Experimental Study on the Changes to the Microstructures and Dynamic Mechanical Properties of Layered Sandstone After High-Temperature Treatment
Abstract
1. Introduction
2. Materials and Methods
2.1. Preparation of Sandstone Specimens
2.2. Heat Treatment of the Specimens
2.3. Phase Identification and Microstructure Test
2.4. Quasi-Static Uniaxial Compression and SHPB Impact Test
2.5. High-Speed Imaging and DIC Testing
3. Results and Discussion
3.1. Changes in the Apparent Color After High-Temperature Treatment
3.2. Changes in Mass and Wave Velocity After High-Temperature Treatment
3.3. XRD Phase and TG Analyses of Layered Sandstone After High-Temperature Treatment
3.4. SEM Analysis of Layered Sandstone After High-Temperature Treatment
3.5. CT Scanning of Layered Sandstone After High-Temperature Treatment
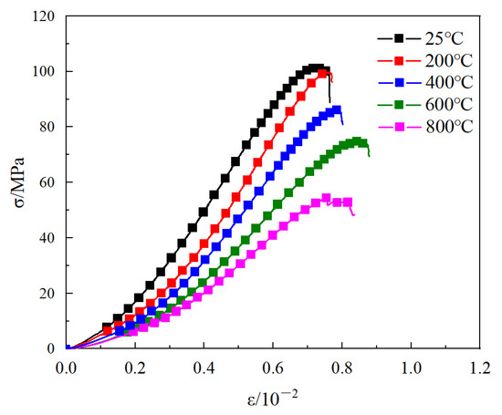
3.6. Static Compression Test of Layered Sandstone After High-Temperature Treatment
3.7. Dynamic Mechanical Properties of Layered Sandstone After High-Temperature Treatment
3.7.1. Evolutionary Patterns of the Dynamic Mechanical Properties
3.7.2. Specimen Fracture Characteristics
3.8. DIC Analysis of the Dynamic Impact of Layered Sandstone After High-Temperature Treatment
4. Conclusions
- (1)
- Once the temperature exceeds 400 °C, the mass loss rate and longitudinal wave velocity attenuation rate in layered sandstone increase significantly. Mass loss in sandstone is closely associated with the gradual dehydration of clay minerals such as illite. At lower temperatures, the main processes include the propagation of primary pores and cracks, along with intergranular cracking. At temperatures above 400 °C, the number of new intragranular hot cracks increases, with failures in the specimen being caused primarily by the interconnection of cracks.
- (2)
- As the temperature rises, the dynamic peak stress and dynamic elastic modulus of layered sandstone drops gradually. When the temperature rises above the threshold of 400 °C, the peak stress drops at a significantly faster rate.
- (3)
- The DIC results show that as the temperature rises, the number of cracks that form owing to the failure of layered sandstone increases significantly, and the range of the pre-failure strain concentration area expands significantly. Cracks in layered sandstone mainly propagate along the weak bedding planes. Increasing the heat-treatment temperature negligibly influences the direction of primary cracks.
Author Contributions
Funding
Institutional Review Board Statement
Informed Consent Statement
Data Availability Statement
Conflicts of Interest
References
- Zou, C.N.; Yang, Z.; Dong, D.Z.; Zhao, Q.; Chen, Z.H.; Feng, Y.L.; Li, J.R.; Wang, X.N. Formation, distribution and prospect of unconventional hydrocarbons in source rock strata in China. Earth Sci. 2022, 47, 1517–1533. [Google Scholar]
- Wang, L.H.; Dong, Y.H.; Yang, C.; Li, S.D.; Li, X. Environmental impacts of shale gas hydraulic fracturing development: A critical review. J. Eng. Geol. 2024, 32, 1447–1458. [Google Scholar]
- Cong, R.C.; Wang, H.Z.; Li, G.S.; Yang, R.Y.; Wang, B.; Liu, M.S.; Zhao, C.M.; Xia, Z.H. Feasibility on exploitation of coalbed methane by SC-CO2 shock fracturing. J. China Coal Soc. 2023, 48, 3162–3171. [Google Scholar]
