A Broadband Ultra High Frequency (UHF) Fat-Dipole Antenna for Digital TV Applications
Abstract
Featured Application
Abstract
1. Introduction
2. Antenna Design
- Compact dimensions suitable for indoor applications.
- Low-cost implementation.
- Operating UHF frequency range of 470–700 MHz (current allocated DTV bandwidth).
- A 75 Ω impedance matching, which is the standard for TV systems.
- Single-layer planar structure.
- Minimal coupling in 2-element array configuration.
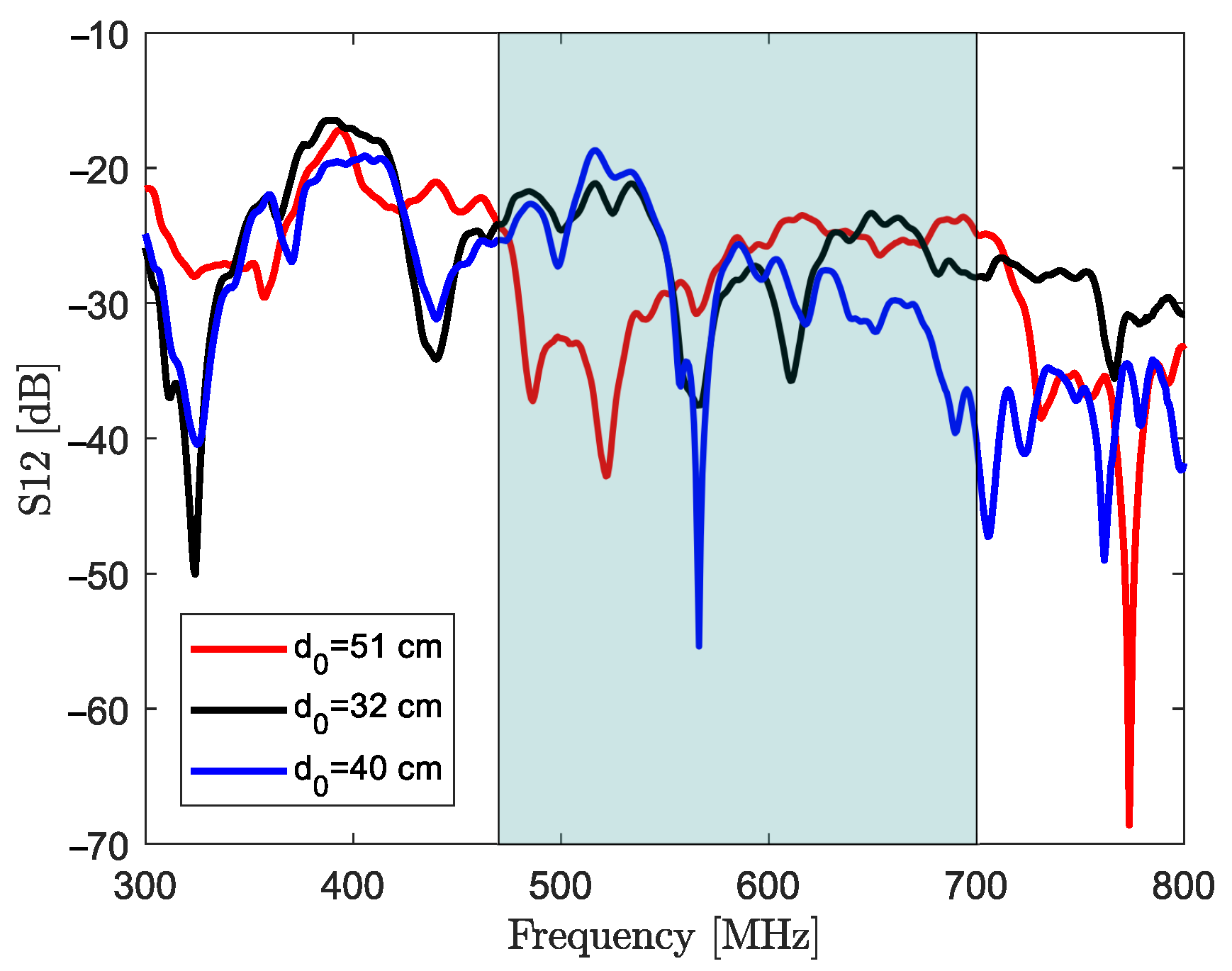
3. Results
4. Application in a MIMO DTV Channel
5. Conclusions
Author Contributions
Funding
Institutional Review Board Statement
Informed Consent Statement
Data Availability Statement
Conflicts of Interest
References
- Chaubet, A.S.S.; de Oliveira, G.H.M.G.; Jerji, F.; Valeira, G.M.; Santiago, N.S.; Alves, C.A.D.; Pais, F.C.; Chaves, L.A.; Akamine, C. Latency Comparison of MMT and ROUTE/DASH for the Transport Layer of the TV 3.0 Project. In Proceedings of the 2021 IEEE International Symposium on Broadband Multimedia Systems and Broadcasting (BMSB) Conference, Chengdu, China, 4–6 August 2021. [Google Scholar] [CrossRef]
- Wang, F.; Bin, F.; Sun, Q.; Fan, J.; Ye, H. A compact UHF antenna based on Complementary Fractal Technique. IEEE Access 2017, 5, 21118–21125. [Google Scholar] [CrossRef]
- dos Santos, E.T.C.; de Souza, D.H.M.; Perotoni, M.B.; Bordin, C.J., Jr.; Vieira, M.S.; Smith, F.L.P.; Akamine, C. Broadband Diversity Antenna Array for UHF Digital TV. In Proceedings of the ISAP 2022 International Symposium on Antennas and Propagation, Sidney, Australia, 31 October–3 November 2022. [Google Scholar] [CrossRef]
- Song, C.T.P.; Hall, P.S.; Ghafouri-Shiraz, H. Shorted Fractal Sierpinski Monopole Antenna. IEEE Trans. Antennas Propag. 2004, 52, 2564–2570. [Google Scholar] [CrossRef]
- Park, Y.J.; Song, J.H. Development of ultra wideband planar stepped-fat dipole antenna. Microw. Opt. Technol. Lett. 2006, 48, 1698–1701. [Google Scholar] [CrossRef]
- Deng, J.; Li, J.; Zhao, L.; Guo, L. A Dual-Band Inverted-F MIMO Antenna With Enhanced Isolation for WLAN Applications. IEEE Antennas Wirel. Propag. Lett. 2017, 16, 2270–2273. [Google Scholar] [CrossRef]
- Jalilvand, M.; Li, X.; Kowalewski, J.; Zwick, T. Broadband miniaturized bow-tie antenna for 3D microwave tomography. Electron. Lett. 2014, 52, 244–246. [Google Scholar] [CrossRef]
- Palud, S.; Colombel, F.; Himdi, M.; Le Meins, C. Wideband Omnidirectional and compact antenna for VHF/UHF Band. IEEE Antennas Wirel. Propag. Lett. 2011, 10, 3–6. [Google Scholar] [CrossRef]
- Nazmul, M.A.; Dougal, R.A.; Ali, M. Electrically small broadband VHF/UHF planar antenna matched using a non-Foster circuit. Microw. Opt. Technol. Lett. 2013, 55, 2494–2497. [Google Scholar] [CrossRef]
