Research on the Detection Method for Feeding Metallic Foreign Objects in Coal Mine Crushers Based on Reflective Pulsed Eddy Current Testing
Abstract
1. Introduction
2. System Design and Modeling
3. Time-Domain Analytical Solution of the Received Signal
3.1. Time-Domain Analytical Solution of the Received Voltage Signal
3.2. Time-Domain Analytical Solution of the Received Magnetic Induction Intensity Signal
3.2.1. Full-Period Time-Domain Analytical Solution
3.2.2. Time-Domain Analytical Solution for the Rising Half-Cycle
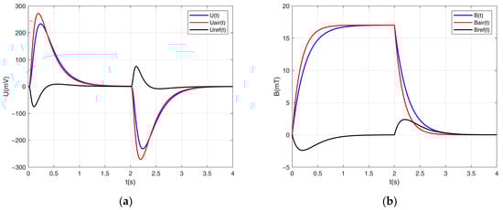
4. Theoretical Simulation and Experimental Verification
4.1. Theoretical Simulation
4.2. Single-Probe Testing Experiment
4.3. Multi-Probe Array Field Experiment
5. Conclusions
Author Contributions
Funding
Institutional Review Board Statement
Informed Consent Statement
Data Availability Statement
Conflicts of Interest
References
- Bi, Y.; Pan, Y.; Li, G. A Mixed-feed Identification Method for Sizer Crusher Based on Squeeze-and-excitation Residual Network. IEEE Sens. J. 2024, 24, 21706–21718. [Google Scholar] [CrossRef]
- Bi, Y.; Pan, Y.; Yu, C.; Wang, M.; Cui, T. An end-to-end harmful object identification method for sizer crusher based on time series classification and deep learning. Eng. Appl. Artif. Intell. 2023, 120, 105883. [Google Scholar] [CrossRef]
- Sophian, A.; Tian, G.; Fan, M. Pulsed eddy current non-destructive testing and evaluation: A review. Chin. J. Mech. Eng. 2017, 30, 500–514. [Google Scholar] [CrossRef]
- Yan, B.; Li, Y.; Liu, Z.; Ren, S.; Chen, Z.; Lü, X.; Abidin, I.M.Z. Pulse-modulation eddy current imaging for 3D profile reconstruction of subsurface corrosion in metallic structures of aviation. IEEE Sens. J. 2021, 21, 28087–28096. [Google Scholar] [CrossRef]
- Gong, Y.; Huang, X.; Liu, Z.; Deng, F.; Wu, Y.; He, C. Development of a cone-shaped pulsed eddy current sensor. IEEE Sens. J. 2022, 22, 3129–3136. [Google Scholar] [CrossRef]
- Han, Y.; Tao, Y.C.; Shao, C.B.; Yan, H.; Peng, Z.Z. Pulsed eddy currents in ferromagnetic pipes with cladding in nuclear power plants. Energy Rep. 2022, 8, 104–111. [Google Scholar] [CrossRef]
- de Haan, V.O.; de Jong, P.A. Analytical expressions for transient induction voltage in a receiving coil due to a coaxial transmitting coil over a conducting plate. IEEE Trans. Magn. 2004, 40, 371–378. [Google Scholar] [CrossRef]
- Qian, M.; Wang, Z.; Zhao, J.; Xiang, Z.; Wei, P.; Zhang, J. Identification and classification of bearing steel bars based on low-frequency eddy current detection method. Measurement 2023, 213, 112724. [Google Scholar] [CrossRef]
- Skarlatos, A.; Theodoulidis, T. A modal approach for the solution of the non-linear induction problem in ferromagnetic media. IEEE Trans. Magn. 2015, 52, 7000211. [Google Scholar] [CrossRef]
- de Haan, V.O.; Scottini, R. Absolute Wall Thickness Measurement of Conducting Plates Using Pulsed Eddy Currents. J. Electromagn. Anal. Appl. 2024, 16, 25–41. [Google Scholar] [CrossRef]