- Zhang, C.H.; Wang, L.G.; Zhao, Q.S.; Li, W.L. Permeability evolution model and numerical analysis of coupled coal deformation, failure and liquid nitrogen cooling. J. Hebei Univ. Sci. Technol. 2015, 36, 90–99. [Google Scholar]
- Jiang, Y.D.; Xian, X.F.; Yi, J.; Liu, Z.F.; Guo, C.Y. Experimental and mechanical on the features of ultrasonic vibration stimulating the desorption of methane in coal. J. China Coal Soc. 2008, 6, 675–680. [Google Scholar]
- Yang, D.S.; Kang, Y.L.; Wu, J.; You, L.J.; Song, X.; Zhang, B.; Li, X.L. Experimental study on mechanism of high-temperature thermal stimulation in organic-rich shale. J. Xi’an Shiyou Univ. (Nat. Sci. Ed.) 2022, 37, 55–60. [Google Scholar]
- Yu, X.; Wang, Y.; Zhai, C.; Liu, T.; Xu, J.Z.; Sun, Y. Evolutionary characteristics of shale micro-nano pore structures under high temperature-dynamic impact. China Saf. Sci. J. 2023, 33, 137–146. [Google Scholar]
- Shang, X.J.; Zhang, Z.Z.; Xu, X.L.; Liu, T.T.; Xing, Y. Mineral Composition, Pore Structure, and Mechanical Characteristics of Pyroxene Granite Exposed to Heat Treatments. Minerals 2019, 9, 553. [Google Scholar] [CrossRef]
- Zhu, Z.N.; Tian, H.; Jiang, G.S.; Cheng, W. Effects of High Temperature on the Mechanical Properties of Chinese Marble. Rock Mech. Rock Eng. 2018, 51, 1937–1942. [Google Scholar] [CrossRef]
- Zhao, Y.S.; Wan, Z.J.; Feng, Z.J.; Xu, Z.H.; Liang, W.G. Evolution of mechanical properties of granite at high temperature and high pressure. Geomech. Geophys. Geo-Energy Geo-Resour. 2017, 3, 199–210. [Google Scholar] [CrossRef]
- Ma, X.; Wang, G.L.; Hu, D.W.; Liu, Y.G.; Zhou, H.; Liu, F. Mechanical properties of granite under real-time high temperature and three-dimensional stress. Int. J. Rock Mech. Min. Sci. 2020, 136, 104521. [Google Scholar] [CrossRef]
- Xu, H.C.; Yu, A.B.; Zhao, Y.Q.; Wang, B.X.; Wei, L.C. Experimental studies on split mechanical properties and fracture evolution behavior of bedding sandstone after high-temperature treatment. Rock Soil Mech. 2021, 42, 3069–3078. [Google Scholar]
- Zhang, Y.; Li, G.; Wang, X.Y.; Chen, Z.; Li, Z.; Wang, R. Microfabric characteristics of tight sandstone of Xujiahe formation in western Sichuan after high temperature and the effect on mechanical properties. J. Rock Mech. Eng. 2021, 40, 2249–2259. [Google Scholar]
- Li, Y.; Cheng, Y.H.; Zhai, Y.; Wei, S.Y.; Yang, Y.B.; Zhao, R.F.; Liang, W.B. Study on microstructure evolution and dynamic mechanical properties of granite after high temperature. Rock Soil Mech. 2022, 43, 3316–3326. [Google Scholar]
- Ping, Q.; Zhang, C.L.; Sun, H.J. Experimental study on dynamic characteristics of sandstone after different high temperature cyclings. J. Min. Saf. Eng. 2021, 38, 1016–1024. [Google Scholar]
- Ping, Q.; Hou, J.M.; Hu, W.; Qian, M.; Sun, D. Experimental study on dynamic mechanical properties of sandstone with hole under high temperature cycling action. Met. Mine 2024, 10, 76–84. [Google Scholar]
- Li, M.; Mao, X.B.; Cao, L.L.; Pu, H.; Mao, R.R.; Lu, A.H. Effects of Thermal Treatment on the Dynamic Mechanical Properties of Coal Measures Sandstone. Rock Mech. Rock Eng. 2016, 49, 3525–3539. [Google Scholar] [CrossRef]
- Yin, T.B.; Wang, P.; Li, X.B.; Shu, R.H.; Ye, Z.Y. Effects of thermal treatment on physical and mechanical characteristics of coal rock. J. Cent. South Univ. 2016, 9, 2336–2345. [Google Scholar] [CrossRef]
