Next Article in Journal
Characterization of Grape Extract-Colored SiO2 Synthesized via the Sol–Gel Method
Previous Article in Journal
MIPART: A Partial Decision Tree-Based Method for Multiple-Instance Classification
Previous Article in Special Issue
A Novel Approach to Monitoring the Performance of Carbon-Fiber-Reinforced Polymer Retrofitting in Reinforced Concrete Beam–Column Joints
 
 
Font Type:
Arial Georgia Verdana
Font Size:
Aa Aa Aa
Line Spacing:
Column Width:
Background:
Article

Magnetic Non-Destructive Evaluation of Reinforced Concrete Structures—Methodology, System, and Identification Results

1
Faculty of Computer Science and Telecommunications, Maritime University of Szczecin, Wały Chrobrego 1-2, 70-500 Szczecin, Poland
2
Department of Engineering of Renewable Energy Sources, Faculty of Environmental Management and Agriculture, West Pomeranian University of Technology in Szczecin, Papieza Pawla VI Street 1, 71-459 Szczecin, Poland
3
Faculty of Electrical Engineering, West Pomeranian University of Technology, Szczecin, ul. Sikorskigo 37, 70-313 Szczecin, Poland
*
Author to whom correspondence should be addressed.
Appl. Sci. 2024, 14(24), 11695; https://doi.org/10.3390/app142411695
Submission received: 14 November 2024 / Revised: 10 December 2024 / Accepted: 11 December 2024 / Published: 14 December 2024

Abstract

This paper aims to present a non-destructive magnetic method developed for simultaneously identifying key parameters in reinforced concrete (RC) structures. This method is designed to evaluate concrete structures containing dense reinforcement meshes. The development process of the system is presented step by step. First, the hardware layer of the system is discussed and documented. The proposed modifications to the excitation system enhanced the method’s effectiveness compared to the conventional Magnetic Flux Leakage (MFL) technique. Next, this paper presents the extracted association rules that connect the parameters of the RC structure to the properties of resultant waveforms. The relations are verified with measurement results. Finally, the identification of the model’s design, implementation, and deployment processes are presented. A universal methodology for non-destructive testing investigations was developed and is described throughout the research.

1. Introduction

1.1. Motivation

For over a century, reinforced concrete (RC) has been used worldwide as a primary construction material for structures of any shape and size, like bridges and other infrastructure elements. This strong position, among other concepts, can be attributed to the inherent advantages of the RC concept, which integrates properties such as high compressive strength, flexibility, and comparable thermal expansion characteristics of its constituent materials [1,2,3,4].
Identifying the fundamental parameters of RC structures (the thickness of the concrete cover h, the diameter D of the rebars, and the grade of steel used for the rebars represented by class) is a matter of substantial importance from the perspective of investors and construction inspectors. Investigations of this kind allow for the compliance of structural parameters and the materials used with the design specifications to be verified. Such tests can be conducted during construction, as acceptance tests (assessing the conformity of the works executed with the project), or during the renovation and modernization of old structures (examining their parameters and properties). This type of evaluation is typically conducted through destructive testing (removing the concrete cover and direct visual inspection). Replacing destructive techniques with non-destructive testing methods would significantly accelerate the testing process and reduce costs, making the tests more commonplace and contributing to enhanced safety. Therefore, developing new NDT (non-destructive testing) methods designed to inspect RC structures is an issue of high practical importance [1,2,3,4].
Currently, only electromagnetic and some mechanical techniques are suitable for the direct, non-destructive evaluation of reinforcing bars [3,4,5,6,7,8]. Mechanical methods are more universal, while electromagnetic techniques are dedicated mainly to testing metal elements (like rebars). Among electromagnetic techniques, the eddy current (EC) method is frequently regarded as the preferred approach for assessing RC structures. However, in recent years, advancements in magnetic sensor technology have led to a significant increase in the popularity of magnetic methods. Systems of this kind are easier to implement and more cost-effective than EC techniques [3,4]. One of the most promising techniques from the magnetic group is the Magnetic Flux Leakage (MFL) method [3,4]. The MFL is used for rebar detection and the mapping of the entire reinforcement grid [3,4,7,8,9,10,11,12,13].
Additionally, it can be utilized to detect corrosion in post-tensioned and precast prestressed strands in concrete girders or other forms of reinforcement damage [3,4,14,15,16,17,18]. In some instances, the MFL method has also been applied to ascertain the thickness of the concrete cover [7,8,9,10] and the diameter of the reinforcing bars [7,8,9,10] or to classify the grade of rebar steel [7,8]. However, simultaneously identifying all three fundamental parameters (h, D, and class) with this method presents a severe challenge. Another critical issue is the identification of the parameters for a specific rebar situated within a reinforcement grid. The typical edge of the eye in mesh reinforcement ranges from 10 to 20 cm. Simulations, preliminary magnetic measurements, and previous studies [6,19] have demonstrated that this distance is only sometimes adequate to ensure that the influence of adjacent bars on measurement outcomes is negligible. The interaction between neighboring rebars can distort the obtained results and lead to erroneous classifications. This paper aims to present a magnetic method that is designed to solve both of these problems.

1.2. Non-Destructive Methods of Testing Concrete Structures

Research on reinforced concrete structures encompasses a range of methods, including destructive testing (which results in the complete failure of the specimen), semi-destructive testing (which inflicts damage necessitating subsequent repairs), and non-destructive testing (NDT) methods. NDT techniques are typically more cost-effective and less time-consuming than their destructive counterparts.
NDT does not compromise the tested structure’s operational integrity or require repairs following the testing completion. Different non-destructive testing (NDT) methods can identify various parameters. Figure 1 presents the parameters that can be tested with this kind of method. A detailed review of these NDT techniques used in structural diagnostics, along with their applications, benefits, and limitations, is presented in [5].
The NDT methods utilized in construction engineering are usually specifically designed to evaluate the condition of the concrete [20,21,22]. Some of these methods are utilized indirectly to assess the risk of corrosion in reinforcing bars by examining the carbonation levels in concrete. These techniques can be categorized into three groups:
  • Electrical Methods: This category encompasses techniques such as the Half-Cell Potential method, which evaluates the electrochemical potential difference between a reference electrode and the embedded reinforcement, indicating the likelihood of corrosion [5,23,24]. Additionally, resistivity measurement methods assess the electrical resistivity of concrete, which correlates with its susceptibility to corrosion [5,25,26,27].
  • Methods for Testing Concrete Hardness: this group includes tools such as the Schmidt hammer and Windsor probe, which evaluate concrete’s hardness as a proxy for its overall condition and durability [3,4,5,28,29].
  • Chemical Methods: these methods involve phenolphthalein and rainbow tests, which chemically assess carbonation depth and provide insights into the potential for corrosion in reinforcing bars [3,4,5,28,29].
A comprehensive evaluation, using a simultaneous examination of concrete and reinforcement, can be conducted by the following techniques:
  • Ultrasonic Testing (UT)—methods of this kind allow for structural properties to be investigated by analyzing the propagation of mechanical waves (reflections and scattering phenomena). An example of an ultrasonic technique is the Multi-Channel Ultrasonic Pulse Echo method. In this technique, multiple ultrasonic transducers transmit and receive pulses simultaneously, enabling faster data acquisition across a larger area than single-channel systems. The transducers emit short bursts (pulses) of ultrasonic sound waves into the structure. These waves penetrate the material and reflect back (echo) upon encountering heterogeneities such as rebar. By measuring the time it takes for the echo to return, the distance to the reflecting surfaces can be determined [3,4,5,30,31,32,33,34,35].
  • Acoustic Emission Testing (AE)—wherein mechanical waves generated by the tested structure are recorded and used for analysis [3,4,5,36,37,38,39,40,41].
  • Low-Frequency Mechanical Wave Testing (vibrational methods) involves assessing the structure’s natural vibrations through modal analysis techniques [42,43].
  • Infrared Thermography (IR) allows for thermal properties to be evaluated by monitoring the structure’s heating and cooling processes [3,4,44,45,46,47].
These four groups of methods allow the investigation of rebars in reinforced concrete structures. However, their effectiveness is inherently limited. The influence of multiple factors on the results causes this limitation. The most important factors are the concrete cover’s thickness, the concrete mix’s composition, the type and quantity of used aggregate, air voids within the concrete, contamination, cracks, and other irregularities [3,4].
Moreover, a thick concrete cover makes evaluating rebar parameters impossible in thermography and modal analysis. Among these universal methods, ultrasonic testing has been shown to provide the most reliable results for evaluating reinforcement. Nonetheless, this technique has limitations, and the effects of concrete properties on the test outcomes are significant [3,4].
Electromagnetic techniques are the only group of methods dedicated explicitly to directly examining rebars. Their primary advantages over other methods include direct interaction with the reinforcement, the low damping of electromagnetic waves by concrete, and a variety of operational principles and potential applications. This diversity arises from the broad spectrum of excitation frequencies available; different physical phenomena are utilized at various wavelengths [5]. This changes parameters such as effective range and spatial resolution and allows for studying different parameters, leading to various advantages, disadvantages, and limitations. Figure 2 shows the fundamental electromagnetic non-destructive testing (NDT) methods [5].
The rebars in the RC structure are situated at a considerable distance from the sensor. Typically, the thickness of the concrete cover ranges from 20 to 50 mm. In such cases, the eddy current (EC) method is the first choice. This method’s practical operational range extends from 0 to 60 mm. The EC method can be successfully applied to detect the presence, distance from the sensor (concrete cover thickness), position, diameter, and steel grade of reinforcing bars [44,48,49,50,51,52].
In some cases, the EC method can also detect changes caused by corrosion [53,54,55]. The parameters of the method can be regulated by excitation frequency. Higher frequency causes higher spatial resolution and a lower effective range. However, the size of the transducer also impacts on the results. Small-size devices have higher spatial resolution and lower ranges (Figure 3) [44].
As illustrated in Figure 3, a single transducer can be highly effective. However, its efficacy is limited to the relatively narrow spectrum of concrete cover thicknesses. In EC transducers, the excitation subsystem may be realized in many different ways, from the coil excited by a single or multi-frequency signal [44] through pulsed excitation [56,57] to rotating magnets [58,59]. Nonetheless, in all cases, the excitation subsystem is integrated with the pickup sensor, which may cause problems in densely reinforced structures. The interaction between adjacent reinforcing bars can distort the obtained results and lead to erroneous classifications [44].
Issues with the EC method are significantly reduced in the case of the magnetic method presented in this paper. The technique is applicable across the entire range of typical concrete cover thicknesses and can be used even in the case of dense reinforced mesh within the RC structure. Additionally, magnetic systems are generally easier to implement and provide greater cost-effectiveness compared to EC techniques [5,6]. In 2023, the market size of magnetic sensors was estimated at USD 3.25 billion and is expected to reach USD 4.76 billion by 2028, growing at 7.91% per year. The development of magnetic technologies causes these changes. Recent advancements have substantially improved the performance parameters of these sensors. As shown in this paper, the correctness of the classification is comparable to or even better than that of the EC test case. The method can also be effectively utilized even in a passive configuration that leverages residual magnetization. Furthermore, measuring the spatial components of magnetic induction proves to be highly beneficial for non-destructive evaluation, enabling new possibilities in identification [8,60,61].
Ground-Penetrating Radar (GPR) is another technique that can be used to assess reinforced concrete (RC) structures. GPR emits high-frequency electromagnetic waves into the tested object and analyzes the reflected waves. This method allows for the detection of rebars at depths ranging from several centimeters to over ten meters, which significantly surpasses the maximum detection range of EC and MFL methods, typically limited to less than 0.2 m. The GPR is designed and particularly effective for rapid area assessments. However, interpreting the results can be complex, and the method’s accuracy is constrained. Moreover, GPR is often unsuitable for typical concrete cover thicknesses, which are generally too shallow for effective radar penetration, limiting its practical applications. Additionally, GPR equipment costs are relatively high [62,63,64,65].
Radiography is a highly effective electromagnetic method that can be used to evaluate RC structures (including corrosion detection). The method employs radiation (X-rays or gamma rays) to assess the density of the tested material (the degree of penetration contingent upon the material’s density and thickness). A detector captures the transmitted or reflected radiation (Backscatter X-ray). Radiography is primarily designed for area testing, and the results are straightforward to interpret. Nonetheless, the method has several critical constraints. Typically, the radiation source and detector must be positioned on opposite sides of the object under examination, which can complicate the testing procedure. Additionally, this method poses health risks to personnel due to exposure to ionizing radiation, thus limiting its applicability in many cases [5,66].