- Theodoulidis, T.; Kriezis, E. Series expansions in eddy current nondestructive evaluation models. J. Mater. Process. Technol. 2005, 161, 343–347. [Google Scholar] [CrossRef]
- Dodd, C.V.; Deeds, W.E. Analytical solutions to eddy-current probe-coil problems. J. Appl. Phys. 1968, 39, 2829–2838. [Google Scholar] [CrossRef]
- Li, Y.; Theodoulidis, T.; Tian, G.Y. Magnetic field-based eddy-current modeling for multilayered specimens. IEEE Trans. Magn. 2007, 43, 4010–4015. [Google Scholar] [CrossRef]
- Li, Y.; Tian, G.Y.; Simm, A. Fast analytical modelling for pulsed eddy current evaluation. NDT E Int. 2008, 41, 477–483. [Google Scholar] [CrossRef]
- Tian, G.Y.; Sophian, A. Reduction of lift-off effects for pulsed eddy current NDT. NDT E Int. 2005, 38, 319–324. [Google Scholar] [CrossRef]
- Skarlatos, A.; Theodoulidis, T.; Poulakis, N. A fast and robust semi-analytical approach for the calculation of coil transient eddy-current response above planar specimens. IEEE Trans. Magn. 2022, 58, 6301609. [Google Scholar] [CrossRef]
- Theodoulidis, T.; Skarlatos, A.; Tytko, G. Computation of eigenvalues and eigenfunctions in the solution of eddy current problems. Sensors 2023, 23, 3055. [Google Scholar] [CrossRef] [PubMed]
- Huang, R.; Lu, M.; Zhang, Z.; Zhao, Q.; Xie, Y.; Tao, Y.; Yin, W. Measurement of the radius of metallic plates based on a novel finite region eigenfunction expansion (FREE) method. IEEE Sens. J. 2020, 20, 15099–15106. [Google Scholar] [CrossRef]
- Wen, D.; Fan, M.; Cao, B.; Ye, B.; Tian, G. Extraction of LOI features from spectral pulsed eddy current signals for evaluation of ferromagnetic samples. IEEE Sens. J. 2018, 19, 189–195. [Google Scholar] [CrossRef]
- Xue, Z.; Fan, M.; Cao, B.; Wen, D. Enhancement of thickness measurement in eddy current testing using a log–log method. J. Nondestruct. Eval. 2021, 40, 40. [Google Scholar] [CrossRef]
- Ma, H.; Zhang, Z.; Yin, W.; Li, Y.; Zhou, G. A Rapid Alloy Classification Method Based on Single-Frequency Eddy Current Sensing. IEEE Trans. Instrum. Meas. 2024, 73, 1–12. [Google Scholar] [CrossRef]
- Qian, M.; Zhao, J.; Yu, X.; Xiang, Z.; Yu, P.; Wang, F.; Zhang, J. Steel grades classification and heating defects detection of bearing steel bars via pulse eddy current testing. Phys. Scr. 2024, 99, 106005. [Google Scholar] [CrossRef]
- Cao, B.; Zhang, Z.; Yin, W.; Wang, D.; Zhang, Z. A Metal Classification System Based on Eddy Current Testing and Deep Learning. IEEE Sens. J. 2023, 24, 3266–3276. [Google Scholar] [CrossRef]
- Huang, P.; Li, Z.; Long, J.; Xu, L.; Xie, Y. Measurement of lift-off distance and thickness of nonmagnetic metallic plate using pulsed eddy current testing. IEEE Trans. Instrum. Meas. 2023, 72, 6006810. [Google Scholar] [CrossRef]
- Solin, A.; Kok, M.; Wahlström, N.; Schön, T.B.; Särkkä, S. Modeling and interpolation of the ambient magnetic field by Gaussian processes. IEEE Trans. Robot. 2018, 34, 1112–1127. [Google Scholar] [CrossRef]
- Tsitsas, N.L. Efficient integral equation modeling of scattering by a gradient dielectric metasurface. EPJ Appl. Metamaterials 2017, 4, 3. [Google Scholar] [CrossRef]
