. Modification Mechanisms and Sample Preparation
2.2.1. Mechanisms of Modification of Epoxy Bitumen with SBR and SBS
2.2.2. Preparation of SSEA Binder
2.2.3. Preparation of SSEA Mixture
- (I)
- Mixing of mixtures. The molding temperature was set at 140 °C, and the 12% oil/stone ratio asphalt binder and the whole mixture were mixed in the mixing pan thoroughly for 90 s.
- (II)
- Primary crush. For this, 50% of the mixture was slowly poured into the rutted slabs and 20 initial rolling cycles were carried out with the compaction wheels. At the end of the initial rolling, the first layer was paved by evenly pouring in the bituminous binder with an oil/gravel ratio of about 6%.
- (III)
- Surface treatment and secondary crush. The remaining 50% of the mix was evenly poured over the initial paving layer and it was levelled off. Then, the remaining 6% of the asphalt binder was poured evenly. The surface of the surface layer was spread with stone materials with grain sizes ranging from 2.36 mm to 4.75 mm, and, finally, it was rolled back and forth 20 times with about 40 kg rolling wheels.
- (IV)
- Curing process. After molding, the rutted slabs were placed in 120 °C oven maintenance for 4 h, using BJ200 binder molding. The rutted board can be cooled to room temperature. The specific molding process can be seen in Figure 3.
2.3. Asphalt Binder Performance Tests
2.3.1. Cone Penetration Test
2.3.2. Tensile Test
2.3.3. Stress Relaxation Test
2.4. Asphalt Mixture Performance Tests
2.4.1. High-Temperature Performance Test
2.4.2. Water Stability Test
2.4.3. Low-Temperature Performance Test
3. Results and Discussion
3.1. Asphalt Binder Performance Analysis