2. Measuring System, Materials and Methods

2.1. Methodology

2.1.1. Data Acquisition and Exploration Process

Knowledge acquisition from the measurements utilizing non-destructive testing (NDT) methods can be modeled using a framework analogous to the classic CRISP-DM (Cross Industry Standard Process for Data Mining) [67,68,69]. The CRISP-DM model is an iterative algorithm with seven stages and feedback loops.
The initial step entails a comprehensive understanding of the problem and the physical phenomena associated with the employed NDT method. This phase encompasses a thorough literature review and simulation studies.
The next step is the preparation of samples and measurement system setups.
The subsequent step focuses on data comprehension. During this phase, measurements are carried out. Attributes used to represent waveform features are defined and used to extract association rules between sample changes and corresponding changes in the acquired measurement. The rules are extracted through visualization techniques, statistical analyses, and dedicated algorithms such as Apriori [70]. Additionally, at this stage, measurement results are compared with simulation outcomes. Preliminary analyses often reveal the necessity for adjustments to the laboratory setup and may require repeated measurements, frequently necessitating multiple iterations.
Data preparation is undertaken to facilitate identification using machine learning in the third step. This process may involve outlier removal, normalization, quantization, discretization, curve smoothing, etc. Furthermore, this stage may necessitate revisiting prior steps. For instance, while outlier removal might uncover new previously obscured relationships, curve smoothing can either enhance or obscure these relationships (thereby, it is essential to choose appropriate tools and their configurations).
The modeling stage involves developing the identification model. At this step, attributes are modified and selected. Techniques such as aggregation, filtering, wrappers, or more advanced methodologies like the rough set theory [71,72] or Principal Component Analysis (PCA) are applied for these purposes. Next, various classifiers and identification algorithms are evaluated using cross-validation or an expert system.
At the next stage, the researcher possesses a fully operational identification model. This step aims to resolve any outstanding uncertainties and validate the appropriateness of specific solutions and configurations. A negative assessment of the model necessitates a comprehensive reevaluation of all preceding stages, commencing with understanding the method and the characteristics of the object under investigation (as various influencing phenomena may need to be adequately considered).
The final step is model deployment. In this stage, new samples with unknown parameters are identified. The efficacy of this identification process is well established and known as it has been subjected to prior examination.
Figure 4 illustrates the sequential stages of knowledge acquisition and the most frequently encountered feedback loops inherent to this model, which has been adapted to the specifics of NDT.

2.1.2. Simulations

Simulation studies constitute an essential component of the initial stage in the modified CRISP-DM model. This stage is crucial for understanding physical phenomena and interactions in the process.
The experiments were conducted utilizing the finite element method through the commercial software COMSOL v6.0. Initially, the tests were conducted to evaluate theoretically developed concepts and design preliminary versions of the laboratory system. Simulations facilitated the prediction of measurement outcomes and the efficacy of specific solutions. After the simulation phase, laboratory systems were constructed, and empirical measurements were executed. Another essential function of the simulations is to verify and validate the obtained measurement results by comparing them with simulation results. The results of the simulations are presented in [8].

2.1.3. Features Extraction

The simultaneous identification of three different parameters based on the same data is a complex and challenging issue. Various changes in the structure can exert remarkably similar effects on the measurement waveform. For instance, a change in concrete cover thickness may influence the results similarly to a simultaneous change in the diameter and type of steel.
Extensive research on magnetic and eddy current methods [7,44] has shown that a critical factor for effective identification is the method of feature extraction used to determine the attributes that describe the waveform. During the extraction process, special attention should be paid to the following limitations and conditions:
  • The number of attributes utilized in the model should be minimized to mitigate the curse of dimensionality.
  • The attributes incorporated into the model must accurately reflect the shape and parameters of the measured waveforms.
  • The attributes should be independent of one another and exhibit a possibly low correlation. Dependent or highly correlated attributes exacerbate the curse of dimensionality without providing substantial valuable knowledge [7,44].
Although determining attributes that describe the waveform is essential for effective identification, this process is often undervalued. The research conducted in this domain followed an iterative approach consistent with the CRISP-DM model. Consequently, six general methods for attribute determination were considered. While each successive method was developed through enhancements of its predecessors, each possessed specific advantages and may be optimal depending on the specifics and goals of the research problem. The evolution of these methods is illustrated in Figure 5.
The simplest method to extract signal or waveform features involves dividing the domain of the independent variable into equal intervals. Amplitude values (attributes) are read for subsequent positions (equally spaced from each other) on the independent variable. The method’s concept is similar to resampling. The procedure is straightforward to implement, but to accurately reflect the shape of the waveform, numerous attributes must be defined. Past research on both eddy current and magnetic methods [7,44] has proven that significant improvements in identification accuracy are achieved by determining the amplitude as a separate attribute. Then, the waveform is normalized, and the features are extracted from the normalized curve. This sequence of actions allows the decoupling of shape attributes from amplitude attributes. However, even better results are obtained by dividing the domain of the amplitude into equal intervals. This modification (in this method, instead of dividing the independent variable on the abscissa axis, the ordinate axis was segmented into equal intervals) enables an automatic increase in the frequency of attribute sampling in regions where the waveform amplitude changes faster (proportionally to the derivative of the waveform), thereby facilitating a more accurate representation of the waveform’s shape. A drawback of this solution is the potential for assigning more than one abscissa axis value to a given amplitude value.
The foremost advantage of all three methods for determining attributes through equal partitioning is their capacity to derive attributes without understanding the association rules between waveforms and structural parameters. Therefore, prior knowledge of the studied process is not a prerequisite. Consequently, these methods can be broadly applied across various contexts and are well-suited for an intermediate step in developing final identification models.
Conversely, a significant limitation of these approaches is the requirement to generate a substantial number of features to accurately represent the waveform’s shape. Many attributes can be beneficial for exploring association rules (facilitating a more nuanced understanding of the relationships between waveform parameters and structural characteristics) but also cause problems with building identification models. As the number of attributes increases, the problem’s dimensionality exponentially escalates the requisite size of the database (the number of records). This phenomenon is commonly referred to as the curse of dimensionality. Furthermore, in the NDT investigations, it is often observed that all shape attributes are highly correlated. A significant reduction in the attribute number is required for these two reasons. Usually, the number should be five at most. Techniques such as aggregation, filtering, wrappers, or more advanced tools like the rough set theory [71,72] and Principal Component Analysis (PCA) may be employed to achieve this reduction. However, selecting relevant attributes is inherently time-consuming and highly subjective, requiring expertise and extensive empirical testing to identify appropriate tools effectively [7,44].
The process of determining and selecting features of the waveform typically requires a specific compromise between reducing the number of attributes (reduction) and accurately capturing the shape of the waveform. The method of characteristic points can be used to minimize or entirely circumvent the need for reduction. Before determining the final attributes, it is usually helpful to investigate the association rules between the waveforms and the parameters of the studied structure. It can be achieved through mathematical analysis, statistical methods, graphical representations, and algorithms for discovering association rules, such as the Apriori algorithm (market basket analysis) [70]. Then, characteristic points are defined based on the results of the analyses. The tests can show which parameters of the waveform exhibit variability in response to changes in specific structure parameters. Also, using equal partition methods and reducing the number of attributes can uncover association rules and identify characteristic points.
Particular emphasis is often placed on extreme values (both local and global) and inflection points, along with their coordinates. The number of attributes obtained through the method of characteristic points is typically small, rendering further reduction either straightforward or entirely unnecessary. However, it is essential to note that significant information regarding the shape of the waveform may be lost during this process (resulting in an imprecise representation). Consequently, this method is predominantly effective in standard, predetermined cases. For instance, the method of characteristic points has been applied in studies using the multi-frequency eddy current method (MMFM) [7,44].
The approximation method can be considered as an enhancement and extension of the characteristic points method. This approach sometimes allows describing (with high precision) a given curve (waveform or signal) using only a few parameters. Attributes are generated by fitting the mathematical function to the waveform with an approximating function and determining the parameters of that chosen function (the parameter values are considered as the attribute values). This method proves particularly effective when a theoretical description of the process is known or a specific function is fitted to the observed curve. Using universal solutions, such as polynomial functions, often leads to inadequate shape representation or representing the waveform with too many attributes, which subsequently leads to the need for further reduction.
ACO (amplitude–correlation–offset) decomposition is a method (presented in [7]) that does not require prior knowledge of the studied process or the huge attribute processing and selection stage. The method uses ACO attributes created by comparing the parameters of the tested and the reference waveforms. Created predictors are entirely independent of each other. Defining amplitude (A) and offset (O) is usually straightforward. However, accurately reflecting the shape of the waveform presents a more complex challenge, as attributes of this nature can exhibit considerable variability and must be defined explicitly for each study. Building upon insights derived from studies on the approximation method, ACO decomposition characterizes the shape of the investigated waveform through a comparative analysis with a reference curve. This process facilitates the determination of a singular universal shape parameter cross-correlation (C), thereby enhancing the versatility of the ACO method.
Attributes A and O are essential for effective identification. Parameter C facilitates the detection of various anomalies, including noise, outliers, and completely erroneous measurements (method error). The ACO decomposition retains nearly all the advantages of the approximation method and minimizes the number of features. Moreover, this method obviates the need to define a function that accurately reflects the waveform.
A significant advantage of this method is its universality. Similarly to equal partition methods, it can be applied in nearly any situation (including as an intermediate step in constructing the target model). The only prerequisite is the availability of a reference measurement. Furthermore, ACO can serve both as an attribute extraction method in the classical identification process (where the studied waveform is matched to the most similar class from the training database) and as a pattern recognition method (in which extensive training databases are not required).
In the case of investigating reinforced concrete structures using electromagnetic NDT methods, obtaining a representative database can be challenging or even impossible. The parameters associated with reinforcement are standardized solely in terms of mechanical properties rather than electromagnetic characteristics. The precise composition of reinforcing steel is typically proprietary information maintained by the manufacturer. Consequently, similar reinforcement bars from different producers may yield divergent results in magnetic testing. Additionally, variations in additives incorporated into concrete can further influence these outcomes. Therefore, a database compiled for the specific examination may prove ineffective when applied to other constructions.
ACO decomposition is a referential method. Therefore, a comprehensive database is not required. This reference measurement can be obtained from a specially prepared sample or at a location where it has been confirmed that the object’s parameters and materials align with the established design specifications. The acceptance test can be conducted by assessing how significantly a given measurement diverges from the reference measurement.