- Jackson, J.D. Classical Electrodynamics; John Wiley & Sons: Hoboken, NJ, USA, 2021. [Google Scholar]
- Brown, J.W.; Churchill, R.V. Complex Variables and Applications; McGraw-Hill: New York, NY, USA, 2009. [Google Scholar]
- Lathi, B.P.; Green, R.A. Linear Systems and Signals; Oxford University Press: New York, NY, USA, 2005; Volume 2. [Google Scholar]
- Abramowitz, M.; Stegun, I.A. Handbook of Mathematical Functions with Formulas, Graphs, and Mathematical Tables; U.S. Government Print: Washington, DC, USA, 2006. [Google Scholar]
- Harrison, D.J.; Jones, L.D.; Burke, S.K. Benchmark problems for defect size and shape determination in eddy-current nondestructive evaluation. J. Nondestruct. Eval. 1996, 15, 21–34. [Google Scholar] [CrossRef]













| Coil Parameters | Receiving Coil | Excitation Coil |
|---|---|---|
| Inner radius (mm) | 2.6 | 7.0 |
| Outer radius (mm) | 5.0 | 12.0 |
| Length (mm) | 3.2 | 7.1 |
| Number of turns | 100 | 745 |
| Liftoff (mm) (same as Hall sensor) | 5 | 5 |
| Inductance value (mH) | 0.06 | 9.1 |
| (μs) | - | 250 |
| Material Name | Mn13 | 42CrMo | Beryllium Bronze | 4A01 | 5A05 | 6061 | 7075 |
|---|---|---|---|---|---|---|---|
| Conductivity (MS/m) | 3.69 | 6.49 | 12.76 | 18.02 | 20.12 | 23.26 | 25.34 |
Disclaimer/Publisher’s Note: The statements, opinions and data contained in all publications are solely those of the individual author(s) and contributor(s) and not of MDPI and/or the editor(s). MDPI and/or the editor(s) disclaim responsibility for any injury to people or property resulting from any ideas, methods, instructions or products referred to in the content. |
© 2024 by the authors. Licensee MDPI, Basel, Switzerland. This article is an open access article distributed under the terms and conditions of the Creative Commons Attribution (CC BY) license (https://creativecommons.org/licenses/by/4.0/).
Share and Cite
Meng, B.; Zhuang, Z.; Ma, J.; Zhao, S. Research on the Detection Method for Feeding Metallic Foreign Objects in Coal Mine Crushers Based on Reflective Pulsed Eddy Current Testing. Appl. Sci. 2024, 14, 11704. https://doi.org/10.3390/app142411704
Meng B, Zhuang Z, Ma J, Zhao S. Research on the Detection Method for Feeding Metallic Foreign Objects in Coal Mine Crushers Based on Reflective Pulsed Eddy Current Testing. Applied Sciences. 2024; 14(24):11704. https://doi.org/10.3390/app142411704
Chicago/Turabian StyleMeng, Benchang, Zezheng Zhuang, Jiahao Ma, and Sihai Zhao. 2024. "Research on the Detection Method for Feeding Metallic Foreign Objects in Coal Mine Crushers Based on Reflective Pulsed Eddy Current Testing" Applied Sciences 14, no. 24: 11704. https://doi.org/10.3390/app142411704
APA StyleMeng, B., Zhuang, Z., Ma, J., & Zhao, S. (2024). Research on the Detection Method for Feeding Metallic Foreign Objects in Coal Mine Crushers Based on Reflective Pulsed Eddy Current Testing. Applied Sciences, 14(24), 11704. https://doi.org/10.3390/app142411704