3.1.1. Shear Performance of Asphalt Binders
3.1.2. Tensile Properties of Asphalt Binders
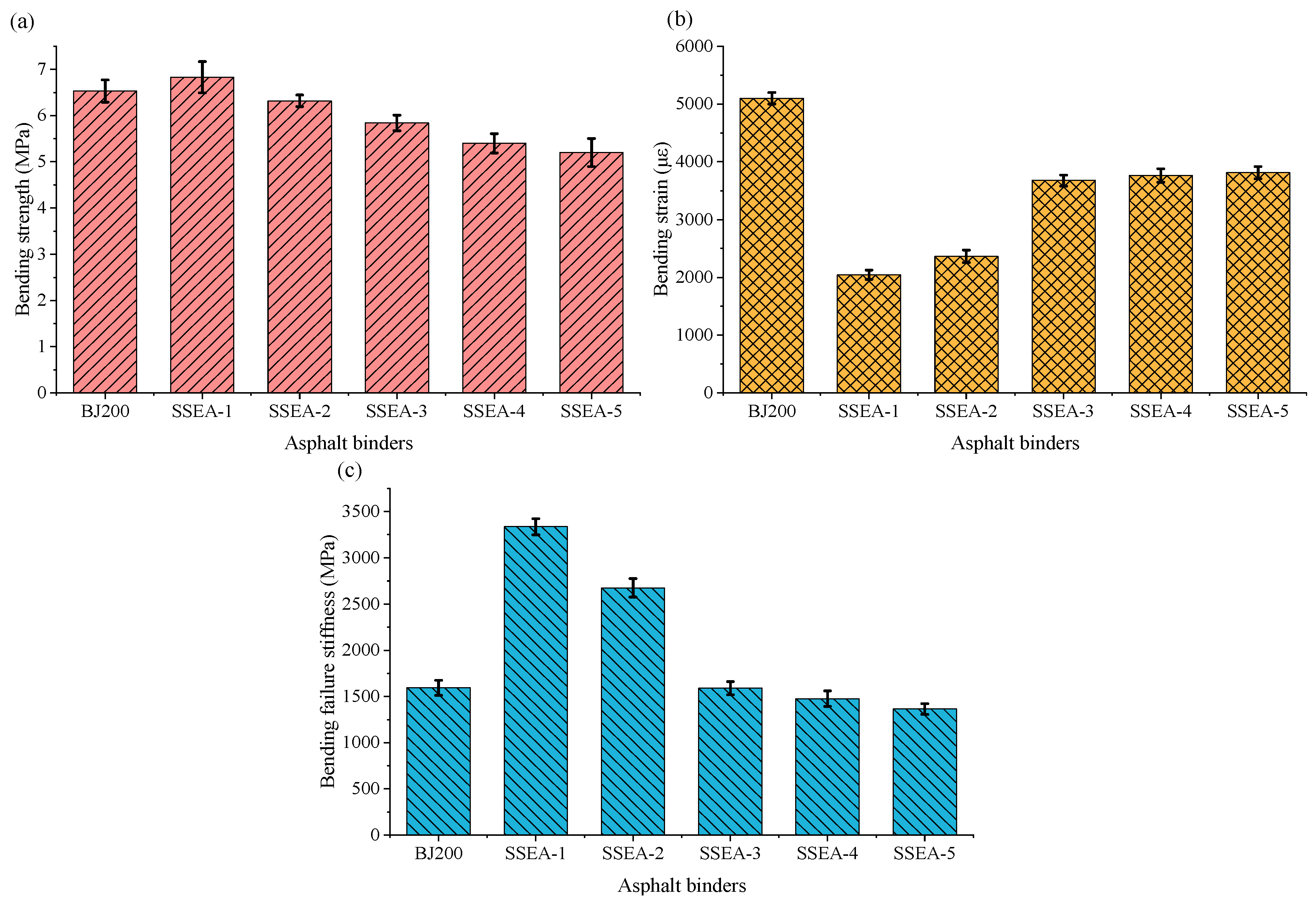
3.1.3. Low-Temperature Properties of Asphalt Binders
3.2. Asphalt Mixture Performance Analysis
3.2.1. High-Temperature Performance
3.2.2. Water Stability
3.2.3. Low-Temperature Performance
3.2.4. Comparison with Commercial BJ200 Material
3.3. Practical Applications and Cost Analyses
3.3.1. Practical Implications and Applications
3.3.2. Cost Comparison
4. Conclusions
- (1)
- With the increase in the proportion of asphalt in the epoxy bitumen, the shear resistance of SSEA gradually decreases, the tensile strength tends to decrease, the elongation gradually increases, low-temperature relaxation capacity tends to increase, and the increase in the asphalt phase accelerates the stress relaxation of the material and reduces the accumulation of stresses.
- (2)
- The immersion residual stability and TSR of SSEA mixtures are higher than those of BJ200. SSEA mixtures have excellent water loss resistance and meet the water stability requirements of seamless bridge expansion joints.
- (3)
- With the increase in the proportion of asphalt in the epoxy asphalt, the high-temperature performance of SSEA mixtures gradually decreases, and the low-temperature performance gradually increases. High-temperature performance is still better than BJ200 and low-temperature performance is lower than BJ200.
- (4)
- Based on the requirements for both high- and low-temperature performance, SSEA-3’s comprehensive performance is the best. SSEA-3’s high-temperature performance is better than that of BJ200, while its low-temperature performance is slightly lower than that of BJ200.