2.1.4. Extraction of Associations Rules

Investigating the relationship between the physical parameters of the structure and the parameters of the waveform obtained as a result of the structure testing is a process that is difficult to standardize. Typically, the investigation begins with measurement analysis using various kinds of charts. The next step often involves determining the coordinates and values of the extremes and inflection points, followed by their description using selected statistics. A boxplot can be used for this purpose (an example of a boxplot is presented in Figure 6).
One of the most valuable tools for uncovering the relationships between physical parameters and the measurement waveform is using algorithms designed explicitly for association rule mining, such as the Apriori algorithm. While more attributes may not be advantageous in the identification process, it facilitates a more comprehensive examination of the association rules and their statistical characterization. Ultimately, this deeper analysis contributes to an enhanced understanding of the underlying processes and aids in developing a more effective identification model [73,74,75,76,77].
To investigate association rules, it is necessary to create a database containing comparisons of records in which structures differ by only one parameter (with the smallest possible change). The detected dependencies can belong to three classes: increase (↑), decrease (↓), or no change (-). In general terms, a rule is expressed as follows (1):
If (BODY) Then (HEAD) [support, confidence]
BODY (A) refers to the change in a specific parameter of the structure, while HEAD (B) denotes the change in a specific parameter of the waveform. The quality of the rule is characterized by two percentage indicators: support and confidence. Support is defined as the ratio of the number of records in which the rule occurs to the total number of records in the database (D), which is expressed by Equation (2):
supp   ( A ) = # d i D : A d i # D P ( A )
The term confidence quantifies the conditional probability that the entire rule will be observed, contingent upon the presence of the BODY (A). This parameter can be mathematically represented as follows (3):
conf A B = supp   ( A B ) supp   ( A ) P ( B | A )
The method employed for discovering association rules resembles the classical Apriori algorithm. It is predicated on the observation that interesting rules are derived exclusively from frequent item sets, defined as those for which the support exceeds the minimum support threshold established by the researcher. However, three significant modifications were introduced compared to the classical algorithm:
  • Set A encompassed only the physical parameters of the structure, while Set B consisted solely of attributes that described the examined waveform.
  • The length of the BODY was constrained to a single element from set A.
  • Depending on the architecture of the database, it was permissible to omit support as a limiting criterion.
The implementation of these modifications resulted in the exclusion of a substantial majority of generated rules, thereby retaining only those that elucidated the relationships between variations in specific structural parameters and the resultant changes they induced [73,74,75,76,77]. The algorithm utilized for deriving association rules is presented in Figure 7.
The modifications implemented facilitated a substantially reduced number of potential combinations, decreasing it from 2X−1 to #A×2#B−1, where X = #A + #B represents the total number of parameters. This reduction enhances the algorithm’s efficiency by limiting the search space for association rules.

2.1.5. Filtering and Signal-to-Noise Ratio

Magnetic tests are sensitive to interference and noise. This problem intensifies as the concrete cover thickness increases. Filtration is a prevalent method for enhancing identification outcomes in such situations. Filters smooth the noisy waveform, which allows for the standard deviation of attributes to be lowered and the accuracy of identification to be improved. Empirical tests have indicated that for waveforms where the impact of noise is not pronounced, the application of a median filter is often adequate (with cover thickness below 35 mm). In instances where the waveform demonstrates slow variation (such as a Gaussian distribution) and noise is stronger, both the Savitzky–Golay and the Butterworth filter may be employed. The parameter selection for the Savitzky–Golay filter is generally straightforward. However, frequency filters like the Butterworth filter remain the preferred solution due to their superior performance and versatility.
Investigations into the magnetic method have revealed that in scenarios where an effective approximation function has been successfully fitted (the approximation method for attribute extraction), replacing the original waveforms with their corresponding approximation functions can be a viable alternative to filtering.
The noise level of the waveforms was studied using the SNR (Signal to Noise Ratio). The parameter is given as follows (4):
S N R = 20 l o g A s i g n a l l o g A n o i s e

2.2. Measuring System and Samples

2.2.1. Samples

The schematic picture of the sample and parameters are presented in Figure 8.
The RC structures are characterized by three principal parameters: the thickness of the concrete cover (h), the diameter of the reinforcing bars (D), and the class of rebar steel. The class parameter delineates the ductility and hardness of the alloy. The samples used in the experiments had the following parameters:
  • Concrete cover thickness—range of 20–70 mm with increments of 10 mm (six classes from h20 (20 mm) to h70 (70 mm)—typical values in RC structures: from 20 to 50 mm;
  • Rebar diameters—two classes D10 (10 mm) and D12 (12 mm);
  • Alloy classes—three classes: AI (characterized by maximum ductility and minimum hardness), AIII (exhibiting low ductility and high hardness), and AIIIN (featuring minimum ductility and maximum hardness) [78].
Used materials (like rebars) are standard within the construction industry and are readily available, thereby enhancing the practical relevance of the experiments conducted in civil engineering. The magnetic relative permeability of concrete is influenced by its composition. They typically range from approximately 1.000001 to 1.000003. In contrast, the relative magnetic permeability of steel is usually more than a hundred times higher. As a result, concrete has a negligible effect on the results of magnetic measurements [79,80]. Consequently, the properties of concrete are not discussed in detail in this paper.

2.2.2. Excitation

The proposed magnetic method modifies Magnetic Flux Leakage (MFL) technology. The MFL technique’s fundamental principle involves detecting changes in the magnetic field distribution generated through excitation. The typical configuration is presented in Figure 9. Variations in the magnetic field distribution are induced by inhomogeneities within the examined material. Corrosion, cracks, or other forms of structural damage may cause such inhomogeneities.
In this work, the classic MFL method was adapted to assess reinforcement within reinforced concrete structures. To significantly enhance its effectiveness, three modifications were introduced:
  • The excitation system comprises two neodymium magnets. This modification enables the use of the hardware setting where the magnets are orientated to the sample with the same poles (referred to as Same Pole Magnetization, or SPM) and the adjustment of the distance between the magnets.
  • The magnets are positioned directly above the reinforcing bar under inspection, thereby minimizing the influence of adjacent bars within the reinforcement grid on measurement outcomes.
  • The magnets are separated from one another by a distance of 1000 mm and from the detector by approximately 500 mm. This configuration ensures the adequate magnetization of the reinforcing bar and minimizes the magnets’ direct influence on the detector. Furthermore, this arrangement supports the development of an area testing transducer with a large measurement area (array of the sensors [8]).
Three magnetization methods were tested (Figure 10). In the first case, a passive variant was analyzed (NoM, or No Magnetization); in the second case, the magnets were oriented with opposite poles directed toward the reinforcing bar (OPM, or Opposite Pole Magnetization); and in the final case, the magnets were faced with the same poles toward the reinforcing bar (SPM, or Same Pole Magnetization) [6].