- Moon, H.; Lee, G.Y.; Chen, C.C.; Volakis, J.L. An extremely low-profile ferrite-loaded wideband VHF antenna design. IEEE Antennas Wirel. Propag. Lett. 2012, 11, 322–325. [Google Scholar] [CrossRef]
- Su, C.M.; Chou, L.C.; Wong, K.L. Internal DTV receiving antenna for laptop application. Microw. Opt. Technol. Lett. 2005, 44, 4–6. [Google Scholar] [CrossRef]
- Lee, J.I.; Yeo, J.; Cho, Y.K. Broadband compact quasi-Yagi antenna for indoor digital TV. Microw. Opt. Technol. Lett. 2013, 55, 2859–2863. [Google Scholar] [CrossRef]
- Vainikainen, P.; Holopainen, J.; Kyro, M. Antennas for Digital Television Receivers in Mobile Terminals. Proc. IEEE 2012, 100, 2341–2348. [Google Scholar] [CrossRef]
- Hanquing, M.; Chu, Q.X. Compact Broadband Planar Antenna for DVB-H applications. Microw. Opt. Technol. Lett. 2009, 51, 239–242. [Google Scholar] [CrossRef]
- Fay, L.; Lachlan, D.; Gómez-Barquero, D.; Ammar, N.; Caldwell, M.W. An Overview of the ATSC 3.0 Physical Layer Specification. EEE Trans. Broadcast. 2016, 62, 159–171. [Google Scholar] [CrossRef]
- Chung, J.; Yang, T.; Lee, J.; Jeong, J. Low correlation MIMO antenna for the 700 MHz band. In Proceedings of the 2011 IEEE International Symposium on Antennas and Propagation (APSURSI), Spokane, WA, USA, 3–8 July 2011. [Google Scholar] [CrossRef]
- Weiland, T. A Discretization Method for the Solution of Maxwell’s Equations for SixComponent Fields. Electron. Commun. (AEÜ) 1977, 31, 116–120. [Google Scholar]
- Volakis, J.L.; Chatterjee, A.; Kempel, L.C. Finite Element Method Electromagnetics: Antennas, Microwave Circuits, and Scattering Applications, 1st ed.; Wiley-IEEE Press: New York, NY, USA, 1998. [Google Scholar]
- Pavlovic, M.; Kolundzija, B. Efficient and Accurate Simulation of Shielding Effectiveness in Coaxial Cables. In Proceedings of the 2017 11th European Conference on Antennas and Propagation (EUCAP), Paris, France, 19–24 March 2017. [Google Scholar] [CrossRef]
- Badzagua, I.; Danelyan, I.; Odisharia, K.; Gheonjian, A.; Jobava, R. Virtual Triaxial Setup Modeling for Numerical Determination of Transfer Impedance of Shielded Cables. In Proceedings of the Conference: 2023 International Symposium on Electromagnetic Compatibility—EMC Europe, Krakow, Poland, 4–8 September 2023. [Google Scholar] [CrossRef]
- Tao, J.; Feng, Q. Compact Ultrawideband MIMO antenna with Half-slot structure. IEEE Antennas Wirel. Propag. Lett. 2016, 3, 792–795. [Google Scholar] [CrossRef]
- Iqbal, A.; Saraereh, O.A.; Ahmad, A.W.; Bashir, S. Mutual Coupling Reduction Using F-Shaped Stubs in UWB-MIMO Antenna. IEEE Access 2018, 6, 2755–2759. [Google Scholar] [CrossRef]