Author Contributions
Funding
Institutional Review Board Statement
Informed Consent Statement
Data Availability Statement
Conflicts of Interest
References
- Okamoto, N.; Kinoshita, T.; Futagi, T. Development of New Embedded Expansion Joint Using High Flexibility Stone Mastic Asphalt. In Proceedings of the 8th RILEM International Symposium on Testing and Characterization of Sustainable and Innovative Bituminous Materials, Ancona, Italy, 7–9 October 2015; Springer: Ancona, Italy, 2016; pp. 837–849. [Google Scholar]
- Niemierko, A. Modern bridge bearings and expansion joints for road bridges. In Proceedings of the 6th Transport Research Arena (TRA), Warsaw, Poland, 18–21 April 2016; Elsevier Science Bv: Warsaw, Poland, 2016; pp. 4040–4049. [Google Scholar]
- Partl, M.N.; Hean, S. Experience with Testing and Performance Evaluation of Bituminous Plug Expansion Joints on Concrete Road Bridges. Int. J. Roads Airpt. 2011, 1, 1–7. [Google Scholar] [CrossRef]
- Lee, E.K. Emulsification of Asphalt Modified with Styrene Butadiene Rubber (SBR) and Styrene Butadiene Styrene (SBS); 1) Phase Stability Behavior and 2) Physical Properties. Elastom. Compos. 2019, 54, 335–344. [Google Scholar] [CrossRef]
- Yan, C.Q.; Lv, Q.; Zhang, A.L.A.; Ai, C.F.; Huang, W.D.; Ren, D.Y. Modeling the modulus of bitumen/SBS composite at different temperatures based on kinetic models. Compos. Sci. Technol. 2022, 218, 11. [Google Scholar] [CrossRef]
- Babagoli, R.; Jalali, F.; Khabooshani, M. Performance properties of WMA modified binders and asphalt mixtures containing PPA/SBR polymer blends. J. Thermoplast. Compos. Mater. 2023, 36, 274–306. [Google Scholar] [CrossRef]
- Li, Y.M.; Cheng, P.F.; Siddig, E.A.A.; Han, C.P. Investigation on thermal aging stability of crosslinked styrene butadiene rubber modified asphalt binder. Road Mater. Pavement Des. 2020, 21, 1902–1917. [Google Scholar] [CrossRef]
- Liu, J.; Yan, K.Z.; Liu, J.; Guo, D. Evaluation of the characteristics of Trinidad Lake Asphalt and Styrene-Butadiene-Rubber compound modified binder. Constr. Build. Mater. 2019, 202, 614–621. [Google Scholar] [CrossRef]
- Ren, S.S.; Liang, M.; Fan, W.Y.; Zhang, Y.Z.; Qian, C.D.; He, Y.; Shi, J.T. Investigating the effects of SBR on the properties of gilsonite modified asphalt. Constr. Build. Mater. 2018, 190, 1103–1116. [Google Scholar] [CrossRef]
- Zhang, W.; Zhang, Z.Q.; Zhao, Q.S. Laboratory Performance Evaluation of a Waterborne Epoxy-Modified Asphalt Mixture with Styrene-Butadiene Rubber for Cold Patching Applications. J. Mater. Civ. Eng. 2022, 34, 12. [Google Scholar] [CrossRef]
- Ahmedzade, P.; Tigdemir, M.; Kalyoncuoglu, S.F. Laboratory investigation of the properties of asphalt concrete mixtures modified with TOP-SBS. Constr. Build. Mater. 2007, 21, 626–633. [Google Scholar] [CrossRef]
- Hossain, R.; Wasiuddin, N.M. Degradation of SBS Polymer during Laboratory Aging of Asphalt Mixture. In Proceedings of the International Airfield and Highway Pavements Conference of the Transportation-and-Development-Institute (T and DI) of the American-Society-of-Civil-Engineers (ASCE), online, 8–10 June 2021; American Society of Civil Engineers: Reston, VA, US, 2021; pp. 135–146. [Google Scholar]