2.2.3. Measuring System

One of the most significant advantages of magnetic non-destructive testing systems is their straightforward design. The developed measurement system comprised four distinct subsystems: an excitation subsystem, a positioning robot, a magnetic field sensor (HMC5883L, Honeywell, Morris Plains, NJ, USA) [81], and a data acquisition subsystem. The block diagram of the system is shown in Figure 11.
The excitation subsystem consisted of two stationary neodymium magnets. These magnets were placed on the surface of the specimen, directly above the reinforcing bar under investigation (Figure 10c). The positioning subsystem (XYZ scanner) was utilized to move the magnetic sensor within the measurement area on the surface of the specimen. During the measurement process, the sensor captured the spatial components of the magnetic induction. The data obtained in this manner were transmitted to a computer (data acquisition subsystem). Figure 10c illustrates the placement of selected measurement system components on the specimen.
The selection of the sensor was informed by several significant parameters, including the following:
  • The capacity to measure orthogonal components of static magnetic fields;
  • Frange ± 8 gauss;
  • A small size (facilitating the construction of sensor arrays).
These specifications can be fulfilled by Hall effect sensors, Anisotropic Magnetoresistance (AMR) sensors, Giant Magnetoresistance (GMR) sensors, and Magneto-Optical (MO) sensors. Finally, the AMR sensor (HMC5883L) was selected. This kind of sensor not only meets the essential requirements but also offers the capability to measure the spatial components of magnetic induction (Bx, By, and Bz), possesses the ability to detect negative values (facilitating polarization recognition), reduces the risk of damage in the event of exceeding the measurement range, ensures simplicity in the measurement system’s design, and cost-effectiveness. Moreover, it possesses high sensitivity and resolution.

3. Results

3.1. Magnetization

Studies [6] demonstrate that the magnetization method influences both the amplitude and offset of the waveform (Table 1). However, the magnetization method does not alter the overall shape of the waveform. Figure 12 compares the normalized waveforms (reflecting the waveform shape) obtained for different magnetization methods.
Magnetization, regardless of type, enhances the predictability of magnetic measurements, enabling the use of amplitude and offset parameters in analytical and identification processes. Without magnetization, these parameters exhibit random variability (caused by unknown residual magnetization), limiting the identification to waveform shape attributes alone. The considerable diversity can be observed based on Figure 13 (samples P3 and P4 (NoM)) [6].
Another critical parameter in the identification process is the signal-to-noise ratio (SNR). Figure 13 illustrates a comparative analysis of the SNR (calculated according to (4)) across different magnetization methods.
Experimental results indicate greater predictability with the Opposite Pole Magnetization (OPM) compared to the Same Pole Magnetization (SPM). Transitioning from the conventional OPM configuration to the SPM significantly enhances the signal amplitude, repeatability, and signal-to-noise ratio. Consequently, the SPM method was selected for subsequent investigations [6].

3.2. Association Rule Mining: Extraction and Analysis

This section outlines and comprehensively analyzes the fundamental association rules derived from variations in cover thickness, the reinforcing bar diameter, and steel class.
The investigation of the association rules commences with the selection of reference measurements. Subsequently, ACO attributes are computed. Following this, pairs of records that differ by a single parameter are identified. In the case of concrete cover thickness, the records can vary only by a single value of 10 mm. Next, the values of the attributes are quantified. Finally, utilizing the algorithm shown in Figure 7, the effects of variations in this specific physical parameter (designated as change in the table) on the attribute changes are evaluated. Additionally, metrics for support and confidence are calculated and presented in the subsequent rows of the tables.

3.2.1. Concrete Cover Thickness

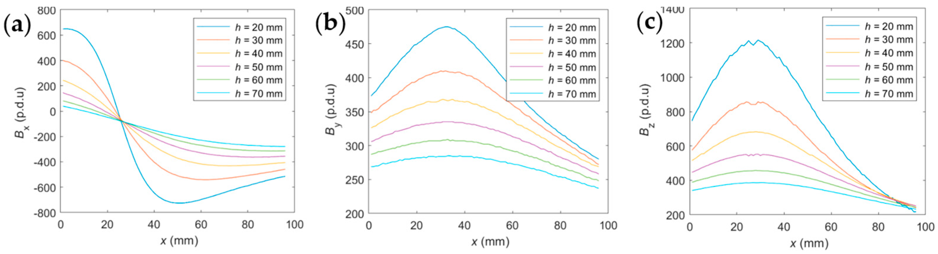
Examples of measurements along the X-axis obtained for six different h are shown in Figure 14.
The association rules derived from the investigations into concrete cover thickness (h) exhibited a robust and unambiguous nature. The high confidence level can be attributed to the fact that variations in cover thickness were implemented with a relatively large increment of 10 mm during measurements. This substantial confidence level indicates the potential to detect variations smaller than 10 mm with high reliability. The fundamental association rules on variations in concrete cover thickness are summarized in Table 2.
The derived, basic association rules can be expressed as follows:
If (h ↑), then (A (Bx) ↓) [support = 100%, confidence = 57%].
Furthermore, the algorithm is capable of identifying more complex association rules, such as the following:
If (h ↑), then (O (Bx)—and O (By) ↓ and O (Bz) ↑) [support = 56%, confidence = 57%].
The analysis of association rules facilitates the rapid detection of all relations between the changes in the examined physical parameter and variations in the features of measurement waveforms. However, it does not permit the investigation of numerical dependencies. The data presented in Table 2 indicate that variations in concrete cover thickness (h) have a pronounced effect on the shapes, amplitudes, and offsets of the waveforms of magnetic induction spatial components (Bx, By, Bz). One of the two exceptions is O (Bz), with an ambiguous association rule. Moreover, in the case of the Bx parameter, the offset remains constant and is equal to the value of Bx measured directly above the reinforcing bar. The independence of the O (Bx) attribute value from one of the parameters represents a significant advantage in the identification process.
The subsequent step after identifying association rules involves examining numerical relationships. Figure 15 illustrates the relationship between the waveform shape and concrete cover thickness.
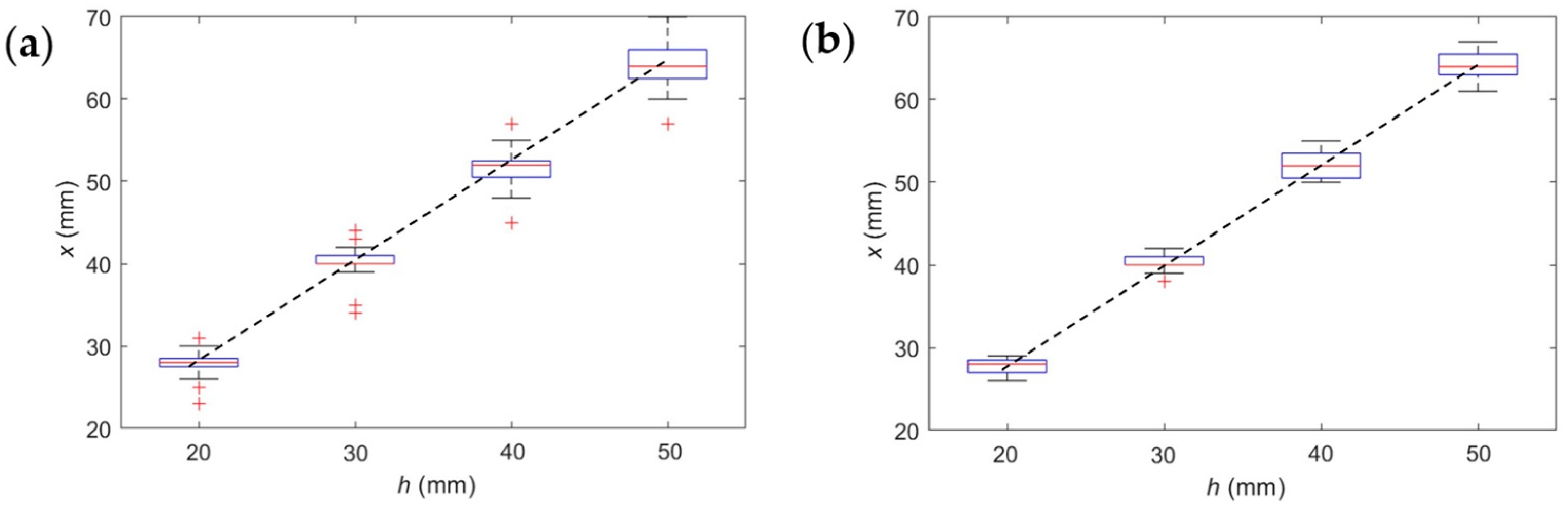
The subsequent step in examining the numerical dependencies involves characterizing the waveform shape through specific features. In this context, the coordinates of extrema and inflection points along the X-axis can be utilized as descriptive metrics. An illustrative example of this approach is presented in Figure 16, which demonstrates how the coordinates of the maximum value vary with changes in h.
The coordinates of the waveform peak exhibit a linear dependence on the cover thickness. However, this parameter is highly susceptible to noise, as waveform values near the peak vary minimally, making them sensitive to noise impact.
The relationship between concrete cover thickness and offset is shown in Figure 17.
The relationship between offset and concrete cover thickness is characterized by a non-linear pattern, as demonstrated in Figure 17. Additionally, this relationship exhibits non-monotonic characteristics for component Bz.
The concrete cover’s thickness significantly influences the waveform’s amplitude value. The shape of the amplitude variation curve as a function of cover thickness (h) is consistent across all spatial magnetic induction (B) components, as depicted in Figure 18.
The relationship between amplitude and concrete cover thickness (h), as obtained for various samples or spatial components of magnetic induction (B), exhibits very slight variations, as shown in Figure 18. The measurements demonstrate a high degree of repeatability, and the results obtained from these measurements align closely with the simulation results. These findings indicate that the waveform depicted in Figure 18 is highly suitable for accurately identifying concrete cover thickness.
The impact of h on the ACO attribute values is shown in Figure 19.
The implementation of ACO decomposition enabled the linearization of the amplitude curve concerning concrete cover thickness. A linear relation also characterizes the correlation dependence as a function of h. However, the C parameter is highly sensitive to various forms of noise, disturbances, and outlier data, which can result in misleading identification. Consequently, this parameter may be an effective tool for detecting anomalous conditions. In order to optimize its utility for identification purposes, it is recommended that filtering or approximation techniques be applied before analysis.
An alternative and highly effective approach for identifying the thickness of the concrete cover involves using the amplitude versus cover thickness curve, as discussed in [8].