- Gomez-Barquero, D.; Vargas, D.; Fuentes, M.; Klenner, P.; Moon, S.; Choi, J.Y.; Schneider, D.; Murayama, K. MIMO for ATSC 3.0. IEEE Trans. Broadcast. 2016, 62, 298–305. [Google Scholar] [CrossRef]
- Gonsioroski, L.H.; dos Santos, A.B.; Fernandes, N.C.; Castellanos, P.V.G.; Matos, L.J.; Medeiros, D.S.V.; Mattos, D.M.F.; Mello, L.A.R.S. Advanced ISDB-T—Next Generation Digital TV System: Performance in Field Tests in Brazil. IEEE Trans. Broadcast. 2023, 69, 538–551. [Google Scholar] [CrossRef]
- Monti, G.; Corchia, L.; Tarricone, L.; Idda, T.; Coccetti, F.; Plana, R. Broadband compact planar monopole. Microw. Opt. Technol. Lett. 2011, 53, 2838–2842. [Google Scholar] [CrossRef]
- Sonkki, M.; Antonino-Daviu, E.; Cabedo-Fabrés, M.; Ferrando-Bataller, M.; Salonen, E.T. Improved Planar Wideband Antenna Element and Its Usage in a Mobile MIMO System. IEEE Antennas Wirel. Propag. Lett. 2012, 11, 826–829. [Google Scholar] [CrossRef]
- Ding, K.; Gao, C.; Qu, D.; Yin, Q. Compact Broadband MIMO Antenna with Parasitic Strip. IEEE Antennas Wirel. Propag. Lett. 2017, 16, 826–829. [Google Scholar] [CrossRef]
- Bactavatchalame, P.; Rajakani, K. Compact broadband slot-based MIMO antenna array for vehicular environment. Microw. Opt. Technol. Lett. 2020, 62, 2024–2032. [Google Scholar] [CrossRef]
- Alibakhshikenari, M.; Virdee, B.S.; See, C.H.; Abd-Alhameed, R.A.; Falcone, F.; Limitti, L. Super-Wide Impedance Bandwidth Planar Antenna for Microwave and Millimeter-Wave Applications. Sensors 2019, 19, 2306. [Google Scholar] [CrossRef]
- Wang, H.; Liu, L.; Zhang, Z.; Li, Y.; Feng, Z. A Wideband Compact WLAN/WiMAX MIMO Antenna Based on Dipole With V-shaped Ground Branch. IEEE Trans. Antennas Propag. 2015, 63, 2564–2570. [Google Scholar] [CrossRef]
- Sefidi, M.; Ghobadi, C.; Nourinia, J.; Naderali, R. Broadband Circularly Polarized Printed Crossed-Dipole Antenna and Its Arrays for Cellular Base Stations. IEEE Access 2024, 12, 6842–6851. [Google Scholar] [CrossRef]















| Band [MHz] | Fractional Bandwidth [%] | |
|---|---|---|
| Thin | 451–522 | 14.6 |
| Fat | 480–658 | 31.3 |
| Design | Band [MHz] | Fractional Bandwidth [%] |
|---|---|---|
| A | 462–583 | 23.0 |
| B | 456–600 | 26.8 |
| C | 458–602 | 27.2 |
| D | 468–645 | 31.7 |
| E | 476–659 | 32.1 |
| F | 483–704 | 37.1 |
| Band [MHz] | Fractional Bandwidth [%] | |
|---|---|---|
| Simulation | 483–712 | 38 |
| Direct connection | 513–562 | 9 |
| Infinite balun | 394–747 | 62 |
| Ref. | Band [MHz] | Frac. Bandwidth [%] | Dim. [] | MIMO | Radiator Type | Techn. | / [dB] |
|---|---|---|---|---|---|---|---|
| [6] | 2450–2480 and 5150–5825 | 3.2 and 12.3 | 0.71 × 1.06 | Yes | IFA | 2-layer | 0/N.I. |