- Ding, Z.; Zhang, J.; Li, P.L.; Yue, X.J.; Bing, H. Analysis of viscous flow properties of styrene-butadiene-styrene-modified asphalt. Constr. Build. Mater. 2019, 229, 9. [Google Scholar] [CrossRef]
- Lu, X.; Isacsson, U. Rheological characterization of styrene-butadiene-styrene copolymer modified bitumens. Constr. Build. Mater. 1997, 11, 23–32. [Google Scholar] [CrossRef]
- Elahi, Z.; Jakarni, F.M.; Muniandy, R.; Hassim, S.; Ab Razak, M.S.; Ansari, A.H. Influence of novel modified waste cooking oil beads on rheological characteristics of bitumen. Constr. Build. Mater. 2024, 414, 15. [Google Scholar] [CrossRef]
- Zhou, X.Y.; Ma, B.; Tian, X.Y.; Peng, S.G.; Li, R. Grey relational degree theory on low temperature anti-crackingperformance of asphalt mixture under freeze-thaw cycles in cold plateauregions. J. Jiangsu Univ. 2016, 37, 597–603. [Google Scholar]
- Yang, K.; Xing, M.L.; Tian, J.Z.; Niu, C.C.; Chen, H.X. Research on Performance of SBS and SBR Powder Composite Modified Asphalt. Highway 2016, 61, 206–211. [Google Scholar]
- Ye, S.L. Preparation of SBS-SBR Composite Modified Asphalt and Performance Research. Master’s Thesis, Chongqing Jiaotong University, Chongqing, China, 2020. [Google Scholar]
- Gallai, G. Flexible Plug Joint System with New Material. In Proceedings of the 9th International Conference on Bridges in Danube Basin, Zilina, Slovakia, 30 September–1 October 2016; Elsevier Science Bv: Zilina, Slovakia, 2016; pp. 109–115. [Google Scholar]
- Lu, P.Z.; Wang, J.H.; Ding, J.R.; Wu, Y.; Yang, L.; Gu, Z.H. Mechanical behaviour of bridge expansion joint interfaces filled with novel polyurethane-modified asphalt. Road Mater. Pavement Des. 2024, 19. [Google Scholar] [CrossRef]
- Zhang, H.S.; Sheng, X.H.; Wang, S.W.; Xu, T. Effects of different modifiers on thermal stability, constituents and microstructures of asphalt-based sealant. J. Therm. Anal. Calorim. 2020, 142, 1183–1192. [Google Scholar] [CrossRef]
- Sun, J.; Zhang, S.Y.; Liu, Y.C.; Zhang, Z.P.; Liu, X.S.; Zhang, Z.H.; Ban, X.Y. Construction Technology and Pavement Performance of Dry-Mix Polyurethane Modified Asphalt Mixtures: A Case Study. Sustainability 2023, 15, 18. [Google Scholar] [CrossRef]
- Sun, J.; Huang, W.; Lu, G.Y.; Luo, S.; Li, Y.H. Investigation of the performance and micro-evolution mechanism of low-content thermosetting epoxy asphalt binder towards sustainable highway and bridge decks paving. J. Clean. Prod. 2023, 384, 10. [Google Scholar] [CrossRef]
- Yang, S.; Li, R.; Zhu, H.Z.; Qin, Y.R.; Huang, C.X. Review of the state-of-the-art techniques for enhancing the toughness of thermosetting epoxy asphalt. Constr. Build. Mater. 2024, 449, 15. [Google Scholar] [CrossRef]
- Hu, J.; Zhao, W.X.; Liu, P.F.; Huang, Q.B.; Luo, S. Study on fracture characteristics of recycled aggregates asphalt concrete. Constr. Build. Mater. 2024, 419, 14. [Google Scholar] [CrossRef]
- Zhang, Z.P.; Kan, S.Y.; Wen, F.S.; Sun, J.; Liu, H.; Tian, P.J.; Luo, Y.; Yang, Y.; Xia, J.J. Synthesis of a novel bio-based curing agent and the curing behavior of the corresponding epoxy asphalt system. Constr. Build. Mater. 2024, 443, 16. [Google Scholar] [CrossRef]