3.2.2. Rebar Diameter

The identification of reinforcing bar diameters presents a considerably greater challenge than the determination of concrete cover thickness. The example of measurements is presented in Figure 20.
Altering the h influences of all ACO attributes, the basic association rules are delineated in Table 3.
When the diameter of the reinforcing bar is modified by two millimeters, the resulting association rules lack the same clarity observed with variations in the concrete cover thickness. The waveform shape changes with high confidence, exhibiting patterns of alteration similar to those seen with changes in cover thickness (Figure 21).
Experiments also show that the spatial component By demonstrates a pronounced separation between classes, resulting in highly certain association rules (despite low amplitude).

3.2.3. Reinforced Steel Class

Figure 22 presents a comparative analysis of waveforms that differ solely regarding the reinforcing steel class. Two sets of samples, P1–P2 and P3–P4, were tested.
As illustrated in Figure 23, the class of the steel alloy influences only the amplitude and offset of the waveform without affecting its overall shape. The fundamental association rules are delineated in Table 4. P1 was used as a reference sample.
The value of the confidence parameter calculated for the association rules connected with the shapes of the waveforms is low. However, the rules indicate a lack of impact of the steel class on the waveform shape. Additionally, according to the extracted rules, the By spatial component provides limited utility for identification purposes. Based on the rules presented in Table 5, it can be concluded that the amplitudes and offsets of the Bx and By components can be successfully used during the identification. The comparison of the waveform shapes is presented in Figure 23.

3.3. Identification

The thickness of the concrete cover is a continuous parameter. Consequently, regression and statistical analysis should be applied to ascertain the precision with which this parameter can be identified. The experiments show that the most significant separation, accompanied by a relatively low standard deviation, is observed for the spatial component Bx. However, identification may also be based on other spatial components. The correlation parameter is particularly sensitive to noise and disturbances. Therefore, it is recommended not to include it in the analytical model. For smaller cover thicknesses, the identification accuracy utilizing the parameter A(Bx) can exceed 1 mm, while for greater thicknesses, this accuracy approximates 2 mm. Additionally, due to its non-linear characteristics, the offset parameter offers a decent identification accuracy and can be used to identify the higher h (Figure 24).
The diameters and classes of reinforcing bars are regarded as discrete parameters. An InfoGain filter utilizing Kullback–Leibler divergence and a Naive Bayes classifier (NB) were used to select the attributes. The results obtained for various models are summarized in Table 5 (diameter identification) and Table 6 (class identification).
The five attributes that ranked highest in the context of specific parameters were subsequently evaluated using a range of standard classifiers, including the Naive Bayes (NB) classifier, the C4.5 decision tree, and neural network architectures such as Multilayer Perceptron (MLP) and Radial Basis Function (RBF) networks. All possible combinations of the selected attributes were tested utilizing a wrapper method. The results obtained from this analysis are presented in Table 7.
The C4.5 decision tree algorithm emerged as the most effective identification method. The classification accuracy achieved for all three parameters concurrently was 86%.

4. Conclusions

The proposed stationary excitation subsystem (two strong magnets) was placed directly above the tested rebar (with no movement during measurement). Compared to typical MFL systems (Figure 9), this change allows for the magnetizing of only the tested rebar. As an effect, the influence of adjacent rebars in the reinforcement grid on measurement results is strongly reduced, allowing for effective measurements for both single rebars and dense reinforced meshes.
The extraction of association rules can be utilized in the initial stages of any non-destructive testing (NDT) investigation. The presented algorithm enhances the understanding of the underlying processes and can be applied for attribute selection (the obtained results are comparable to those achieved through traditional Infogain filters). Additionally, association rules facilitate the detection of unobvious but significant dependencies and correlations.
The developed system (both hardware and software components) enables the highly accurate identification of concrete cover thickness and satisfactory precision in determining the reinforcement alloy and rebar diameter class. The decision tree algorithm demonstrated the highest performance compared to other classification methods.
The developed methodology is universal and can be used in any NDT investigation.
While the results are promising, further research is warranted to enhance and validate these findings.

Author Contributions

Project management and administration, P.K.F.; concept of the magnetic method, T.C. and P.K.F.; concept of the presented methodology, and algorithms, P.K.F.; concept of the paper, P.K.F.; software development (measuring system), T.C. and P.K.F.; software development (identification), P.K.F.; simulations, T.C.; hardware development, T.C. and P.K.F.; experiments and measurements, P.K.F.; data curation, P.K.F.; formal analysis, P.K.F.; investigation, P.K.F.; resources, T.C. and P.K.F.; visualization, P.K.F. and T.C.; writing—original draft preparation, P.K.F.; writing—review and extensive editing, T.C., P.K.F., P.M., M.M. and T.S.; scientific consultation, T.C.; contribution of the authors in %: P.K.F.—60%, T.C.—20%, P.M.—9%, M.M.—9%, T.S.—2%. All authors have read and agreed to the published version of the manuscript.

Funding

This research was funded by the National Science Centre (in Polish: NCN—Narodowe Centrum Nauki), program: Preludium, grant number 2021/41/N/ST7/02728 (“Smart support system for the Magnetic Force Induced Vibration Evaluation (M5)—an electromagnetic, non-destructive method designed for the evaluation of composite materials containing ferromagnetic and conductive elements”).

Institutional Review Board Statement

Not applicable.

Informed Consent Statement

Not applicable.

Data Availability Statement

Data are available upon request.

Conflicts of Interest

The authors declare no conflicts of interest.

Correction Statement

This article has been republished with a minor correction to the existing affiliation information. This change does not affect the scientific content of the article.