| [9] | 100–500 | 133 | 0.065 × 0.154 | No | PIFA | 2-layer + active circuit | 20/−40 |
| [10] | 3–300 | 196 | 0.02 × 0.30 | No | Monopole | 2-layer, ferrite-loaded | −9/−22 |
| [11] | 470–780 | 49.6 | 0.01 × 0.02 | No | U-shaped monopole | 3D | 1.8/0.8 |
| [12] | 470–806 | 52.7 | 0.51 × 0.42 | No | Yagi | 2-layer | 4.6/3.5 |
| [21] | 3000–12,400 | 122 | 0.46 × 2.90 | Yes | Elliptical monopole | 1-layer | 5/0 |
| [25] | 1750–3880 | 75 | 0.43 × 0.70 | No | Monopole | 2-layer | 3.6/2 |
| [26] | 2000–5600 | 95 | 0.69 × 0.50 | Yes | Electric dipole + magnetic slot | 1-layer | 5.7/2.8 |
| [27] | 2320–2950 | 23.9 | 0.31 × 0.23 | Yes | Dipole + parasitic | 1-layer | 5.5/3 |
| [28] | 3000–6750 | 77 | 0.32 × 0.16 | Yes | Slot | 2-layer | 4.9/4 |
| [29] | 20,000–120,000 | 142 | 4.0 × 3.43 | No | 4× microstrip patches | 1-layer | 15.11/7.88 |
| [30] | 2300–4400 | 62.7 | 0.45 × 0.45 | Yes | Dipole over V-shaped ground | 2-layer + vias | 2.8/0.9 |
| [31] | 1470–2650 | 57.3 | 1.22 × 1.22 | No | Crossed dipoles | 2-layer | 8.7/7.8 |
| this study | 393–747 | 62 | 0.48 × 0.13 | Yes | Fat dipole | 1-layer | 3.9/−6.9 |
Disclaimer/Publisher’s Note: The statements, opinions and data contained in all publications are solely those of the individual author(s) and contributor(s) and not of MDPI and/or the editor(s). MDPI and/or the editor(s) disclaim responsibility for any injury to people or property resulting from any ideas, methods, instructions or products referred to in the content. |
© 2024 by the authors. Licensee MDPI, Basel, Switzerland. This article is an open access article distributed under the terms and conditions of the Creative Commons Attribution (CC BY) license (https://creativecommons.org/licenses/by/4.0/).
Share and Cite
Perotoni, M.B.; Vieira, M.S.; dos Santos, G.G.B. A Broadband Ultra High Frequency (UHF) Fat-Dipole Antenna for Digital TV Applications. Appl. Sci. 2024, 14, 11679. https://doi.org/10.3390/app142411679
Perotoni MB, Vieira MS, dos Santos GGB. A Broadband Ultra High Frequency (UHF) Fat-Dipole Antenna for Digital TV Applications. Applied Sciences. 2024; 14(24):11679. https://doi.org/10.3390/app142411679
Chicago/Turabian StylePerotoni, Marcelo B., Marcos S. Vieira, and Giovane G. B. dos Santos. 2024. "A Broadband Ultra High Frequency (UHF) Fat-Dipole Antenna for Digital TV Applications" Applied Sciences 14, no. 24: 11679. https://doi.org/10.3390/app142411679
APA StylePerotoni, M. B., Vieira, M. S., & dos Santos, G. G. B. (2024). A Broadband Ultra High Frequency (UHF) Fat-Dipole Antenna for Digital TV Applications. Applied Sciences, 14(24), 11679. https://doi.org/10.3390/app142411679