- Xu, G.J.; Hao, S.W.; Yao, Y.S.; Xu, G.; Wang, H.Z. Synergistic effects of epoxy polymer and rejuvenator in asphalt rejuvenation: A comprehensive performance analysis. Constr. Build. Mater. 2024, 437, 16. [Google Scholar] [CrossRef]
- Li, K.; Xie, J.G.; Liu, Y.P.; Pan, Y.Q.; Tan, Y.W. Development and characterization of anti-cracking epoxy asphalt for steel deck pavement. Constr. Build. Mater. 2024, 438, 14. [Google Scholar] [CrossRef]
- Alamri, M.; Lu, Q. Investigation on the inclusion of reclaimed diluted epoxy asphalt pavement materials into hot mix asphalt. Constr. Build. Mater. 2022, 361, 10. [Google Scholar] [CrossRef]
- Moraes, R.; Anand, A.; Yin, F. Laboratory Approach for the Selection of Compatible Epoxy-Modified Asphalt Binders. Transp. Res. Rec. 2023, 2677, 676–687. [Google Scholar] [CrossRef]
- Qian, Z.D.; Chen, C.; Jiang, C.L.; Smit, A.D. Development of a lightweight epoxy asphalt mixture for bridge decks. Constr. Build. Mater. 2013, 48, 516–520. [Google Scholar] [CrossRef]
- Min, Z.H.; Wang, Q.C.; Zhang, K.; Shen, L.; Lin, G.F.; Huang, W. Investigation on the properties of epoxy asphalt mixture containing crumb rubber for bridge expansion joint. Constr. Build. Mater. 2022, 331, 12. [Google Scholar] [CrossRef]
- Xie, Y.J. Research on Preparation and Properties of Asphalt Plug Joint Materials. Master’s Thesis, Wuhan University of Technology, Wuhan, China, 2014. [Google Scholar]
- JT/T 740; Hot-Poured Sealants for Pavement. Ministry of Transport of the People’s Republic of China: Beijing, China, 2015.
- Li, Z.Z.; Li, K.; Chen, W.X.; Liu, W.D.; Yin, Y.P.; Cong, P.L. Investigation on the characteristics and effect of plant fibers on the properties of asphalt binders. Constr. Build. Mater. 2022, 338, 12. [Google Scholar] [CrossRef]
- Xiong, R.; Fang, J.H.; Xu, A.H.; Guan, B.W.; Liu, Z.Z. Laboratory investigation on the brucite fiber reinforced asphalt binder and asphalt concrete. Constr. Build. Mater. 2015, 83, 44–52. [Google Scholar] [CrossRef]
- ASTM D638-02; Standard Test Method for Tensile Properties of Plastics. ASTM International: West Conshohocken, PA, USA, 2003.
- JTG E20-T 0719; Standard Test Method of Bitumen and Bituminous Mixture for Highway Engineering. Institute of Highway Science: Beijing, China, 2011.
- ASTM D4867; Standard Test Method for Tensile Properties of Plastics. ASTM International: West Conshohocken, PA, USA, 2014.
- ASTM D2136-02; Standard Test Method for Tensile Properties of Plastics. ASTM International: West Conshohocken, PA, USA, 2002.
- Wang, Y.Y.; Sun, L.; Zhou, J. Pavement performance evaluation of recycled styrene-butadiene-styrene-modified asphalt mixture. Int. J. Pavement Eng. 2017, 18, 404–413. [Google Scholar] [CrossRef]
- Kang, Y.; Song, M.Y.; Pu, L.; Liu, T.F. Rheological behaviors of epoxy asphalt binder in comparison of base asphalt binder and SBS modified asphalt binder. Constr. Build. Mater. 2015, 76, 343–350. [Google Scholar] [CrossRef]
- Zhang, J.; Su, W.F.; Liu, Y.; Gong, J.; Xi, Z.H.; Zhang, J.S.; Wang, Q.J.; Xie, H.F. Laboratory investigation on the microstructure and performance of SBS modified epoxy asphalt binder. Constr. Build. Mater. 2021, 270, 13. [Google Scholar] [CrossRef]