References

  1. Smith, D.G.E.; Brown, R.H. Reinforced Concrete Design, 10th ed.; Mercury Learning and Information: Herndon, VA, USA, 2021; ISBN 9781683929079. [Google Scholar]
  2. Mosley, B.; Hulse, R.; Bungey, J. Reinforced Concrete Design: To Eurocode 2; Palgrave Macmillan: London, UK, 2012; ISBN 9780230302853. [Google Scholar]
  3. Drobiec, Ł.; Jasiński, R.; Piekarczyk, A. Diagnostyka Konstrukcji Żelbetowych; PWN: Warszawa, Poland, 2010; Volume 1, ISBN 978-83-01-16103-3. [Google Scholar]
  4. Zybura, A.; Jaśniok, A.; Jaśniok, T. Diagnostyka Konstrukcji Żelbetowych; PWN: Warszawa, Poland, 2021; Volume 1, ISBN 978-83-01-16698-4. [Google Scholar]
  5. Frankowski, P.K.; Chady, T.; Zieliński, A. Magnetic force induced vibration evaluation (M5) method for frequency analysis of rebar-debonding in reinforced concrete. Measurement 2021, 182, 109655. [Google Scholar] [CrossRef]
  6. Frankowski, P.K.; Chady, T. A Comparative Analysis of the Magnetization Methods Used in the Magnetic Nondestructive Testing of Reinforced Concrete Structures. Materials 2023, 16, 7020. [Google Scholar] [CrossRef] [PubMed]
  7. Frankowski, P.K.; Chady, T. Evaluation of Reinforced Concrete Structures with Magnetic Method and ACO (Amplitude-Correlation-Offset) Decomposition. Materials 2023, 16, 5589. [Google Scholar] [CrossRef] [PubMed]
  8. Frankowski, P.K.; Chady, T. Multisensory Spatial Analysis and NDT Active Magnetic Method for Quick Area Testing of Reinforced Concrete Structures. Materials 2023, 16, 7296. [Google Scholar] [CrossRef] [PubMed]
  9. Bektaş, Ö.; Kurban, Y.C.; Özboylan, B. Development of magnetic flux leakage device as a non-destructive method for structural reinforcement detection. Mater. Construcc. 2022, 72, e273. [Google Scholar] [CrossRef]
  10. Makar, J.; Desnoyers, R. Magnetic field techniques for the inspection of steel under concrete cover. NDT E Int. 2001, 34, 445–456. [Google Scholar] [CrossRef]
  11. Perin, D.; Goktepe, M. Inspection of rebars in concrete blocks. Int. J. Appl. Electromagn. Mech. 2012, 38, 65–78. [Google Scholar] [CrossRef]
  12. He, D.; Shiwa, M.; Takaya, S.; Tsuchiya, K. Steel reinforcing bar detection using electromagnetic method. In Proceedings of the 2016 Progress in Electromagnetic Research Symposium (PIERS), Shanghai, China, 8–11 August 2016. [Google Scholar] [CrossRef]
  13. Diederich, H.; Vogel, T. Evaluation of Reinforcing Bars Using the Magnetic Flux Leakage Method. J. Infrastruct. Syst. 2017, 23, 25–44. [Google Scholar] [CrossRef]
  14. Tsukada, K.; Yoshioka, M.; Kiwa, T.; Hirano, Y. A magnetic flux leakage method using a magnetoresistive sensor for non-destructive evaluation of spot welds. NDT E Int. 2011, 44, 101–105. [Google Scholar] [CrossRef]
  15. Rehmat, S.; Sadeghnejad, A.; Valikhani, A.C.; Chunn, B.; Lau, K.; Azizinamini, A. Magnetic Flux Leakage Method for Detecting Corrosion in Post Tensioned Segmental Concrete Bridges in Presence of Secondary Reinforcement. In Proceedings of the Transportation Research Board 96th Annual Meeting, Washington, DC, USA, 8–12 January 2017; pp. 8–12. [Google Scholar]
  16. Zhang, H.; Liao, L.; Zhao, R.; Zhou, J.; Yang, M.; Zhao, Y. A new judging criterion for corrosion testing of reinforced concrete based on self-magnetic flux leakage. Int. J. Appl. Electromagn. Mech. 2017, 54, 123–130. [Google Scholar] [CrossRef]
  17. Shams, S.; Ghorbanpoor, A.; Lin, S.; Azari, H. Non-destructive Testing of Steel Corrosion in Prestressed Concrete Structures using the Magnetic Flux Leakage System. J. Transp. Res. Board 2018, 2672, 132–144. [Google Scholar] [CrossRef]
  18. Sun, Y.; Liu, S.; Deng, Z.; Tang, R.; Ma, W.; Tian, X.; Kang, Y.; He, L. Magnetic flux leakage structural health monitoring of concrete rebar using an open electromagnetic excitation technique. Struct. Health Monit. 2018, 17, 121–134. [Google Scholar] [CrossRef]
  19. Frankowski, P.K.; Sikora, R.; Chady, T. Identification of rebars in a reinforced mesh using eddy current method, 42nd Annual Review of Progress in Quantitative Non-destructive Evaluation. AIP Conf. Proc. 2016, 1706, 090008. [Google Scholar] [CrossRef]
  20. Masoumi, F.; Akgül, F.; Mehrabzadeh, A. Condition Assessment of Reinforced Concrete Bridges by Combined Non-destructive Test Techniques. IACSIT Int. J. Eng. Technol. 2013, 5, 708–711. [Google Scholar] [CrossRef]
  21. Verma, S.; Bhadauria, S.; Akhtar, S. Review of non-destructive testing methods for condition monitoring of concrete structures. J. Constr. Eng. 2013, 2013, 834572. [Google Scholar] [CrossRef]
  22. Mi, H.; Delattre, F.; Levacher, D. Experimental Methods to Evaluate the Carbonation Degree in Concrete: A Review. Appl. Sci. 2023, 13, 2533. [Google Scholar] [CrossRef]
  23. Sadowski, L. Methodology for Assessing the Probability of Corrosion in Concrete Structures on the Basis of Half-Cell Potential and Concrete Resistivity Measurements. Sci. World J. 2013, 2013, 714501. [Google Scholar] [CrossRef] [PubMed]
  24. Gu, P.; Beaudoin, J.J. Obtaining Effective Half-Cell Potential Measurements in Reinforced Concrete Structures, National Research Council of Canada. Constr. Technol. Updates 1998, 18, 1–4. [Google Scholar]
  25. Nguyen, A.Q.; Klysz, G.; Deby, F.; Balayssac, J.P. Assessment of the electrochemical state of steel reinforcement in water saturated concrete by resistivity measurement. Constr. Build. Mater. 2018, 171, 455–466. [Google Scholar] [CrossRef]
  26. Lim, Y.C.; Noguchi, T.; Cho, C.G. A quantitative analysis of the geometric effects of reinforcement in concrete resistivity measurement above reinforcement. Constr. Build. Mater. 2015, 83, 189–193. [Google Scholar] [CrossRef]
  27. Lim, Y.C.; Noguchi, T.; Cho, C.G. Mathematical modeling for quantitative estimation of geometric effects of nearby rebar in electrical resistivity measurement. Cem. Concr. Compos. 2018, 90, 82–88. [Google Scholar] [CrossRef]
  28. International Atomic Energy Agency. Training Course SERIES No. 17: Guidebook on Non-Destructive Testing of Concrete Structures; International Atomic Energy Agency: Vienna, Austria, 2002; Available online: https://www-pub.iaea.org/MTCD/Publications/PDF/TCS-17_web.pdf (accessed on 27 October 2024).
  29. Ikumapayi, C.M.; Adeniji, A.A.; Obisesan, A.A.; Odeyemi, O.; Ajayi, J.A. Effects of Carbonation on the Properties of Concrete. Sci. Rev. 2019, 5, 205–214. [Google Scholar]
  30. Villain, G.; Derobert, X.; Abraham, O.; Coffec, O.; Durand, O.; Laguerre, L.; Baltazart, V. Use of ultrasonic and electromagnetic NDT to evaluate durability monitoring parameters of concrete; NDTCE’09, Non-destructive Testing in Civil Engineering Nantes. In Proceedings of the 7th International Symposium on Non-Destructive Testing in Civil Engineering, Nantes, France, 30 June–3 July 2009. [Google Scholar]
  31. Dixit, M.; Gupta, A.K. A Review of Different Assessment Methods of Corrosion of Steel Reinforcement in Concrete. Iran. J. Sci. Technol. Trans. Civ. Eng. 2022, 46, 735–752. [Google Scholar] [CrossRef]
  32. Laureti, S.; Ricci, M.; Mohamed, M.N.I.B.; Senni, L.; Davis, L.A.; Hutchins, D.A. Detection of rebars in concrete using advanced ultrasonic pulse compression techniques. Ultrasonics 2018, 85, 31–38. [Google Scholar] [CrossRef]
  33. Mayakuntla, P.K.; Ganguli, A.; Smyl, D. Gaussian Mixture Model-Based Classification of Corrosion Severity in Concrete Structures Using Ultrasonic Imaging. J. Nondestruct. Eval. 2023, 42, 28. [Google Scholar] [CrossRef]
  34. Mayakuntla, P.K.; Ghosh, D.; Ganguli, A. Non-destructive evaluation of rebar corrosion in concrete structures using ultrasonics and laser-based sensing. Nondestruct. Test. Eval. 2021, 37, 297–314. [Google Scholar] [CrossRef]
  35. Ghosh, D.; Kumar, R.; Ganguli, A.; Mukherjee, A. Non-Destructive Evaluation of Rebar Corrosion–Induced Damage in Concrete Through Ultrasonic Imaging. J. Mater. Civ. Eng. 2020, 32, 04020294. [Google Scholar] [CrossRef]
  36. Muravin, G.; Muravin, B. Guide for Acoustic Emission Examination of Reinforced Concrete Bridges. In Proceedings of the 30th European Conference on Acoustic Emission Testing & 7th International Conference on Acoustic Emission, Granada, Spain, 12–15 September 2012; pp. 1–10. Available online: https://www.ndt.net/article/ewgae2012/content/papers/86_Muravin_Rev1.pdf (accessed on 27 October 2024).
  37. Ohtsu, M.; Isoda, T.; Tomoda, Y. Acoustic Emission Techniques Standardized for Concrete Structures. Acoust. Emiss. Group 2007, 25, 21–32. Available online: https://www.ndt.net/article/jae/papers/25-021.pdf (accessed on 27 October 2024).
  38. Oshita, H. 9-Quantitative estimation of rebar corrosion in reinforced concrete by thermography. In Acoustic Emission and Related Non-Destructive Evaluation Techniques in the Fracture Mechanics of Concrete; Fundamentals and Applications; Woodhead Publishing Series in Civil and Structural Engineering; Elsevier: Amsterdam, The Netherlands, 2015; Volume 25, pp. 177–203. [Google Scholar] [CrossRef]
  39. Tsangouri, E.; Aggelis, D.G. A review of acoustic emission as indicator of reinforcement effectiveness in concrete and cementitious composites. Constr. Build. Mater. 2019, 224, 198–205. [Google Scholar] [CrossRef]
  40. Prabhat, R.P.; Ramachandra, A.M. Acoustic emission monitoring of reinforced concrete beams subjected to four-point-bending. Appl. Acoust. 2017, 117 Pt A, 28–38. [Google Scholar] [CrossRef]
  41. Kawasaki, Y.; Wakuda, T.; Kobarai, T.; Ohtsu, S. Corrosion mechanisms in reinforced concrete by acoustic emission. Constr. Build. Mater. 2013, 48, 1240–1247. [Google Scholar] [CrossRef]
  42. Gunes, B.; Oguz, A. Vibration-Based Damage Evaluation of a Reinforced Concrete Frame Subjected to Cyclic Pushover Testing. Shock. Vib. 2021, 2021, 6666702. [Google Scholar] [CrossRef]
  43. Caballol, D.; Raposo, Á.P.; Gil-Carrillo, F. Non-destructive testing of concrete layer adhesion by means of vibration measurement. Constr. Build. Mater. 2023, 411, 134548. [Google Scholar] [CrossRef]
  44. Szymanik, B.; Frankowski, P.K.; Chady, T.; Chelliah, C.R.A.J. Detection and Inspection of Steel Bars in Reinforced Concrete Structures Using Active Infrared Thermography with Microwave Excitation and Eddy Current Sensors. Sensors 2016, 16, 234. [Google Scholar] [CrossRef]
  45. Milovanović, B.; Banjad Pečur, I. Review of Active IR Thermography for Detection and Characterization of Defects in Reinforced Concrete. J. Imaging 2016, 2, 11. [Google Scholar] [CrossRef]
  46. Keo, S.A.; Szymanik, B.; Le Roy, C.; Brachelet, F.; Defer, D. Defect Detection in CFRP Concrete Reinforcement Using the Microwave Infrared Thermography (MIRT) Method—A Numerical Modeling and Experimental Approach. Appl. Sci. 2023, 13, 8393. [Google Scholar] [CrossRef]
  47. Szymanik, B.; Keo, S.A.; Brachelet, F.; Defer, D. Investigation of Carbon Fiber Reinforced Polymer Concrete Reinforcement Ageing Using Microwave Infrared Thermography Method. Appl. Sci. 2024, 14, 4331. [Google Scholar] [CrossRef]
  48. Chady, T.; Frankowski, P. Electromagnetic Evaluation of Reinforced Concrete Structure. In Proceedings of the Review of Progress in Quantitative Non-destructive Evaluation, Denver, CO, USA, 15–20 July 2012; Volume 32, pp. 1355–1362. [Google Scholar] [CrossRef]
  49. Frankowski, P.K. Eddy current method for identification and analysis of reinforcement bars in concrete structures. In Proceedings of the Electrodynamic and Mechatronic Systems, Opole, Poland, 6–8 October 2011; pp. 105–109. [Google Scholar] [CrossRef]
  50. Alcantara, N. Identification of steel bars immersed in reinforced concrete based on experimental results of eddy current testing and artificial neural network analysis. Nondestruct. Test. Eval. 2013, 28, 58–71. [Google Scholar] [CrossRef]
  51. Xia, Z.; Huang, R.; Chen, Z.; Yu, K.; Zhang, Z.; Salas-Avila, J.R.; Yin, W. Eddy Current Measurement for Planar Structures. Sensors 2022, 22, 8695. [Google Scholar] [CrossRef] [PubMed]
  52. Drobiec, Ł.; Jasiński, R.; Mazur, W. Accuracy of Eddy-Current and Radar Methods Used in Reinforcement Detection. Materials 2019, 12, 1168. [Google Scholar] [CrossRef] [PubMed]
  53. Frankowski, P.K. Corrosion detection and measurement using eddy current method. In Proceedings of the 2018 International Interdisciplinary PhD Workshop (IIPhDW), Swinoujście, Poland, 9–12 May 2018; ISBN 978-1-5386-6144-4. [Google Scholar] [CrossRef]
  54. Krause, T.; Krause, T.W. Pulsed Eddy Current Response to General Corrosion in Concrete Rebar. J. Nondestruct. Eval. Diagn. Progn. Eng. Syst. 2020, 24, 044501. [Google Scholar] [CrossRef]
  55. Alcantara, N.P.; Silva, F.M.; Guimaraes, M.T.; Pereira, M.D. Corrosion Assessment of Steel Bars Used in Reinforced Concrete Structures by Means of Eddy Current Testing. Sensors 2016, 16, 15. [Google Scholar] [CrossRef]
  56. Ulapane, N.; Wickramanayake, S.; Kodagoda, S. Pulsed Eddy Current Sensing for Condition Assessment of Reinforced Concrete. In Proceedings of the 2019 14th IEEE Conference on Industrial Electronics and Applications (ICIEA), Xi’an, China, 19–21 June 2019; pp. 1–6. [Google Scholar] [CrossRef]
  57. Sophian, A.; Tian, G.; Fan, M. Pulsed Eddy Current Non-destructive Testing and Evaluation: A Review. Chin. J. Mech. Eng. 2017, 30, 500–514. [Google Scholar] [CrossRef]
  58. Chady, T.; Grochowalski, J.M. Eddy Current Transducer with Rotating Permanent Magnets to Test Planar Conducting Plates. Sensors 2019, 19, 1408. [Google Scholar] [CrossRef]