- Yin, S.B.; Li, X.B.; Wang, B.; Yin, Z.Q.; Jin, J.F. Mechanical properties of sandstones after high temperature under dynamic loading. Chin. J. Geotech. Eng. 2011, 33, 777–784. [Google Scholar]
- Zhao, Y.X.; Zhao, G.F.; Jiang, Y.D.; Elsworth, D.; Huang, Y.Q. Effects of bedding on the dynamic indirect tensile strength of coal: Laboratory experiments and numerical simulation. Int. J. Coal Geol. 2014, 132, 81–93. [Google Scholar] [CrossRef]














| Temperature/°C | Porosity/% |
|---|---|
| 25 | 3.0 |
| 200 | 3.9 |
| 400 | 7.5 |
| 600 | 8.2 |
| 800 | 19.4 |
| Serial Number | Temperature/°C | Length/μm | Aperture/μm | ||||
|---|---|---|---|---|---|---|---|
| Minimum Value | Maximum Value | Average Value | Minimum Value | Maximum Value | Average Value | ||
| C-0-1 | 25 | 12.21 | 446.73 | 63.22 | 3.56 | 238.52 | 39.24 |
| C-0-6 | 200 | 14.18 | 494.88 | 68.18 | 5.51 | 290.48 | 40.99 |
| C-0-14 | 400 | 28.36 | 415.05 | 82.97 | 5.68 | 237.23 | 48.69 |
| C-0-16 | 600 | 22.68 | 710.73 | 88.59 | 4.25 | 334.66 | 48.98 |
| C-0-22 | 800 | 23.11 | 729.42 | 98.82 | 6.10 | 371.10 | 56.46 |
| Temperature/°C | Small Pores | Medium Pores | Large Pores | Total Number |
|---|---|---|---|---|
| 25 | 14,054 | 3 | — | 14,057 |
| 200 | 16,778 | 6 | — | 16,784 |
| 400 | 23,498 | 19 | — | 23,517 |
| 600 | 25,873 | 22 | — | 25,895 |
| 800 | 26,180 | 268 | 7 | 26,455 |
| No. | T/°C | Height /mm | Diameter /mm | Density /g·cm−3 | Peak Stress /Mpa | Elastic Modulus /Gpa |
|---|---|---|---|---|---|---|
| C-0-1-1 | 25 | 100.24 | 50.02 | 2.10 | 102.0 | 15.2 |
| C-0-1-2 | 200 | 100.04 | 50.12 | 2.10 | 100.0 | 10.8 |
| C-0-1-3 | 400 | 100.50 | 50.08 | 2.09 | 86.6 | 10.2 |
| C-0-1-4 | 600 | 100.26 | 50.07 | 2.06 | 75.3 | 9.03 |
| C-0-1-5 | 800 | 100.04 | 50.22 | 2.06 | 54.8 | 5.39 |
Disclaimer/Publisher’s Note: The statements, opinions and data contained in all publications are solely those of the individual author(s) and contributor(s) and not of MDPI and/or the editor(s). MDPI and/or the editor(s) disclaim responsibility for any injury to people or property resulting from any ideas, methods, instructions or products referred to in the content. |
© 2024 by the authors. Licensee MDPI, Basel, Switzerland. This article is an open access article distributed under the terms and conditions of the Creative Commons Attribution (CC BY) license (https://creativecommons.org/licenses/by/4.0/).
Share and Cite
Gao, S.; Wu, Y.; Yang, X. Experimental Study on the Changes to the Microstructures and Dynamic Mechanical Properties of Layered Sandstone After High-Temperature Treatment. Appl. Sci. 2024, 14, 11729. https://doi.org/10.3390/app142411729
Gao S, Wu Y, Yang X. Experimental Study on the Changes to the Microstructures and Dynamic Mechanical Properties of Layered Sandstone After High-Temperature Treatment. Applied Sciences. 2024; 14(24):11729. https://doi.org/10.3390/app142411729
Chicago/Turabian StyleGao, Shang, Yueyu Wu, and Xuqing Yang. 2024. "Experimental Study on the Changes to the Microstructures and Dynamic Mechanical Properties of Layered Sandstone After High-Temperature Treatment" Applied Sciences 14, no. 24: 11729. https://doi.org/10.3390/app142411729
APA StyleGao, S., Wu, Y., & Yang, X. (2024). Experimental Study on the Changes to the Microstructures and Dynamic Mechanical Properties of Layered Sandstone After High-Temperature Treatment. Applied Sciences, 14(24), 11729. https://doi.org/10.3390/app142411729