- Hassanpour-Kasanagh, S.; Ahmedzade, P.; Fainleib, A.M.; Behnood, A. Rheological properties of asphalt binders modified with recycled materials: A comparison with Styrene-Butadiene-Styrene (SBS). Constr. Build. Mater. 2020, 230, 11. [Google Scholar] [CrossRef]
- Alamri, M.; Lu, Q.; Elmagarhe, A.; Elnihum, A. The Effect of Incorporating 100% of Undiluted and Diluted Reclaimed Epoxy Asphalt Materials into Pervious Cement Mixes. Coatings 2023, 13, 15. [Google Scholar] [CrossRef]
- Tian, J.H.; Luo, S.; Lu, Q.; Liu, S.C. Effects of Epoxy Resin Content on Properties of Hot Mixing Epoxy Asphalt Binders. J. Mater. Civ. Eng. 2022, 34, 11. [Google Scholar] [CrossRef]
- Xu, P.J.; Zhu, Z.; Wang, Y.D.; Cong, P.L.; Li, D.G.; Hui, J.Z.; Ye, M. Phase structure characterization and compatibilization mechanism of epoxy asphalt modified by thermoplastic elastomer (SBS). Constr. Build. Mater. 2022, 320, 11. [Google Scholar] [CrossRef]
- Liu, M.J.; Hu, J.; Sun, J.; Li, Y.H.; Luo, S. Characterization of Roadway Epoxy Asphalt Binder with Different Epoxy Contents. J. Mater. Civ. Eng. 2023, 35, 12. [Google Scholar] [CrossRef]
- Elnihum, A.; Lu, Q.; Alharthai, M.; Alamri, M.; Chen, C.; Elmagarhe, A. Evaluation of an Asphalt Mixture Containing a High Content of Reclaimed Asphalt Pavement (RAP) Materials with Epoxy Asphalt. Sustainability 2024, 16, 23. [Google Scholar] [CrossRef]
- Chen, X.; Chen, Y.; Ma, T.; Gu, L.H.; Shi, S. Study on the performances of epoxy asphalt binders influenced by the dosage of epoxy resin and its application to steel bridge deck pavement. Constr. Build. Mater. 2024, 432, 11. [Google Scholar] [CrossRef]
- Zhou, X.Y.; Ma, B.; Wei, K.; Wang, X.Q. Preparation of shape memory epoxy resin for asphalt mixtures and its influences on the main pavement performance. Constr. Build. Mater. 2021, 267, 11. [Google Scholar] [CrossRef]
- Apostolidis, P.; Liu, X.Y.; Erkens, S.; Scarpas, A. Use of epoxy asphalt as surfacing and tack coat material for roadway pavements. Constr. Build. Mater. 2020, 250, 8. [Google Scholar] [CrossRef]
- Xiang, Q.; Xiao, F.P. Applications of epoxy materials in pavement engineering. Constr. Build. Mater. 2020, 235, 32. [Google Scholar] [CrossRef]

















| Materials | Indicators | Value |
|---|---|---|
| E-51 Epoxy Resin | Epoxy equivalent g/mol | 187 |
| Viscosity (25 °C)/mPa·s | 12,700 | |
| Density/g/cm3 | 1.18 | |
| Curing agent | Viscosity (25 °C)/Pa·s | 0.44 |
| Density/g/cm3 | 0.92 | |
| Dispersion | Light yellow | |
| Base asphalt | Penetration (25 °C)/0.1 mm | 70 |
| Softening point (°C) | 46.7 | |
| Ductility (15 °C)/cm | >100 | |
| Elastic recovery (25 °C)/% | 17.5 | |
| SBR | Proportion | 1.37 |
| Durometer | 78 | |
| 100% tensile strength/MPa | 6 | |
| 200% tensile strength/MPa | 12 | |
| Tearing strength/MPa | 15.2 | |
| Tearing elongation (%) | 310 | |
| Tear elongation retention after aging at 100 °C × 72 h (%) | 76.1 | |
| SBS | Structure | Line |
| Molecular weight (million) | 10 | |
| Block ratio | 20/80 | |
| Volatile (%), ≤ | 0.7 | |
| Ash (%), ≤ | 0.2 | |
| Melt flow rate (g/10 min) | 0.1–5.0 | |
| Tensile strength /MPa | 24 | |