  59. Grochowalski, J.M.; Chady, T. Numerical analysis of eddy current transducer with rotating permanent magnets for planar conducting plates testing. In Proceedings of the 2018 International Interdisciplinary PhD Workshop (IIPhDW), Swinoujscie, Poland, 9–12 May 2018. [Google Scholar] [CrossRef]
  60. Khan, M.A.; Sun, J.; Li, B.; Przybysz, A.; Kosel, J. Magnetic sensors—A review and recent technologies. Eng. Res. Express 2021, 3, 022005. [Google Scholar] [CrossRef]
  61. Mordor Intelligence, Magnetic Sensors Market Size & Share Analysis—Growth Trends & Forecasts (2023–2028). Available online: https://www.mordorintelligence.com/industry-reports/magnetic-sensor-market (accessed on 29 October 2024).
  62. Wiwatrojanagul, P.; Sahamitmongkol, R.; Tangtermsirikul, S.; Khamsemanan, N. A new method to determine locations of rebars and estimate cover thickness of RC structures using GPR data. Constr. Build. Mater. 2017, 140, 257–327. [Google Scholar] [CrossRef]
  63. Dinh, K.; Gucunski, N.; Duong, T. An algorithm for automatic localization and detection of rebars from GPR data of concrete bridge decks. Autom. Constr. 2018, 89, 292–298. [Google Scholar] [CrossRef]
  64. Mechbal, Z.; Khamlichi, A. Determination of concrete rebars characteristics by enhanced post-processing of GPR scan raw data. NDT E Int. 2017, 89, 30–39. [Google Scholar] [CrossRef]
  65. Dinh, K.; Gucunski, N.; Duong, T. Migration-based automated rebar picking for condition assessment of concrete bridge decks with ground penetrating radar. NDT E Int. 2018, 98, 45–54. [Google Scholar] [CrossRef]
  66. Dong, B.; Shi, G.; Dong, P.; Ding, W.; Teng, X.; Qin, S.; Liu, Y.; Xing, F.; Hong, S. Visualized tracing of rebar corrosion evolution in concrete with x-ray micro-computed tomography method. Cem. Concr. Compos. 2018, 92, 102–109. [Google Scholar] [CrossRef]
  67. Shearer, C. The CRISP-DM model: The new blueprint for data mining. J. Data Warehous. 2000, 5, 13–22. Available online: https://mineracaodedados.wordpress.com/wp-content/uploads/2012/04/the-crisp-dm-model-the-new-blueprint-for-data-mining-shearer-colin.pdf (accessed on 13 December 2024).
  68. Mariscal, G.; Marban, O.; Fernandez, C. A Survey of Data Mining and knowledge discovery process Models and methodologies. Knowl. Eng. Rev. 2010, 25, 137–166. [Google Scholar] [CrossRef]
  69. Gavin, H.; Pickett, S. Methods for mining HTS data. Drug Discov. Today 2006, 11, 694–699. [Google Scholar] [CrossRef]
  70. Agrawal, R.; Srikant, R. Fast algorithms for mining association rules in large databases. In Proceedings of the 20th International Conference on Very Large Data Bases, Santiago de Chile, Chile, 12–15 September 1994; pp. 487–499. [Google Scholar]
  71. Pawlak, Z. Rough sets. Int. J. Comput. Inf. Sci. 1982, 11, 341–356. [Google Scholar] [CrossRef]
  72. Pawlak, Z.; Skowron, A. Rough Set Theory and Its Applications to Data Mining. In Data Mining and Knowledge Discovery; Springer: Berlin/Heidelberg, Germany, 1998; pp. 1–10. [Google Scholar]
  73. Agrawal, R.; Mannila, H.; Srikant, R.; Toivonen, H.; Verkamo, A.I. Fast discovery of association rules. In Advances in Knowledge Discovery and Data Mining; Fayyad, U.M., Piatetsky-Shapiro, G., Smyth, P., Uthurusamy, R., Eds.; AAAI Press: Washington, DC, USA, 1996; pp. 307–328. [Google Scholar]
  74. Toivonen, H. Apriori Algorithm. In Encyclopedia of Machine Learning and Data Mining; Sammut, C., Webb, G.I., Eds.; Springer: Boston, MA, USA, 2017; p. 60. [Google Scholar] [CrossRef]
  75. Tirumalasetty, S.; Aruna, A.; Padmini, A.; Sagaru, D.V.; Tejeswini, A. An Enhanced Apriori with Interestingness of Patterns using cSupport and rSupport. IJCSMC 2021, 10, 20–27. [Google Scholar] [CrossRef]
  76. Tirumalasetty, S.; Jadda, A.; Edara, S.R. An Enhanced Apriori Algorithm for Discovering Frequent Patterns with Optimal Number of Scans. arXiv 2015, arXiv:1506.07087. [Google Scholar] [CrossRef]
  77. Liu, X.; Zhao, Y.; Sun, M. An Improved Apriori Algorithm Based on an Evolution-Communication Tissue-Like P System with Promoters and Inhibitors. Discret. Dyn. Nat. Soc. 2017, 2017, 6978146. [Google Scholar] [CrossRef]
  78. PN-B-03264:2002; Concrete, Reinforced Concrete and Prestressed Structures. Static Calculations and Design. PKN: Warsaw, Poland, 2002.
  79. Soutsos, M.N.; Bungey, J.H.; Millard, S.G.; Shaw, M.R.; Patterson, A. Dielectric properties of concrete and their influence on radar testing. NDT E Int. 2001, 34, 419–425. [Google Scholar] [CrossRef]
  80. Magnetic Susceptibility and Permeability Data for Selected Materials. Available online: https://en.wikipedia.org/wiki/Permeability_(electromagnetism)#cite_note-35 (accessed on 10 December 2024).
  81. Honeywell. HMC5883L-TR Datasheet. Available online: https://www.allaboutcircuits.com/electronic-components/datasheet/HMC5883L-TR--Honeywell/ (accessed on 29 October 2024).
Figure 1. Properties of reinforced concrete structures examined with NDT methods [5].
Figure 1. Properties of reinforced concrete structures examined with NDT methods [5].
Applsci 14 11695 g001
Figure 2. Electromagnetic NDT methods [5]. MFL—Magnetic Flux Leakage; MPI—Magnetic Particle Inspection, and RMT—Residual Magnetic Testing.
Figure 2. Electromagnetic NDT methods [5]. MFL—Magnetic Flux Leakage; MPI—Magnetic Particle Inspection, and RMT—Residual Magnetic Testing.
Applsci 14 11695 g002
Figure 3. The effective range of the eddy current method—rebar diameter classification.
Figure 3. The effective range of the eddy current method—rebar diameter classification.
Applsci 14 11695 g003
Figure 4. Methodology for knowledge acquisition from NDT measurement data based on the CRISP-DM model.
Figure 4. Methodology for knowledge acquisition from NDT measurement data based on the CRISP-DM model.
Applsci 14 11695 g004
Figure 5. Categorization and evolution of methods for determining waveform and signal features.
Figure 5. Categorization and evolution of methods for determining waveform and signal features.
Applsci 14 11695 g005
Figure 6. Description of the boxplot.
Figure 6. Description of the boxplot.
Applsci 14 11695 g006
Figure 7. Simplified algorithm of the implemented method for extracting association rules from NDT data.
Figure 7. Simplified algorithm of the implemented method for extracting association rules from NDT data.
Applsci 14 11695 g007
Figure 8. Schematic picture of the tested RC structure with parameters.
Figure 8. Schematic picture of the tested RC structure with parameters.
Applsci 14 11695 g008
Figure 9. The basic idea of the MFL transducer.
Figure 9. The basic idea of the MFL transducer.
Applsci 14 11695 g009
Figure 10. Magnetization methods: (a) NoM, (b) OPM, and (c) SPM.
Figure 10. Magnetization methods: (a) NoM, (b) OPM, and (c) SPM.
Applsci 14 11695 g010
Figure 11. Block scheme of the measuring system.
Figure 11. Block scheme of the measuring system.
Applsci 14 11695 g011
Figure 12. The comparison of the normalized waveforms obtained for different magnetization methods: (a) Bx, (b) By, and (c) Bz.
Figure 12. The comparison of the normalized waveforms obtained for different magnetization methods: (a) Bx, (b) By, and (c) Bz.
Applsci 14 11695 g012
Figure 13. The SNR calculated for spatial components of magnetic induction vs. h (concrete cover thickness): <1> SPM-P3, <2> OPM-P3, <3> NoM-P3, and <4> NoM-P4; (a) Bx, (b) By, and (c) Bz.
Figure 13. The SNR calculated for spatial components of magnetic induction vs. h (concrete cover thickness): <1> SPM-P3, <2> OPM-P3, <3> NoM-P3, and <4> NoM-P4; (a) Bx, (b) By, and (c) Bz.
Applsci 14 11695 g013
Figure 14. Sample measurements of the spatial components of magnetic induction as a function of the sensor’s x-coordinates; six different values of h; under Same Pole Magnetization (SPM), for specimen P2; (a) Bx, (b) By, (c) Bz [8].
Figure 14. Sample measurements of the spatial components of magnetic induction as a function of the sensor’s x-coordinates; six different values of h; under Same Pole Magnetization (SPM), for specimen P2; (a) Bx, (b) By, (c) Bz [8].
Applsci 14 11695 g014
Figure 15. The influence of the change in the h on the measurements—normalized waveforms: (a) Bx, (b) By, and (c) Bz.
Figure 15. The influence of the change in the h on the measurements—normalized waveforms: (a) Bx, (b) By, and (c) Bz.
Applsci 14 11695 g015
Figure 16. Statistical characterization of the variation in the position of the maximum waveform Bx as a function of concrete cover thickness: (a) raw data; (b) filtered data.
Figure 16. Statistical characterization of the variation in the position of the maximum waveform Bx as a function of concrete cover thickness: (a) raw data; (b) filtered data.
Applsci 14 11695 g016
Figure 17. The relationship between concrete cover thickness and offset; (a) Bx, (b) By, (c) Bz
Figure 17. The relationship between concrete cover thickness and offset; (a) Bx, (b) By, (c) Bz
Applsci 14 11695 g017
Figure 18. The relationship between cover thickness and amplitude: (a) comparison of spatial components B; (b) comparison of measurements and simulation results.
Figure 18. The relationship between cover thickness and amplitude: (a) comparison of spatial components B; (b) comparison of measurements and simulation results.
Applsci 14 11695 g018
Figure 19. The relationship between cover thickness and ACO parameters: (a) A, (b) C, and (c) O.
Figure 19. The relationship between cover thickness and ACO parameters: (a) A, (b) C, and (c) O.
Applsci 14 11695 g019
Figure 20. Sample measurements of the spatial components of magnetic induction as a function of the sensor’s position; two different rebar diameters were used under the Same Pole Magnetization (SPM) for specimens P2 and P3: (a) Bx, (b) By, and (c) Bz.
Figure 20. Sample measurements of the spatial components of magnetic induction as a function of the sensor’s position; two different rebar diameters were used under the Same Pole Magnetization (SPM) for specimens P2 and P3: (a) Bx, (b) By, and (c) Bz.
Applsci 14 11695 g020
Figure 21. The influence of the change in D on the measurements—normalized waveforms: (a) Bx, (b) By, and (c) Bz.
Figure 21. The influence of the change in D on the measurements—normalized waveforms: (a) Bx, (b) By, and (c) Bz.
Applsci 14 11695 g021
Figure 22. Sample measurements of the spatial components of magnetic induction as a function of the sensor’s position; SPM for specimens P1 and P2: (a) Bx, (b) By, and (c) Bz.
Figure 22. Sample measurements of the spatial components of magnetic induction as a function of the sensor’s position; SPM for specimens P1 and P2: (a) Bx, (b) By, and (c) Bz.
Applsci 14 11695 g022
Figure 23. The influence of the change in the class on the measurements—normalized waveforms for P1 and P2 at h = 40: (a) Bx, (b) By, and (c) Bz.
Figure 23. The influence of the change in the class on the measurements—normalized waveforms for P1 and P2 at h = 40: (a) Bx, (b) By, and (c) Bz.
Applsci 14 11695 g023
Figure 24. Regression analysis of ACO parameters in the function of h: (a) A, (b) C, and (c) O.
Figure 24. Regression analysis of ACO parameters in the function of h: (a) A, (b) C, and (c) O.
Applsci 14 11695 g024
Table 1. Comparison of amplitude and offset values for different spatial components of B.
Table 1. Comparison of amplitude and offset values for different spatial components of B.
Amplituda (p.d.u.) Offset (p.d.u.)
SPMOPMNoMSPMOPMNoM
Bx52050425176117108
By2431372896245113
Bz403239489423059
Table 2. Basic association rules between change in h and signal features. Δh = 10 mm ↑.
Table 2. Basic association rules between change in h and signal features. Δh = 10 mm ↑.
FeatureA (BX)C (BX)O (BX)A (BY)C (BY)O (BY)A (BZ)C (BZ)O (BZ)
change-
confidence (%)10010010010010010010010056
support (%)575757575757575757
Table 3. Basic association rules between change in D (rebar diameter) and signal features. ΔD = 2 mm ↑.
Table 3. Basic association rules between change in D (rebar diameter) and signal features. ΔD = 2 mm ↑.
FeatureA (BX)C (BX)O (BX)A (BY)C (BY)O (BY)A (BZ)C (BZ)O (BZ)
change-
confidence (%)1005884100821008962100
support (%)141414141414141414
Table 4. Basic association rules between change in rebar class and signal features. Class ↑.
Table 4. Basic association rules between change in rebar class and signal features. Class ↑.
FeatureA (BX)C (BX)O (BX)A (BY)C (BY)O (BY)A (BZ)C (BZ)O (BZ)
change---
confidence (%)9476925258579961100
support (%)292929292929292929
Table 5. Efficacy of sample models for the identification of reinforcing bar diameters.
Table 5. Efficacy of sample models for the identification of reinforcing bar diameters.
Correctness of Classification73%80%80%79%76%70%71%60%56%
A (Bx)
C (Bx)
O (Bx)
A (By)
C (By)
O (By)
A (Bz)
C (Bz)
O (Bz)
Attribute used in the model
Table 6. Efficacy of sample models for the identification of the class of alloys.
Table 6. Efficacy of sample models for the identification of the class of alloys.
Correctness of Classification84%89%87%80%75%70%68%69%66%
A (Bx)
C (Bx)
O (Bx)
A (By)
C (By)
O (By)
A (Bz)
C (Bz)
O (Bz)
Attribute used in the model
Table 7. Efficacy of sample models for the identification of class and diameter.
Table 7. Efficacy of sample models for the identification of class and diameter.
NBC4.5MLPRBF
D81898586
CLASS90939493
Disclaimer/Publisher’s Note: The statements, opinions and data contained in all publications are solely those of the individual author(s) and contributor(s) and not of MDPI and/or the editor(s). MDPI and/or the editor(s) disclaim responsibility for any injury to people or property resulting from any ideas, methods, instructions or products referred to in the content.