| Tearing elongation (%), ≥ | 730 |
| Indicators | Value |
|---|---|
| Softening point (°C) | 105 |
| Dispersion | 15 |
| Sieve size (mm) | 19 | 12.7 | 9.5 | 4.75 |
| Percent passing (%) | 100 | 42 | 9 | 3 |
| Category | SSEA-1 | SSEA-2 | SSEA-3 | SSEA-4 | SSEA-5 |
|---|---|---|---|---|---|
| Epoxy resin/asphalt/curing agent | 1:2:1.6 | 1:3:1.6 | 1:4:1.6 | 1:5:1.6 | 1:6:1.6 |
| Performances | BJ200 | SSEA-1 | SSEA-2 | SSEA-3 | SSEA-4 | SSEA-5 | |
|---|---|---|---|---|---|---|---|
| High-temperature performance | MS (60 °C, kN) | 4.72 | 9.2 | 7.94 | 7.1 | 6.12 | 4.96 |
| Rutting depth (mm) | 1.689 | 1.523 | 1.851 | 3.672 | 5.74 | 7.804 | |
| DS (time/mm) | 2739 | 6300 | 5385 | 3043 | 1620 | 887 | |
| Water stability | MSR (60 °C) | 78.78 | 109.76 | 108.26 | 106.34 | 103.61 | 101.65 |
| TSR (%) | 69.36 | 98/52 | 97.9 | 97.26 | 96.02 | 95.06 | |
| Low-temperature performance | Bending strength (MPa) | 6.53 | 6.83 | 6.32 | 5.84 | 5.4 | 5.2 |
| Bending strain () | 5100 | 2047 | 2363 | 3675 | 3763 | 3811 | |
| Bending failure stiffness (MPa) | 1592.68 | 3335.11 | 2675.13 | 1589.12 | 1474.2 | 1364.29 | |
| Types of Expansion Joints | BJ200 | SSEA-3 |
|---|---|---|
| Cost (USD/m) | 385.66 | 358.12 |
| Design service life (years) | 10 | 10 |
| Pavement design life (years) | 20 | 20 |
| Number of replacements during pavement life cycle | 2 | 2 |
| Replacement cost (USD/m) | 41.32 | 38.57 |
| Total cost of pavement over its service life (USD/m) | 1239.62 | 1151.5 |
Disclaimer/Publisher’s Note: The statements, opinions and data contained in all publications are solely those of the individual author(s) and contributor(s) and not of MDPI and/or the editor(s). MDPI and/or the editor(s) disclaim responsibility for any injury to people or property resulting from any ideas, methods, instructions or products referred to in the content. |
© 2024 by the authors. Licensee MDPI, Basel, Switzerland. This article is an open access article distributed under the terms and conditions of the Creative Commons Attribution (CC BY) license (https://creativecommons.org/licenses/by/4.0/).
Share and Cite
Liu, X.; Du, B.; Min, Z. Optimizing Thermosetting Epoxy Asphalt with Styrene–Butadiene Rubber and Styrene–Butadiene–Styrene Modifiers for Enhanced Durability in Bridge Expansion Joints. Appl. Sci. 2024, 14, 11842. https://doi.org/10.3390/app142411842
Liu X, Du B, Min Z. Optimizing Thermosetting Epoxy Asphalt with Styrene–Butadiene Rubber and Styrene–Butadiene–Styrene Modifiers for Enhanced Durability in Bridge Expansion Joints. Applied Sciences. 2024; 14(24):11842. https://doi.org/10.3390/app142411842
Chicago/Turabian StyleLiu, Xiaodong, Ben Du, and Zhaohui Min. 2024. "Optimizing Thermosetting Epoxy Asphalt with Styrene–Butadiene Rubber and Styrene–Butadiene–Styrene Modifiers for Enhanced Durability in Bridge Expansion Joints" Applied Sciences 14, no. 24: 11842. https://doi.org/10.3390/app142411842
APA StyleLiu, X., Du, B., & Min, Z. (2024). Optimizing Thermosetting Epoxy Asphalt with Styrene–Butadiene Rubber and Styrene–Butadiene–Styrene Modifiers for Enhanced Durability in Bridge Expansion Joints. Applied Sciences, 14(24), 11842. https://doi.org/10.3390/app142411842