Share and Cite

MDPI and ACS Style

Frankowski, P.K.; Majzner, P.; Mąka, M.; Stawicki, T.; Chady, T. Magnetic Non-Destructive Evaluation of Reinforced Concrete Structures—Methodology, System, and Identification Results. Appl. Sci. 2024, 14, 11695. https://doi.org/10.3390/app142411695

AMA Style

Frankowski PK, Majzner P, Mąka M, Stawicki T, Chady T. Magnetic Non-Destructive Evaluation of Reinforced Concrete Structures—Methodology, System, and Identification Results. Applied Sciences. 2024; 14(24):11695. https://doi.org/10.3390/app142411695

Chicago/Turabian Style

Frankowski, Paweł Karol, Piotr Majzner, Marcin Mąka, Tomasz Stawicki, and Tomasz Chady. 2024. "Magnetic Non-Destructive Evaluation of Reinforced Concrete Structures—Methodology, System, and Identification Results" Applied Sciences 14, no. 24: 11695. https://doi.org/10.3390/app142411695

APA Style

Frankowski, P. K., Majzner, P., Mąka, M., Stawicki, T., & Chady, T. (2024). Magnetic Non-Destructive Evaluation of Reinforced Concrete Structures—Methodology, System, and Identification Results. Applied Sciences, 14(24), 11695. https://doi.org/10.3390/app142411695

Note that from the first issue of 2016, this journal uses article numbers instead of page numbers. See further details here.

Article Metrics

Back to TopTop